Simulation of Photothermal Effects in Biological Tissues and Exploration of Temperature Fitting Method
Abstract
1. Introduction
2. Materials and Methods
3. Results
3.1. Single-Layer Homogeneous Biological Tissue Model
3.2. Selection of Simulation Volume
3.3. Temperature Variations Induced by Pulsed and Continuous Irradiation
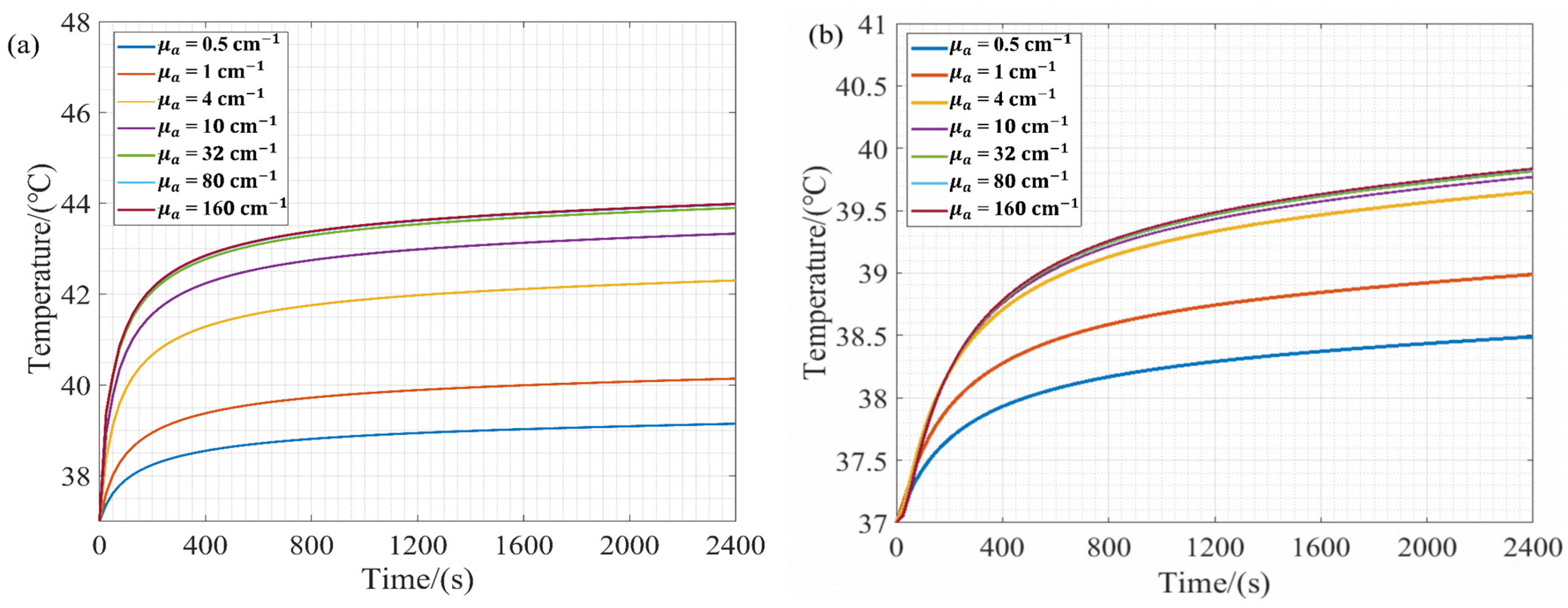
3.4. Effect of Scattering Coefficient on Photothermal Response
3.5. Temperature Variation Characteristics Under Different Laser Powers
3.6. Effect of Spot Radius on Tissue Temperature Distribution
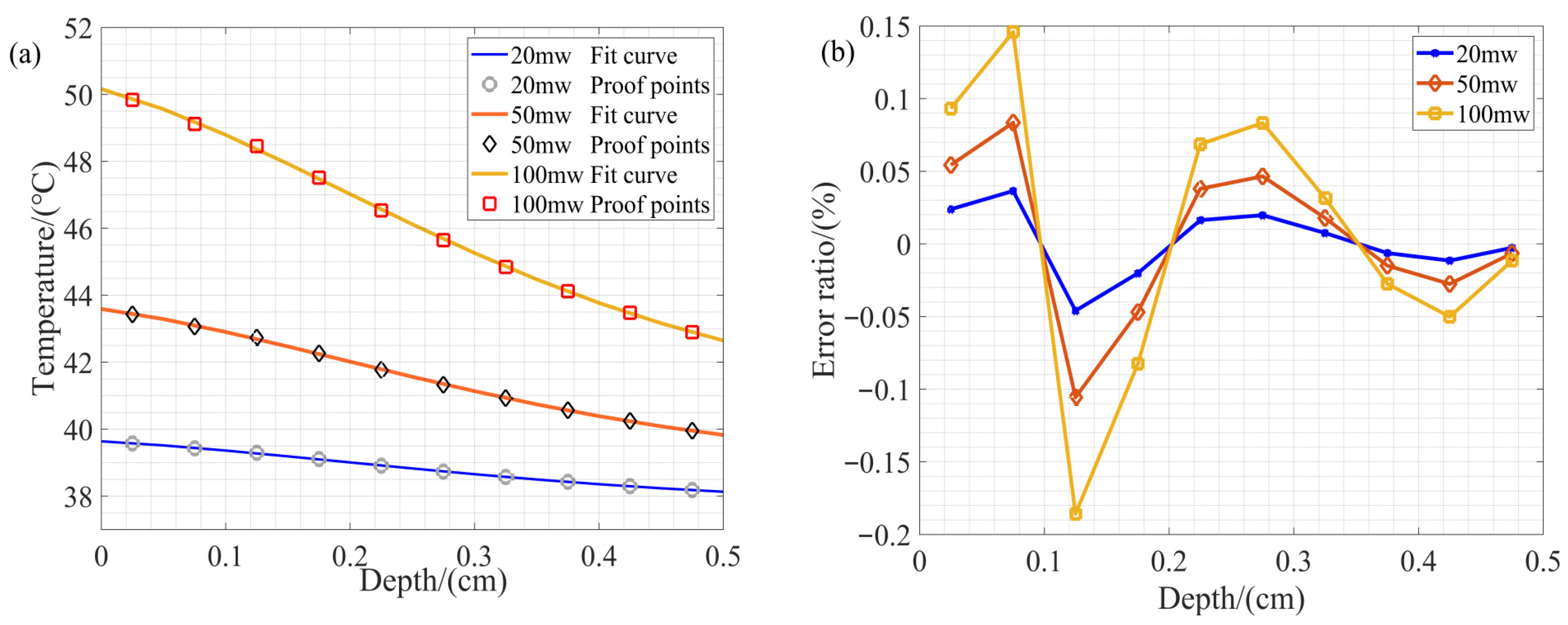
3.7. Simulation and Fitting of the Classical Three-Layer Skin Model
4. Discussion and Conclusions
Author Contributions
Funding
Institutional Review Board Statement
Informed Consent Statement
Data Availability Statement
Conflicts of Interest
References
- Olszowy, M.; Nowak-Perlak, M.; Woźniak, M. Current Strategies in Photodynamic Therapy (PDT) and Photodynamic Diagnostics (PDD) and the Future Potential of Nanotechnology in Cancer Treatment. Pharmaceutics 2023, 15, 1712. [Google Scholar] [CrossRef] [PubMed]
- Tsagkaris, C.; Papazoglou, A.S.; Eleftheriades, A.; Tsakopoulos, S.; Alexiou, A.; Găman, M.-A.; Moysidis, D.V. Infrared Radiation in the Management of Musculoskeletal Conditions and Chronic Pain: A Systematic Review. Eur. J. Investig. Health Psychol. Educ. 2022, 12, 334–343. [Google Scholar] [CrossRef] [PubMed]
- Casas-Alvarado, A.; Ogi, A.; Villanueva-García, D.; Martínez-Burnes, J.; Hernández-Avalos, I.; Olmos-Hernández, A.; Mora-Medina, P.; Domínguez-Oliva, A.; Mota-Rojas, D. Application of Infrared Thermography in the Rehabilitation of Patients in Veterinary Medicine. Animals 2024, 14, 696. [Google Scholar] [CrossRef] [PubMed]
- Aebisher, D.; Przygórzewska, A.; Bartusik-Aebisher, D. Natural Photosensitizers in Clinical Trials. Appl. Sci. 2024, 14, 8436. [Google Scholar] [CrossRef]
- Zafari, J.; Jouni, F.J.; Jamali, S.; Marzoghi, S.; Zadehmodarres, S.; Razzaghi, M. The effect of cisplatin-low-level laser therapy on cell viability and death of LNCaP prostate cancer cell line. Lasers Med. Sci. 2022, 37, 1283–1288. [Google Scholar] [CrossRef]
- Kaneko, K.; Osada, T.; Morse, M.A.; Gwin, W.R.; Ginzel, J.D.; Snyder, J.C.; Yang, X.-Y.; Liu, C.-X.; Diniz, M.A.; Bodoor, K.; et al. Heat shock protein 90-targeted photodynamic therapy enables treatment of subcutaneous and visceral tumors. Commun. Biol. 2020, 3, 226. [Google Scholar] [CrossRef]
- Gas, P. Essential facts on the history of hyperthermia and their connections with electromedicine. Prz. Elektrotech. 2011, 87, 37–40. [Google Scholar]
- Miaskowski, A.; Gas, P. Estimation of SLP/ILP parameters inside a female breast tumor during hyperthermia with mobilized and immobilized magnetic nanoparticles. Acta Bioeng. Biomech. 2025, 27, 159–169. [Google Scholar] [CrossRef]
- Gas, P.; Muhammad, S.; Khaliq, F. 3D Computational Modeling of Fe3O4@Au Nanoparticles in Hyperthermia Treatment of Skin Cancer. Nanotechnol. Sci. Appl. 2025, 18, 173–196. [Google Scholar] [CrossRef]
- Wang, L.; Jacques, S.L.; Zheng, L. MCML—Monte Carlo modeling of light transport in multi-layered tissues. Comput. Methods Programs Biomed. 1995, 47, 131–146. [Google Scholar] [CrossRef]
- Cai, F.; He, S. Using graphics processing units to accelerate perturbation Monte Carlo simulation in a turbid medium. J. Biomed. Opt. 2012, 17, 040502. [Google Scholar] [CrossRef] [PubMed]
- Cai, F.; Yu, J.; He, S. Vectorial electric field Monte Carlo simulations for focused laser beams (800 nm–2220 nm) in a biological sample. Prog. Electromagn. Res. 2013, 142, 667–681. [Google Scholar] [CrossRef]
- Jeynes, J.C.G.; Wordingham, F.; Moran, L.J.; Curnow, A.; Harries, T.J. Monte Carlo Simulations of Heat Deposition during Photothermal Skin Cancer Therapy Using Nanoparticles. Biomolecules 2019, 9, 343. [Google Scholar] [CrossRef] [PubMed]
- Kim, D.; Kim, H.; Kim, H.-S. Analysis of Peri-Implantitis Photothermal Therapy Effect According to Laser Irradiation Location and Angle: A Numerical Approach. Biomedicines 2024, 12, 1976. [Google Scholar] [CrossRef]
- Cheng, Y.; Shen, Y.; Gao, Y.; Wen, Y.; Lv, Z.; Wang, E.; Wang, M.; Zhang, S.; Bo, Y.; Peng, Q. Theoretical and Experimental Analysis of the Effect of Vaporization Heat on the Interaction between Laser and Biological Tissue. Appl. Sci. 2024, 14, 4333. [Google Scholar] [CrossRef]
- Xia, W.C. Heat transfer characteristics of biological tissues under laser irradiation. Sci. Educ. Guide Electron. Ed. 2017, 10, 132. [Google Scholar]
- Zhao, Y.Q.; Fan, S.F.; Chao, W.X. Optical parameters of biological tissues & their description. Foreign Med. Sci. Biomed. Eng. 2000, 23, 76–79. [Google Scholar]
- Marti, D.; Aasbjerg, R.N.; Andersen, P.E.; Hansen, A.K. MCmatlab: An open-source, user-friendly, MATLAB-integrated three-dimensional Monte Carlo light transport solver with heat diffusion and tissue damage. J. Biomed. Opt. 2018, 23, 121622. [Google Scholar] [CrossRef]
- Xu, R.C.; Zhang, L.N.; Lyu, H.L. Detection of skin thickness in different parts of the body in healthy adults by using 24 MHz high-frequency ultrasound. Chin. J. Lepr. Ski. Dis. 2022, 38, 141–145. [Google Scholar] [CrossRef]
- Zhou, L.; Yu, J.J.; Liu, C.H.; Li, Z.G.; Shan, Q.S. Simulation study on spectral characteristics of skin tissue volume pulse wave at 400–1000 nm. Spectrosc. Spectr. Anal. 2020, 40, 1071–1075. [Google Scholar]
- Yu, S.; Nishimura, T.; Hazama, H.; Ozawa, T.; Awazu, K. Measurement of absorption and reduced scattering coefficients in Asian human epidermis, dermis, and subcutaneous fat tissues in the 400- to 1100-nm wavelength range for optical penetration depth and energy deposition analysis. J. Biomed. Opt. 2020, 25, 045002. [Google Scholar] [CrossRef]
- Bashkatov, A.N.; Genina, E.A.; Kochubey, V.I.; Tuchin, V.V. Optical properties of human skin, subcutaneous and mucous tissues in the wavelength range from 400 to 2000 nm. J. Phys. D Appl. Phys. 2005, 38, 2543–2555. [Google Scholar] [CrossRef]
- Krackowizer, P.; Brenner, E. Thickness of the human skin: 24 points of measurement. Phlebologie 2008, 37, 83–92. [Google Scholar] [CrossRef]
- Deng, Z.-S.; Liu, J. Mathematical modeling of temperature mapping over skin surface and its implementation in thermal disease diagnostics. Comput. Biol. Med. 2004, 34, 495–521. [Google Scholar] [CrossRef] [PubMed]
- Azhdari, M.; Rezazadeh, G.; Lambers, L.; Ricken, T.; Tautenhahn, H.-M.; Tautenhahn, F.; Seyedpour, S.M. Refining thermal therapy: Temperature distribution modeling with distinct absorption in multi-layered skin tissue during infrared laser exposure. Int. Commun. Heat Mass Transf. 2024, 157, 107818. [Google Scholar] [CrossRef]
- Wang, D.; Rao, W. Numerical simulation on thermal response of laser-irradiated biological tissues embedded with liquid metal nanoparticles. J. Therm. Sci. 2022, 31, 1220–1235. [Google Scholar] [CrossRef]
- Cai, F.; Wang, T.; Wu, J.; Zhang, X. Handheld four-dimensional optical sensor. Optik 2020, 203, 164001. [Google Scholar] [CrossRef]
- Li, Y.; Fu, Y.; Lang, Z.; Cai, F. A High-Frequency and Real-Time Ground Remote Sensing System for Obtaining Water Quality Based on a Micro Hyper-Spectrometer. Sensors 2024, 24, 1833. [Google Scholar] [CrossRef]











| Biological Tissue | Thickness (mm) | (cm−1) | (cm−1) | Refractive Index (n) | g | Cv (J/cm3K) | k (W(cmK)) |
|---|---|---|---|---|---|---|---|
| Epidermis | 0.25 mm | 10 | 250 | 1.5 | 0.9 | 3.76 | 0.0037 |
| Dermis | 1.25 mm | 1 | 200 | 1.4 | 0.8 | 3.76 | 0.0037 |
| Subcutis | - | 1 | 130 | 1.44 | 0.9 | 3.80 | 0.002 |
| Power (P) | a | b | m | n | T0 |
|---|---|---|---|---|---|
| 20 mW | −12.7701 | 21.2255 | −9.4150 | −2.0154 | 39.6381 |
| 50 mW | −31.90302 | 53.1085 | −23.5643 | −5.0356 | 43.5932 |
| 100 mW | −65.1947 | 107.7879 | −47.8022 | −9.9252 | 50.1610 |
| Biological Tissue (Depth: cm) | m | n | c |
|---|---|---|---|
| Epidermis (0 cm) | 5.476 | 0.1962 | 34.97 |
| Dermis (0.1 cm) | 4.871 | 0.1888 | 35.42 |
| Subcutis (0.3 cm) | 3.3403 | 0.178 | 36.05 |
| Biological Tissue (Depth: cm) | a | b | m | n |
|---|---|---|---|---|
| Epidermis (0 cm) | 45.75 | 0.0003678 | −5.951 | −0.09492 |
| Dermis (0.1 cm) | 44.78 | 0.0003062 | −5.039 | −0.09605 |
| Subcutis (0.3 cm) | 42.37 | 0.000193 | −3.279 | −0.09717 |
Disclaimer/Publisher’s Note: The statements, opinions and data contained in all publications are solely those of the individual author(s) and contributor(s) and not of MDPI and/or the editor(s). MDPI and/or the editor(s) disclaim responsibility for any injury to people or property resulting from any ideas, methods, instructions or products referred to in the content. |
© 2026 by the authors. Licensee MDPI, Basel, Switzerland. This article is an open access article distributed under the terms and conditions of the Creative Commons Attribution (CC BY) license.
Share and Cite
Li, W.; Wan, C.; Xu, P.; Xie, X.; Cai, F.; Zhou, F. Simulation of Photothermal Effects in Biological Tissues and Exploration of Temperature Fitting Method. Appl. Sci. 2026, 16, 3689. https://doi.org/10.3390/app16083689
Li W, Wan C, Xu P, Xie X, Cai F, Zhou F. Simulation of Photothermal Effects in Biological Tissues and Exploration of Temperature Fitting Method. Applied Sciences. 2026; 16(8):3689. https://doi.org/10.3390/app16083689
Chicago/Turabian StyleLi, Wenxuan, Chirui Wan, Peng Xu, Xiaofeng Xie, Fuhong Cai, and Feifan Zhou. 2026. "Simulation of Photothermal Effects in Biological Tissues and Exploration of Temperature Fitting Method" Applied Sciences 16, no. 8: 3689. https://doi.org/10.3390/app16083689
APA StyleLi, W., Wan, C., Xu, P., Xie, X., Cai, F., & Zhou, F. (2026). Simulation of Photothermal Effects in Biological Tissues and Exploration of Temperature Fitting Method. Applied Sciences, 16(8), 3689. https://doi.org/10.3390/app16083689
