Next Article in Journal
Advanced Process Chain for Manufacturing Individual 3D-Printed Insoles for Patients with Diabetic Foot Syndrome
Previous Article in Journal
ATR-FTIR Spectroscopy and Chemometric Modelling for the Authentication of Canestrato di Castel del Monte Cheese
 
 
Font Type:
Arial Georgia Verdana
Font Size:
Aa Aa Aa
Line Spacing:
Column Width:
Background:
Article

Effect of Annealing Time on FFF-Manufactured PA6 Composites

by
Lucia Boszorádová
1,
Martin Baráth
1,
Martin Kotus
1,*,
Vladimír Madola
2 and
Jiří Fries
3
1
Institute of Design and Engineering Technologies, Faculty of Engineering, Slovak University of Agriculture in Nitra, Tr. A. Hlinku 2, 949 76 Nitra, Slovakia
2
Information and Coordination Centre of Research, Faculty of Engineering, Slovak University of Agriculture in Nitra, Tr. A. Hlinku 2, 949 76 Nitra, Slovakia
3
Department of Machine and Industrial Design, Faculty of Mechanical Engineering, VSB-Technical University of Ostrava, Poruba, 708 00 Ostrava, Czech Republic
*
Author to whom correspondence should be addressed.
Appl. Sci. 2026, 16(8), 3791; https://doi.org/10.3390/app16083791
Submission received: 9 March 2026 / Revised: 4 April 2026 / Accepted: 9 April 2026 / Published: 13 April 2026

Abstract

This study focuses on evaluating the effect of annealing time on the mechanical properties and structural changes in polyamide-based materials manufactured using fused filament fabrication (FFF) technology. Three materials were experimentally analysed: neat polyamide PA6, polyamide reinforced with 30% glass fibers (PA6 GF30), and the composite material Onyx. After fabrication, the test specimens were annealed at a temperature of 180 °C for 30, 60, and 100 min. Mechanical properties were evaluated by tensile testing in accordance with ISO 527, and the obtained data were further processed using machine learning methods (Linear SVM, Quadratic SVM, and K-NN) to classify individual levels of thermal exposure. The results showed that annealing significantly improved the tensile strength of Onyx from 50.78 ± 1.46 MPa (0 min) to 60.09 ± 1.30 MPa after 30 min, corresponding to an increase of approximately 18%, while further annealing (60 and 100 min) resulted in values between 59.23 and 62.12 MPa without statistically significant additional improvement. In contrast, PA6 GF30 exhibited a progressive decrease in tensile strength from 76.85 ± 0.87 MPa (0 min) to 51.91 ± 8.03 MPa after 100 min, representing an overall reduction of approximately 32%, indicating degradation of the polymer–fiber interface. For neat PA6, tensile strength decreased from 55.31 ± 3.83 MPa to 40.03 ± 9.36 MPa, but these differences were not statistically significant (p > 0.05). Machine learning classification confirmed predominantly linear material behavior, with Linear SVM achieving accuracies of 85% for Onyx and PA6, and 95% for PA6 GF30, outperforming Quadratic SVM and K-NN models. These findings provide valuable insights for optimizing post-processing conditions of FFF-manufactured polyamide materials and composites.

1. Introduction

Additive manufacturing (AM) is a modern approach to manufacturing in which products are created by layering material based on a digital model. This approach allows for a high degree of geometric freedom and efficient use of material compared to traditional manufacturing methods [1]. Over the past decade, additive technologies have seen a significant boom in industrial and research applications, from healthcare, automotive, and aerospace to the development of functional prototypes [2,3]. Technologies such as fused filament fabrication (FFF) have become particularly popular due to their accessibility, ability to process a wide range of thermoplastic materials, and the possibility to optimize the mechanical and surface properties of products by controlling process parameters [4]. The widespread use of AM is also linked to the development of new polymer materials, improvements in energy efficiency, and the growing role of this technology in sustainable manufacturing [5,6]. Annealing is an important post-processing step in improving the properties of polymer materials produced by fused filament fabrication (FFF) technology [7]. During 3D printing, rapid cooling of individual layers occurs, which often leads to poor adhesion between layers and deterioration of mechanical properties. This effect, caused by incomplete cross-linking of polymer chains between layers, leads to anisotropy and reduced strength of the prints [8,9,10]. Heat treatment after printing allows for the release of internal stresses and increases the degree of crystallinity. Annealing thus leads to improved strength, stiffness, and thermal stability of 3D-printed polymers and composites [11,12]. With appropriately selected temperatures and exposure times, a significant increase in Young’s modulus and tensile strength can be achieved, while simultaneously reducing the residual porosity of the material [13]. Polyamide 6 (PA6) is widely used in engineering applications due to its excellent mechanical strength, thermal resistance, and chemical stability. However, FFF-printed PA6 parts often suffer from limited interlayer bonding and dimensional instability [14]. Although several studies have investigated the influence of annealing temperature on the crystallinity and mechanical properties of polyamide-based materials, the effect of exposure time during the annealing process remains less explored [15,16,17]. Recent studies have shown that mechanical performance of additively manufactured polymer components can be tailored by optimizing process parameters and thermal conditions, which directly influence interlayer bonding, anisotropy, and load-bearing capability of printed structures [18]. The present study aims to investigate the influence of annealing exposure time on the mechanical properties and microstructural behaviour of PA6 and its fiber-reinforced composites produced by fused filament fabrication. The results provide insights into optimizing post-processing conditions to achieve enhanced mechanical performance and reliability of additively manufactured polymer components.

2. Materials and Methods

2.1. Material Samples Prepared for Experimental Reasons

Samples were produced using 3D printing with Prusa Mk3S+ (Prusa Research a.s., Praha, Czech Republic) and Markforged Mark Two printers (Markforged Holding Corporation, Waltham, MA, USA). The tested materials were Spectrum PA6 Low Warp (Spectrum Group Sp. z o.o., Pęcice, Poland), BASF Ultrafuse PA6 GF30 (Mass Additive Manufacturing GmbH, Rheinmünster, Germany), and Markforged Onyx (Markforged Holding Corporation, Waltham, MA, USA). Markforged Onyx is a proprietary composite filament consisting of a nylon matrix (polyamide 6-based) reinforced with short carbon fibers. The samples for testing mechanical properties were produced according to the ISO 527 standard [19]. All specimens were printed in a flat orientation (XY plane), with raster orientation aligned along the loading direction (0°). The infill pattern was rectilinear with full density (100%). Printing was performed under laboratory conditions at approximately 22 ± 2 °C and relative humidity of 30–40%. The printing parameters for each material are shown in Table 1.
Unannealed samples were dried for 24 h at 70 °C and tested immediately after cooling. Annealed samples were tested immediately after cooling following the annealing process.

2.2. Laboratory Equipment

Mechanical properties of material samples were tested on the Testometric X350-10 device (Figure 1, Testometric Company Ltd., Rochdale, UK), with the jaw movement speed set to 50 mm·min−1. Selected testing device parameters are shown in Table 2.
The annealing process was carried out in a Memmert laboratory furnace (Memmert GmbH + Co.KG, Schwabach, Germany). Heating rate was approximately 5 °C/min, followed by isothermal holding at 180 °C for the three different durations: 30, 60, and 100 min. After annealing, samples were cooled naturally to room temperature inside the furnace. The annealing temperature (180 °C) was selected as it lies below the melting point of PA6-based materials (~220 °C) but is high enough to promote crystallization and stress relaxation. A uniform temperature was applied to all materials to ensure comparability and isolate the effect of annealing time.
According to the flow chart in Figure 2, the mechanical properties were measured. Recent studies have also highlighted that optimization and simplified modeling approaches in additive manufacturing can improve predictive accuracy of polymer composite behavior while maintaining reasonable computational efficiency [8]. Then the measurement dataset was partitioned into training and testing subsets using a 70:30 ratio. As input features for the machine learning classification, the maximum tensile stress values and elongation values obtained from the tensile tests were used. Prior to model training, the dataset was randomized and standardized. Model performance was evaluated using the F1-score as the primary evaluation metric. To evaluate the nature of the data distribution, multiple classification models were used. Linear SVM was applied to assess linear separability, Quadratic SVM to capture nonlinear relationships, and K-NN as a non-parametric reference model. Classifier performance was evaluated based on the confusion matrix components, namely, true positives (TP), false positives (FP), false negatives (FN), and true negatives (TN). These quantities were subsequently used to compute the classifier accuracy (Acc), expressed as a percentage according to Equation (1), as well as the F1-score (F1S), defined by Equation (2) [21]. The F1-score represents the harmonic mean of precision and recall and provides a balanced measure of classification performance, particularly for small datasets or potentially imbalanced classes.
A C C = T P T P + F P   ( % )
F 1 S = 2 · A C C · T P T P + F N A C C + T P T P + F N   ( % )
The data were pre-processed and analyzed using machine learning models implemented in the scikit-learn library (version 1.7). The computational workflow was executed in Python (version 3.12.3, software Open Source Initiative) within the JupyterLab environment (version 4.4.2, software Open Source Initiative, Palo Alto, CA, USA) [22].

3. Results

When classifying Onyx material exposed to thermal stress, the Linear SVM model showed the best agreement, with an average F1 score of 0.86 across all thermal exposure times. It is evident from Figure 3 that the most significant marker in the concordance matrix is material not exposed to thermal stress. The reduced cross-concordance at the first exposure time (30 min), with an F1 score of 0.73, indicates significant structural changes in the material. The classification report shows that the reference state of the material without thermal stress (0 min) was classified unambiguously (F1 score of 1.00), confirming the high repeatability and stability of its markers in the measured data. This state also forms the most significant marker in the agreement matrix, as it overlaps minimally with other classes. At the first degree of thermal stress (30 min), there was a noticeable decrease in classification accuracy, with an F1 score of 0.73 indicating significant material changes resulting from structural modifications to the polymer matrix. The increased cross-correlation of this class with higher degrees of thermal stress indicates that degradation or relaxation processes are initiated in this interval.
With further increases in exposure time (60 and 100 min), the classification stabilizes again, with F1 scores reaching 0.80 and 0.89, respectively. This phenomenon indicates that after an initial phase of significant changes, the material state consolidates into a more recognizable structural configuration. The significantly lower performance of the quadratic SVM (65%) indicates that the separation of classes is predominantly linear in nature. The K-NN model achieved 80% accuracy, but with higher sensitivity to local class overlap, especially at higher temperature loads.
For the Onyx material, one-way ANOVA revealed statistically significant differences among the tested groups (F (3,16) = 19.38, p < 0.0001). According to Tukey’s HSD post hoc test [23] (α = 0.05) in Table 3, the non-annealed Onyx samples (0 min) showed significantly lower tensile strength compared to all annealed conditions (p < 0.001).
No significant differences were found among the annealed groups (30, 60, and 100 min), indicating that the main improvement in mechanical performance occurred within the first 30 min of annealing (Figure 4, Table 4).
In the case of PA6 material, Linear SVM (Figure 5) again showed the best results, with an average F1 score of 0.85, which is comparable to the Onyx material. Here, too, the unexposed material (0 min) was classified flawlessly, confirming its significant distinguishability from thermally stressed states. Quadratic SVM fails more significantly in this case (55% accuracy), especially in the 60 min class, where the F1 score is only 0.33, indicating unstable nonlinear separation. The K-NN model achieved an accuracy of 80%, distinguishing very well between lower temperature loads, but at 60 and 100 min there was an increased rate of confusion between classes.
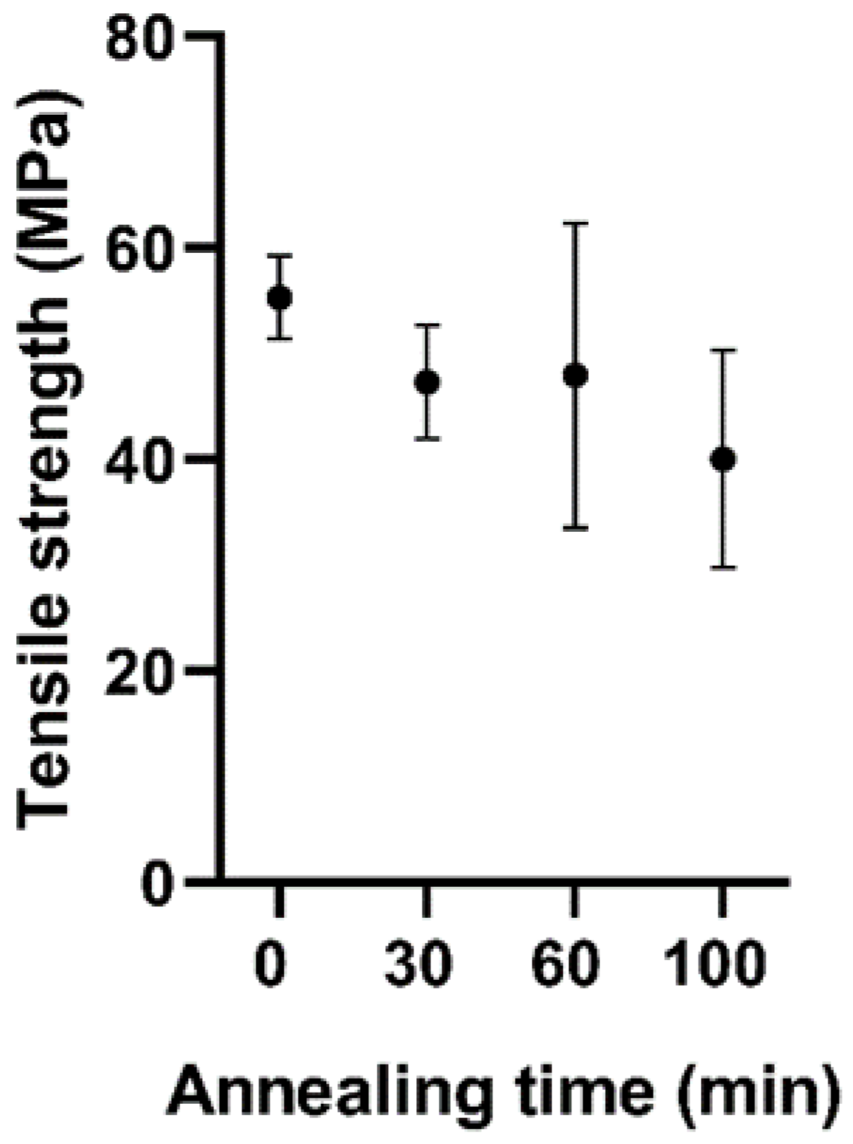
For the PA6 material, one-way ANOVA revealed no statistically significant differences among the tested groups (F (3,16) = 2.175, p = 0.1308). Based on the results of Tukey’s HSD post hoc analysis (α = 0.05) in Table 5, annealing time had no statistically significant influence on the tensile strength of PA6.
While a gradual decrease in mean strength values was observed with longer exposure (Figure 6, Table 6), the differences among the tested groups were not significant, suggesting that PA6 maintained stable mechanical behaviour under the applied thermal conditions.
PA6 GF30 (polyamide reinforced with 30% glass fibers) showed the best classifiability of all analysed materials. The Linear SVM model achieved an exceptionally high average F1 score of 0.95, with classes 0 and 30 min classified without any errors. This result indicates high stability and consistency of material response even after initial heat exposure.
Even at higher heat stress times (60 and 100 min), the classification remains very reliable (F1 scores of 0.89 and 0.91), indicating that the presence of glass fibers significantly limits inhomogeneous structural changes and increases the contrast between individual degradation states. Compared to pure PA6 and Onyx materials, the classes are more linearly separable. The quadratic SVM achieved only 75%, with the greatest inaccuracies occurring in the class without thermal stress, indicating that the nonlinear model is unable to adequately capture the global structure of the data. The K-NN model achieved a very good accuracy of 90%, but with a slight deterioration in the distinction between the 60 min and 100 min states, indicating local similarity in material responses at higher temperatures.
In terms of the materials themselves, PA6 GF30 showed the highest degree of classifiability across all models.
The Onyx and PA6 materials showed comparable classification success, but with more pronounced changes in the initial stages of thermal loading. In particular, the 30 min class represented a critical transition state with the highest degree of cross-correlation, indicating the initiation of significant material changes.
These results suggest that changes in material properties caused by temperature effects are primarily manifested by linear trends in the feature space. Linear SVM is also less prone to overfitting with a small number of samples, which is advantageous in this experiment with a limited number of measurements to apply to a given set (Figure 7).
For the PA6 GF30 material, one-way ANOVA revealed statistically significant differences among the tested groups (F (3,16) = 23.10, p < 0.0001). Tukey’s HSD post hoc analysis (α = 0.05) in Table 7 revealed a progressive decline in tensile strength with longer annealing times (Figure 8, Table 8). The non-annealed PA6 GF30 specimens exhibited significantly higher strength compared to all annealed samples, whereas the 30 min and 60 min groups did not differ significantly from each other. After 100 min of annealing, tensile strength dropped markedly, suggesting deterioration of the polymer–fiber interface under prolonged heat exposure.

4. Discussion

The present study demonstrates that the effect of annealing on FFF-manufactured PA6-based materials strongly depends on material composition, which is in good agreement with previously published findings. For the Onyx composite, a tensile strength increase of approximately 18% after 30 min of annealing at 180 °C was observed, while longer exposure did not result in further statistically significant improvement. Similar behavior was reported by Handwerker et al. [24], who attributed early-stage strength enhancement in polyamide composites to stress relaxation and improved interlayer bonding, followed by structural stabilization. Mushtaq et al. [25] also reported that most mechanical benefits of thermal post-processing in PA6-based filaments occur within short exposure times.
In contrast, the continuous decrease in tensile strength of PA6 GF30 with increasing annealing time observed in this study differs from trends reported for neat polyamides but is consistent with findings on fiber-reinforced systems. Kamlendra et al. [26] and Zaghoul et al. [27] showed that prolonged thermal exposure can degrade the polymer–glass fiber interface due to thermal mismatch and microstructural damage, leading to reduced load transfer efficiency. The strength reduction of approximately 32% after 100 min observed here supports these conclusions and suggests that annealing conditions beneficial for matrix-dominated materials may be detrimental for glass fiber-reinforced PA6.
For neat PA6, no statistically significant changes in tensile strength were detected, despite a gradual numerical decrease. This result aligns with Zhou et al. [28] and Clavéria et al. [29], who reported stable tensile behavior of PA6 under controlled thermal and humidity conditions. The pre-drying of specimens in this study likely minimized hygroscopic effects, which are known to strongly influence the mechanical response of polyamides [30].
This study is limited by the relatively small sample size and the absence of microstructural characterization. Future work will focus on incorporating SEM analysis and expanding the dataset to improve model robustness and provide deeper insight into material behavior.
The high accuracy of Linear SVM models (85–95%) suggests that thermally induced changes in mechanical behavior follow predominantly linear trends. Although the evolution of tensile strength with annealing time is not strictly linear (e.g., Onyx in Figure 4), the classification results suggest that the data are largely linearly separable. This indicates that the underlying changes in material behavior can be approximated by linear decision boundaries. These findings are consistent with observations by Pernica et al. [31] and Mita’ et al. [32] who reported effective linear separability of material states in additively manufactured polymers when thermal or mechanical degradation progresses gradually. Similar trends have been reported in recent studies, where predictive modelling combined with experimental testing enabled reliable evaluation of damage evolution and mechanical performance of additively manufactured polymer structures under tensile loading conditions [33].

5. Conclusions

This study quantified the influence of annealing time on the tensile strength of FFF-manufactured PA6-based materials. For the Onyx composite, annealing at 180 °C resulted in a significant increase in tensile strength from 50.8 MPa (0 min) to 60.1 MPa after 30 min, representing an improvement of approximately 18%. Further annealing up to 60 and 100 min did not lead to statistically significant additional gains, with tensile strength values remaining in the range of 59.2–62.1 MPa.
In contrast, PA6 GF30 exhibited a continuous decrease in tensile strength with increasing annealing time. The strength declined from 76.9 MPa (0 min) to 67.7 MPa (30 min) and further to 51.9 MPa after 100 min, corresponding to an overall reduction of approximately 32%, indicating degradation of the polymer–glass fiber interface during prolonged thermal exposure.
For neat PA6, tensile strength decreased from 55.3 MPa (0 min) to 40.0 MPa (100 min); however, these changes were not statistically significant (p > 0.05), suggesting stable mechanical behavior under the applied annealing conditions.
Machine learning classification supported these findings, with the Linear SVM model achieving accuracies of 85% for Onyx and PA6, and 95% for PA6 GF30, confirming that thermally induced material changes are predominantly linear. The results demonstrate that annealing is beneficial for Onyx within short exposure times, while extended annealing is detrimental for glass fiber-reinforced PA6, emphasizing the need for material-specific optimization of post-processing conditions.

Author Contributions

Conceptualization, L.B., M.B. and M.K.; methodology, L.B., M.B., M.K. and J.F.; software, V.M.; validation, L.B., M.B., M.K. and V.M.; formal analysis, J.F.; investigation, L.B.; data curation, L.B. and M.B.; writing—original draft preparation, L.B., M.B., M.K. and J.F.; writing—review and editing, L.B., M.B. and M.K.; visualization, V.M. All authors have read and agreed to the published version of the manuscript.

Funding

This research was funded by “New forms and methods of education in the field of additive manufacturing” grant number 007TU Z-4/2025 (Ministry of Education, Research, Development and Youth, Slovakia) and by “Research of physical properties of composite and technical materials using machine learning methods” grant number 15-GA-SPU-2024 (Slovak University of Agriculture, Slovakia). The APC was funded from the internal funds of the Faculty of Engineering of the Slovak University of Agriculture.

Institutional Review Board Statement

Not applicable.

Informed Consent Statement

Not applicable.

Data Availability Statement

The original contributions presented in this study are included in the article. Further inquiries can be directed to the corresponding author.

Acknowledgments

This contribution was supported by scientific project KEGA No. 007TU Z-4/2025: New forms and methods of education in the field of additive manufacturing. This contribution was supported by scientific project GA SPU No. 15-GA-SPU-2024: Research of physical properties of composite and technical materials using machine learning methods.

Conflicts of Interest

The authors declare no conflicts of interest.

References

  1. Dizon, J.R.C.; Espera, A.H.; Chen, Q.; Advincula, R.C. Mechanical characterization of 3D-printed polymers. Addit. Manuf. 2018, 20, 44–67. [Google Scholar] [CrossRef]
  2. Shahsavani, R.N.; Fiorillo, G. The use of 3D-Printed PA6-GF components for the construction of structural specimens. Case Stud. Constr. Mater. 2024, 21, e03968. [Google Scholar] [CrossRef]
  3. Markulik, S.; Petrík, J.; Šolc, M.; Blaško, P.; Palfy, P.; Girmanová, L. The Relationship between Process Capability and Quality of Measurement System. Appl. Sci. 2022, 12, 5825. [Google Scholar] [CrossRef]
  4. Walter, R.; Selzer, R.; Gurka, M.; Friedrich, K. Effect of filament quality, structure, and processing parameters on the properties of fused filament fabricated short fiber-reinforced thermoplastics. In Structure and Properties of Additive Manufactured Polymer Components; Elsevier: Amsterdam, The Netherlands, 2020; pp. 253–302. [Google Scholar] [CrossRef]
  5. Kumar, S.; Kanagaraj, G. Investigation on Mechanical and Tribological Behaviors of PA6 and Graphite-Reinforced PA6 Polymer Composites. Arab. J. Sci. Eng. 2016, 41, 4347–4357. [Google Scholar] [CrossRef]
  6. Palma, T.; Munther, M.; Damasus, P.; Salari, S.; Beheshti, A.; Davami, K. Multiscale mechanical and tribological characterizations of additively manufactured polyamide 12 parts with different print orientations. J. Manuf. Process. 2019, 37, 76–83. [Google Scholar] [CrossRef]
  7. Ayman, A. Heat Treatment of Polymers: A Review. Int. J. Mater. Chem. Phys. 2015, 1, 132–140. [Google Scholar]
  8. Nesheim, O.S.; Eikevåg, S.W.; Steinert, M.; Elverum, C.W. Identifying thermal effects during 3D printing by comparing in-layer infrared pre- and postheating of carbon fiber reinforced polyamide 6. Addit. Manuf. 2025, 101, 104705. [Google Scholar] [CrossRef]
  9. Kovalčíková, K.; Dubec, D.; Šolc, M. Evaluation of zinc-based alloy for SLM 3D printing. In Proceedings of the 34th International Conference on Metallurgy and Materials—METAL, Brno, Czech Republic, 21–23 May 2025; pp. 410–415. [Google Scholar] [CrossRef]
  10. Dusunceli, N. Experimental and numerical analysis of failure crack growth of polypropylene. KGK Kautsch. Gummi Kunststoffe 2020, 73, 26–29. [Google Scholar]
  11. Avila, E.; Eo, J.; Kim, J.; Kim, N.P. Heat Treatment Effect on Mechanical Properties of 3D Printed Polymers. MATEC Web Conf. 2019, 264, 02001. [Google Scholar] [CrossRef]
  12. Prabhakaran, R.T.D.; Toftegaard, H. Environmental effect on the mechanical properties of commingled-yarn-based carbon fibre/polyamide 6 composites. J. Compos. Mater. 2014, 48, 2551–2565. [Google Scholar] [CrossRef]
  13. Tóth, L.F.; Sukumaran, J.; Stebényi, G.; De Baets, P. Tribo-mechanical interpretation for advanced thermoplastics and the effects of wear-induced crystallization. Wear 2019, 440–441, 203083. [Google Scholar] [CrossRef]
  14. Randhawa, K. Hygroscopic analysis and tribo-mechanical characterization of biocompatible PP/PA6/Boron sesquioxide composite. Pigment. Resin Technol. 2024, 53, 882–889. [Google Scholar] [CrossRef]
  15. Ferreira, E.S.B.; Luna, C.B.B.; Siqueira, D.D. Annealing Effect on PLA/EVA Blends Performance. J. Polym. Environ. 2022, 30, 541–554. [Google Scholar] [CrossRef]
  16. Jain, P.A.K.; Sattar, S.; Mulqueen, D.; Pedrazzoli, D.; Kravchenko, S.G.; Kravchenko, O.G. Role of annealing and isostatic compaction on mechanical properties of 3D printed short glass fiber nylon composites. Addit. Manuf. 2022, 51, 102599. [Google Scholar] [CrossRef]
  17. Wijnbergen, D.C.; Van der Stelt, M.; Verhamme, L.M. The effect of annealing on deformation and mechanical strength of tough PLA and its application in 3D printed prosthetic sockets. Rapid Prototyp. J. 2021, 27, 81–89. [Google Scholar] [CrossRef]
  18. Pulipaka, A.; Gide, K.M.; Beheshti, A.; Bagheri, Z.S. Effect of 3D printing process parameters on surface and mechanical properties of FFF-printed PEEK. J. Manuf. Process. 2023, 85, 368–386. [Google Scholar] [CrossRef]
  19. ISO 527-2; Plastics—Determination of Tensile Properties. ISO: Geneva, Switzerland, 2025.
  20. Baráth, M.; Kotus, M.; Boszorádová, L.; Baláži, J.; Hrabovský, L.; Pravda, Š. Effect of Relative Humidity on Tribological and Mechanical Properties of PA6-Based Composites. Manag. Syst. Prod. Eng. 2025, 33, 362–370. [Google Scholar] [CrossRef]
  21. Hastie, T.; Tibshirani, R.; Friedman, J. The Elements of Statistical Learning: Data Mining, Inference, and Prediction, 2nd ed.; Springer: New York, NY, USA, 2009. [Google Scholar]
  22. Raschka, S.; Mirjalili, V. Python Machine Learning; Packt Publishing: Birmingham, UK, 2019. [Google Scholar]
  23. Titko, M.; Novák, L.; Jánošíková, M. Praktická Štatistika; EDIS—Žilinská Univerzita: Žilina, Slovakia, 2021; 146p. [Google Scholar]
  24. Handwerker, M.; Wellnitz, J.; Marzbani, H.; Tetzlaff, U. Annealing of chopped and continuous fibre reinforced polyamide 6 produced by fused filament fabrication. Compos. Part B Eng. 2021, 223, 109119. [Google Scholar] [CrossRef]
  25. Mushtaq, R.T.; Wang, Y.; Rehman, M.; Khan, A.M.; Bao, C.; Sharma, S.; Eldin, S.M.; Abbas, M. Investigation of the mechanical properties, surface quality, and energy efficiency of a fused filament fabrication for PA6. Rev. Adv. Mater. Sci. 2023, 62, 20220332. [Google Scholar] [CrossRef]
  26. Kamlendra, V.; Sumit, P.; Shubrajit, B. Thermal kinetic, mechanical and wear properties of glass fiber reinforced polyamide 6 thermoplastic composites. J. Appl. Polym. Sci. 2024, 141, e56119. [Google Scholar] [CrossRef]
  27. Zaghloul, M.M.Y.; Steel, K.; Veidt, M.; Martin, D.; Firouzi, M.; Heitzmann, T.M. Influence of Counter-Face Grit Size and Lubricant on the Abrasive Wear Behaviour of Thermoplastic Polymers Reinforced with Glass Fibres. Tribol. Lett. 2023, 71, 102. [Google Scholar] [CrossRef]
  28. Zhou, S.; Tashiro, K.; Tadaoki, I. Moisture Effect on Structure and Mechanical Property of Nylon 6 as Studied by the Time-Resolved and Simultaneous Measurements of FT-IR and Dynamic Viscoelasticity under the Controlled Humidity at Constant Scanning Rate. Polym. J. 2001, 33, 344–355. [Google Scholar] [CrossRef]
  29. Clavería, I.; Elduque, D.; Santolaria, J.; Pina, C.; Javierre, C.; Fernandez, A. The influence of environmental conditions on the dimensional stability of components injected with PA6 and PA66. Polym. Test. 2016, 50, 15–25. [Google Scholar] [CrossRef]
  30. Randhawa, K.; Patel, A. Influence of water absorption on mechanical properties and glass transition temperatures of polyamide 6/hexagonal boron nitride composites. Int. J. Struct. Integr. 2021, 12, 743–759. [Google Scholar] [CrossRef]
  31. Pernica, J.; Gajdaczek, T.; Černý, P.; Dostal, P.; Branec, M.; Korenko, M. Use of digital image correlation in predicting mechanical properties of parts made by additive manufacturing. Acta Technol. Agric. 2023, 26, 166–172. [Google Scholar] [CrossRef]
  32. Mitaľ, G.; Gajdoš, I.; Spišák, E.; Majerníková, J.; Jezný, T. An Analysis of Selected Technological Parameters’ Influences on the Tribological Properties of Products Manufactured Using the FFF Technique. Appl. Sci. 2022, 12, 3853. [Google Scholar] [CrossRef]
  33. Hachimi, T.; Ait Hmazi, F.; Arhouni, F.E.; Zekriti, N.; Doghmi, H.; Majid, F. Damage evolution and fracture behavior in 3D-printed materials: Effects of crack propagation and progressive layer degradation. Prog. Addit. Manuf. 2026, 11, 2591–2610. [Google Scholar] [CrossRef]
Figure 1. Testometric X350-10 testing machine.
Figure 1. Testometric X350-10 testing machine.
Applsci 16 03791 g001
Figure 2. Flow chart of data processing.
Figure 2. Flow chart of data processing.
Applsci 16 03791 g002
Figure 3. Confusion matrix for Onyx.
Figure 3. Confusion matrix for Onyx.
Applsci 16 03791 g003
Figure 4. Effect of Annealing Exposure Time on the Tensile Strength of Onyx.
Figure 4. Effect of Annealing Exposure Time on the Tensile Strength of Onyx.
Applsci 16 03791 g004
Figure 5. Confusion matrix for PA6.
Figure 5. Confusion matrix for PA6.
Applsci 16 03791 g005
Figure 6. Effect of Annealing Exposure Time on the Tensile Strength of PA6.
Figure 6. Effect of Annealing Exposure Time on the Tensile Strength of PA6.
Applsci 16 03791 g006
Figure 7. Confusion matrix for PA6 GF30.
Figure 7. Confusion matrix for PA6 GF30.
Applsci 16 03791 g007
Figure 8. Effect of Annealing Exposure Time on the Tensile Strength of PA6 GF30.
Figure 8. Effect of Annealing Exposure Time on the Tensile Strength of PA6 GF30.
Applsci 16 03791 g008
Table 1. Printing parameters for the samples [20].
Table 1. Printing parameters for the samples [20].
ParameterPA6PA6 GF30Onyx
Nozzle temperature260 °C270 °C275 °C
Bed temperature90 °C100 °Cunheated
Layer height0.2 mm0.2 mm0.2 mm
Nozzle diameter0.4 mm0.4 mm0.4 mm
Infillsolidsolidsolid
Number of perimeters222
Perimeters speed45 mm·s−145 mm·s−145 mm·s−1
Infill speed 80 mm·s−180 mm·s−180 mm·s−1
Extrusion width0.45 mm 0.45 mm 0.45 mm
Table 2. Selected parameters of the Testometric X350-10 testing machine (Testometric, 2019).
Table 2. Selected parameters of the Testometric X350-10 testing machine (Testometric, 2019).
Maximum force10 kN
Accuracy+/−0.5%
Crosshead travel1100 mm
Column height1275 mm
Position control resolution0.00001 mm
Minimum speed0.00001 mm·min−1
Maximum speed2000 mm·min−1
Speed control accuracy+/−0.1%
Sampling frequency500 Hz
Weight110 kg
Table 3. Metrics evaluation for Onyx.
Table 3. Metrics evaluation for Onyx.
ModelTime [min]Accuracy [%]RecallF1-ScoreSupport
Linear SVM01001.001.005
30670.80.735
60800.80.805
1001000.80.895
Quadratic SVM01000.800.895
30670.400.505
60451.000.625
1001000.400.575
K-NN01001.001.005
30621.000.775
60750.600.675
1001000.600.755
Table 4. Tensile strength (mean ± SD) of Onyx at different annealing times. Values with different letters (A, B) differ significantly (Tukey’s HSD, p < 0.05).
Table 4. Tensile strength (mean ± SD) of Onyx at different annealing times. Values with different letters (A, B) differ significantly (Tukey’s HSD, p < 0.05).
Annealing TimeTensile Strength (MPa)—Mean ± SDTukey Group
0 min50.78 ± 1.46A
30 min60.09 ± 1.30B
60 min59.23 ± 2.01B
100 min62.12 ± 4.24B
Table 5. Metrics evaluation for PA6.
Table 5. Metrics evaluation for PA6.
ModelTime [min]Accuracy [%]RecallF1-ScoreSupport
Linear SVM01001.001.005
30621.000.775
601000.600.755
1001000.800.895
Quadratic SVM01000.600.755
30421.000.595
601000.200.335
100500.400.445
K-NN0711.000.835
30831.000.915
60750.600.675
1001000.600.755
Table 6. Tensile strength (mean ± SD) of PA6 at different annealing times. Differences among groups were not statistically significant (Tukey’s HSD, p > 0.05).
Table 6. Tensile strength (mean ± SD) of PA6 at different annealing times. Differences among groups were not statistically significant (Tukey’s HSD, p > 0.05).
Annealing TimeTensile Strength (MPa)—Mean ± SDTukey Group
0 min55.31 ± 3.83A
30 min47.33 ± 4.76A
60 min47.95 ± 6.64A
100 min40.03 ± 9.36A
Table 7. Metrics evaluation for PA6 GF30.
Table 7. Metrics evaluation for PA6 GF30.
ModelTime [min]Accuracy [%]RecallF1-ScoreSupport
Linear SVM01001.001.005
301001.001.005
601000.800.895
100831.000.915
Quadratic SVM01000.600.755
30800.800.805
60570.800.675
100800.800.805
K-NN01001.001.005
301001.001.005
60711.000.835
1001000.600.755
Table 8. Tensile strength (mean ± SD) of PA6 GF30 at different annealing times. Values with different letters (A–C) differ significantly (Tukey’s HSD, p < 0.05).
Table 8. Tensile strength (mean ± SD) of PA6 GF30 at different annealing times. Values with different letters (A–C) differ significantly (Tukey’s HSD, p < 0.05).
Annealing TimeTensile Strength (MPa)—Mean ± SDTukey Group
0 min76.85 ± 0.87A
30 min67.73 ± 3.35B
60 min61.10 ± 1.68B
100 min51.91 ± 8.03C
Disclaimer/Publisher’s Note: The statements, opinions and data contained in all publications are solely those of the individual author(s) and contributor(s) and not of MDPI and/or the editor(s). MDPI and/or the editor(s) disclaim responsibility for any injury to people or property resulting from any ideas, methods, instructions or products referred to in the content.

Share and Cite

MDPI and ACS Style

Boszorádová, L.; Baráth, M.; Kotus, M.; Madola, V.; Fries, J. Effect of Annealing Time on FFF-Manufactured PA6 Composites. Appl. Sci. 2026, 16, 3791. https://doi.org/10.3390/app16083791

AMA Style

Boszorádová L, Baráth M, Kotus M, Madola V, Fries J. Effect of Annealing Time on FFF-Manufactured PA6 Composites. Applied Sciences. 2026; 16(8):3791. https://doi.org/10.3390/app16083791

Chicago/Turabian Style

Boszorádová, Lucia, Martin Baráth, Martin Kotus, Vladimír Madola, and Jiří Fries. 2026. "Effect of Annealing Time on FFF-Manufactured PA6 Composites" Applied Sciences 16, no. 8: 3791. https://doi.org/10.3390/app16083791

APA Style

Boszorádová, L., Baráth, M., Kotus, M., Madola, V., & Fries, J. (2026). Effect of Annealing Time on FFF-Manufactured PA6 Composites. Applied Sciences, 16(8), 3791. https://doi.org/10.3390/app16083791

Note that from the first issue of 2016, this journal uses article numbers instead of page numbers. See further details here.

Article Metrics

Back to TopTop