The Application of Cryogenic Laser Physics to the Development of High Average Power Ultra-Short Pulse Lasers
Abstract
:1. Introduction and History of Cryogenic Lasers
1.1. The Historical Era
1.2. The Modern Era
2. Review of Cryogenic-Cooling Benefits
2.1. Thermal Aberrations in Solid-State Lasers
2.2. Thermal Parameters
2.2.1. Thermal Conductivity


2.2.2. Thermal Conductivity Standard Debye Model

2.2.3. Thermal Conductivity: The Influence of Dopant Density



| Donor | At. Number | Acceptor | Li | Mg | Al | K | Ca | Sc | Y | La | Gd | Lu |
|---|---|---|---|---|---|---|---|---|---|---|---|---|
| At. Number | 3 | 12 | 13 | 19 | 20 | 21 | 39 | 57 | 64 | 71 | ||
| At. Weight (amu) | 6.94 | 24.31 | 26.98 | 39.10 | 40.08 | 44.96 | 88.91 | 139.91 | 157.25 | 174.97 | ||
| Ti | 22 | 47.87 | −44.87 | 56.87 | −20.89 | −8.77 | −7.79 | −2.91 | 41.04 | 92.04 | 109.38 | 127.10 |
| V | 23 | 50.94 | −47.94 | 59.94 | −23.96 | −11.84 | −10.86 | −5.99 | 37.96 | 88.96 | 106.31 | 124.03 |
| Cr | 24 | 52.00 | −49.00 | 61.00 | −25.01 | −12.90 | −11.92 | −7.04 | 36.91 | 87.91 | 105.25 | 122.97 |
| Co | 27 | 58.93 | −55.93 | 67.93 | −31.95 | −19.84 | −18.86 | −13.98 | 29.97 | 80.97 | 98.32 | 116.03 |
| Ni | 28 | 58.69 | −55.69 | 67.69 | −31.71 | −19.60 | −18.62 | −13.74 | 30.21 | 81.21 | 98.56 | 116.27 |
| Ce | 58 | 140.12 | −137.12 | 149.12 | −113.13 | 101.02 | −100.04 | −95.16 | −51.21 | −0.21 | 17.14 | 34.85 |
| Pr | 59 | 140.91 | −137.91 | 149.91 | −113.93 | 101.81 | −100.83 | −95.95 | −52.00 | −1.00 | 16.34 | 34.06 |
| Nd | 60 | 144.24 | −141.24 | 153.24 | −117.26 | 105.14 | −104.16 | −99.28 | −55.33 | −4.33 | 13.01 | 30.73 |
| Sm | 62 | 150.36 | −147.36 | 159.36 | −123.38 | 111.26 | −110.28 | 105.40 | −61.45 | −10.45 | 6.89 | 24.61 |
| Eu | 63 | 151.97 | −148.97 | 160.97 | −124.98 | 112.87 | −111.89 | 107.01 | −63.06 | −12.06 | 5.28 | 23.00 |
| Dy | 66 | 162.50 | −159.50 | 171.50 | −135.52 | 123.40 | −122.42 | 117.54 | −73.59 | −22.59 | −5.25 | 12.47 |
| Ho | 67 | 164.93 | −161.93 | 173.93 | −137.95 | 125.83 | −124.85 | 119.97 | −76.02 | −25.02 | −7.68 | 10.04 |
| Er | 68 | 167.26 | −164.26 | 176.26 | −140.28 | 128.16 | −127.18 | 122.30 | −78.35 | −27.35 | −10.01 | 7.71 |
| Tm | 69 | 168.93 | −165.93 | 177.93 | −141.95 | 129.84 | −128.86 | 123.98 | −80.03 | −29.03 | −11.68 | 6.03 |
| Yb | 70 | 173.04 | −170.04 | 182.04 | −146.06 | 133.94 | −132.96 | 128.08 | −84.13 | −33.13 | −15.79 | 1.93 |
2.2.4. Thermal Conductivity Temperature Dependence

2.2.5. Modeling Thermal Conductivity

2.2.6. Extended Thermal Conductivity Model

2.2.7. Other Reported Thermal Conductivity Measurements Including Commonly Used Ancillary Materials









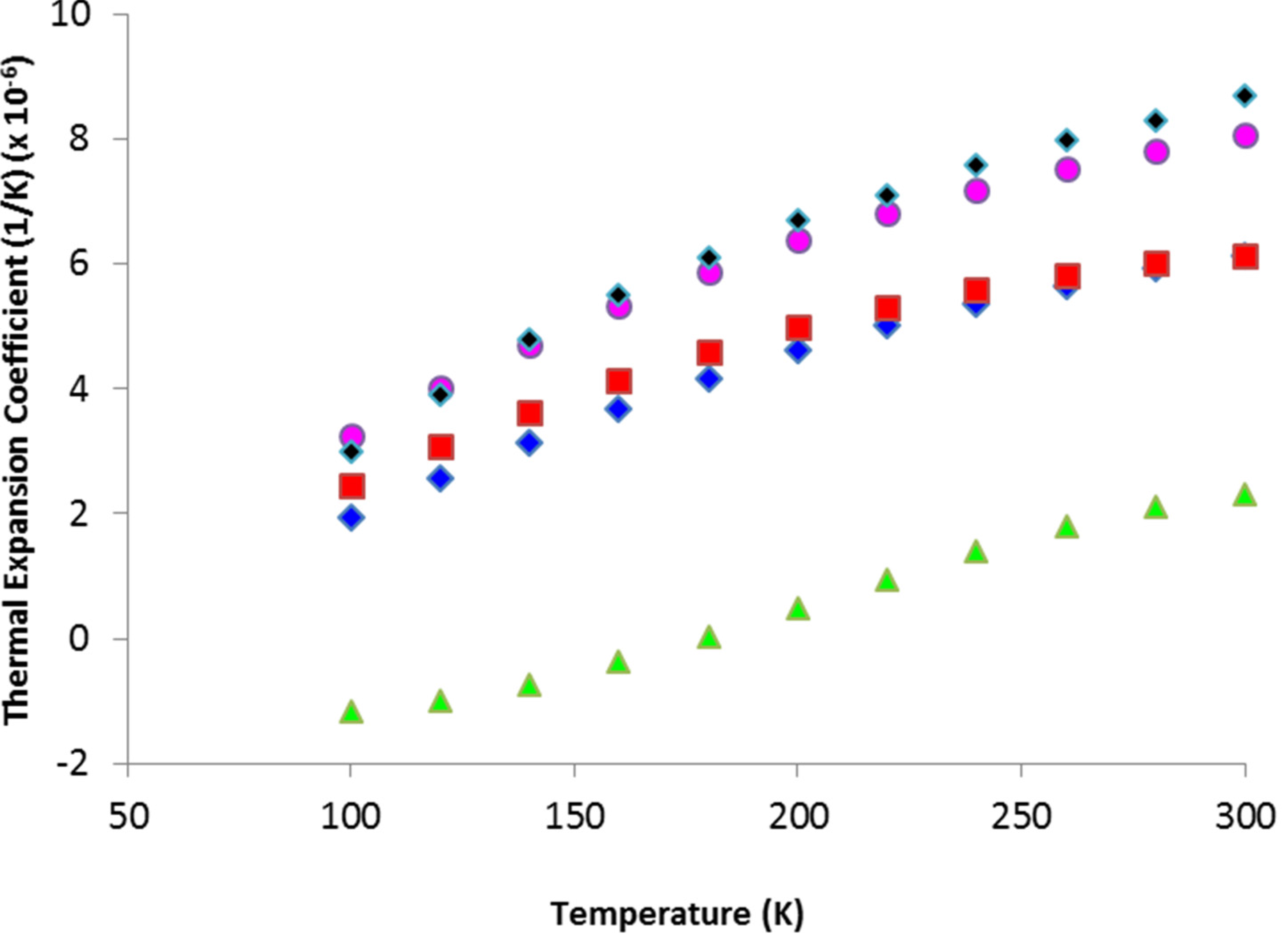
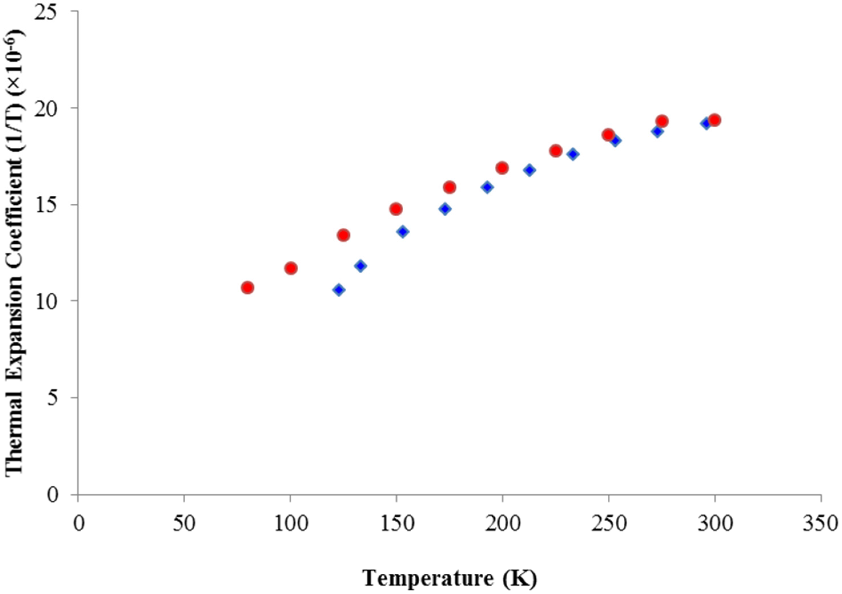
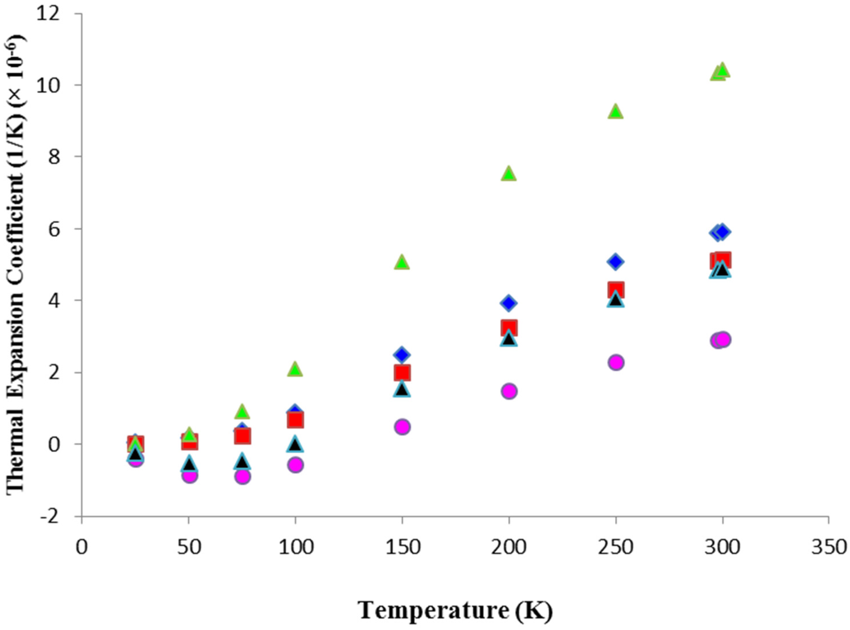
2.3. Thermal Expansion Coefficient
Reported Thermal Expansion Coefficient Measurements








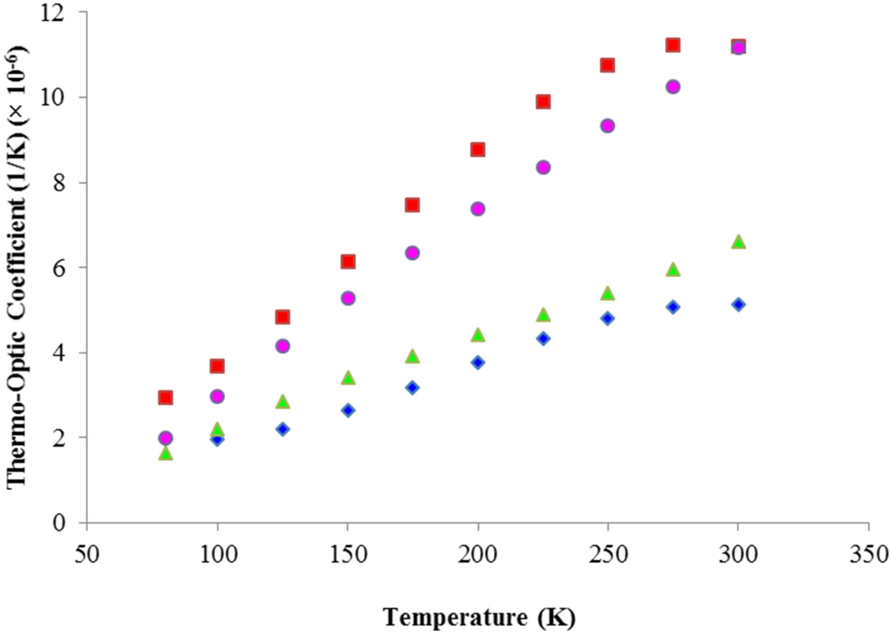
2.4. Thermo-Optic Coefficient Measurements




2.5. Elastic Parameters
| Elastic Parameters | (Gpa) | a (10−4/K) | E (300 K) (Gpa) | B0 (0 K) (Gpa) | b (×10−4/K) | B (300 K) (Gpa) | ν |
|---|---|---|---|---|---|---|---|
| Al2O3 | 393 | 1.33 | 377 | 241 | 0.84 | 235 | 0.23 |
| CaF | - | - | 110 | - | - | - | 0.30 |
| Lu2O3 | 204 | 1.03 | 198 | 161 | 0.24 | 160 | 0.29 |
| MgAl2O4 | 278 | 1.98 | 262 | 187 | 1.97 | 176 | 0.25 |
| MgO | 310 | 1.63 | 295 | 164 | 1.23 | 158 | 0.19 |
| Sc2O3 | 229 | 1.22 | 221 | 148 | 0.98 | 144 | 0.24 |
| Y2O3 | 176 | 1.37 | 169 | 147 | 1.93 | 139 | 0.30 |
| YAG | - | - | 302 | - | - | - | 0.24 |
| YbAG | - | - | 257 | - | - | - | 0.25 |
| LiYF4 | - | - | 77 | - | - | - | 0.33 |
2.6. Figures of Merit Comparison of Undoped Selected Laser Materials at 300 and 100 K
| Crystal | k (W/(cm·K) | α (10−6) (1/K) | β (10−6) (1/K) | ν | E (109) (gr/cm2) | (1010) (W·K)/cm | (10−5) (W·cm)/gr | Γ (W·cm)/gr | T (K) | |
|---|---|---|---|---|---|---|---|---|---|---|
| YAG | 0.112 | 6.14 | 7.80 | 0.086 | 0.24 | 3.080 | 2.72 | 5.23 | 6.71 | 300 |
| 0.461 | 1.95 | 0.90 | 0.086 | 0.24 | 3.080 | 305.44 | 67.83 | 753.7 | 100 | |
| LuAG | 0.083 | 6.13 | 8.30 | 0.086 | 0.25 | 2.872 | 1.90 | 4.11 | 4.95 | 300 |
| 0.254 | 2.46 | 0.70 | 0.086 | 0.25 | 2.872 | 171.5 | 31.35 | 447.86 | 100 | |
| YLF-a | 0.053 | 10.05 | −4.60 | 0.045 | 0.33 | 0.785 | 2.55 | 10.00 | 21.74 | 300 |
| 0.242 | 3.18 | −0.50 | 0.045 | 0.33 | 0.785 | 338.23 | 144.34 | 453.93 | 100 | |
| YLF-c | 0.072 | 14.31 | −6.60 | 0.045 | 0.33 | 0.785 | 1.69 | 9.54 | 14.45 | 300 |
| 0.337 | 2.36 | −1.80 | 0.045 | 0.33 | 0.785 | 176.29 | 270.81 | 1504.50 | 100 | |
| YALO-a | 0.117 | 2.32 | 7.70 | 0.096 | 0.23 | 3.220 | 6.82 | 12.56 | 16.31 | 300 |
| 0.649 | −1.16 | 1.00 | 0.096 | 0.23 | 3.220 | 582.79 | 139.36 | 1393.60 | 100 | |
| YALO-b | 0.100 | 8.08 | 11.70 | 0.096 | 0.23 | 3.220 | 1.10 | 3.08 | 2.63 | 300 |
| 0.544 | 3.24 | 4.50 | 0.096 | 0.23 | 3.220 | 388.66 | 41.82 | 92.93 | 100 | |
| YALO-c | 0.133 | 8.70 | 8.30 | 0.096 | 0.23 | 3.220 | 1.92 | 3.81 | 4.59 | 300 |
| 0.776 | 3.00 | 1.20 | 0.096 | 0.23 | 3.220 | 224.54 | 64.43 | 536.92 | 100 | |
| Lu2O3 | 0.114 | 6.10 | 7.1 * | 0.080 | 0.29 | 2.019 | 3.29 | 8.22 | 11.58 | 300 |
| 0.340 | 2.90 | 2.3 * | 0.080 | 0.29 | 2.019 | 63.72 | 51.54 | 224.09 | 100 | |
| Sc2O3 | 0.147 | 6.40 | 8.12 | 0.088 | 0.24 | 2.254 | 3.21 | 8.80 | 10.84 | 300 |
| 0.455 | 0.75 | 2.20 | 0.088 | 0.24 | 2.254 | 313.36 | 265.66 | 1207.55 | 100 | |
| Y2O3 | 0.130 | 6.30 | 6.08 | 0.074 | 0.30 | 1.723 | 4.59 | 11.33 | 18.64 | 300 |
| 0.520 | 0.90 | 2.40 | 0.074 | 0.30 | 1.723 | 325.33 | 156.86 | 653.58 | 100 | |
| CaF2 | 0.080 | 19.20 | −12.70 | 0.091 | 0.30 | 1.122 | 0.36 | 2.86 | 2.25 | 300 |
| 0.390 | 10.60 | −7.5 * | 0.091 | 0.30 | 1.122 | 5.32 | 25.22 | 23.79 | 100 | |
| Al2O3-c | 0.330 | 5.15 | 9.80 | 0.335 | 0.23 | 3.844 | 1.95 | 3.83 | 3.91 | 300 |
| 5.150 | 0.71 | 4.05 | 0.335 | 0.23 | 3.844 | 534.62 | 433.72 | 1070.91 | 100 | |
| Al2O3-a | 0.360 | 5.93 | 12.80 | 0.335 | 0.23 | 3.844 | 1.42 | 3.63 | 2.84 | 300 |
| 3.440 | 0.90 | 1.90 | 0.335 | 0.23 | 3.844 | 600.51 | 228.55 | 1202.89 | 100 |
2.7. Spectroscopic, Lasing, Linear and Nonlinear Optical Parameters
2.7.1. Spectroscopic and Lasing Parameters

2.7.2. Linear and Nonlinear Optical Parameters
Nonlinear Effects in Ultrafast Lasers
| Crystal Type | Crystal | E Field Orientation | Wavelength (nm) | n0 | n2 (esu) 10−13 | (cm2/W) 10−16 | Reference |
|---|---|---|---|---|---|---|---|
| SC | Al2O3 | E||C | 1064 | 1.76 | 1.30 | 3.09 | [68] |
| SC | Al2O3 | E||C | 532 | 1.78 | 1.40 | 3.30 | [68] |
| SC | Al2O3 | E||C | 355 | 1.80 | 1.60 | 3.72 | [68] |
| SC | Al2O3 | E||C | 266 | 1.82 | 2.60 | 5.98 | [68] |
| SC | Al2O3 | E||C | 650 | 1.77 | 1.36 | 3.21 | [69] |
| SC | Al2O3 | E||C | 700 | 1.77 | 1.33 | 3.17 | [69] |
| SC | Al2O3 | E||C | 750 | 1.76 | 1.32 | 3.14 | [69] |
| SC | Al2O3 | E||C | 800 | 1.76 | 1.31 | 3.11 | [69] |
| SC | Al2O3 | E||C | 850 | 1.76 | 1.30 | 3.09 | [69] |
| SC | Al2O3 | E||C | 900 | 1.76 | 1.29 | 3.06 | [69] |
| SC | Al2O3 | E||C | 950 | 1.76 | 1.28 | 3.04 | [69] |
| SC | Al2O3 | E||C | 1000 | 1.76 | 1.26 | 3.01 | [69] |
| SC | Al2O3 | E||C | 1050 | 1.76 | 1.26 | 2.99 | [69] |
| SC | Al2O3 | E||C | 1100 | 1.75 | 1.24 | 2.97 | [69] |
| SC | LiSAF | Unspecified | 850 | 1.39 | 1.10 | 3.30 | [70] |
| SC | LiCAF | Unspecified | 850 | 1.38 | 1.22 | 3.70 | [70] |
| SC | LiSGAF | Unspecified | 850 | 1.39 | 1.10 | 3.30 | [70] |
| SC | Mg2SiO4 | Unspecified | 1240 | 1.64 | 0.78 | 2.00 | [70] |
| GM | SiO2 | I | 1064 | 1.45 | 0.95 | 2.74 | [71] |
| GM | SiO2 | I | 527 | 1.46 | 1.05 | 3.00 | [71] |
| GM | SiO2 | I | 351 | 1.48 | 1.27 | 3.60 | [71] |
| GM | BK-7 | I | 1064 | 1.52 | 1.46 | 4.00 | [68] |
| SC | YAG | I | 1064 | 1.82 | 2.51 | 5.78 | [72] |
| SC | YAG | I | 1064 | 1.82 | 2.70 | 6.21 | [73] |
| CER | YAG | I | 1064 | 1.82 | 2.49 | 5.73 | [72] |
| SC | YALO | E||C | 1064 | 1.91 | 3.33 | 7.30 | [52] |
| SC | YLF | Unoriented Measurement | 1064 | 1.46 (o) 1.48 (e) | 0.60 | 1.72 | [74] |
| SC | LuAG | I | 1064 | 2.14 | 5.50 | 10.77 | [73] |
| SC | Y2O3 | I | 1064 | 1.78 | 5.33 | 12.54 | [73] |
| CER | Y2O3 | I | 1064 | 1.78 | 5.79 | 13.63 | [72] |
| CER | Sc2O3 | I | 1064 | 1.85 | 5.32 | 12.05 | [72] |
| CER | Lu2O3 | I | 1064 | 1.83 | 3.96 | 9.06 | [72] |
| SC | MgO | I | 1064 | 1.74 | 1.61 | 3.88 | [73] |
| SC | MgAl2O4 | I | 1064 | 1.72 | 1.50 | 3.65 | [73] |
| SC | CaF2 | I | 1064 | 1.43 | 0.43 | 1.26 | [73] |
| SC | YVO4 | E||C | 1080 | 2.25 | 8.06 | 15.00 | [75] |
| SC | YVO4 | E||A | 1080 | 1.96 | 8.89 | 19.00 | [75] |
| SC | YVO4 | Unoriented Measurement | 1064 | 2.06 (1) | 10.62 | 21.60 | [76] |
| SC | GdVO4 | Unoriented Measurement | 1064 | 2.08 (2) | 8.34 | 16.80 | [76] |
| SC | KGW | E||Nm | 800–1600 | 1.99 | 9.50 | 20.00 | [77] |
| SC | KGW | E||Np | 800–1600 | 2.03 | 7.27 | 15.00 | [77] |
| SC | KYW | E||Nm | 1080 | 2.01 | 4.80 | 10.00 | [75] |
| Gas | Air | I | 400 | 1 | 0.00128 | 0.00536 | [78] |
| Gas | Air | I | 800 | 1 | 0.00072 | 0.00301 | [78] |
Dispersion Effects in Ultrafast Lasers
| Crystal | Wavelength (nm) | n0 | β1 (fs/mm) | β2 (fs2/mm) | β3 (fs3/mm) | β4 (fs4/mm) | Reference |
|---|---|---|---|---|---|---|---|
| Al2O3-(e) (HEM) | 800 | 1.7540 | 5928.1 | 49.9 | 48.3 | −30.0 | [79] |
| Al2O3-(o) (HEM) | 800 | 1.7620 | 5960.6 | 42.2 | 48.7 | −36.7 | [79] |
| Al2O3-(e) (HEM) | 1030 | 1.7477 | 5912.4 | 11.9 | 81.3 | −127.6 | [79] |
| Al2O3-(o) (HEM) | 1030 | 1.7552 | 5946.7 | 7.0 | 87.9 | −146.4 | [79] |
| LiSAF-(e) | 850 | 1.4054 | 4709.2 | 7.9 | 15.7 | −15.0 | [82] |
| LiSAF-(o) | 850 | 1.4074 | 4720.0 | 9.5 | 28.4 | −1.2 | [82] |
| LiCAF-(e) | 760 | 1.3890 | 4654.6 | 23.6 | 13.6 | −3.3 | [83] |
| LiCAF-(o) | 760 | 1.3899 | 4659.5 | 23.1 | 13.7 | −3.9 | [83] |
| YAG | 1060 | 1.8243 | 6148.6 | 60.9 | 68.3 | −46.9 | [84] |
| YAG | 1030 | 1.8153 | 6121.7 | 66.6 | 66.7 | −41.6 | [84] |
| LuAG | 1060 | 1.8279 | 6136.5 | 74.6 | 45.7 | 7.3 | [85] |
| LuAG | 1030 | 1.8249 | 6151.8 | 64.4 | 66.1 | −39.3 | [85] |
| YALO-(a) | 1040 | 1.9341 | 6502.8 | 93.4 | 55.5 | 7.6 | [86] |
| YALO-(b) | 1040 | 1.9258 | 6473.2 | 90.3 | 53.5 | 7.2 | [86] |
| YALO-(c) | 1040 | 1.9140 | 6430.1 | 84.2 | 49.7 | 6.3 | [86] |
| YLF-(e) | 1020 | 1.4705 | 4927.6 | 21.7 | 24.2 | −18.7 | [87] |
| YLF-(o) | 1020 | 1.4483 | 4851.8 | 18.9 | 23.3 | −21.3 | [87] |
| YVO4-(e) | 1060 | 2.1661 | 5947.6 | 341.1 | 305.0 | 69.1 | [88] |
| YVO4-(o) | 1060 | 1.9579 | 6662.4 | 191.7 | 168.5 | 18.2 | [88] |
| KGW-(Np) | 1032 | 1.9829 | 6726.0 | 165.8 | 129.6 | 9.1 | [48] |
| KGW-(Nm) | 1027 | 2.0113 | 6828.7 | 178.7 | 139.5 | 12.6 | [48] |
| KGW-(Ng) | 1024 | 2.0625 | 7005.8 | 216.0 | 141.5 | 3.5 | [48] |
| KYW-(Np) | 1028 | 1.9690 | 6673.0 | 184.4 | 429.5 | 21.3 | [48] |
| KYW-(Nm) | 1028 | 2.0073 | 6814.0 | 207.2 | 495.1 | 26.0 | [48] |
| KYW-(Ng) | 1028 | 2.0514 | 6972.1 | 223.8 | 543.2 | 28.9 | [48] |
| KYbW-(Np) | 1040 | 1.9932 | 6772.2 | 130.5 | 106.2 | −29.9 | [48] |
| KYbW-(Nm) | 1026 | 2.0365 | 6897.3 | 173.2 | 421.5 | 56.3 | [48] |
| KYbW-(Ng) | 1024 | 2.0789 | 7074.3 | 179.6 | 307.7 | 20.9 | [48] |
| Y2O3 | 1030 | 1.8889 | 6386.6 | 113.9 | 93.2 | −14.0 | [89] |
| Sc2O3 | 1030 | 1.9654 | 6659.2 | 124.8 | 108.6 | −30.4 | [89] |
| Lu2O3 | 1030 | 1.9102 | 5691.4 | 126.1 | 100.6 | −15.8 | [89] |
| CaF2 | 1030 | 1.4287 | 4784.1 | 18.4 | 20.2 | −14.7 | [52] |
| BK-7, N-BK-7 | 800 | 1.5108 | 5088.8 | 44.6 | 32.0 | −10.0 | [52] |
| BK-7, N-BK-7 | 1030 | 1.5071 | 5070.2 | 25.1 | 44.7 | −49.8 | [52] |
| SF10 | 800 | 1.7112 | 5836.7 | 159.2 | 102.9 | 33.4 | [90] |
| SF10 | 1030 | 1.7030 | 5766.4 | 108.1 | 97.3 | −15.7 | [90] |
| SF11 | 800 | 1.7648 | 6036.4 | 189.4 | 124.1 | 48.3 | [52] |
| SF11 | 1030 | 1.7553 | 5952.9 | 128.9 | 113.0 | −7.3 | [52] |
| N-SF14 | 800 | 1.7429 | 5957.1 | 176.4 | 117.6 | 41.6 | [52] |
| N-SF14 | 1030 | 1.7337 | 5879.7 | 118.3 | 110.2 | −17.7 | [52] |
| Crystal SiO2 (e) | 1030 | 1.5282 | 5189.3 | 0.4 | 98.8 | −193.5 | [91] |
| Crystal SiO2 (o) | 1030 | 1.5342 | 5162.8 | 25.8 | 46.2 | −53.6 | [91] |
| Crystal SiO2 (e) | 800 | 1.5348 | 5200.6 | 38.1 | 50.4 | −43.9 | [91] |
| Crystal SiO2 (o) | 800 | 1.5381 | 5181.9 | 45.8 | 32.1 | −12.0 | [91] |
| Fused Silica (SiO2) | 800 | 1.4533 | 4890.5 | 36.1 | 27.3 | −11.0 | [92] |
| Fused Silica (SiO2) | 1030 | 1.4500 | 4875.7 | 19.0 | 40.4 | −49.8 | [92] |
2.7.3. Optically-Induced Laser Damage
2.7.4. Spectral and Laser Properties of Traditional and New Laser Materials
| Crystal | Crystal Type | (FWHM) (nm) | (FWHM) (nm) | (cm2) (10−20) | (nm) | (FWHM) (nm) | (cm2) (10−20) | (µs) | Temp (K) | Refs |
|---|---|---|---|---|---|---|---|---|---|---|
| Ti3+:Al2O3 | U | 455–580 | 120.0 | 6.45 | 790 | 225.0 | 3.0 | 3.2 | 300 | [6,101] |
| 493 | ||||||||||
| E||c (π) | ||||||||||
| Peak | ||||||||||
| Ti3+:Al2O3 | U | 455–575 | 122.0 | 2.79 | 800 | 236.0 | 1.5 | 3.2 | 300 | [6,101] |
| E||a (σ) | 493 | |||||||||
| Peak | ||||||||||
| Cr3+:LiSAF | U | 600–703 | 97.7 | 5.4 | 850 | 192.0 | 4.8 | 67 | 300 | [102] |
| E||c | 637 | |||||||||
| Peak | ||||||||||
| Cr3+:LiSAF | U | 593–693 | 102.3 | 2.6 | 850 | 171.4 | 1.6 | 67 | 300 | [102] |
| E||a | 637 | |||||||||
| Peak | ||||||||||
| Cr3+:LiCAF | U | 585–680 | 85.8 | 2.95 | 763 | 127.0 | 1.3 | 175 | 300 | [102] |
| E||c | 647 | |||||||||
| Peak | ||||||||||
| Cr3+:LiCAF | U | 580–680 | 92.7 | 2.00 | 763 | 127.0 | 0.9 | 175 | 300 | [102] |
| E||a | 647 | |||||||||
| Peak | ||||||||||
| Yb3+:CaF2 | A | 915–970 | 53.3 | 0.83 | 1030 | 26.7 | 0.25 | 1900 | 300 | [103] |
| 979 | 21.8 | 0.57 | ||||||||
| Yb3+:CaF2 | A | 915–970 | 53.3 | 0.88 | 1033 | 43.3 | 0.50 | 1900 | 77 | [103] |
| 980 | 2.93 | 1.57 | 990 | 10.7 | 0.83 | |||||
| Yb3+:Lu2O3 | A | 930–953 | 11.04 | 0.80 | 1033 | 13.2 | 1.89 | 820 | 300 | [104] |
| 978 | 3.49 | 3.81 | 1078 | 14.3 | 0.89 | [105] | ||||
| Yb3+:LuAG | A | 915–945 | 30.0 | 0.94 | 1030 | 3.4 | 2.50 | 950 | 295 | [104] |
| 970 | 2.75 | 1.01 | [106] | |||||||
| Yb3+:LuAG | A | 915–945 | 27.0 | 1.73 | 1030 | 1.1 | 13.90 | 950 | 100 | [104] |
| 970 | 1.10 | 2.47 | [106] | |||||||
| Yb3+:Sc2O3 | A | 942 | 26.2 | 0.87 | 1041 | 13.4 | 1.44 | 800 | 300 | [107] |
| 975 | 2.4 | 4.40 | 1095 | 10.7 | 0.33 | |||||
| Yb3+:Y2O3 | A | 950 | 5.96 | 0.87 | 1031 | 14.3 | 1.06 | 850 | 300 | [107] |
| 977 | 3.97 | 2.40 | 1076 | 15.6 | 0.42 | |||||
| Yb3+:YAG | A | 969 | 2.8 (300) | 3.28 | 1029 | 8.5 | 2.3 | 951 | 300 | [3,27] |
| 941 | 18.3 (300) | 1.22 | ||||||||
| Yb3+:YAG | A | 969 | 0.06 (80) | 37.0 | 1029 | 1.5 | 11.0 | 951 | 75–80 | [3,27] |
| 941 | 12.6 (75) | 1.70 | ||||||||
| Yb3+:YLF | U | 960 | 10.0 | 1.1 | 1020 | 36.0 | 0.8 | 2080 | 300 | [3,108] |
| E||c (π) | 992 | 8.0 | 0.4 | [109] | ||||||
| Yb3+:YLF | U | 929–953 | 25.0 | 0.3 | 1020 | 27.0 | 0.7 | 2080 | 300 | [3,108] |
| E||a (σ) | 960 | 6.0 | 0.4 | [109] | ||||||
| 971 | 12.0 | 0.3 | ||||||||
| Yb3+:YLF | U | 960 | < 1 | 6.8 | 1020 | 8.0 | 1.8 | 1990 | 79 | [3,108] |
| E||c (π) | 971 | < 0.5 | 1.4 | [109] | ||||||
| Yb3+:YLF | U | 930–950 | 21.0 | 0.8 | 1020 | 28.0 | 1.0 | 1990 | 79 | [3,108] |
| E||a (σ) | 960 | <2 | 2.4 | [109] | ||||||
| 971 | <1 | 2.8 | ||||||||
| Yb3+:GSAG | A | 928–950 | 22 | - | - | - | - | - | 300 | [30,110] |
| 946 | ||||||||||
| Yb3+:GSAG | A | 930–947 | 17 | - | 1030 | 2.4 | 5.6 | - | 77 | [30,110] |
| 943 |
3. Hydrothermal Crystal Growth

3.1. Recent Results For Sesquioxide Laser Materials
3.1.1. Yb:Lu2O3 Absorption Spectroscopy

3.1.2. Sm:YAG and Sm:LuAG For The Suppression of Parasitic Oscillations and Amplified Spontaneous Emission






3.1.3. Dy:YAG and Dy:Lu2O3 For The Suppression of Parasitic Oscillations and Amplified Spontaneous Emission


4. Review and Status of Cryogenic Laser Technology
4.1. Cryogenic CW Lasers

| Year | CW Output Power (W) | Laser Material | Reference |
|---|---|---|---|
| 1998 | 40 | Yb:YAG | [1] |
| 2001 | 110 | Yb:YLF | [109] |
| 2004 | 165 | Yb:YAG | [126] |
| 2005 | 300 | Yb:YAG | [127] |
| 2005 | 75 | Yb:YAG | [128] |
| 2007 | 250 | Yb:YAG | [129] |
| 2007 | 455 | Yb:YAG | [3] |
| 2007 | 400 | Yb:YAG | [4] |
| 2008 | 550 | Yb:YAG | [130] |
| 2009 | 273 | Yb:YAG | [131] |
| 2010 | 180 | Yb:YLF | [108] |
| 2010 | 973 | Yb:YAG | [132] |
| 2011 | 214 | Yb:YAG | [133] |
| 2011 | 123 | Yb:YAG | [30] |
| 2011 | 33 | Yb:CaF2 | [134] |
| 2011 | 500 | Yb:YAG | [135] |
| 2012 | 277 | Yb:YAG | [136] |
| 2013 | 200 | Yb:YAG | [137] |
| 2014 | 494 | Yb:YAG | [138,139] |
4.2. Other Cryogenic CW Lasers
4.2.1. Ho:YAG Cryogenic Lasers
4.2.2. Er Cryogenic Lasers

4.3. Cryogenic Nanosecond Lasers

| Year | Energy/Pulse (mJ) | Repetition Rate (Hz) | Average Power (W) | Pulsewidth (ns) | Reference |
|---|---|---|---|---|---|
| 2005 | 4.6 | 16,000 | 74 | 175 | [148] |
| 2010 | 6.5 | 5000 | 114 | 15 | [147] |
| 2010 | 1.5 | 200 | 1.3 | 10 | [147] |
| 2010 | 140 | 1000 | 1.5 | 10 | [153] |
| 2010 | 22.8 | 5000 | 114 | 16 | [30,150] |
| 2011 | 4.5 | 40,000 | 340 | 75 | [135] |
| 2013 | 120 | 500 | 80 | 70 | [149] |
| 2013 | 10,100 | 1 | 10.1 | 10 | [152] |
| 2014 | 3050 | 10 | 30.5 | 10 | [151] |
4.4. Cryogenic Ultrafast (Picosecond and Femtosecond) Lasers
| Year | Crystal Type | Ep (mJ) | (Hz) | Pav (W) | (nm) Table 6 | (nm) | (ps) | (nm) | (ps) | (nm) | (ps) | (ps) | (W) | Ref |
|---|---|---|---|---|---|---|---|---|---|---|---|---|---|---|
| 2003 | Yb:YLF | 30 × 10−3 BC | 20 | 3.6 | 27.0 | 1017 | 0.097 | 15 | 0.101 | 5 | 0.304 | 0.795 | 11.64 × 109 | [155] |
| σ | 18 × 10−3 AC | |||||||||||||
| 2007 | Yb:YAG | 0.296 × 10−3 | 80 × 102 | 24.0 | 1.5 | 1029 | 1.038 | 1.45 | 10.7 | 1.33 | 11.7 | 11.7 | 25.6 × 106 | [158] |
| 2007 | Yb:YAG | 0.99 × 10−3 | 20 × 103 | 19.8 | 1.5 | 1029 | 1.038 | 1.45 | 10.7 | 1.33 | 11.7 | 11.7 | 84.6 × 106 | [158] |
| 2007 | Yb:YAG SHG | 8 × 10−3 BC | 10 × 103 | 0.075 | 1.5 | 1029 | 1.038 | 17.0 | 0.092 | 0.5 | 3.1 | 34.5 | 217.5 × 106 | [159] |
| 7.5 × 10−3 AC | 0.019 | 515 | 25.0 | |||||||||||
| 1.9 × 10−3 | ||||||||||||||
| 2008 | Yb:YAG | 3.7 × 10−6 | 78 × 106 | 287 | 1.5 | 1029 | 1.038 | 0.4 | 3.89 | 0.3 | 5.2 | 5.5 | 0.67 × 106 | [160] |
| 2009 | Yb:YAG | 3.1 × 10−6 | 78 × 106 | 240 | 1.5 | 1029 | 1.038 | 0.4 | 3.89 | 0.3 | 5.2 | 8.0 | 0.39 × 106 | [161] |
| 0.2 | 1.9 | 6.4 | 0.26 × 106 | |||||||||||
| SHG | 1.8 × 10−6 | 130 | 515 | |||||||||||
| 2009 | Yb:YAG | 1.45 BC | 10 | 10.2 | 1.5 | 1029 | 1.038 | - | - | - | - | 8.5 | 0.12 × 1012 | [162] |
| 1.02 AC | ||||||||||||||
| 2010 | Yb:YAG | 40 × 10−3 BC | 2 × 103 | 80 | 1.5 | 1029 | 1.038 | 0.24 | 6.49 | 0.10 | 15.0 | - | 2.13 × 109 | [163] |
| 32 × 10−6 AC | ||||||||||||||
| 2010 | Yb:YAG | 15.16 × 10−6 | 50 × 106 | 758 | 1.5 | 1029 | 1.038 | 0.82 | 1.90 | 0.16 | 9.7 | 12.4 | 1.23 × 106 | [132] |
| SHG | 1.20 × 10−6 | 60 | 515 | |||||||||||
| 11.8 | 0.10 × 106 | |||||||||||||
| 2011 | Yb:YAG | 8.38 x10−6 | 50 × 106 | 419 | 1.5 | 1029 | 1.038 | 0.82 | 1.90 | 0.16 | 9.7 | 12.4 | 0.68 × 106 | [164] |
| SHG | 4.02 x 10−6 | 201 | 515 | |||||||||||
| 12.4 | 0.32 × 106 | |||||||||||||
| 2011 | Yb:YAG | 20 × 10−3 BC | 2 × 103 | 20 | 1.5 | 1029 | 1.038 | 0.70 | 2.22 | 0.24 | 6.5 | 14.2 | 0.915 × 109 | [165] |
| 13 × 10−3 AC | ||||||||||||||
| 2011 | Yb:YAG | 140 × 10−3 BC | 100 | 10 | 1.5 | 1029 | 1.038 | 0.55 | 2.83 | 0.35 | 4.45 | 4.8 | 20.83 × 109 | [166] |
| 100 × 10−3 AC | ||||||||||||||
| 2011 | Yb:YAG | 23 × 10−3 UC | 5 × 103 | 115 | 1.5 | 1030 | 1.040 | 1.0 | 1.56 | 0.30 | 5.2 | - | 4.4 × 109 (E) | [30] |
| 2011 | Yb:YAG+ | 14.6 × 10−3 BC | 5 × 103 | 60 | - | 1030 | - | 1.1 | 1.42 | 0.70 | 2.2 | 1.6 | 7.5 × 109 | [30] |
| Yb:GSAG | 12 × 10−3 AC | |||||||||||||
| 2012 | Yb:YLF | 10.6 × 10−3 | 10 × 103 | 106 | 27.0 | 1020 | 1.038 | 2.40 | 0.65 | 2.20 | 0.71 | 0.865 | 12.3 × 109 | [167] |
| σ | ||||||||||||||
| 2014 | Yb:Y2O3 | 0.70 × 10−3 | 1 × 103 | 0.70 | 14.3 | 1031 | 0.109 | - | - | - | - | - | - | [168] |
| (R) | (UC) | |||||||||||||
| 2015 | Yb:YAG | 100 × 10−3 (UC) | 250 | 25.0 | 1.5 | 1029 | 1.038 | - | - | - | - | - | - | [169] |
| 2015 | Yb:YAG | 72 | 1 | 72 | 1.5 | 1030.5 | 1.038 | 1.0 | 1.57 | 0.35 | 4.45 | 5.9 | 8.0 × 109 | [110] |


5. Conclusions
Acknowledgments
Author Contributions
Conflicts of Interest
References
- Lacovara, P.; Choi, H.K.; Wang, C.A.; Aggarwal, R.L.; Fan, T.Y. Room-temperature diode-pumped Yb:YAG laser. Opt. Lett. 1991, 16, 1089–1091. [Google Scholar] [CrossRef] [PubMed]
- Brown, D.C. The promise of cryogenic lasers. IEEE J. Sel. Top. Quantum Electron. 2005, 11, 587–599. [Google Scholar] [CrossRef]
- Fan, T.Y.; Ripin, D.J.; Aggarwal, R.L.; Ochoa, J.R.; Chann, B.; Tilleman, M.; Spitzberg, J. Cryogenic Yb3+-doped solid-state lasers, Invited Paper. IEEE J. Sel. Top. Quantum Electron. 2007, 13, 448–459. [Google Scholar] [CrossRef]
- Wall, K.F.; Moulton, P.F. High power operation of cryogenic Yb:YAG. In Proceedings of the SPIE, San Jose, CA, USA, 23 January 2007.
- Keyes, R.J.; Quist, T.M. Injection luminescent pumping of CaF2:U3+ with GaAs diode lasers. Appl. Phys. Lett. 1974, 4, 50–52. [Google Scholar] [CrossRef]
- Moulton, P.F. Spectroscopic and laser characteristics of Ti:Al2O3. J. Opt. Soc. Am. B 1986, 3, 125–133. [Google Scholar] [CrossRef]
- Moulton, P.F. Efficient cw optically pumped Ni:MgF2 laser. Opt. Lett. 1978, 3, 164–166. [Google Scholar] [CrossRef] [PubMed]
- Moulton, P.F. Broadly tunable cw operation of Ni:MgF2 and Co:MgF2 lasers. Appl. Phys. Lett. 1979, 35, 838–840. [Google Scholar] [CrossRef]
- Moulton, P.F. Pulse-pumped operation of divalent transition-metal lasers. IEEE J. Quantum Electron. 1982, 18, 1185–1188. [Google Scholar] [CrossRef]
- Moulton, P.F. An investigation of the Co:MgF2 system. IEEE J. Quantum Electron. 1985, 21, 1582–1595. [Google Scholar] [CrossRef]
- Schulz, P.A. Liquid-nitrogen-cooled Ti:Al2O3 laser. IEEE J. Quantum Electron. 1991, 27, 1039–1047. [Google Scholar] [CrossRef]
- Johnson, J.F.; Dietz, R.E.; Guggenheim, H.J. Optical maser oscillation from Ni2+ in MgF2 involving simultaneous emission of phonons. Phys. Rev. Lett. 1963, 11, 318–320. [Google Scholar] [CrossRef]
- Doehler, J.; Solin, S.A. A compact efficient liquid nitrogen system for cooling solid state lasers: Application to YAG:Nd3+ and ABC-YAG. Rev. Sci. Instr. 1972, 43, 1189–1193. [Google Scholar] [CrossRef] [Green Version]
- Beck, R.; Gürs, K. Ho laser with 50-W output and 6.5% slope efficiency. J. Appl. Phys. 1975, 48, 5224–5225. [Google Scholar] [CrossRef]
- Kaminskii, A.A. Laser Crystals; Springer-Verlag: Berlin, Germany; Heidelberg, Germany; New York, NY, USA, 1990. [Google Scholar]
- Kaminskii, A.A. Crystalline Lasers: Physical Processes and Operating Schemes; CRC Press: Boca Raton, FL, USA, 1996. [Google Scholar]
- Bowess, C. Liquid Nitrogen Cooled Ruby Laser. US Patent 3339150, 29 August 1967. [Google Scholar]
- McMahon, D.H. Cooling System for Laser Media. US Patent 3676798, 11 July 1972. [Google Scholar]
- Brown, D.C.; Nelson, R. Ultra-high-average-power diode-pumped Nd:YAG and Yb:YAG lasers. BMDO Phase I Small Business Innovation Research Contract # N00P14-97-P-2064 Final Report. 1998. [Google Scholar]
- Brown, D.C. Ultrahigh-average-power diode-pumped Nd:YAG and Yb:YAG lasers. IEEE J. Quantum Electron. 1997, 33, 863–873. [Google Scholar] [CrossRef]
- Brown, D.C. Nonlinear Thermal Distortion in YAG Rod Amplifiers. IEEE J. Quantum Electron. 1998, 33, 2383–2392. [Google Scholar] [CrossRef]
- Brown, D.C. Nonlinear Thermal and Stress Effects and Scaling Behavior of YAG Slab Amplifiers. IEEE J. Quantum Electron. 1998, 33, 2393–2402. [Google Scholar] [CrossRef]
- Fan, T.Y.; Daneu, J.J. Thermal coefficients of the optical path length and refractive index in YAG. Appl. Opt. 1998, 37, 1735–1637. [Google Scholar] [CrossRef]
- Fan, T.Y.; Crow, T.; Hoden, B. Cooled Yb:YAG for high power solid-state lasers. In Airborne Laser Advanced Technology (Proceedings of SPIE); SPIE Press: Bellingham, MA, USA, 1998; Volume 3381, pp. 200–215. [Google Scholar]
- Glur, H.; Lavi, R.; Grat, T. Reductions of thermally induced lenses in Nd; YAG with low temperatures. IEEE J. Quantum Electron. 2004, 40, 499–503. [Google Scholar] [CrossRef]
- Wynne, R.; Daneu, J.J.; Fan, T.Y. Thermal coefficients of the expansion and refractive index in YAG. Appl. Opt. 1999, 38, 3282–3284. [Google Scholar] [CrossRef] [PubMed]
- Brown, D.C.; Cone, R.L.; Sun, Y.; Equall, R.W. Yb:YAG absorption at ambient and cryogenic temperatures. IEEE J. Sel. Top. Quantum Electron. 2005, 11, 604–612. [Google Scholar] [CrossRef]
- Brown, D.C.; Bruno, T.M.; Vitali, V. Saturated Absorption Effects in CW-Pumped Solid-State Lasers. IEEE J. Quantum Electron. 2010, 40, 1717–1725. [Google Scholar] [CrossRef]
- Aggarwal, R.L.; Ripin, D.J.; Ochoa, J.R.; Fan, T.Y. Measurement of thermo-optic properties of Y3Al5O12, Lu3Al5O12, YAlO3, LiYF4, BaY2F8, KGd(WO4)2, and KY(WO4)2 laser crystals in the 80–300 K temperature range. J. Appl. Phys. 2005, 98, 1–14. [Google Scholar]
- Rand, D.; Miller, D.; Ripin, D.J.; Fan, T.Y. Cryogenic Yb3+-doped materials for pulsed solid-state laser applications. Opt. Mater. Express 2011, 1, 434–450. [Google Scholar] [CrossRef]
- Backus, S.; Durfee, C.G., III; Mourou, G.; Kapteyn, H.; Murnane, M.M. 0.2-TW laser system at 1 Hz. Opt. Lett. 1997, 22, 1256–1258. [Google Scholar] [CrossRef] [PubMed]
- Backus, S.; Durfee, C.G., III; Murnane, M.M.; Kapteyn, H. High power ultrafast lasers. Rev. Sci. Instrum. 1998, 69, 1207–1223. [Google Scholar] [CrossRef]
- Matsushima, I.; Yashiro, H.; Tomie, T. A 37% efficiency, kilohertz repetition rate cryogenically cooled Ti:Sapphire regenerative amplifier. Jpn. J. Appl. Phys. 2005, 25, L823–L826. [Google Scholar] [CrossRef]
- Dantan, A.; Laurat, J.; Ourjoumtsev, A.; Tualle-Brouri, R.; Grangier, P. Femtosecond Ti:Sapphire cryogenic amplifier with high gain and MHz repetition rate. Opt. Express 2007, 15, 8864–8870. [Google Scholar] [CrossRef] [PubMed]
- Planchon, T.A.; Amir, W.; Childress, C.; Squier, J.A.; Durfee, C.G. Measurement of pump-induced transient lensing in a cryogenically-cooled high average power Ti:Sapphire amplifier. Opt. Express 2008, 16, 18557–18564. [Google Scholar] [CrossRef] [PubMed]
- Maiman, T.H. Stimulated Optical Radiation in Ruby. Nature 1960, 187, 493–494. [Google Scholar] [CrossRef]
- Brown, D.C. High-Peak-Power Nd:Glass Laser Systems. In Springer Series in Optical Sciences; Springer-Verlag: Berlin, Germany; Heidelberg, Germany, 1981. [Google Scholar]
- Brown, D.C.; Vitali, V.A. Yb:YAG kinetics model including saturation and power conservation. IEEE J. Quantum Electron. 2011, 47, 3–12. [Google Scholar] [CrossRef]
- Kittel, C. Introduction to Solid-State Physics, 8th ed.; John Wiley and Sons, Inc.: Hoboken, NJ, USA, 2005. [Google Scholar]
- Zhou, Y.; Xiang, H.; Feng, Z. Theoretical investigation on mechanical and thermal properties of a promising thermal barrier material: Yb3Al5O12. J. Mater. Sci. Technol. 2014, 30, 631–638. [Google Scholar] [CrossRef]
- Jiji, L.M. Heat Conduction, 3rd ed.; Springer-Verlag: Berlin, Germany; Heidelberg, Germany; New York, NY, USA, 2009. [Google Scholar]
- Klemens, P.G. Thermal resistance due to point defects at high temperature. Phys. Rev. 1960, 119, 507–509. [Google Scholar] [CrossRef]
- McMillen, C.D.; Thompson, D.; Tritt, T.; Kolis, J.W. Hydrothermal single crystal growth of Lu2O3 and lanthanide doped Lu2O3. Cryst. Growth Des. 2011, 11, 4386–4391. [Google Scholar] [CrossRef]
- Greibner, U.; Petrov, V.; Petermann, K.; Peters, V. Passively mode-locked Yb:Lu2O3 laser. Opt. Express 2004, 12, 3125–3130. [Google Scholar] [CrossRef]
- Slack, G.A.; Oliver, D.W. Thermal conductivity of garnets and phonon scattering by rare-earth ions. Phys. Rev. 1971, 4, 592–609. [Google Scholar] [CrossRef]
- Holland, M.G. Thermal conductivity of several optical maser materials. J. Appl. Phys. 1962, 33, 2910–2911. [Google Scholar] [CrossRef]
- Padture, N.P.; Klemens, P.G. Low thermal conductivity in garnets. J. Am. Ceram. Soc. 1997, 80, 1018–1020. [Google Scholar] [CrossRef]
- Klopp, P. New Yb3+-Doped Laser Materials and Their Application in Continuous-Wave and Mode-Locked Lasers. Ph.D. Thesis, University of Berlin, Berlin, Germany, 2006. [Google Scholar]
- Fredrich-Thornton, S.T. Nonlinear Losses in Single Crystalline and Ceramic Yb:YAG Thin Disk Lasers. Ph.D. Thesis, University of Hamburg, Hamburg, Germany, 2010. [Google Scholar]
- Beil, K.; Saraceno, C.J.; Schriber, C.; Emaury, F.; Heckl, O.H.; Baer, C.R.E.; Golling, M.; Südmeyer, T.; Keller, U.; Kränkel, C.; et al. Yb-doped mixed sesquioxides for ultrashort pulse generation in the thin disk laser setup. Appl. Phys. B Lasers Opt. 2013, 113, 13–18. [Google Scholar] [CrossRef]
- Koopman, P.; Lamrini, S.; Scholle, K.; Fuhrberg, P.; Petermann, K.; Huber, G. High Power Diode Pumped 1 µm laser operation of Tm:Lu2O3. In Proceedings of the CLEO/QELS Conference 2010, Optical Society of America Paper CMDD1, San Jose, CA, USA, 16–21 May 2010.
- Nikogosyan, D.N. Properties of Optical and Laser-Related Materials: A Handbook; John Wiley and Sons, Inc.: Hoboken, NJ, USA, 1998. [Google Scholar]
- Garrec, B.L.; Cardinali, V.; Bourdet, G. Thermo-optical measurements of ytterbium doped ceramics (Sc2O3, Y2O3, Lu2O3, YAG) and crystals (YAG, CaF2) at cryogenic temperatures. In High-Power, High-Energy, and High-Intensity Laser Technology; and Research Using Extreme Light; Entering New Frontiers with Petawatt-Class Lasers Proceedings of SPIE; Hein, J., Korn, G., Silva, L.O., Eds.; SPIE Press: Bellingham, WA, USA, 2013. [Google Scholar] [CrossRef]
- Popov, P.A.; Federov, P.P.; Kuznetsov, V.A.; Konyushkin, V.A.; Osiko, V.V.; Basiev, T.T. Thermal conductivity of single crystals of Ca1-xYbxF2+x solid solutions. Dokl. Phys. 2008, 53, 198–200. [Google Scholar] [CrossRef]
- Toulokian, Y.S.; Kirby, R.K.; Taylor, R.E.; Lee, T.Y.R. Thermophysical Properties of Matter; Plenum Press: New York, NY, USA, and London, UK, 1977. [Google Scholar]
- Linde, D.R. (Ed.) Handbook of Chemistry and Physics, 76th ed.; CRC Press: Boca Raton, FL, USA, 1995.
- Powell, R.L.; Blanpied, W.A. Thermal conductivity of metals and alloys at low temperature. In National Bureau of Standards Circular 556; U.S. Government Printing Office: Washington, D.C., USA, 1954. [Google Scholar]
- Yasuhara, R.; Furuse, H.; Iwamoto, A.; Kawanaka, J.; Yagatitani, T. Evaluation of thermo-optic characteristics of cryogenically cooled Yb:YAG ceramics. Opt. Express 2012, 20, 29532–29539. [Google Scholar] [CrossRef] [PubMed]
- Cardinalli, V.; Marmois, E.; Garrec, B.L.; Bourdet, G. Determination of the thermo-optic coefficient dn/dT of ytterbium doped ceramics (Sc2O3, Y2O3, Lu2O3, YAG) and crystals (YAG, CaF2) and neodymium doped phosphate glass at cryogenic temperature. Opt. Mater. 2012, 34, 990–994. [Google Scholar] [CrossRef]
- Reeber, R.R.; Wang, K. Lattice parameters and thermal expansion of important semiconductors and their substrates. Mater. Res. Soc. Symp. 2000, 622, T635.1–T635.6. [Google Scholar] [CrossRef]
- Senyshyn, A.; Vasylechko, L. Low temperature crystal structure behavior of complex yttrium aluminum oxides YAlO3 and Y3Al5O12. Acta Phys. Pol. A 2013, 124, 329–335. [Google Scholar] [CrossRef]
- Munro, R.G. Analytical representations of elastic moduli data with simultaneous dependence on temperature and porosity. J. Res. Natl. Inst. Stand. Technol. 2004, 109, 497–503. [Google Scholar] [CrossRef]
- Krupke, W.F.; Shinn, M.D.; Marion, J.E.; Caird, J.A.; Stokowski, S.E. Spectroscopic, optical, and thermomechnical properties of neodymium- and chromium-doped gadolinium scandium gallium garnet. J. Opt. Soc. Am. B 1986, 3, 102–114. [Google Scholar] [CrossRef]
- Boyd, R.W.; Lukishova, S.G. Topics in Applied Physics. In Self-Focusing: Past and Present; Springer-Verlag: New York, NY, USA, 2009. [Google Scholar]
- Soures, J.M. Selected Papers on High Power Lasers; SPIE Press: Bellingham, MA, USA, 1991. [Google Scholar]
- Strickland, D.; Mourou, G. Compression of amplified chirped optical pulses. Opt. Commun. 1985, 56, 219–221. [Google Scholar] [CrossRef]
- Boyd, R.W. Nonlinear Optics, 2nd ed.; Academic Press: London, UK; San Diego, CA, USA, 2003. [Google Scholar]
- DeSalvo, R.; Said, A.A.; Hagan, D.J.; van Stryland, E.W.; Sheik-Bahae, M. Infrared to ultraviolet measurements of two-photon absorption and n2 in wide bandgap solids. IEE J. Quantum Electron. 1996, 32, 1324–1333. [Google Scholar] [CrossRef]
- Major, A.; Yoshino, F.; Nikolakakos, I.; Aitchison, J.S.; Smith, P.W.E. Dispersion of the nonlinear index in sapphire. Opt. Lett. 2004, 29, 602–604. [Google Scholar] [CrossRef] [PubMed]
- Diels, J.C. Ultrashort Laser Pulse Phenomena, 2nd ed.; Elsevier, Inc.: Amsterdam, The Netherlands, 2006. [Google Scholar]
- Milam, D. Review and assessment of measured values of the nonlinear refractive-index coefficient of fused silica. Appl. Opt. 1998, 37, 546–550. [Google Scholar] [CrossRef] [PubMed]
- Senatsky, Y.; Shirahawa, A.; Sato, Y.; Hagiwara, J.; Lu, J.; Ueda, K.; Yagi, H.; Yanagitani, T. Nonlinear refractive index of ceramic laser media and perspectives on their usage in a high-power laser driver. Laser Phys. Lett. 2004, 1, 500–506. [Google Scholar] [CrossRef]
- Sanghera, J.; Kim, W.; Villalobos, G.; Shaw, B.; Baker, C.; Frantz, J.; Sadowski, B.; Aggarwal, I. Ceramic Laser Materials. Materials 2012, 5, 258–277. [Google Scholar] [CrossRef]
- Milam, D. Nonlinear refractive index of fluoride crystals. Appl. Phys. Lett. 1977, 32, 822–825. [Google Scholar] [CrossRef]
- Lagatsky, A.A.; Sarmani, A.R.; Brown, C.T.A.; Sibbett, W.; Kisel, V.E.; Selivanov, A.G.; Denisov, I.A.; Troshlin, A.E.; Yumashev, K.V.; Kuleshov, N.V.; et al. Yb3+-doped YVO4 crystal for efficient kerr-lens mode locking in solid-state lasers. Opt. Lett. 2005, 30, 3234–3236. [Google Scholar] [CrossRef] [PubMed]
- Vodchits, A.I.; Orlovich, V.A.; Apanasevich, P.A. Nonlinear refractive index of vanadate crystals in the near IR region. J. Appl. Spectrosc. 2012, 78, 918–921. [Google Scholar] [CrossRef]
- Major, A.; Nikolakakos, I.; Aitchison, J.S.; Ferguson, A.I.; Langford, N.; Smith, P.W.E. Characterization of the nonlinear refractive index of the laser crystal Yb:KGd(WO4)2. Appl. Phys. B Lasers Opt. 2003, 77, 433–436. [Google Scholar] [CrossRef]
- Geints, Y.E.; Kabanov, A.M.; Zemlyanov, A.A.; Bykova, E.E.; Bukin, O.A.; Golik, S.S. Kerr-driven nonlinear refractive index of air at 800 and 400 nm measured through femtosecond laser pulse filimentation. Appl. Phys. Lett. 2011, 99, 1–3. [Google Scholar] [CrossRef]
- DeFranzo, A.C.; Pazol, B.G. Index of refraction measurement of sapphire at low temperatures and visible wavelengths. Appl. Opt. 1993, 32, 2224–2234. [Google Scholar] [CrossRef] [PubMed]
- Uemura, S.; Torizuka, K. Development of a diode-pumped kerr-lens mode-locked Cr:LiSAF laser. IEEE J. Quantum Electron. 2003, 39, 68–73. [Google Scholar] [CrossRef]
- Peterson, R.D.; Pham, A.T.; Jensson, H.P.; Cassanho, A.; Castillo, V. Thermo-optical comparison of LiSAF, LiCAF, and LiSGaF. In Proceedings of the Advanced Solid-State Laser Conference, Boston, MA, USA, 31 January 1999.
- Payne, S.A.; Smith, L.K.; Beach, R.L.; Chai, B.H.T.; Tassano, J.K.; DeLoach, L.D.; Kway, W.L.; Solarz, R.W.; Krupke, W.F. Properties of Cr:LiSrAlF6 crystals for laser operation. Appl. Opt. 1994, 33, 5526–5536. [Google Scholar] [CrossRef] [PubMed]
- Woods, B.W.; Payne, S.A.; Marion, J.E.; Hughes, R.S.; Davis, L.E. Thermomechanical and thermo-optical properties of the LiCaAlF6:Cr3+ laser material. J. Opt. Soc. Am. B 1991, 8, 970–977. [Google Scholar] [CrossRef]
- Ileri, B. Lattice Matching of Epitaxial Rare-Earth-Doped Dielectric PLD-Films. Ph.D. Thesis, University of Hamburg, Hamburg, Germany, 2007. [Google Scholar]
- Weber, M.J. Handbook of Optical Materials: Supplement 2; CRC Press: Boca Raton, FL, USA, 2003. [Google Scholar]
- Morrison, C.A.; Leavitt, R.P. Handbook on the Physics and Chemistry of Rare Earths; North-Holland: Amsterdam, The Netherlands, 1982. [Google Scholar]
- Barnes, N.P.; Gettemy, D.J. Temperature variation of the refractive indices of yttrium lithium flouride. J. Opt. Soc. Am. 1980, 70, 1244–1247. [Google Scholar] [CrossRef]
- Zelmon, D.E.; Lee, J.J.; Currin, K.M.; Northridge, J.M.; Perlov, D. Revisiting the optical properties of Nd doped yttrium orthovanadates. Appl. Opt. 2010, 49, 644–647. [Google Scholar] [CrossRef] [PubMed]
- Zelmon, D.E.; Northridge, J.M.; Haynes, N.D.; Perlov, D.; Petermann, K. Temperature-dependent Sellmeier equations for rare-earth sesquioxides. Appl. Opt. 2013, 52, 3824–3828. [Google Scholar] [CrossRef] [PubMed]
- Paunescu, G. Ytterbium-Doped Femtosecond Solid-State Lasers. Ph.D. Thesis, Friedrich-Schiller University, Jena, Germany, 2006. [Google Scholar]
- Singh, J. Optical Properties of Condensed Matter and Applications; John Wiley and Sons, Ltd.: Hoboken, NJ, USA, 2006. [Google Scholar]
- Malitson, I.H. Interspeciman comparison of the refractive index of fused silica. JOSA 1965, 55, 1205–1209. [Google Scholar] [CrossRef]
- Koechner, W. Solid-State Laser Engineering, 5th ed.; Springer Series in Optical Sciences; Springer-Verlag: Berlin, Germany; Heidelberg, Germany, 1999. [Google Scholar]
- Wood, R.M. Laser-Induced Damage of Optical Materials; Series in Optics and Optoelectronics; Institute of Physics Publishing: Bristol, UK, 2003. [Google Scholar]
- Stuart, B.C.; Feit, M.D.; Herman, S.; Rubenchik, A.M.; Shore, B.W.; Perry, M.D. Optical ablation by high-power short-pulse lasers. J. Opt. Soc. Am. B 1996, 13, 459–468. [Google Scholar] [CrossRef]
- Wang, H.; Zhang, W.; He, H. Laser-induced damage behaviors of antireflective coatings at cryogenic condition. Appl. Opt. 2012, 51, 8687–8692. [Google Scholar] [CrossRef] [PubMed]
- Yang, L.; Yuan, H.D.; Deng, H.X.; Xiang, X.; Zheng, W.G.; He, S.B.; Jiang, Y.; Lv, H.B.; Ye, L.; Wang, H.J.; et al. Influence of ambient temperature on nanosecond and picosecond laser-induced bulk damage of fused silica. Adv. Cond. Matter Phys. 2014, 2014, 1–7. [Google Scholar] [CrossRef]
- Mikami, K.; Motokoshi, S.; Fujita, M.; Jitsuno, T.; Kawanaka, J.; Yasuhara, R. Temperature dependence of laser-induced damage threshold in silica glass. J. Phys. Conf. Ser. 2010, 244, 1–7. [Google Scholar] [CrossRef]
- Mikami, K.; Motokoshi, S.; Somekawa, T.; Jitsuno, T.; Fujita, M.; Tanake, K.A. Temperature dependence of laser-induced damage threshold of optical coatings at different pulsewidths. Opt. Express 2013, 21, 28719–28728. [Google Scholar] [CrossRef] [PubMed]
- Brown, D.C.; Tornegård, S.; Kolis, J. Cryogenic nanosecond and picosecond high average and peak power (HAPP) pump lasers for ultrafast applications, Paper Submitted to High Power Laser Sci. and Engin. 2015. [Google Scholar]
- Eggleston, J.M.; DeShazer, L.G.; Kangas, K.W. Characteristics and kinetics of Ti:Sapphire oscillators. IEEE J. Quantum Electron. 1988, 24, 1009–1015. [Google Scholar] [CrossRef]
- Chase, L.L.; Payne, S.A.; Smith, L.K.; Kway, W.L.; Newkirk, H.W.; Chai, B.H.T.; Long, M. Laser performance and spectroscopy of Cr3+ in LiCaAlF6 and LiSrAlF6. In Proceedings of the Advanced Solid-State Lasers Conference, Cape Cod, MA, USA, 1 May 1989.
- Ricaud, S.; Papadopoulos, D.N.; Camy, P.; Moncorge, R.; Courjaud, A.; Mottay, E.; Georges, P.; Druon, F. Highly efficient, high-power, broadly tunable cryogenically cooled and diode-pumped Yb:CaF2. Opt. Lett. 2010, 35, 3757–3759. [Google Scholar] [CrossRef] [PubMed]
- Brown, D.C.; McMillen, C.D.; Moore, C.; Kolis, J.W.; Envid, V. Spectral properties of hydrothermally-grown Nd:LuAG, Yb:LuAG, and Yb:Lu2O3 laser materials. J. Lumin. 2014, 148, 26–32. [Google Scholar] [CrossRef]
- Petermann, K.; Huber, G.; Fornasiero, L.; Kuch, S.; Mix, E.; Peters, V.; Basun, S.A. Rare-earth-doped sesquioxides. J. Lumin. 2010, 87–89, 973–975. [Google Scholar] [CrossRef]
- Körner, J.; Jambunathan, V.; Hein, J.; Siefert, R.; Loeser, M.; Siebold, M.; Schramm, U.; Sikocinshi, P.; Lucianetti, A.; Mocek, T.; et al. Spectroscopic characterization of Yb3+-doped laser materials at cryogenic temperatures. Appl. Phys. B Lasers Opt. 2014, 116, 75–81. [Google Scholar] [CrossRef]
- Peters, V. Growth and Spectroscopy of Ytterbium-Doped Sesquioxides. Ph.D. Thesis, University of Hamburg, Hamburg, Germany, 2001. [Google Scholar]
- Zapata, L.; Ripin, D.J.; Fan, T.Y. Power scaling of cryogenic Yb:LiYF4 lasers. Opt. Lett. 2010, 35, 1854–1856. [Google Scholar] [CrossRef] [PubMed]
- Kawanaka, J.; Yamakawa, K.; Niskioka, H.; Ueda, K. Inproved high-field laser characteristics of a diode-pumped Yb:LiYF4 crystal at low temperature. Opt. Express 2002, 10, 455–460. [Google Scholar] [CrossRef] [PubMed]
- Rand, D.A.; Shaw, S.E.J.; Ochoa, J.R.; Ripin, D.J.; Taylor, A.; Fan, T.Y.; Martin, H.; Hawes, S.; Zhang, J.; Sarkisyan, S.; et al. Picosecond pulses from a cryogenically cooled, composite amplifier using Yb:YAG and Yb:GSAG. Opt. Lett. 2011, 36, 340–342. [Google Scholar] [CrossRef] [PubMed]
- Friebel, F.; Druon, F.; Boudeile, J.; Papadopoulus, D.N.; Hanna, M.; Georges, P.; Camy, P.; Doualon, J.L.; Benayad, A.; Moncorgé, R.; et al. Diode-pumped 99 fs Yb:CaF2 oscillator. Opt. Lett. 2009, 34, 1474–1476. [Google Scholar] [CrossRef] [PubMed]
- McMillen, C.; Kolis, J.; Sanjeewa, D.; Moore, C.; Brown, D.C. Hydrothermal growth and spectroscopy of doped Lu2O3 single crystals. In Paper presented at 20th American Conference on Crystal Growth and Epitaxy, Nonlinear Optical and Host Materials Session 4, Big Sky, MT, USA, 5 August 2015.
- Heckl, O.H.; Peters, R.; Krankel, C.; Baer, C.R.E.; Saraceno, C.J.; Sudmeyer, T.; Petermann, K.; Keller, U.; Huber, G. Continuous-wave Yb-doped sesquioxide this disk laser with up to 300 W output and 74% efficiency. In Ultrafast Lasers I Session, AMD1, Advanced Solid-State Photonics Conference, San Diego, CA, USA, 31 January–3 February 2010.
- Peters, R.; Krankel, C.; Petermann, K.; Huber, G. Broadly tunable high-power Yb:Lu2O3 thin disk laser with 80% slope efficiency. Opt. Express 2007, 15, 7075–7082. [Google Scholar] [CrossRef] [PubMed]
- Mun, J.H.; Jouini, A.; Novoselov, A.; Yoshikawa, A.; Kasamoto, T.; Ohta, H.; Shibata, H.; Isshiki, M.; Waseda, Y.; Boulon, G.; et al. Thermal and optical properties of Yb3+-doped Y2O3 single crystal grown by the micro-pulling-down method. Jpn. J. Appl. Phys. 2006, 45, 5885–5888. [Google Scholar] [CrossRef]
- McMillen, C.D.; Kolis, J.W. Hydrothermal single crystal growth of Sc2O3 and lanthanide-doped Sc2O3. J. Cryst. Growth 2008, 310, 1939–1942. [Google Scholar] [CrossRef]
- McMillen, C.D.; Kolis, J.W. Bulk single crystal growth from hydrothermal solutions. Philos. Mag. 2012, 92, 2686–2711. [Google Scholar] [CrossRef]
- McMillen, C.; Mann, M.; Fan, J.; Zhu, L.; Kolis, J.W. Revisiting the hydrothermal growth of YAG. J. Cryst. Growth 2012, 356, 58–64. [Google Scholar] [CrossRef]
- Moore, C.A.; Brown, D.C.; Sanjeewa, L.D.; McMillen, C.D.; Kolis, J.W. Yb:Lu2O3 hydrothermally-grown single-crystal and ceramic absorption spectra obtained between 298 and 80 K. J. Lumin. accepted for publication. 2015. [Google Scholar]
- Brown, D.C.; Kowalewski, K.; Envid, V.; Zembeck, J.; Kolis, J.W.; McMillen, C.D.; Geisber, H. Advanced smart multi-functional laser crystals for next generation solid-state lasers. In Technology For Defense and Security VIII (Proceedings of SPIE); Dubinskii, M., Post, S., Eds.; SPIE Press: Bellingham, MA, USA, 2014. [Google Scholar] [CrossRef]
- Sträβer, A.; Ostermeyer, M. Improving the brightness of side pumped power amplifiers by using core doped ceramic rods. Opt. Express 2006, 14, 6687–6693. [Google Scholar] [CrossRef]
- Lucianetti, A.; Weber, R.; Hodel, W.; Weber, H.P.; Papashvili, A.; Konyushkin, V.A.; Basiev, T.T. Beam-quality improvement pf a passively Q-switched Nd:YAG laser with a core-doped rod. Appl. Opt. 1999, 38, 1777–1783. [Google Scholar] [CrossRef] [PubMed]
- Tsunekane, M.; Taira, T. Diode edge-pumped, composite ceramic Nd:YAG/Sm:YAG microchip lasers. In Proceedings of the Frontiers in Optics 2010, Rochester, NY, USA, 2010.
- Bowman, S.R.; O’Connor, S.; Condon, N.J. Diode pumped yellow dysprosium laser. Opt. Express 2012, 20, 12906–12911. [Google Scholar] [CrossRef] [PubMed]
- Yagi, H.; Bisson, J.F.; Ueda, K.; Yanagitani, T. Y3Al5O12 ceramic absorbers for the suppression of parasitic oscillations in high-power Nd:YAG lasers. J. Lumin. 2006, 121, 88–94. [Google Scholar] [CrossRef]
- Ripin, D.J.; Ochoa, J.R.; Aggarwal, R.L.; Fan, T.Y. 165-W cryogenically cooled Yb:YAG laser. Opt. Lett. 2004, 29, 2154–2156. [Google Scholar] [CrossRef] [PubMed]
- Ripin, D.J.; Ochoa, J.R.; Aggarwal, R.L.; Fan, T.Y. 300-W cryogenically cooled Yb:YAG laser. IEEE J. Quantum Electron. 2005, 41, 1274–1277. [Google Scholar] [CrossRef]
- Tokita, S.; Kawanaka, J.; Fujita, M.; Kawashima, T.; Izawa, Y. Sapphire-conductive end-cooling of high power cryogenic Yb:YAG lasers. Appl. Phys. B Lasers Opt. 2005, 80, 635–638. [Google Scholar] [CrossRef]
- Brown, D.C.; Singley, J.M.; Yager, E.; Kuper, J.W.; Lotito, B.J.; Bennett, L.L. Innovative high-power CW Yb:YAG laser. In Proceedings of SPIE 6552, Laser Source Technology for Defense and Security III, Orlando, FL, USA, 9 April 2007. [CrossRef]
- Brown, D.C.; Singley, J.M.; Yager, E.; Kowalewski, K.; Guelzow, J.; Kuper, J.W. Kilowatt class high-power CW Yb:YAG laser. In Proceedings of SPIE 6952, Laser Source Technology for Defense and Security IV, Orlando, FL, USA, 16 March 2008. [CrossRef]
- Furuse, H.; Kawanake, J.; Takeshita, K.; Miyanaga, N.; Saika, T.; Imasaki, K. Total-reflection active-mirror laser with cryogenic Yb:YAG ceramics. Opt. Lett. 2009, 34, 3439–3441. [Google Scholar] [CrossRef] [PubMed]
- Brown, D.C.; Singley, J.M.; Kowalewski, K.; Guelzow, J.; Vitali, V. High sustained average power cw and ultrafast Yb:YAG near-diffraction-limited cryogenic solid-state laser. Opt. Express 2010, 18, 24770–24792. [Google Scholar] [CrossRef] [PubMed]
- Furuse, H.; Kawanaka, J.; Miyanga, N.; Saiki, T.; Imasaki, K.; Fujita, M.; Takeshita, K.; Ishii, S.; Izawa, Y. Zig-zag active-mirror laser with cryogenic Yb3+:YAG/YAG composite ceramics. Opt. Express 2011, 19, 2448–2455. [Google Scholar] [CrossRef] [PubMed]
- Ricaud, S.; Papapdopoulos, D.N.; Pelligrina, A.; Balembois, F.; Georges, P.; Courjaud, A.; Camy, P.; Doualan, J.L.; Moncorgé, R.; Druon, F. High-power diode-pumped cryogenically cooled Yb:CaF2 laser with extremely low quantum defect. Opt. Lett. 2011, 36, 1602–1604. [Google Scholar] [CrossRef] [PubMed]
- Feve, J.P.M.; Shortoff, K.E.; Bohn, M.J.; Brasseur, J.K. High average power diamond Raman laser. Opt. Express 2011, 19, 913–922. [Google Scholar] [CrossRef] [PubMed]
- Vretenar, N.; Newell, T.C.; Carson, T.; Lucas, T.; Latham, W.P.; Bostanci, H.; Lindauer, J.J.; Saarloos, B.A.; Rini, D.P. Cryogenic ceramic 277 watt Yb:YAG thin-disk laser. Opt. Eng. 2012. [Google Scholar] [CrossRef]
- Ganija, M.; Ottaway, D.; Veitch, P.; Munch, J. Cryogenic, high power, near diffraction limited, Yb:YAG slab laser. Opt. Express 2013, 21, 6973–6978. [Google Scholar] [CrossRef] [PubMed]
- Fan, T.Y.; Ripin, D.J.; Hybl, J.D.; Gopinath, J.T.; Goyal, A.K.; Rand, D.A.; Augst, S.J.; Ochoa, J.R. Cryogenically Cooled Solid-State Lasers. Recent Developments and Future Prospects; MIT Lincoln Laboratory Internal Presentation: Lexington, MA, USA, 2010. [Google Scholar]
- Kärtner, F.X. Laser Technology for Compact X-ray Sources. Doha CLS-Workshop Presentation. 2014. [Google Scholar]
- Mackenzie, J.I.; Bailey, W.O.S.; Kim, J.W.; Pearson, L.; Shen, D.Y.; Yang, Y.; Clarkson, W.A. Tm:fiber laser in-band pumping a cryogenically-cooled Ho:YAG laser. In Solid State Lasers XVIII: Technology and Devices (Proceedings of SPIE); Clarkson, W.A., Hodges, N., Shori, R.K., Eds.; Bellingham, MA, USA, 2009. [Google Scholar] [CrossRef]
- Ter-Gabrielyan, N.; Merkle, L.D.; Newburgh, G.A.; Dubinskii, M. Resonantly-pumped Er3+:Y2O3 ceramic laser for remote CO2 monitoring. Laser Phys. 2009, 19, 867–869. [Google Scholar] [CrossRef]
- Sunamyan, T.; Kanskar, M.; Xiao, Y.; Kedlaya, D.; Dubinskii, M. High power diode-pumped 2.7-µm Er3+:Y2O3 laser with nearly quantum defect-limited efficiency. Opt. Express 2011, 19, A1082–A1087. [Google Scholar] [CrossRef] [PubMed]
- Ter-Gabrielyan, N.; Merkle, L.D.; Ikesue, A.; Dubinsii, M. Ultralow quantum-defect eye-safe Er:Sc2O3 laser. Opt. Lett. 2008, 33, 1524–1526. [Google Scholar] [CrossRef] [PubMed]
- Ter-Gabrielyan, N.; Dubinskii, M.; Newburgh, G.A.; Michael, A.; Merkle, L.D. Temperature dependence of a diode-pumped cryogenic Er:YAG laser. Opt. Express 2009, 17, 7159–7169. [Google Scholar] [CrossRef] [PubMed]
- Ter-Gabrielyan, N.; Fromzel, V.; Merkle, L.D.; Dubinskii, M. Resonant in-band pumping of cryo-cooled Er3+:YAG laser at 1532, 1534, and 1546 nm: a comparative study. Opt. Mater. Express 2011, 1, 223–233. [Google Scholar] [CrossRef]
- Seltzer, S.D.; Shaw, M.J.; Kukla, M.J.; Unternahrer, J.R.; Dinndorf, K.M.; Beattie, J.A.; Chickless, E.P. A 400 W cryogenic Er:YAG slab laser at 1645 nm. In Proceedings of SPIE 7686, Laser Technology for Defense and Security VI, Orlando, FL, USA, 5 April 2010. [CrossRef]
- Kawanaka, J.; Takeuchi, Y.; Yoshida, A.; Pearce, S.J.; Yasuhara, R.; Kawashima, T.; Kan, H. Highly efficient cryogenically-cooled Yb:YAG laser. Laser Phys. 2010, 20, 1079–1084. [Google Scholar] [CrossRef]
- Tokita, S.; Kawanaka, J.; Fujita, M.; Kawashima, T.; Izawa, Y. Efficient high-average-power operation of a Q-switched cryogenic Yb:YAG laser oscillator. Jpn. J. Appl. Phys. 2005, 44, L1520–L1531. [Google Scholar] [CrossRef]
- Perevezentsev, E.A.; Mukhin, I.B.; Kuznetsov, I.I.; Palashov, O.V.; Khazanov, E.A. Cryogenic disk Yb:YAG laser with 120 mJ energy at 500 Hz repetition rate. Quantum Electron. 2013, 43, 207–210. [Google Scholar] [CrossRef]
- Manni, J.G.; Hybl, J.D.; Rand, D.; Ripin, D.J.; Ochoa, J.R.; Fan, T.Y. 100-W Q-switched cryogenically cooled Yb:YAG laser. IEEE J. Quantum Electron. 2010, 46, 95–98. [Google Scholar] [CrossRef]
- Cheng, X.; Wang, J.; Yang, Z.; Liu, J.; Li, L.; Shi, X.; Huang, W.; Wang, J.; Chen, W. A high energy nanosecond cryogenic cooled Yb:YAG active-mirror amplifier system. High Power Laser Sci. Eng. 2014, 2, 1–4. [Google Scholar] [CrossRef] [Green Version]
- Mason, P.D.; Banerjee, S.; Ertel, K.; Phillips, P.J.; Greenhalgh, J.; Collier, J.L. DiPOLE—An efficirnt and scalable high pulse energy and high average power cryogenic gas cooled multi-slab amplifier concept. Plasma Fusion Res. 2013, 8, 1–4. [Google Scholar] [CrossRef] [Green Version]
- Kawanaka, J.; Yamakawa, K.; Nishioka, H.; Ueda, K. 30-mJ, diode-pumped chirped-pulse Yb:YLF regenerative amplifier. Opt. Lett. 2003, 28, 2121–2123. [Google Scholar] [CrossRef] [PubMed]
- Bayramian, A.; Armstrong, P.; Ault, E.; Beach, R.; Bibeau, C.; Caird, J.; Campbell, R.; Chai, B.; Dawson, J.; Ebbers, C.; et al. The Mercury project: A high average power gas-cooled laser for inertial fusion energy development. Fusion Sci. Technol. 2007, 52, 383–387. [Google Scholar]
- Lucianetti, A.; Albach, D.; Chanteloup, J.C. Active-mirror-laser-amplifier thermal management with tunable helium pressure at cryogenic temperatures. Opt. Express 2011, 19, 12766–12780. [Google Scholar] [CrossRef] [PubMed]
- Vaupel, A.; Bodnar, N.; Webb, B.; Shah, L.; Richardson, M. Concepts, performance review, and prospects of table-top, few-cycle optical parametric chirped-pulse amplification. Opt. Engin. 2014, 53, 1–12. [Google Scholar] [CrossRef]
- Fattahi, H.; Barros, H.G.; Gorjan, M.; Nubbemeyer, T.; Alsaif, B.; Teisset, C.Y.; Schultze, M.; Prinz, S.; Haefner, M.; Ueffing, M.; et al. Third generation femtosecond technology. Optica 2014, 1, 45–63. [Google Scholar] [CrossRef]
- Tokita, S.; Kawanaka, J.; Izawa, Y.; Fujita, M.; Kawashima, T. 23.7-W picosecond cryogenic-Yb:YAG multipass amplifier. Opt. Express 2007, 15, 3955–3961. [Google Scholar] [CrossRef] [PubMed]
- Akahane, Y.; Aoyama, M.; Ogawa, K.; Tsuji, K.; Tokita, S.; Kawanaka, J.; Nishioka, H.; Yamakawa, K. High-energy, diode-pumped, picosecond Yb:YAG chirped-pulse regenerative amplifier for pumping chirped-pulse amplification. Opt. Lett. 2007, 32, 1899–1901. [Google Scholar] [CrossRef] [PubMed]
- Hong, K.H.; Siddiqui, A.; Moses, J.; Gopinath, J.; Hybl, J.; Ilday, F.Ö.; Fan, T.Y.; Kärtner, F.X. Generation of 287 W, 5.5 ps pulses at 78 MHz repetition rate from a cryogenically cooled Yb:YAG amplifier seeded by a fiber chirped-pulse amplification system. Opt. Lett. 2008, 33, 2473–2475. [Google Scholar] [CrossRef] [PubMed][Green Version]
- Hong, K.H.; Lai, C.J.; Siddiqui, A.; Kärtner, F.X. 130-W picosecond green laser based on a frequency-doubled hybrid cryogenic Yb:YAG amplifier. Opt. Express 2009, 19, 16911–16919. [Google Scholar] [CrossRef] [PubMed]
- Reagan, B.A.; Curtis, A.H.; Wernsing, K.A.; Furch, F.J.; Luther, B.M.; Rocca, J.J. Development of high energy diode-pumped thick-disk Yb:YAG chirped-pulse-amplification lasers. IEEE J. Quantum Electron. 2012, 48, 827–835. [Google Scholar] [CrossRef]
- Hong, K.H.; Gopinath, J.T.; Rand, D.; Siddiqui, A.M.; Huang, S.W.; Li, E.; Eggleton, B.J.; Hybl, J.D.; Fan, T.Y.; Kärtner, F.X. High-energy, kHz-repetition-rate, ps cryogenic Yb:YAQ chirped-pulse amplifier. Opt. Lett. 2010, 35, 1752–1754. [Google Scholar] [CrossRef] [PubMed]
- Kowalewski, K.; Zembec, J.; Envid, V.; Brown, D.C. 201 W picosecond green laser using a mode-locked fiber driven cryogenic Yb:YAG amplifier system. Opt. Lett. 2012, 37, 4633–4735. [Google Scholar] [CrossRef] [PubMed]
- Hong, K.H.; Huang, S.W.; Moses, J.; Fu, X.; Lai, C.J.; Cirmi, G.; Sell, A.; Granados, E.; Keathley, P.; Kärtner, F.X. High-energy, phase-stable, ultrabroadband kHz OPCPA at 2.1 µm pumped by a picosecond cryogenic Yb:YAG laser. Opt. Express 2011, 19, 15538–15548. [Google Scholar] [CrossRef] [PubMed]
- Curtis, A.H.; Reagan, B.A.; Wernsing, K.A.; Furch, F.J.; Luther, B.M.; Rocca, J.J. Demonstration of a compact 100 Hz, 0.1 J, diode-pumped picosecond laser. Opt. Lett. 2011, 36, 2164–2166. [Google Scholar] [CrossRef] [PubMed]
- Miller, D.E.; Zapata, L.E.; Ripin, D.J.; Fan, T.Y. Sub-picosecond pulses at 100 W average power from a Yb:YLF chirped-pulse amplification system. Opt. Lett. 2012, 37, 2700–2702. [Google Scholar] [CrossRef] [PubMed]
- Petrov, V.V.; Pestryakov, E.V.; Laptev, A.V.; Petrov, V.A.; Kuptsov, G.V. Pump channel of parametric amplifoer of terawatt femtosecond Yb laser system. Atmos. Ocean. Opt. 2014, 27, 344–347. [Google Scholar] [CrossRef]
- Zapata, L.E.; Lin, H.; Calendron, A.L.; Cankaya, H.; Hemmer, M.; Reichert, F.; Huang, W.R.; Granados, E.; Hong, K.H.; Kärtner, F.X. Cryogenic Yb:YAG composite-thin-disk for high energy and average power amplifiers. Opt. Lett. 2015, 40, 2610–2613. [Google Scholar] [CrossRef] [PubMed]
- Pugžlys, A.; Andriukaitas, G.; Sidorov, D.; Irshad, A.; Baltuška, A.; Lai, W.J.; Phua, P.B.; Su, L.; Xu, J.; Li, R.; et al. Spectroscopy and lasing of cryogenically cooled Yb, Na:CaF2. Appl. Phys. B Lasers Opt. 2009, 97, 339–350. [Google Scholar] [CrossRef]
- Divoky, M.; Smrz, M.; Chyla, M.; Sikocinski, P.; Novak, O.; Huynh, J.; Nagisetty, S.S.; Miura, T.; Pilař, J.; Slezak, O.; et al. Overview of the HiLASE project: High average power pulsed DPSSL systems for research and industry. High Power Laser Sci. Eng. 2014, 2, 1–10. [Google Scholar] [CrossRef]
- Novák, O.; Miura, T.; Smrž, M.; Chyla, M.; Nagisetty, S.S.; Mužik, J.; Linnemann, J.; Turčičova, H.; Jambunathan, V.; Slezák, O.; et al. Review, Status of the high average power diode-pumped solid state laser development at HiLASE. Appl. Sci. 2015, 5, 637–665. [Google Scholar] [CrossRef]
- Endo, A.; Sikocinski, P.; Chyla, M.; Miura, T.; Mocek, T.; Sakaue, K.; Washio, M. Cryogenically cooled 1 J, ps Yb:YAG slab laser for high-brightness laser-Compton X-ray source. In Proceedings of the IPAC, Dresden, Germany, 15–20 June 2014.
© 2016 by the authors; licensee MDPI, Basel, Switzerland. This article is an open access article distributed under the terms and conditions of the Creative Commons by Attribution (CC-BY) license (http://creativecommons.org/licenses/by/4.0/).
Share and Cite
Brown, D.C.; Tornegård, S.; Kolis, J.; McMillen, C.; Moore, C.; Sanjeewa, L.; Hancock, C. The Application of Cryogenic Laser Physics to the Development of High Average Power Ultra-Short Pulse Lasers. Appl. Sci. 2016, 6, 23. https://doi.org/10.3390/app6010023
Brown DC, Tornegård S, Kolis J, McMillen C, Moore C, Sanjeewa L, Hancock C. The Application of Cryogenic Laser Physics to the Development of High Average Power Ultra-Short Pulse Lasers. Applied Sciences. 2016; 6(1):23. https://doi.org/10.3390/app6010023
Chicago/Turabian StyleBrown, David C., Sten Tornegård, Joseph Kolis, Colin McMillen, Cheryl Moore, Liurukara Sanjeewa, and Christopher Hancock. 2016. "The Application of Cryogenic Laser Physics to the Development of High Average Power Ultra-Short Pulse Lasers" Applied Sciences 6, no. 1: 23. https://doi.org/10.3390/app6010023
APA StyleBrown, D. C., Tornegård, S., Kolis, J., McMillen, C., Moore, C., Sanjeewa, L., & Hancock, C. (2016). The Application of Cryogenic Laser Physics to the Development of High Average Power Ultra-Short Pulse Lasers. Applied Sciences, 6(1), 23. https://doi.org/10.3390/app6010023
