Electrical Properties of Graphene for Interconnect Applications
Abstract
:1. Introduction
2. Band Structure
2.1. Graphene Layer
b, and form an angle of π/3, where b = 1.42 Å is the interatomic distance. The components of the vectors, a1 and a2, with respect to the rectangular coordinate system, (0,x,y) are, respectively, (
a0/ 2,a0/ 2) and (
a0/ 2,−a0/ 2). The area of the unit cell, Sg, is Ag =
/ 2.
a0 and form an angle of 2π/3. The components of the vectors, b1 and b2, with respect to the rectangular coordinate system (Q,Kx, ky) are, respectively, (2π /
a0,2π/ a0) and (2π /
a0,−2π/ a0). The area of the unit cell, ∑g, is
The basis vectors of the direct space (a1,a2) and the basis vectors of the reciprocal space (b1,b2) are related by ai∙bj = 2πδij with i,j = 1,2 and the areas, Ag and Bg, are related by AgBg = (2π)2.
is the Planck constant.
2.2. Graphene Nanoribbons

a and a width w = Na/2, whereas for zigzag ones, it is T = a and w =
Na/2.

3. Transport Model
3.1. Transport Model for the Graphene Layer
; hence, only the neighbors of the Fermi points with radius
and belonging to the first Brillouin zone give a meaningful contribution: let us indicate with CF the circumference of radius keff centered at the Fermi point with electron wave vector K. In addition, assuming ,
, we get the final expression:
3.2. Transport Model for a Graphene Nanoribbon
4. Discussion
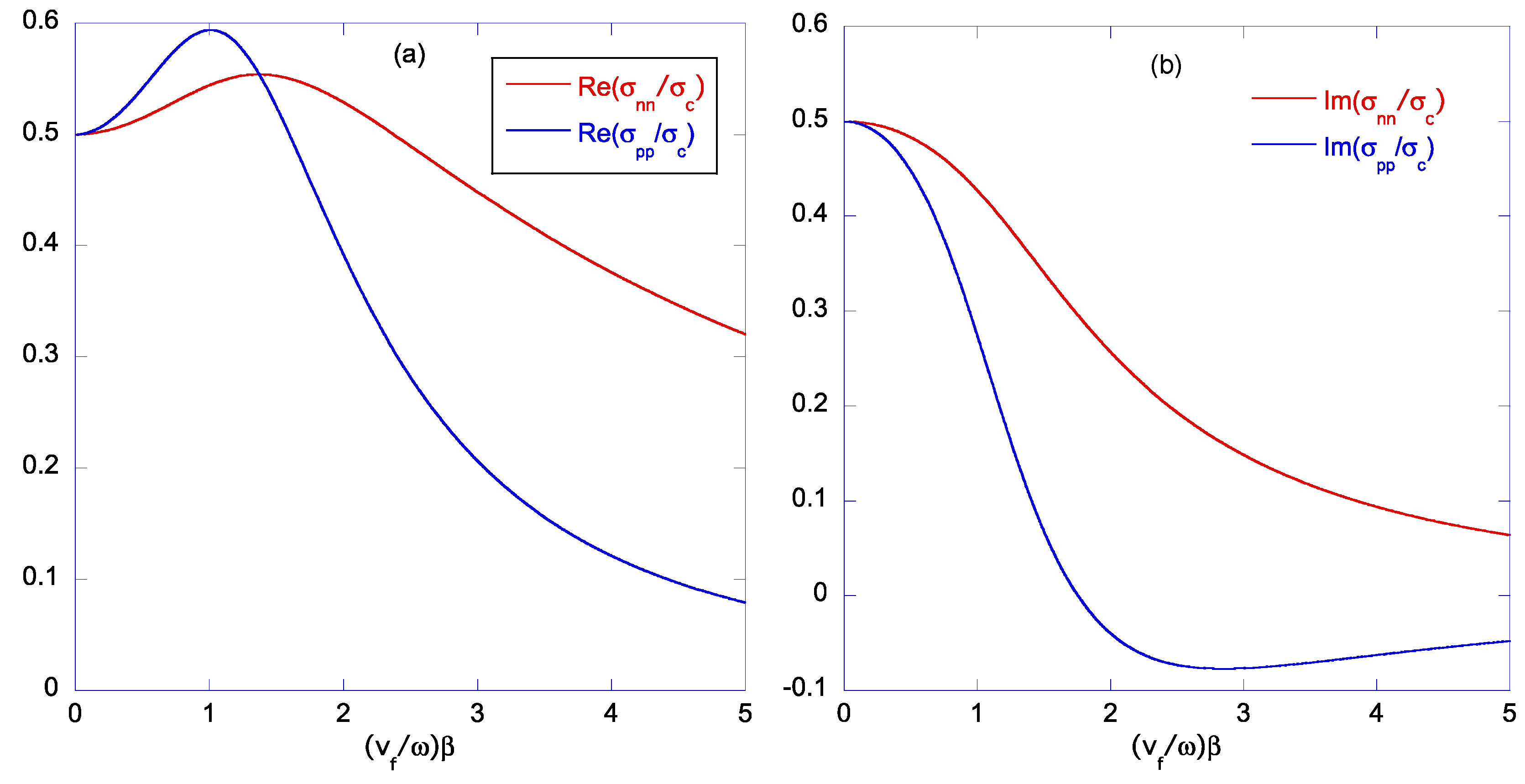
4.1. Electrical Conductivity in the Long Wavelength Limit


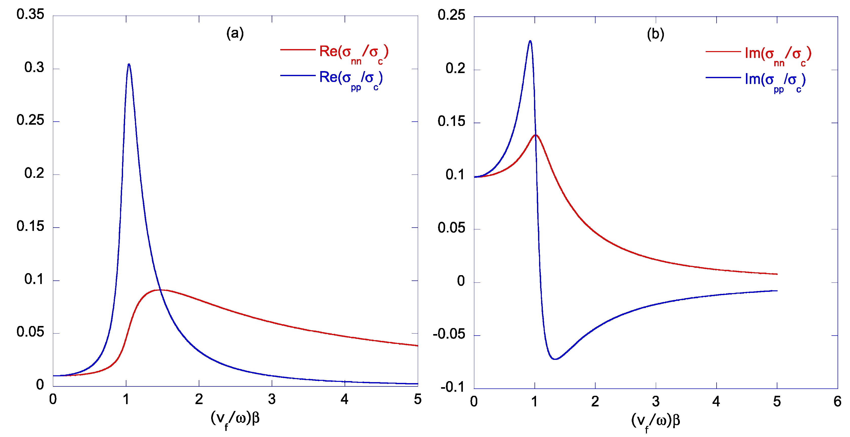
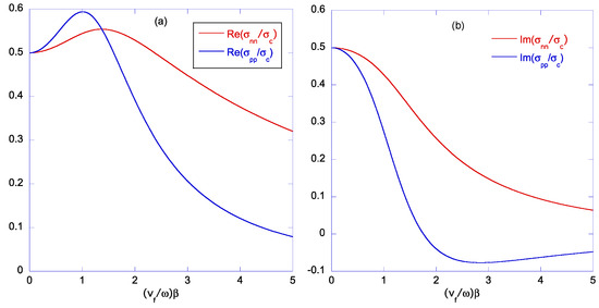
4.2. Electrical Conductivity in the General Case: Spatial Dispersion


5. Conclusions
Acknowledgments
Conflicts of Interest
References
- Van Noorden, R. Moving towards a graphene world. Nature 2006, 442, 228–229. [Google Scholar] [CrossRef]
- Avouris, P.; Chen, Z.; Perebeinos, V. Carbon-based electronics. Nat. Nanotechnol. 2007, 2, 605–615. [Google Scholar] [CrossRef]
- Li, H.; Xu, C.; Srivastava, N.; Banerjee, K. Carbon nanomaterials for next-generation interconnects and passives: Physics, status, and prospects. IEEE Trans. Electron Devices 2009, 56, 1799–1821. [Google Scholar] [CrossRef]
- International Technology Roadmap for Semiconductors, Edition 2013. Available online: http://public.itrs.net (accessed on 23 May 2014).
- Close, G.F.; Yasuda, S.; Paul, B.; Fujita, S.; Wong, H.-S.P. 1 GHz integrated circuit with carbon nanotube interconnects and silicon transistors. Nano Lett. 2009, 8, 706–709. [Google Scholar]
- Chen, X.; Akinwande, D.; Lee, K.-J.; Close, G.F.; Yasuda, S.; Paul, B.C.; Fujita, S.; Kong, J.; Wong, H.-S.P. Fully integrated graphene and carbon nanotube interconnects for gigahertz high-speed CMOS electronics. IEEE Trans. Electron Devices 2010, 57, 3137–3143. [Google Scholar] [CrossRef]
- Shulaker, M.M.; Hills, G.; Patil, N.; Wei, H.; Chen, H.-Y.; Wong, H.-S.P.; Mitra, S. Carbon nanotube computer. Nature 2013, 501, 526–530. [Google Scholar] [CrossRef]
- Valitova, I.; Amato, M.; Mahvash, F.; Cantele, G.; Maffucci, A.; Santato, C.; Martel, R.; Cicoira, F. Carbon nanotube electrodes in organic transistors. Nanoscale 2013, 5, 4638–4646. [Google Scholar] [CrossRef]
- Burke, P.J. Luttinger liquid theory as a model of the gigahertz electrical properties of carbon nanotubes. IEEE Trans. Nanotechnol. 2002, 1, 129–144. [Google Scholar] [CrossRef]
- Salahuddin, S.; Lundstrom, M.; Datta, S. Transport effects on signal propagation in quantum wires. IEEE Trans. Electron Devices 2005, 52, 1734–1742. [Google Scholar] [CrossRef]
- Raychowdhury, A.; Roy, K. Modelling of metallic carbon-nanotube interconnects for circuit simulations and a comparison with Cu interconnects for scaled technologies. IEEE Trans. Comp.-Aided Des. Integr. Circuit Syst. 2006, 25, 58–65. [Google Scholar] [CrossRef]
- Maffucci, A.; Miano, G.; Villone, F. Performance comparison between metallic carbon nanotube and copper nano-interconnects. IEEE Trans. Adv. Packag. 2008, 31, 692–699. [Google Scholar] [CrossRef]
- Xu, C.; Li, H.; Banerjee, K. Modeling, analysis, and design of graphene nano-ribbon interconnect. IEEE Trans. Electron Devices 2009, 56, 1567–1578. [Google Scholar] [CrossRef]
- Naeemi, A.; Meindl, J.D. Compact physics-based circuit models for graphene nanoribbon interconnects. IEEE Trans. Electron Devices 2009, 56, 1822–1833. [Google Scholar] [CrossRef]
- Cui, J.-P.; Zhao, W.-S.; Yin, W.-Y.; Hu, J. Signal transmission analysis of multilayer graphene nano-ribbon (MLGNR) interconnects. IEEE Trans. Electromagn. Compat. 2012, 54, 126–132. [Google Scholar] [CrossRef]
- Maffucci, A.; Miano, G.; Villone, F. A transmission line model for metallic carbon nanotube interconnects. Int. J. Circuit Theory Appl. 2008, 36, 31–51. [Google Scholar] [CrossRef]
- Maffucci, A.; Miano, G.; Villone, F. A new circuit model for carbon nanotube interconnects with diameter-dependent parameters. IEEE Trans. Nanotechnol. 2009, 8, 345–354. [Google Scholar]
- Miano, G.; Forestiere, C.; Maffucci, A.; Maksimenko, S.A.; Slepyan, G.Y. Signal propagation in single wall carbon nanotubes of arbitrary chirality. IEEE Trans. Nanotechnol. 2011, 10, 135–149. [Google Scholar] [CrossRef]
- Forestiere, C.; Maffucci, A.; Maksimenko, S.A.; Miano, G.; Slepyan, G.Y. Transmission Line model for multiwall carbon nanotubes with intershell tunneling. IEEE Trans. Nanotechnol. 2012, 11, 554–564. [Google Scholar] [CrossRef]
- Maffucci, A.; Miano, G. Transmission line model of graphene nanoribbon interconnects. Nanosci. Nanotechnol. Lett. 2013, 5, 1207–1216. [Google Scholar] [CrossRef]
- Forestiere, C.; Maffucci, A.; Miano, G. Hydrodynamic model for the signal propagation along carbon nanotubes. J. Nanophotonics 2010, 4, 041695. [Google Scholar] [CrossRef]
- Zheng, H.; Wang, Z.F.; Luo, T.; Shi, Q.W.; Chen, J. Analytical study of electronic structure in armchair graphene nanoribbons. Phys. Rev. B 2007, 75, 165414. [Google Scholar]
- Wakabayashi, K.; Sasaki, K.; Nakanishi, T.; Enoki, T. Electronic states of graphene nanoribbons and analytical solutions. Sci. Technol. Adv. Mater. 2010, 11, 054504. [Google Scholar] [CrossRef]
- Chiariello, A.G.; Maffucci, A.; Miano, G. Circuit models of carbon-based interconnects for nanopackaging. IEEE Trans. Compon. Packag. Manuf. Technol. 2013, 3, 1926–1937. [Google Scholar] [CrossRef]
- Araneo, R.; Lovat, G.; Burghignoli, P. Graphene nanostrip lines: Dispersion and attenuation. In Proceedings of 16th IEEE Workshop on Signal and Power Integrity, Sorrento, Italy, 13–16 May 2012; pp. 75–78.
© 2014 by the authors; licensee MDPI, Basel, Switzerland. This article is an open access article distributed under the terms and conditions of the Creative Commons Attribution license (http://creativecommons.org/licenses/by/3.0/).
Share and Cite
Maffucci, A.; Miano, G. Electrical Properties of Graphene for Interconnect Applications. Appl. Sci. 2014, 4, 305-317. https://doi.org/10.3390/app4020305
Maffucci A, Miano G. Electrical Properties of Graphene for Interconnect Applications. Applied Sciences. 2014; 4(2):305-317. https://doi.org/10.3390/app4020305
Chicago/Turabian StyleMaffucci, Antonio, and Giovanni Miano. 2014. "Electrical Properties of Graphene for Interconnect Applications" Applied Sciences 4, no. 2: 305-317. https://doi.org/10.3390/app4020305
APA StyleMaffucci, A., & Miano, G. (2014). Electrical Properties of Graphene for Interconnect Applications. Applied Sciences, 4(2), 305-317. https://doi.org/10.3390/app4020305
