Next Article in Journal
MMCAD-Net: A Multi-Scale Multi-Level Convolutional Attention Decomposition Network for Stock Price Forecasting
Previous Article in Journal
Efficient Adsorptive Removal of Methyl Orange from Aqueous Solutions Using a Cu2O/CuO Nanocomposite
Previous Article in Special Issue
Experimental Study on Spanwise Aerodynamic Control Measures for Vortex-Induced Vibrations of a Narrow Π-Shaped Girder of a Large Span Railway Cable-Stayed Bridge
 
 
Font Type:
Arial Georgia Verdana
Font Size:
Aa Aa Aa
Line Spacing:
Column Width:
Background:
Article

Effect of Various Parapets Configurations on Wind Loads of Single Slope Overhead Photovoltaic Roof

1
School of Civil Engineering, Hunan University of Science and Technology, Xiangtan 411201, China
2
Hunan Provincial Key Laboratory of Structures for Wind Resistance and Vibration Control, Hunan University of Science and Technology, Xiangtan 411201, China
*
Author to whom correspondence should be addressed.
Appl. Sci. 2026, 16(8), 3715; https://doi.org/10.3390/app16083715
Submission received: 16 March 2026 / Revised: 8 April 2026 / Accepted: 8 April 2026 / Published: 10 April 2026
(This article belongs to the Special Issue Structural Wind Engineering: Latest Advances and Applications)

Featured Application

The findings of this study can offer some guidance for selecting parapet configurations for overhead photovoltaic roofs on building rooftops, aimed at preventing wind-induced damage to such roofs under strong wind conditions.

Abstract

In modern society, distributed photovoltaics are widely used, and overhead photovoltaic roofs are favored for their many advantages; however, they are vulnerable to failure during high-wind events. Parapets are common auxiliary structures on building rooftops. Wind tunnel testing was employed to investigate the effects of parapet configurations on wind pressures acting on overhead photovoltaic (PV) roofs. Results show that wind suction dominates, with maximum negative pressure consistently at the windward corner leading edge. A solid parapet significantly increases the maximum mean pressure coefficient, whereas perforated parapets have little effect. In most cases, parapets reduce fluctuating pressure coefficients. Extreme pressure distribution exhibits significant regional characteristics, with the most unfavorable area at the roof corner. The solid parapet increases unfavorable extreme values at the corner. Horizontal and rectangular grid parapets reduce extreme pressure coefficients at the high-eave corner with minimal impact on the low-eave corner, while the vertical parapet increases values at the low-eave corner. Under the conditions of this experiment, among the four parapet types, the horizontal and rectangular grid parapets have little effect on the mean wind pressure and significantly reduce the peak wind pressure, thereby helping to ensure the wind resistance safety of the photovoltaic roof.

1. Introduction

In modern society, distributed photovoltaics are widely applied, among which the overhead photovoltaic roof is more favored due to its functions of waterproofing, thermal insulation, and practicality. The rooftop overhead photovoltaic roof belongs to a thin-plate structure, and wind load is its primary controlling load. Under strong wind conditions, wind-induced damage to overhead roof structures occurs from time to time.
The rooftop overhead photovoltaic roof belongs to an open canopy structure. For canopy structures, through wind tunnel tests, Gumley examined the peak wind pressure characteristics of a mono-enclosed double-slope canopy and assessed the effects of aspect ratio and internal obstructions. By comparing the results with existing codes, it was found that the code values were generally consistent with the experimental results [1]. Robertson et al. compared field measurements with wind tunnel tests to analyze the wind loads on a double-slope canopy and found significant differences between the two results. They also observed that the model scale had a noticeable influence on the wind tunnel results, indicating that scale effects cannot be ignored in wind load studies of such structures [2]. Ginger investigated the wind pressures on a double-slope canopy through wind tunnel tests and found that the maximum peak wind pressure occurred at the canopy edge under a wind direction of 30° [3]. Natalini et al. studied the optimal simulation conditions for planar canopy structures based on wind tunnel tests and found that the model scale ratio had a greater influence on the results than the Reynolds number and turbulence intensity [4]. Uematsu et al. systematically investigated the wind load characteristics of three types of canopies and found that large wind pressures occurred at the corners and edge regions under oblique wind directions. They also proposed wind pressure coefficients for the design of cladding and their directly supporting structures [5]. Poitevin et al. combined wind tunnel tests and numerical simulations to study canopy structures with parapets and compared the influence of parapets with different heights on wind loads. Their results indicated that the values provided in current American codes are relatively conservative [6]. Pratap et al. found that the wind loads on a single-slope canopy are significantly affected by wind direction and inclination angle. They also summarized existing studies on the wind resistance of single-slope canopies and pointed out that there are significant differences between code values and experimental results [7,8]. Wang et al. conducted numerical simulations to systematically analyze the flow field characteristics on the upper and lower surfaces of a rooftop canopy and evaluated its wind energy utilization potential [9]. Jiang et al. investigated the influence of the height of the underlying building on the wind load characteristics of rooftop open canopies through wind tunnel tests. Their results showed that building height has a significant influence on the wind loads of rooftop canopies, with the 12 m building model exhibiting the most unfavorable wind load characteristics [10]. Chen et al. systematically studied the effects of canopy width, opening width, and building height on the peak wind pressure coefficients of the roof through wind tunnel tests. Based on the distribution characteristics of the most unfavorable wind pressures, a roof zoning scheme consisting of 19 zones was proposed. In addition, a calculation formula for the most unfavorable wind pressure coefficient considering the influence of tributary area was established, providing a theoretical basis and engineering reference for the wind-resistant design of roof cladding structures [11].
Current research on rooftop distributed photovoltaics mainly focuses on photovoltaic arrays. Alrawashdeh et al. conducted wind tunnel tests on rooftop photovoltaic array models with three different scale ratios, revealing that the peak wind pressure coefficients on the photovoltaic panels of the middle modules vary significantly with wind direction [12]. Cosoiu et al. combined numerical simulations with wind tunnel experiments and found that the wind pressure distribution on photovoltaic panels exhibits a gradual variation [13]. Peng et al. investigated the influence of building height on the wind loads of rooftop photovoltaic panels through wind tunnel tests. Based on k-means clustering analysis, they proposed a mathematical model for the wind loads acting on photovoltaic panels in different roof regions under various building heights [14]. Browne et al. studied the influence of parapets on the wind loads of rooftop photovoltaic arrays with a tilt angle of 10° through wind tunnel tests. They found that the influence of parapets on the peak wind loads of rooftop photovoltaic arrays is caused by multiple aerodynamic phenomena rather than turbulence alone [15]. Wang et al. varied factors such as building plan aspect ratio, height-to-width ratio, and parapet height while keeping the building height constant. The results showed that the maximum negative wind pressure on photovoltaic panels increased with the increase in plan aspect ratio, while the maximum positive wind pressure was almost unaffected [16]. Zou et al. investigated the influence of parapets and rooftop protruding structures on the wind field characteristics of flat roofs. They found that the wind speed over the roof is affected by the airflow around the protruding structures and the wake flow behind the parapets [17]. Pindado et al. studied the influence of different parapet configurations on roof wind loads and found that the reduction in peak negative pressure provided by solid parapets is smaller than that provided by porous parapets [18]. Baskaran et al. investigated the influence of parapets on the wind load characteristics of various building roofs. They found that when parapets lower than 1 m are applied to buildings, the suction at the roof corners may increase significantly [19]. Huang studied the influence of parapets with different structural configurations on the roof wind loads of low-rise flat-roof buildings. The results showed that parapets with raised corners or slotted corner bases can effectively mitigate the most unfavorable wind suction on flat roofs [20]. Trung et al. analyzed the influence of peripheral parapets with different heights—including solid parapets, porous parapets, and guide vanes—on the wind loads of porous shading roof panels [21].
In summary, current studies on open canopy structures mainly focus on ground-level canopies. Research on rooftop distributed photovoltaics has also primarily concentrated on photovoltaic arrays, while studies related to the overhead photovoltaic roof remain limited. Parapets are common auxiliary structures on building roofs. This study investigates the influence of various parapets configurations on the wind loads of the overhead photovoltaic roof through rigid model wind tunnel pressure measurement tests. The aim is to provide a scientific basis and engineering reference for selecting appropriate parapet configurations for such structures, thereby optimizing structural layout schemes and ensuring the safety and reliability of the structure under strong wind conditions.

2. The Wind Tunnel Experiment

2.1. Experimental Model

Referring to the model scale ratio, panel dimensions, and building dimensions used in previous studies on open canopy structures [10,22], the model scale ratio in the wind tunnel test was set to 1:40, and the model consisted of a bottom building model and a top overhead photovoltaic roof. The dimensions of the bottom building were length × width × height = 450 mm × 300 mm × 270 mm, and the dimensions of the overhead photovoltaic roof were length × width = 470 mm × 320 mm. The model satisfied the rigidity requirements for pressure measurement tests. The arrangement of pressure measuring points and wind direction angles of the model is shown in Figure 1a. A total of 198 pressure measuring points were arranged, with 99 points uniformly distributed on both the top and bottom surfaces in a one-to-one correspondence. The wind direction range in the test was 0–180°, with adjacent directions spaced 15° apart, thus providing 13 different wind direction angles for analysis. Additionally, since the arranged wind field, the bottom building, and the overhead photovoltaic roof model are all bilaterally symmetric, the data for wind directions from 195° to 360° can be obtained through symmetry from the data for wind directions from 0° to 180°, thereby yielding data under all wind directions. Figure 1b illustrates the elevation view of the photovoltaic roof. The distance between the mid-span position of the photovoltaic roof and the roof of the bottom building was 75 mm. In practical engineering, the panel is required to have a certain inclination angle to meet drainage needs. Therefore, to make the experiment more representative, a certain inclination angle needs to be set for the test roof panel. Considering that in engineering practice the roof inclination angle is generally between 0° and 15°, among which a 5° inclination has the highest proportion and is the most representative in actual installations, the roof inclination angle β = 5° was selected for this experiment. A schematic view of the model positioned in the wind tunnel is provided in Figure 2. The test models were divided into two categories: models without parapets and models with parapets. The model without a parapet was denoted as Ref. For the models with parapets, the parapet height was 30 mm, and four configurations were considered: solid parapet, horizontal parapet, vertical parapet, and rectangular grid parapet. The corresponding model numbers were M1, M2, M3, and M4, respectively. The schematic diagrams of these configurations are shown in Figure 3. It is worth noting that the parapet height was selected as 30 mm (corresponding to a full-scale dimension of 1.2 m), which is a common value in practical engineering. The selection of parapet configurations is also based on typical engineering practices and is well representative.

2.2. Experiment Setup

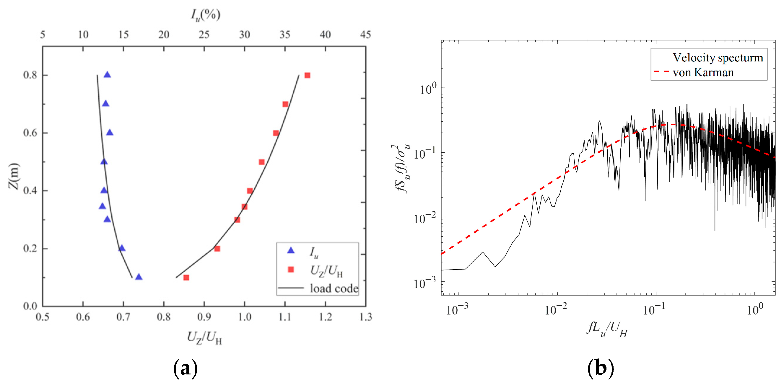
The tests were carried out in a straight-flow suction-type wind tunnel at Hunan University of Science and Technology. The wind tunnel system was manufactured by Mianyang Liuwei Technology Co., Ltd. (Mianyang, China). The geometric parameters of the wind tunnel working section are width × height × length = 4 m × 3 m × 21 m. The wind field corresponding to Terrain Category B specified in the Load Code for the Design of Building Structures (GB 50009-2012) [23] was simulated using spires and roughness elements. Figure 4a compares the experimentally measured and theoretically predicted distributions of mean wind speed and associated turbulence intensity, where Z represents the height, H represents the reference height, the height of the mid-span position of the overhead photovoltaic roof above the ground was selected as the reference height, Uz represents the mean wind speed at height Z, UH represents the mean wind speed at the reference height, Iu represents the longitudinal turbulence intensity. Figure 4b shows the longitudinal fluctuating wind power spectrum at the reference height, where f represents the fluctuating wind frequency, Lu denotes the turbulence integral scale, Su(f) is the power spectrum of fluctuating wind speed, and σu2 is the variance of fluctuating wind speed. It can be seen from the figure that it is in good agreement with the von Karman spectrum. The wind speed scale ratio in the experiment was 1:3, and the time scale ratio was 3:40. The sampling duration of the experiment was 45 s, corresponding to 10 min at full scale. The sampling frequency was 333 Hz. In a single acquisition, 15,000 data samples were collected per measuring point, resulting in a total of 2,970,000 data samples for all measuring points in one sampling run. For each wind direction case, the experimental data were obtained through 10 repeated samplings., and the mean and standard deviation of the pressure coefficient at each measuring point were calculated. The results show that the coefficients of variation among samples within the same wind direction are generally less than 5%, indicating that random errors are small and the experiment has good repeatability.

2.3. Data Processing Method

The wind pressure coefficients on the upper and lower surfaces at an arbitrary measuring point i are defined as follows:
C p u i / p l i ( t ) = p i ( t ) p 0.5 ρ U H 2 ,
Here, pi(t) reflects the evolution of the measured pressure over time at measuring point i on the surface of the photovoltaic roof, p denotes the reference static pressure, and UH represents the mean wind speed at the reference height of the model. The net wind pressure coefficient at measuring point i can therefore be expressed as follows:
C p i ( t ) = C p u i ( t ) C p l i ( t ) ,
Based on this, the expressions for the mean wind pressure coefficient and the fluctuating wind pressure coefficient can be obtained as follows:
C ¯ p i = 1 N t 1 t N C p i ( t ) ,
C ~ p i = 1 N t 1 t N ( C p i ( t ) C ¯ p i ( t ) ) 2 ,
Here, N denotes the number of sample data points obtained from a wind pressure time history, and in this experiment N = 15,000.
In this experiment, 10 samples were collected for each wind direction, and the peak wind pressure coefficient at each measuring point was estimated using the Cook-Mayne method [24]. The maximum value of the peak wind pressure coefficients at measuring point i across all wind directions is defined as the most unfavorable peak wind pressure coefficient at measuring point i. The extreme wind pressure coefficient at measuring point i for a 50-year return period is calculated using the following formula:
C p i , m i n = μ i + 1.4 α i ,
where μi is the location parameter of the extreme value probability distribution, αi is the scale parameter of the extreme value probability distribution, and the constant 1.4 is the coefficient corresponding to the fifty-year return period.
In Section 3.2 of this paper, after zoning the photovoltaic roof, the most unfavorable minimum pressure coefficient of a given zone is defined as the area-weighted average of the most unfavorable minimum pressure coefficients of all measuring points within that zone. The expression for the most unfavorable minimum pressure coefficient of a given zone is as follows:
C ¯ p , min = i = 1 N C p , min i × A i i = 1 N A i ,
where Cp,min(i) is the most unfavorable minimum pressure coefficient of measuring point i in a given zone of the roof, Ai is the tributary area of measuring point i, and N is the number of measuring points.

3. Results and Discussion

In this section, four typical wind direction angles, namely 0°, 45°, 135°, and 180°, are selected for analysis. Among them, 0° and 180° are symmetric wind directions, corresponding to the windward and leeward conditions of the photovoltaic roof under the influence of parapets, respectively, facilitating a comparison of the effects of different incoming flow directions on wind pressure distribution. Furthermore, studies by Jiang et al. indicate that open canopy structures are prone to significant unfavorable wind pressures under a 45° wind direction [10], with the resulting oblique separation flow having a pronounced effect on the roof corner region—a similar mechanism exists in the rooftop overhead photovoltaic system in this study. Meanwhile, research by Stathopoulos et al. points out that the 135° wind direction is the most unfavorable for negative wind loads on flat-roof solar panel systems [25]. Therefore, 45° and 135° are included in the analysis of typical wind directions to cover the most unfavorable conditions. Regarding extreme wind pressures, since wind-induced damage to photovoltaic roofs is primarily governed by wind suction, this paper only discusses the minimum pressure coefficients.

3.1. Mean and Fluctuating Wind Pressure Distribution

Figure 5 presents the distribution of net mean wind pressure on the overhead photovoltaic roof installed on a building rooftop under different parapet configurations at a wind direction angle of 0°. As shown in Figure 5a, the wind load on the overhead photovoltaic roof is predominantly negative. The incoming flow separates at the windward lower eave of the roof, and the separated shear layer rolls up to form columnar vortices. These vortices, with axes parallel to the windward edge, extend along the roof span and create a region of strong negative pressure. Among these, the negative mean pressure coefficient reaches its maximum value of −1.38 in the windward corner region. The contour lines of wind pressure distribution are approximately parallel to the windward low eave of the roof, and the negative mean wind pressure coefficient gradually decreases along the incoming wind direction. The maximum negative pressure at the windward corner is attributed to bidirectional flow separation; the airflow separates simultaneously along both the long and short edges of the photovoltaic panel, and the coupling of these two separation zones significantly increases the negative pressure magnitude. Notably, the study by Jiang et al. indicated that under a 0° incoming flow, an open canopy installed on a building also experiences airflow separation at the windward leading edge, forming columnar vortices and generating maximum negative pressure at the windward corner. This conclusion is highly consistent with the experimental results of this study.
As shown in Figure 5b–e, the mean wind pressure distributions of the overhead photovoltaic roof under different parapet configurations exhibit similar patterns, and the maximum negative mean wind pressure coefficient consistently appears in the windward low-eave corner region. The maximum negative mean wind pressure coefficients for models M1 to M4 are −1.64, −1.43, −1.45, and −1.47, respectively, representing increases of 19%, 4%, 5%, and 7% compared with the value of −1.38 for Ref. These results indicate that the presence of parapets increases the maximum negative mean wind pressure coefficient on the roof, but only the solid parapet causes a significant increase. This is because the solid parapet more effectively blocks and guides the incoming flow, altering its flow path, which intensifies flow separation on the upper surface of the photovoltaic roof while shortening the impact path of the separated airflow from the parapet top to the lower surface of the roof. Consequently, a windward pressure amplification effect occurs [15], resulting in a greater increase in negative pressure near the windward leading edge. Although models M2, M3, and M4 exhibit similar effects, their permeable railings guide and dissipate the incoming flow, which suppresses the flow separation and vortex development near the roof to a certain extent, thereby producing a smaller increase in negative pressure.
Figure 6 displays the net fluctuating wind pressure distribution characteristics on the overhead photovoltaic roof under diverse parapet configurations when the wind direction is 0°. The figure demonstrates that the peak value of the fluctuating wind pressure coefficient on the photovoltaic roof is attained at the windward leading edge. Compared with the case without parapets, the presence of parapets reduces the coefficient of fluctuating wind pressure along the windward edge of the photovoltaic roof, while slightly increasing the coefficient at the leeward trailing edge. As shown in Figure 6b–e, compared with the no-parapet case (Ref), all types of parapets significantly reduce the fluctuating pressure coefficient in the region near the windward front edge of the photovoltaic roof. The maximum fluctuating wind pressure coefficients for models M1 to M4 are 0.55, 0.51, 0.50, and 0.49, representing reductions of 9%, 14%, 15%, and 17%, respectively, compared with 0.59 for the Ref case. This is because the wind pressure on the photovoltaic roof results from the coupled effects of airflow separation at the roof’s own leading edge, the rooftop parapet, and the bottom building rooftop. The presence of parapets therefore influences the airflow separation on both the photovoltaic roof and the bottom building rooftop.
Figure 7 displays the net mean wind pressure distribution characteristics on the overhead photovoltaic roof installed on a building rooftop under different parapet configurations at 45° wind incidence. As shown in the figure, when the wind direction angle is 45°, the incoming flow obliquely impinges on the roof corner, causing flow separation on both sides of the windward corner. The separated shear layer rolls up to form conical vortices. The vortex core originates from the corner and develops downstream, thereby generating a strong suction zone in the windward corner region. As the influence of the conical vortices is primarily along the windward edge, the wind pressure intensities over non-windward roof areas are relatively modest; furthermore, the intensity of the conical vortices gradually decreases along the direction of the incoming flow. This is consistent with the findings of Jiang et al. on the wind pressure distribution of an open canopy on a building rooftop under a 45° incoming flow. Additionally, it can be observed that compared to the case without parapets, the solid parapet (M1) significantly increases the negative mean pressure coefficient at the windward leading edge, whereas the other parapet types have no significant effect on the pressure coefficient. The maximum negative mean pressure coefficients for models M1 to M4 are −2.28, −1.55, −1.77, and −1.72, respectively; compared with the Ref case value of −1.65, M1, M3, and M4 show increases of 38%, 7%, and 4%, respectively, while M2 shows a decrease of 6%. It is thus evident that the solid parapet significantly alters the wind load on the area near the windward front edge of the overhead photovoltaic roof, whereas the perforated parapets do not have a significant effect.
Figure 8 presents the distribution of net fluctuating wind pressure on the overhead photovoltaic roof installed on a building rooftop under different parapet configurations at a wind direction angle of 45°. It can be seen from the figure that the airflow forms conical separating vortices on both windward sides of the overhead photovoltaic roof, resulting in large fluctuating wind pressure coefficients at the windward corners. Compared with the no-parapet case (Ref), the various parapets types all have a certain degree of influence on the fluctuating pressure at the windward corner leading edge, while the changes in the fluctuating wind pressure coefficient on the rest of the roof are comparatively weak. The maximum fluctuating wind pressure coefficients for models M1 to M4 are 0.99, 0.81, 0.85, and 0.79, respectively; compared with the Ref case value of 0.80, M1, M2, and M3 show increases of 24%, 1%, and 6%, respectively, while M4 shows a decrease of 1%. This is because, under a 45° incoming flow direction, the solid parapet (M1) more effectively accelerates the convergence of airflow at the corner areas of the overhead photovoltaic roof, further stimulating the development of conical vortices, thus leading to more intense fluctuations in vortex separation. It is thus evident that, similar to its effect on the mean pressure coefficient at 45°, the solid parapet substantially modifies the fluctuating wind pressure in the windward leading edge region of the overhead photovoltaic roof, whereas the perforated parapets have a relatively minor effect.
Figure 9 shows how the net mean wind pressure is distributed on the overhead photovoltaic roof installed on a building rooftop under different parapet configurations for wind approaching from 135°. It can be seen from Figure 9 that the net mean pressure distribution for a 135° incoming flow is similar to that for a 45° incoming flow. However, the coverage area of negative pressure is significantly enlarged, and its intensity is also markedly enhanced. Taking the no-parapet case (Ref) as an example, the range of the mean pressure coefficient changes from 0.10 to −1.65 at a 45° wind direction to 0.04 to −3.26. This is attributed to the tilt angle of the overhead photovoltaic roof, which intensifies the airflow separation of conical vortices on the upper surface of the high eave while simultaneously increasing the windward pressure effect on the lower surface. The maximum negative mean pressure coefficients for models M1 to M4 are −3.88, −3.28, −3.21, and −3.33, respectively; compared with the Ref case value of −3.26, M1, M2, and M4 show increases of 19%, 1%, and 2%, respectively, while M3 shows a decrease of 2%. It can thus be concluded that under a 135° incoming flow, the influence of perforated parapets on the mean pressure coefficient of the overhead photovoltaic roof is almost identical to that of the no-parapet case, whereas the solid parapet significantly increases the maximum negative mean pressure coefficient.
Figure 10 provides the distribution pattern of the net fluctuating wind pressure on the overhead photovoltaic roof on the rooftop of the bottom building under different parapet configurations with the wind approaching at 135°. As shown in Figure 10, compared with the case without a parapet (Ref), the presence of parapets reduces the fluctuating wind pressure coefficients to some extent in the windward leading-edge corner region. The maximum fluctuating wind pressure coefficients for models M1 to M4 are 1.08, 1.02, 0.96, and 0.98, respectively, which decrease by 7%, 12%, 17%, and 16% compared with the value of 1.16 for Ref. This behavior is significantly different from that under the 45° incoming wind direction, indicating that the windward inclination angle and the vertical clearance at the windward eave modify the way parapets alter the fluctuating wind pressure.
Figure 11 shows the distribution pattern of the net mean pressure on the overhead photovoltaic roof on the rooftop of the bottom building under different parapet configurations for the case of 180° wind incidence. As illustrated in the figure, under the 180° incoming wind direction, the distribution pattern of the mean wind pressure is similar to that under the 0° incoming wind direction; however, the range of the negative pressure region expands and the negative pressure intensity increases significantly due to the inclination angle of the photovoltaic roof. Taking the case without a parapet (Ref) as an example, the range of the mean wind pressure coefficient changes from 0.61 to −1.38 under the 0° incoming wind direction to 0.20 to −1.77. In addition, different from the 0° incoming wind direction, the solid parapet does not significantly increase the negative pressure intensity in the windward leading edge region of the high roof eave, and the influence of different parapet configurations on the negative pressure at the windward leading edge is relatively small. The maximum negative mean wind pressure coefficients for models M1 to M4 are −1.79, −1.77, −1.71, and −1.71, respectively; compared with the value of −1.77 for Ref, model M1 increases by 1%, model M2 shows no change, and models M3 and M4 decrease by 3%.
Figure 12 represents the distribution characteristics of the net fluctuating wind pressure on the overhead photovoltaic roof on the rooftop of the bottom building under different parapet configurations at a wind direction angle of 180°. Under the 180° incoming wind direction, except for the vertical parapet (M3), the other parapet configurations significantly reduce the net fluctuating wind pressure coefficients in the windward leading-edge corner region of the roof. Different from the case under the 0° incoming wind direction, except for the rectangular grid parapet (M4), the other parapet configurations significantly increase the net fluctuating wind pressure coefficients in the leeward trailing-edge region of the roof. The maximum fluctuating wind pressure coefficients for models M1 to M4 are 0.47, 0.58, 0.50, and 0.49, respectively; compared with the value of 0.55 for Ref, models M1, M3, and M4 decrease by 15%, 9%, and 11%, respectively, whereas model M2 increases by 5%.
In summary, compared with the case without a parapet (Ref), different parapet configurations have certain influences on the wind loads of the overhead photovoltaic roof, particularly in the windward leading-edge region. In terms of mean wind pressure, under the four typical wind direction angles, the solid parapet significantly increases the negative mean wind pressure intensity in the windward leading-edge region compared with the case without a parapet, indicating that the solid parapet amplifies the unfavorable wind load acting on the roof and thereby raises the risk of wind-induced damage. In contrast, perforated parapets have little influence on the negative mean wind pressure intensity, suggesting that they are more beneficial for preventing wind-induced damage to the photovoltaic roof. In terms of fluctuating wind pressure, parapets reduce the maximum fluctuating wind pressure coefficients on the roof in most cases, while only under certain specific conditions do they increase the fluctuating wind pressure coefficients.

3.2. Peak Wind Pressure Distribution

Figure 13 presents the distribution of the most unfavorable minimum pressure coefficient of the overhead photovoltaic roof under all wind directions for different parapet configurations obtained through symmetry. Due to the symmetry of the model and the wind field, the results for the measuring points in the right half area of the roof for wind directions from 195° to 360° are obtained by symmetry from the results for the left half area for wind directions from 165° to 0°. Similarly, the results for the measuring points in the left half area are obtained accordingly. Finally, the minimum pressure coefficients for all measuring points under all wind directions are derived. Based on these values, the distribution of the most unfavorable extreme pressure coefficients on the overhead photovoltaic roof is obtained. The results show that the distribution exhibits obvious regional characteristics, with a large gradient at the outer edges and a smaller gradient in the central region. The region with the greatest peak wind pressure intensity is located at the high-eave corner, where the solid parapet produces the largest peak wind pressure intensity. The maximum most unfavorable minimum pressure coefficients for models M1 to M4 are −9.67, −8.16, −8.82, and −8.11, respectively. Compared with the value of −8.74 for Ref, models M1 and M3 increase by 11% and 1%, respectively, while models M2 and M4 decrease by 7% and 9%, respectively.
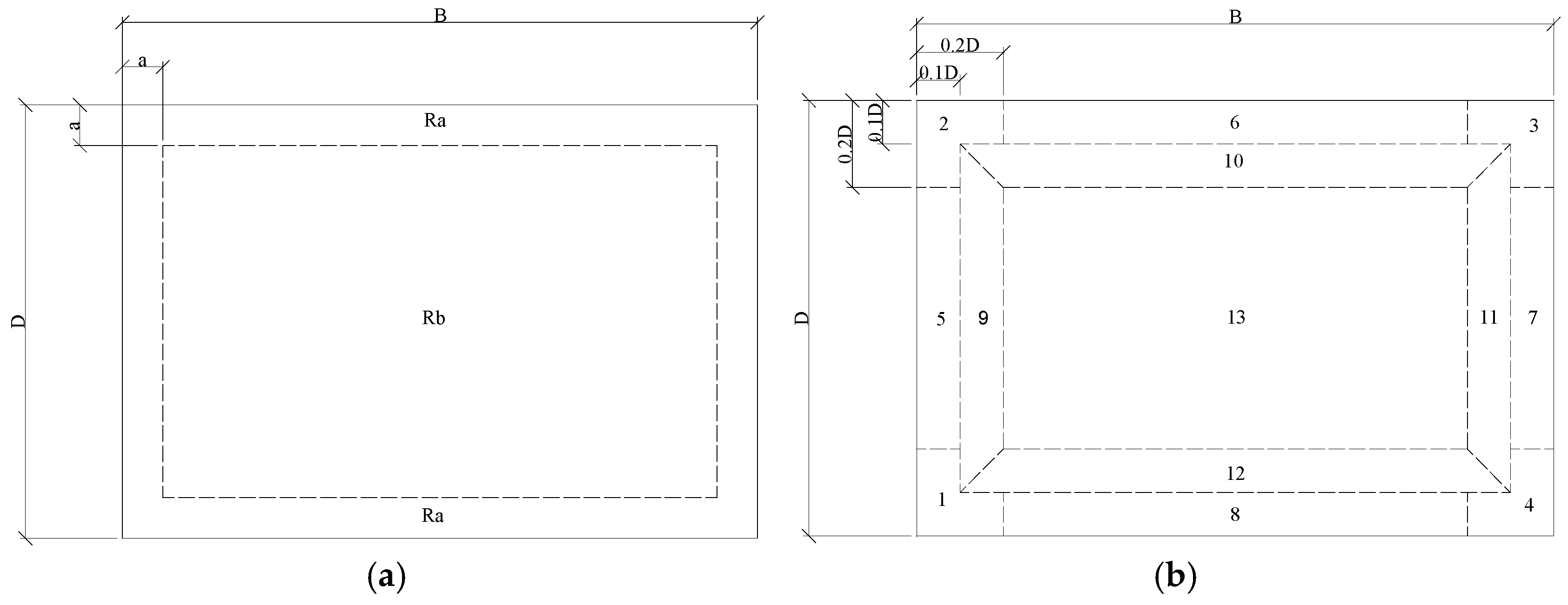
Figure 14a shows the zoning scheme of extreme wind pressure coefficients under full-direction inflow for an open single-slope roof provided in the Chinese code JGJ/T 481-2019 [26]. In this scheme, the roof is divided into inner and outer regions, where a = 30 mm. The extreme wind pressure in a given zone is defined as the area-weighted average of the most unfavorable peak wind pressure coefficients under full-direction wind for the measuring points within that zone. The peak wind pressure coefficients obtained according to the code zoning are listed in Table 1. In region Ra, except for model M1 whose value is slightly larger than the code value but does not exceed 5%, the peak pressure coefficients of the remaining configurations are smaller than the code values, with models M2 and M4 showing the most significant reductions of about 10%. In region Rb, the peak wind pressure coefficients of models Ref and M1 to M4 are only about 70% of the code values, indicating that wind load design based on the Chinese code can generally ensure the wind resistance safety of the roof. However, as shown in Figure 13, the distribution of peak wind pressure coefficients on the overhead photovoltaic roof is highly non-uniform. Large pressure gradients occur in the outer edge regions, particularly at the high-eave and low-eave corners. These areas not only exhibit large absolute values of peak wind pressure coefficients but also demonstrate significant gradient variations relative to adjacent regions, reflecting their distinct aerodynamic characteristics. If these regions are still uniformly classified into the outer zone Ra according to the code, the local unfavorable effects would be weakened during the area-weighted averaging process, potentially leading to an underestimation of the design wind loads in critical areas such as roof corners. Therefore, this study adopts the magnitude of peak values and spatial gradients as the primary criteria and refines the code-based zoning scheme by integrating existing studies [27], the ASCE code [28], and the experimentally obtained distribution characteristics of peak wind pressure coefficients. Regions with large peak values and significant gradient variations are defined as independent zones, whereas regions with relatively uniform distributions are appropriately merged, thereby balancing zoning accuracy with engineering practicality. Based on this principle, the outer zone Ra defined in the code is further subdivided into eight subzones, with the four corner regions separately identified to emphasize their unfavorable loading characteristics. Meanwhile, the inner zone Rb is further subdivided according to the wind pressure distribution features, ultimately forming a 13-zone scheme. This zoning approach maintains consistency with the existing code framework while enhancing the representation of local peak wind pressure distributions on the roof. Zones 1 to 8 are located within region Ra, while the remaining zones belong to region Rb. Considering the symmetry of the model and wind field, Table 2 lists only the peak wind pressure coefficients of zones 3 to 4, 6 to 8, and 10 to 13. The maximum peak wind pressure coefficients for models Ref and M1 to M4 occur in zone 3 at the high-eave corner, followed by zone 4 at the low-eave corner, while the smallest value occurs in zone 13 at the central region. Compared with Ref, the influence of different parapet configurations on the peak wind pressure coefficients in zones 6 to 13 is not significant. In zones 3 and 4, model M1 increases the peak wind pressure coefficients by 8% and 20%, respectively. Models M2 and M4 reduce the peak wind pressure coefficient in zone 3 by 8% while having little influence on zone 4, whereas model M3 increases the peak wind pressure coefficient in zone 4 by 7% while having little influence on zone 3. Compared with the Chinese roof code, the high-eave corner region exceeds the code value by 43% without a parapet and by 32% to 54% with different parapet configurations. In the low-eave corner region, except for the case with a solid parapet which exceeds the code value by 17%, the differences from the code values in other cases do not exceed 5%. Overall, the most unfavorable region of the photovoltaic roof is the roof corner. Solid parapets and vertical parapets significantly increase the peak wind pressure coefficients at the roof corners, whereas horizontal parapets and rectangular grid parapets can reduce the most unfavorable peak wind pressure coefficients in the corner region to some extent.
In addition, it should be noted that the proposed 13-zone scheme has two aspects of practical value for engineering design. First, the refined zoning enables the determination of more detailed design wind loads for critical regions such as corners and edges. Second, under simplified design conditions, the maximum value in key zones (e.g., corner regions) may be adopted for conservative design, thereby balancing safety and practicality. However, this scheme is developed based on a specific overhead photovoltaic roof model, including building geometry, roof slope, and parapet configuration, and its applicability is therefore mainly limited to low-rise building photovoltaic roof systems with similar aerodynamic characteristics. For other roof types or structural configurations with significantly different parameters, direct application of this zoning scheme should be approached with caution and requires further validation. Furthermore, the scheme retains a certain degree of empiricism, as it is derived from wind tunnel test results and may be influenced by factors such as incoming flow characteristics, model scale effects, and sampling parameters. Although the distribution patterns obtained under different conditions show good consistency, their generality and robustness still need to be further verified through more extensive parametric analyses, numerical simulations, and full-scale measurements. In summary, the proposed 13-zone scheme represents a targeted refinement of existing codes, improving the representation of wind pressure characteristics in critical unfavorable regions of photovoltaic roofs while maintaining consistency with current design methodologies, and thereby providing a more rational and application-oriented basis for wind-resistant structural design.

3.3. Limitations of the Study and Future Work

This experiment was conducted only for Terrain Category B (i.e., medium-roughness terrain such as fields, countryside, sparsely forested areas, etc.), without covering the effects of different wind profile exponents and turbulence characteristics under Terrain Categories A (offshore sea surface, deserts, etc.), C (dense urban clusters), and D (downtown areas of large cities with dense high-rise buildings). Therefore, the applicability of the conclusions to other terrain types requires further verification. Secondly, the parapet height in the experiment was fixed at 1.2 m, and the differences in the regulation effects of parapets with different heights (e.g., 0.6 m, 1.5 m, 1.8 m, etc.) on the wind load of the roof were not systematically investigated. Furthermore, the inclination angle of the photovoltaic roof was only 5°, while the common range of inclination angles in practical engineering is 0°~15° or even larger. The mechanisms of flow separation and reattachment vary significantly with different inclination angles, and this experiment failed to reveal their influence patterns. Meanwhile, the experimental model was a single building, without considering the interference effects among adjacent building groups or multiple buildings, whereas building spacing and layout in actual urban environments have important influences on wind pressure distribution. Although several types of parapet configurations (e.g., solid, perforated, etc.) were selected, the optimal ranges of parameters such as opening ratio, hole shape, and arrangement pattern were not thoroughly analyzed. In summary, the conclusions of this experiment are representative under specific conditions, and caution is needed when extending them to broader engineering practice. It is recommended that future research expand the parameters of terrain type, parapet height, roof inclination angle, and building layout, and combine numerical simulations with field measurements to establish more universal wind-resistant design methods for photovoltaic roofs.

4. Conclusions

Through a series of wind tunnel tests, this study systematically investigated the effects of different parapet configurations with an actual height of 1.2 m on the wind load characteristics of an overhead photovoltaic roof with an inclination angle of 5° under Terrain Category B. It should be noted that the conclusions obtained are only applicable to low-rise building photovoltaic roof systems with similar aerodynamic characteristics; for other roof forms with significantly different structural parameters, direct application of these conclusions should be undertaken with caution and requires further validation. The main conclusions are as follows:
(1)
The wind load on the overhead photovoltaic roof is dominated by wind suction, and the wind pressure distribution on the roof exhibits clear wind-direction dependence and regional characteristics, with the maximum negative pressure consistently occurring in the windward corner region. Under different wind directions, most parapet configurations increase the mean wind pressure at the windward leading edge of the roof. The solid parapet causes a significant increase, with a maximum increase of up to 38%, whereas perforated parapets produce only a small increase in the maximum mean wind pressure, which is nearly the same as that in the case without a parapet.
(2)
Different parapet configurations also affect the fluctuating wind pressure on the roof. In most cases, parapets reduce the maximum fluctuating wind pressure coefficient, with a maximum reduction of up to 17%, although under specific conditions they may increase it, with a maximum increase of 24%.
(3)
The distribution of the most unfavorable peak wind pressure on the overhead photovoltaic roof shows significant regional characteristics; therefore, the roof is divided into 13 typical regions. The roof corner region is the most unfavorable area, where the solid parapet significantly increases the maximum most unfavorable peak wind pressure coefficient, with increases of 8% in zone 3 at the high-eave corner and 20% in zone 4 at the low-eave corner. Horizontal and rectangular grid parapets reduce the peak wind pressure coefficient in zone 3 by 8% while having little influence on zone 4, whereas the vertical parapet increases the peak wind pressure coefficient in zone 4 by 7% while having little influence on zone 3.
(4)
The solid parapet significantly increases the unfavorable wind load on the overhead photovoltaic roof. Among the perforated parapets, the horizontal and rectangular grid parapets either increase the unfavorable wind load only minimally or reduce it considerably, thus being more conducive to ensuring the wind resistance safety of the photovoltaic roof.

Author Contributions

Methodology, Y.H.; Software, Y.H.; Data curation, Y.H.; Writing—original draft, Y.H.; Writing—review & editing, Y.L.; Supervision, Y.L.; Funding acquisition, Y.L. All authors have read and agreed to the published version of the manuscript.

Funding

This research was funded by National Natural Science Foundation of China grant number 52578581.

Institutional Review Board Statement

Not applicable.

Informed Consent Statement

Not applicable.

Data Availability Statement

The raw data supporting the conclusions of this article will be made available by the authors on request.

Conflicts of Interest

The authors declare no conflict of interest.

Abbreviations

The following abbreviations are used in this manuscript:
PVMultidisciplinary Digital Publishing Institute

References

  1. Gumley, S. A parametric study of extreme pressures for the static design of canopy structures. J. Wind Eng. Ind. Aerodyn. 1984, 16, 43–56. [Google Scholar] [CrossRef]
  2. Robertson, A.; Moran, P. Comparisons of full-scale and wind-tunnel measurements of wind loads on a free-standing canopy roof structure. J. Wind Eng. Ind. Aerodyn. 1986, 23, 113–125. [Google Scholar] [CrossRef]
  3. Ginger, J.; Letchford, C. Peak wind loads under delta wing vortices on canopy roofs. J. Wind Eng. Ind. Aerodyn. 1992, 43, 1739–1750. [Google Scholar] [CrossRef]
  4. Natalini, B.; Marighetti, J.; Natalini, M. Wind tunnel modelling of mean pressures on planar canopy roof. J. Wind Eng. Ind. Aerodyn. 2002, 90, 427–439. [Google Scholar] [CrossRef]
  5. Uematsu, Y.; Stathopoulos, T.; Iizumi, E. Wind loads on free-standing canopy roofs: Part 1 local wind pressures. J. Wind Eng. Ind. Aerodyn. 2008, 96, 1015–1028. [Google Scholar] [CrossRef]
  6. Poitevin, A.; Natalini, B.; Godoy, L.A. Pressures on open canopy structures with parapets under wind loading. Eng. Struct. 2013, 56, 850–867. [Google Scholar] [CrossRef]
  7. Pratap, A.; Rani, N. Study of the wind-induced effects on various roof angles of a mono-slope canopy roof using wind tunnel testing and computational fluid dynamics. Sādhanā 2023, 48, 167. [Google Scholar] [CrossRef]
  8. Pratap, A.; Rani, N. Review of international wind codes and recent research on mono-slope canopy roof. Wind Struct. 2022, 34, 371–383. [Google Scholar] [CrossRef]
  9. Wang, B.; Cot, L.; Adolphe, L.; Geoffroy, S. Estimation of wind energy of a building with canopy roof. Sustain. Cities Soc. 2017, 35, 402–416. [Google Scholar] [CrossRef]
  10. Jiang, Y.; Hui, Y.; Li, M.; Zhu, H.; He, B. Experimental study on wind load characteristics of rooftop canopies of low and medium rise buildings. J. Wind Eng. Ind. Aerodyn. 2024, 249, 15. [Google Scholar] [CrossRef]
  11. Chen, B.; Bian, R.; Chen, Z.; Wang, X.; Yang, Q. Peak wind pressures on roof claddings of regular railway stations. Eng. Struct. 2022, 259, 114178. [Google Scholar] [CrossRef]
  12. Alrawashdeh, H.; Stathopoulos, T. Wind loads on solar panels mounted on flat roofs: Effect of geometric scale. J. Wind Eng. Ind. Aerodyn. 2020, 206, 104339. [Google Scholar] [CrossRef]
  13. Coşoiu, C.I.; Damian, A.; Damian, R.M.; Degeratu, M. Numerical and experimental investigation of wind induced pressures on a photovoltaic solar panel. In Proceedings of the 4th IASME/WSEAS International Conference on Energy, Environment, Ecosystem and Sustainable Development, Algarve, Portugal, 11–13 June 2008; pp. 74–80. [Google Scholar] [CrossRef]
  14. Peng, H.; Dai, S.; Liu, H. Wind loading characteristics and roof zoning of solar arrays mounted on flat-roofed tall buildings. J. Build. Eng. 2023, 66, 105823. [Google Scholar] [CrossRef]
  15. Browne, M.T.; Gibbons, M.P.; Gamble, S.; Galsworthy, J. Wind loading on tilted roof-top solar arrays: The parapet effect. J. Wind Eng. Ind. Aerodyn. 2013, 123, 202–213. [Google Scholar] [CrossRef]
  16. Wang, J.; Yang, Q.; Tamura, Y. Effects of building parameters on wind loads on flat-roof-mounted solar arrays. J. Wind Eng. Ind. Aerodyn. 2018, 174, 210–224. [Google Scholar] [CrossRef]
  17. Zou, Q.; Li, Z.; Zou, F.; Zeng, X.; Wang, C.; Pan, Y. A study on the characteristics of roof wind field by wind tunnel test. J. Build. Eng. 2021, 43, 103155. [Google Scholar] [CrossRef]
  18. Pindado, S.; Meseguer, J. Wind tunnel study on the influence of different parapets on the roof pressure distribution of low-rise buildings. J. Wind Eng. Ind. Aerodyn. 2003, 91, 1133–1139. [Google Scholar] [CrossRef]
  19. Baskaran, A.; Stathopoulos, T. Roof corner wind loads and parapet configurations. J. Wind Eng. Ind. Aerodyn. 1988, 29, 79–88. [Google Scholar] [CrossRef]
  20. Huang, P.; Peng, X.; Gu, M. Wind tunnel study on effects of various parapets on wind load of a flat-roofed low-rise building. Adv. Struct. Eng. 2017, 20, 136943321770042. [Google Scholar] [CrossRef]
  21. Trung, V.; Tamura, Y.; Yoshida, A. Effects of Various Parapets on Wind Loading on Porous Sunshade Roof Cover Sheets for a Low-Rise Building. Adv. Struct. Eng. 2011, 14, 133–150. [Google Scholar] [CrossRef]
  22. Li, S.K.; Liu, Z.Y.; Zhang, X.; Fang, X.L.; Gao, W.J.; Sun, H.X. Wind tunnel tests for a solar parking shed with a mono-sloped roof. J. Vib. Shock 2019, 38, 240–245+263. [Google Scholar] [CrossRef]
  23. GB 50009-2012; Load Code for the Design of Building Structures. China National Standards: Beijing, China, 2012.
  24. Cook, N.; Mayne, J. A refined working approach to the assessment of wind loads for equivalent static design. J. Wind Eng. Ind. Aerodyn. 1980, 6, 125–137. [Google Scholar] [CrossRef]
  25. Stathopoulos, T.; Zisis, I.; Xypnitou, E. Local and overall wind pressure and force coefficients for solar panels. J. Wind Eng. Ind. Aerodyn. 2014, 125, 195–206. [Google Scholar] [CrossRef]
  26. JGJ/T 481-2019; Standard for Wind Loads on Roof Structures. China Architecture & Building Press: Beijing, China, 2019.
  27. Chen, B.; Cheng, X.; Zhang, L.N.; Yang, Q.S. Investigation on interference effects on peak wind loads on a group of buildings with flat roof under different arrangements. J. Build. Struct. 2018, 39, 1–10. [Google Scholar] [CrossRef]
  28. Cook, R.; Griffis, L.; Vickery, P.; Stafford, E. ASCE 7-10 Wind Loads; American Society of Civil Engineers: Reston, VA, USA, 2011. [Google Scholar]
Figure 1. Wind tunnel test models: (a) arrangement of pressure taps on the model; (b) elevation view of the photovoltaic panel (the letters A–I in the figure denote the row numbers of the measuring points, which help to identify that the windward side at a 0° wind direction angle is the low eave side of the roof).
Figure 1. Wind tunnel test models: (a) arrangement of pressure taps on the model; (b) elevation view of the photovoltaic panel (the letters A–I in the figure denote the row numbers of the measuring points, which help to identify that the windward side at a 0° wind direction angle is the low eave side of the roof).
Applsci 16 03715 g001
Figure 2. Wind tunnel testing, including their respective dimensions (in mm).
Figure 2. Wind tunnel testing, including their respective dimensions (in mm).
Applsci 16 03715 g002
Figure 3. Illustrations of the M1, M2, M3, and M4 parapets, including their respective dimensions (in mm).
Figure 3. Illustrations of the M1, M2, M3, and M4 parapets, including their respective dimensions (in mm).
Applsci 16 03715 g003
Figure 4. Characteristics of wind flow: (a) profiles of normalized mean wind speed and turbulence intensity; (b) power spectral density of turbulent wind speed in along-wind direction.
Figure 4. Characteristics of wind flow: (a) profiles of normalized mean wind speed and turbulence intensity; (b) power spectral density of turbulent wind speed in along-wind direction.
Applsci 16 03715 g004
Figure 5. Distribution of mean wind pressure coefficients of various parapets at 0° wind angle: (a) without a parapet Ref; (b) solid parapet M1; (c) horizontal parapet M2; (d) vertical parapet M3; (e) rectangular grid parapet M4 (the closer the color is to brown, the larger the magnitude of the negative wind pressure coefficient).
Figure 5. Distribution of mean wind pressure coefficients of various parapets at 0° wind angle: (a) without a parapet Ref; (b) solid parapet M1; (c) horizontal parapet M2; (d) vertical parapet M3; (e) rectangular grid parapet M4 (the closer the color is to brown, the larger the magnitude of the negative wind pressure coefficient).
Applsci 16 03715 g005
Figure 6. Distribution of fluctuating wind pressure coefficients of various parapets at 0° wind angle: (a) no parapet Ref; (b) solid parapet M1; (c) horizontal parapet M2; (d) vertical parapet M3; (e) rectangular grid parapet M4 (the deeper the blue, the larger the positive value).
Figure 6. Distribution of fluctuating wind pressure coefficients of various parapets at 0° wind angle: (a) no parapet Ref; (b) solid parapet M1; (c) horizontal parapet M2; (d) vertical parapet M3; (e) rectangular grid parapet M4 (the deeper the blue, the larger the positive value).
Applsci 16 03715 g006
Figure 7. Distribution of mean wind pressure coefficients of various parapets at 45° wind angle: (a) without a parapet Ref; (b) solid parapet M1; (c) horizontal parapet M2; (d) vertical parapet M3; (e) rectangular grid parapet M4 (the closer the color is to brown, the larger the magnitude of the negative wind pressure coefficient).
Figure 7. Distribution of mean wind pressure coefficients of various parapets at 45° wind angle: (a) without a parapet Ref; (b) solid parapet M1; (c) horizontal parapet M2; (d) vertical parapet M3; (e) rectangular grid parapet M4 (the closer the color is to brown, the larger the magnitude of the negative wind pressure coefficient).
Applsci 16 03715 g007
Figure 8. Distribution of fluctuating wind pressure coefficients of various parapets at 45° wind angle: (a) no parapet Ref; (b) solid parapet M1; (c) horizontal parapet M2; (d) vertical parapet M3; (e) rectangular grid parapet M4 (the deeper the blue, the larger the positive value).
Figure 8. Distribution of fluctuating wind pressure coefficients of various parapets at 45° wind angle: (a) no parapet Ref; (b) solid parapet M1; (c) horizontal parapet M2; (d) vertical parapet M3; (e) rectangular grid parapet M4 (the deeper the blue, the larger the positive value).
Applsci 16 03715 g008
Figure 9. Distribution of mean wind pressure coefficients of various parapets at 135° wind angle: (a) no parapet Ref; (b) solid parapet M1; (c) horizontal parapet M2; (d) vertical parapet M3; (e) rectangular grid parapet M4 (the closer the color is to brown, the larger the magnitude of the negative wind pressure coefficient).
Figure 9. Distribution of mean wind pressure coefficients of various parapets at 135° wind angle: (a) no parapet Ref; (b) solid parapet M1; (c) horizontal parapet M2; (d) vertical parapet M3; (e) rectangular grid parapet M4 (the closer the color is to brown, the larger the magnitude of the negative wind pressure coefficient).
Applsci 16 03715 g009
Figure 10. Distribution of fluctuating wind pressure coefficients of various parapets at 135° wind angle: (a) no parapet Ref; (b) solid parapet M1; (c) horizontal parapet M2; (d) vertical parapet M3; (e) rectangular grid parapet M4 (the deeper the blue, the larger the positive value).
Figure 10. Distribution of fluctuating wind pressure coefficients of various parapets at 135° wind angle: (a) no parapet Ref; (b) solid parapet M1; (c) horizontal parapet M2; (d) vertical parapet M3; (e) rectangular grid parapet M4 (the deeper the blue, the larger the positive value).
Applsci 16 03715 g010
Figure 11. Distribution of mean wind pressure coefficients of various parapets at 180° wind angle: (a) no parapet Ref; (b) solid parapet M1; (c) horizontal parapet M2; (d) vertical parapet M3; (e) rectangular grid parapet M4 (the closer the color is to brown, the larger the magnitude of the negative wind pressure coefficient).
Figure 11. Distribution of mean wind pressure coefficients of various parapets at 180° wind angle: (a) no parapet Ref; (b) solid parapet M1; (c) horizontal parapet M2; (d) vertical parapet M3; (e) rectangular grid parapet M4 (the closer the color is to brown, the larger the magnitude of the negative wind pressure coefficient).
Applsci 16 03715 g011
Figure 12. Distribution of fluctuating wind pressure coefficients of various parapets at 180° wind angle: (a) no parapet Ref; (b) solid parapet M1; (c) horizontal parapet M2; (d) vertical parapet M3; (e) rectangular grid parapet M4 (the deeper the blue, the larger the positive value).
Figure 12. Distribution of fluctuating wind pressure coefficients of various parapets at 180° wind angle: (a) no parapet Ref; (b) solid parapet M1; (c) horizontal parapet M2; (d) vertical parapet M3; (e) rectangular grid parapet M4 (the deeper the blue, the larger the positive value).
Applsci 16 03715 g012
Figure 13. Most unfavorable minimum pressure coefficient under all wind directions: (a) without a parapet Ref; (b) solid parapet M1; (c) horizontal parapet M2; (d) vertical parapet M3; (e) rectangular grid parapet M4 (the closer the color is to brown, the larger the magnitude of the negative wind pressure coefficient).
Figure 13. Most unfavorable minimum pressure coefficient under all wind directions: (a) without a parapet Ref; (b) solid parapet M1; (c) horizontal parapet M2; (d) vertical parapet M3; (e) rectangular grid parapet M4 (the closer the color is to brown, the larger the magnitude of the negative wind pressure coefficient).
Applsci 16 03715 g013
Figure 14. Division of photovoltaic roof zones: (a) roof zoning scheme 1; (b) roof zoning scheme 2 (B and D represent the length and width of the photovoltaic roof panel, respectively).
Figure 14. Division of photovoltaic roof zones: (a) roof zoning scheme 1; (b) roof zoning scheme 2 (B and D represent the length and width of the photovoltaic roof panel, respectively).
Applsci 16 03715 g014
Table 1. Peak wind pressure coefficients for different roof zones (scheme 1).
Table 1. Peak wind pressure coefficients for different roof zones (scheme 1).
Wind Load TypesExperiment ModelsRaRb
Peak wind pressure coefficientsJGJ/T481—2019 code values−5.00−4.00
Ref−4.75−2.65
M1−5.16−2.83
M2−4.54−2.69
M3−4.71−2.72
M4−4.40−2.64
Table 2. Peak wind pressure coefficients for different roof zones (scheme 2).
Table 2. Peak wind pressure coefficients for different roof zones (scheme 2).
Experiment ModelsPeak Wind Pressure Coefficients and Their Ratios to JGJ/T 481-2019 Code Values
3467810111213
Ref−7.14−4.89−4.74−3.90−3.51−3.60−3.00−2.46−2.03
1.430.980.950.780.700.900.750.620.51
M1−7.72−5.86−4.94−4.20−3.65−3.67−2.97−2.66−2.39
1.541.170.990.840.730.920.740.670.60
M2−6.60−4.93−4.37−3.92−3.36−3.55−2.92−2.53−2.14
1.320.990.870.780.670.890.730.630.54
M3−6.91−5.23−4.64−3.71−3.58−3.59−2.87−2.51−2.21
1.381.050.930.740.720.900.720.630.55
M4−6.61−4.88−4.00−3.73−3.26−2.79−2.82−2.52−2.13
1.320.980.800.750.650.700.710.630.53
Disclaimer/Publisher’s Note: The statements, opinions and data contained in all publications are solely those of the individual author(s) and contributor(s) and not of MDPI and/or the editor(s). MDPI and/or the editor(s) disclaim responsibility for any injury to people or property resulting from any ideas, methods, instructions or products referred to in the content.

Share and Cite

MDPI and ACS Style

Hu, Y.; Li, Y. Effect of Various Parapets Configurations on Wind Loads of Single Slope Overhead Photovoltaic Roof. Appl. Sci. 2026, 16, 3715. https://doi.org/10.3390/app16083715

AMA Style

Hu Y, Li Y. Effect of Various Parapets Configurations on Wind Loads of Single Slope Overhead Photovoltaic Roof. Applied Sciences. 2026; 16(8):3715. https://doi.org/10.3390/app16083715

Chicago/Turabian Style

Hu, Yajun, and Yonggui Li. 2026. "Effect of Various Parapets Configurations on Wind Loads of Single Slope Overhead Photovoltaic Roof" Applied Sciences 16, no. 8: 3715. https://doi.org/10.3390/app16083715

APA Style

Hu, Y., & Li, Y. (2026). Effect of Various Parapets Configurations on Wind Loads of Single Slope Overhead Photovoltaic Roof. Applied Sciences, 16(8), 3715. https://doi.org/10.3390/app16083715

Note that from the first issue of 2016, this journal uses article numbers instead of page numbers. See further details here.

Article Metrics

Back to TopTop