Previous Article in Journal
Association Between Tibial Torsion, ACL Injury, and Functional Biomechanics in Elite Alpine Skiers
Previous Article in Special Issue
Effect of Drying Methods on the Physical and Surface Properties of Blueberry and Strawberry Fruit Powders: A Review
 
 
Due to scheduled maintenance work on our servers, there may be short service disruptions on this website between 11:00 and 12:00 CEST on March 28th.
Font Type:
Arial Georgia Verdana
Font Size:
Aa Aa Aa
Line Spacing:
Column Width:
Background:
Article

Thermal Analysis of Selected Rennet Cheeses and Fats Extracted from These Cheeses

by
Ewa Ostrowska-Ligęza
1,*,
Magdalena Wirkowska-Wojdyła
1,
Rita Brzezińska
1,
Iga Piasecka-Lenartowicz
1,
Ewa Gondek
2,* and
Agata Górska
1
1
Department of Chemistry, Institute of Food Sciences, Warsaw University of Life Sciences, Nowoursynowska Street 159c, 02-776 Warsaw, Poland
2
Department of Food Engineering, Institute of Food Sciences, Warsaw University of Life Sciences-SGGW, Nowoursynowska Street 159c, 02-776 Warsaw, Poland
*
Authors to whom correspondence should be addressed.
Appl. Sci. 2026, 16(7), 3221; https://doi.org/10.3390/app16073221 (registering DOI)
Submission received: 13 February 2026 / Revised: 11 March 2026 / Accepted: 24 March 2026 / Published: 26 March 2026

Abstract

This study presents and describes the results of thermal analysis of four different rennet cheeses: Gouda, Mozzarella, mild Camembert, and processed cheese, as well as the fat extracted from them. The purpose of the study was to analyze the thermal properties of the cheeses and their fat fractions. Accordingly, the determination of the thermal characteristics of the cheeses, melting characteristic of the fats, and melting and crystallization temperatures of the extracted fats were performed using differential scanning calorimetry. In addition, thermogravimetric analysis was carried out using the Discovery TGA apparat. In the final stage of the study, the fatty acid profile of the fat fraction extracted from the cheeses was determined using gas chromatography. The results indicated that rennet cheeses differ in thermal properties. Based on the comprehensive evaluation of the cheeses’ thermal characteristics, it was determined that these properties allowed clear differentiation between the cheeses as well as among their respective fat fractions.

1. Introduction

Milk is an essential food product in the daily diet because it influences the growth and proper development of every human being. This is due to its components and nutritional properties. These components include lipids, proteins, carbohydrates, vitamins, and minerals [1]. Cheese can be made from both fresh and pasteurized milk. The chemical composition of the milk used for production, which is the ratio of casein to fat, has a direct impact on the composition and quality of the resulting product [2]. Milk used in the production process has to be of high microbiological quality. Additionally, it is expected to have a low number of psychotropic bacteria that produce proteases and lipases resistant to even high temperatures [3].
Milk fat is a mixture of triacylglycerols, cholesterol, phospholipids, and other components. The fatty acid composition of triacylglycerols significantly influences the functional and nutritional properties of milk fat. This is also affected by the stereochemical position of the fatty acids incorporated into triacylglycerols. Saturated fatty acids, such as palmitic acid, present in milk fat most often occupy the sn-2 position, which may facilitate better absorption of fatty acids and calcium. Unsaturated fatty acids, such as oleic and linoleic acids, occupy the sn-1,3 positions [4,5]. Furthermore, the stereochemical arrangement and composition of triacylglycerols in milk fat have a great importance to the food industry, as these characteristics influence its physical properties, including crystallization behavior and solid phase content [1].
Rennet cheeses are defined as fresh or mature products with a solid or semi-solid consistency and a whey protein-to-casein ratio no higher than that found in milk [6]. Rennet is a blend of enzymes obtained from the lining of the abomasum (the fourth stomach chamber) of young mammals. Rennet also plays a crucial role in influencing cheese texture by cleaving peptides and forming a three-dimensional protein matrix known as curd [7,8,9].
Rennet cheeses are obtained as a result of [10]
(a)
the process of total or partial coagulation of milk, skimmed milk, partially skimmed milk, cream, whey cream, or buttermilk, through the use of rennet or other coagulating substances, as well as the removal of some of the whey produced in the process;
(b)
technological processes that initiate the coagulation of milk or dairy products, resulting in a final product with physical, chemical, and organoleptic properties characteristic of the product. The cheese ripening process is associated with the presence of microorganisms such as lactic acid bacteria, proteolytic bacteria, yeasts, molds, and anaerobic bacilli are also involved [6].
After pasteurization, calcium chloride, saltpeter, and sometimes cheese dye are added to milk with the appropriate fat content, along with a starter of pure bacterial cultures. When the temperature reaches 29–32 °C, rennet is added, and curd forms in about 30 min. The curd is then cut, stirred vigorously for 5 min, water is added, and the cheese mass is heated to 36–38 °C.
After heating, the mass is dried, mixing is completed, and the grains settle at the bottom of the tank. Cheese blocks are then formed using special strippers, leveled, covered with cloths, and pre-pressed. The blocks are cut into cubes that fit the molds, reversed, and pressed.
The cheeses are removed from the molds, weighed, labeled, and salted in brine. After salting, they rest on shelves for 1–2 days before being moved to the ripening room. To prevent drying during ripening, protective coatings such as polyvinyl acetate or paraffin are applied. Gouda cheese reaches full maturity after 10–12 weeks [11].
Milk for Camembert cheese production is pasteurized, then cooled to 15–20 °C, and transferred to transition tanks to standardize the fat content. Then, 1.5–3.5% mesophilic lactic acid bacteria are added, and Penicillium camemberti mold cultures may also be introduced. The milk is heated to 31–33 °C, after which rennet or an enzyme preparation is added. Curd forms within 60–90 min.
The curd is then cut, gently mixed, and left to rest for 15 min before the cheese mass is placed into molds. The molds are inverted several times to ensure proper shaping. The next day, the cheese is brined for about 40 min, transferred to resting tanks, and the surface is inoculated with Penicillium camemberti. Ripening, an important stage of Camembert production, occurs in two phases [10].
Processed cheeses are oil-in-water emulsions, consisting of cheese/cheeses, emulsifying salts, water, and other optional ingredients [12,13]. They are made by milling cheeses at different stages of maturation, incorporating emulsifying salts along with dairy and non-dairy components, and heating the blend with constant stirring until a uniform product with a longer shelf life is achieved. Ingredients are mixed and heated for a minimum 30 s at a minimum temperature of 65.5 °C to produce a homogeneous mixture, which is then packed and cooled [14]. Processed cheeses contain an average of 25% fat, 9% protein, and approximately 3% carbohydrates [15].
Milk is first standardized to achieve a casein-to-fat ratio of about 1:2, after which thermophilic starter cultures are added. Rennet is then introduced to form curd, which is cut and mixed with whey and heated to 40 °C. When sufficient mixing and acidification occur, the whey is drained. The curd, at a pH of about 5.3, undergoes mechanical processing in a device that simultaneously cooks and stretches the cheese mass. This pH enables calcium removal from the protein matrix, facilitating protein mixing during heating and mechanical shearing. At the end of production, the hot cheese mass is pressed into molds or extruded as a ribbon, then cooled, dried, and vacuum-packed [16].
Thermal techniques such as differential scanning calorimetry (DSC) and thermogravimetry analysis (TGA) have been used to study cheeses and the fats extracted from them. Although DSC is convenient, there is a paucity of research on the thermal properties of fat in complex dairy products, particularly cheese. Cheese can be considered a heterogeneous material, consisting primarily of a complex mixture of triacylglycerol molecules, proteins, and water [17]. Thermogravimetric analysis (TGA), while commonly applied to assess food characteristics such as thermal stability, oxidation time, activation energy, and purity, was conducted under dynamic heating conditions, in which weight loss is continuously monitored as the temperature rises at a constant rate [18,19,20,21,22,23,24,25].
Milk fat, the main fat component of rennet cheeses, undergoes significant changes during cheese production. Processes occurring during cheese manufacturing, such as pasteurization, homogenization, and coagulation, cause numerous and diverse modifications to milk fat. Its thermal properties (melting and crystallization temperatures) as well as its physical properties (changes in state and structure) are altered. Homogenization, ripening, and cooling processes influence the polymorphic phase transformations of the fat [17].
The aim of the study was to examine the thermal characteristics of rennet cheeses and the fats isolated from them using thermal food analysis techniques, including differential scanning calorimetry and thermogravimetry. In addition, the fatty acid composition of the extracted fats was analyzed to clarify possible differences in thermal properties of cheeses, such as melting temperature points.

2. Materials and Methods

2.1. Materials

The research material consisted of four different cheeses: Gouda ripened cheese, Camembert blue cheese, Mozzarella cheese in brine, and processed cheese, which were obtained from local markets in Warsaw (Poland), after which fat was extracted from them. Information on the composition of the cheeses was provided based on the manufacturer’s declaration (Table 1).

2.2. Extraction of a Lipid Fraction from Cheeses

The grated cheese samples were homogenized with a chloroform–methanol mixture (2:1, v/v). The resulting homogenates were subsequently washed with a 0.9% sodium chloride solution. After brief vortex mixing, the samples were centrifuged at a relative centrifugal force of 24,270× g to allow phase separation. Centrifugation was carried out for 15 min at 4 °C. Following centrifugation, the lower chloroform–organic layer containing lipids was collected, dried and evaporated under reduced pressure using a rotary evaporator (Buchi, Switzerland) [26,27].
Lipid extraction from the cheese samples was conducted in triplicate.

2.3. Thermal Analysis of Cheeses

The analysis was performed using a DSC Q200 Thermal Analysis differential scanning calorimeter (TA Instrument, New Castle, DE, USA). Prior to testing, the samples were stored refrigerated. Cheeses were weighed into aluminum pans (TA Instrument, New Castle, DE, USA) in quantities of 10–15 mg and then hermetically sealed. These prepared samples were placed in the measuring cell of the device along with a reference container, an identical empty aluminum container. The analysis was performed in a nitrogen atmosphere with a gas flow of 50 mL/min. Initially, the samples were cooled to −60 °C at a rate of 5 °C/min and then heated to 250 °C at the same rate. The analysis yielded DSC curves showing the relationship between temperature (°C) and heat flow (W/g). The measurements were performed in triplicate (TA Instruments Universal analysis software version 2.8) [28].

2.4. Analysis of the Melting and Crystallization Temperatures of a Lipid Fraction Extracted from Cheeses

Melting and crystallization temperatures were determined using the cyclic crystallization method. A DSC Q200 Thermal Analysis differential scanning calorimeter was used to perform the measurements. Prior to testing, the sample was stored refrigerated. A total of 3–4 mg of fat extracted from the cheeses were weighed into aluminum pans, which were hermetically sealed and placed in identical conditions along with a reference sample. In the first stage of the analysis, the samples were heated from an initial temperature of 15 °C to 60 °C at a heating rate of 5 °C/min. They were then cooled at the previously mentioned rate to −30 °C. In the final stage, the samples were heated again from −30 °C to 60 °C at a rate of 5 °C/min. The final result of the analysis was the obtained cyclic fat crystallization curves illustrating the relationship between temperature (°C) and heat flow (W/g). Using the obtained curves, the crystallization temperatures of fats from the tested cheeses and their melting points were determined. The analysis was performed in triplicate [29,30].

2.5. DSC Measurements of Melting Characteristics of a Lipid Fraction Extracted from Cheeses

DSC analyses were performed following the procedures described by Wirkowska et al. [30] and Tapia-Ledesma [31] using a DSC Q200 instrument (TA Instruments, New Castle, DE, USA). Samples were placed in hermetically sealed aluminum pans and analyzed under a nitrogen atmosphere with a flow rate of 50 mL/min. The mass of each sample ranged from 3 to 4 mg. To eliminate thermal history, the samples were first conditioned and then their melting behavior was evaluated over a temperature range of −80 to 80 °C. Heating was carried out at a constant rate of 10 °C/min. All measurements were conducted in triplicate.

2.6. Determination of Solid–Liquid Phases in Lipid Fraction Extracted from Cheeses

Determination of solid–liquid phases in fat extracted from cheeses was performed according to Wang et al. [32]. Triplicate experiments were done for each sample.

2.7. Thermogravimetry Analysis for Cheeses and a Lipid Fraction Extracted from Cheeses

The thermogravimetric analysis (TGA) was carried out in accordance with the methods described by Materazzi et al. [33] and Dolatowska-Żebrowska et al. [34] using a Discovery TGA analyser (TA Instruments, New Castle, DE, USA). Platinum crucibles (Platinum crucibles—TA Instruments, New Castle, DE, USA) were employed for all measurements. Nitrogen was used as the purge gas at a flow rate of 25 mL/min. Sample masses ranged from 7 to 8 mg. Thermal decomposition of the samples was evaluated over a temperature range of 50–700 °C. Both the cheeses’ samples and fats isolated from the cheeses were heated at a constant rate of 10 °C/min. All analyses were conducted in triplicate (TA Instruments Universal analysis software version 2.8).

2.8. Fatty Acid Profile—GC Analysis

The fatty acid profile was determined by gas chromatography (GC) in accordance with the ISO standard [35] and methodologies described by Wirkowska et al. [30] and Bryś et al. [36]. Fatty acid methyl esters (FAMEs) were prepared following the ISO procedure [37] and subsequently analyzed by GC. Analyses were performed using a YL6100 (Gas chromatography (GC)- YL6100 GC, South Korea) gas chromatograph equipped with a flame ionization detector (FID) and a BPX-70 capillary column (SGE Analytical Science, Milton Keynes, UK). The oven temperature program was set as follows: an initial temperature of 60 °C maintained for 5 min, followed by an increase to 180 °C at a rate of 10 °C·min−1; subsequently, the temperature was raised from 180 to 230 °C at 3 °C·min−1 and held at 230 °C for 15 min. Nitrogen was used as the carrier gas at a flow rate of 1 mL min−1. Fatty acid contents were expressed as the relative percentage of each identified fatty acid.
All analyses were carried out in triplicate.

2.9. Chemicals

The chemicals used in the extraction of the lipid fraction from the cheeses were the following:
Chloroform—Merck Life Science Ltd., Poznań, Poland; analytical standards.
Methanol—Merck Life Science Ltd., Poznań, Poland; analytical standards.
NaCl—Merck Life Science Ltd., Poznań, Poland; analytical standards.

2.10. Statistical Analysis

The entire statistical analysis was performed according to Dolatowska-Żebrowska et al. [34]. The principal component analysis (PCA) plots, and heatmap were obtained using the STATISTICA 13.3 (TIBCO, Palo Alto, CA, USA) and Excel 2010 (Microsoft) computer programs. Results were considered statistically significant when p < 0.05.

3. Results

3.1. Thermal Characteristics of Rennet Cheeses

The thermal characteristics based on DSC curve of the Camembert cheese under study (Figure 1a) reveal two distinctive and unambiguous peaks. The first peak appears at a maximum temperature of −2.13 °C ± 0.04 °C and corresponds to the melting of fat, specifically the low-melting triacylglycerols. This is indicated by the negative transition temperature. The curve then reveals small irregularities, suggesting that small amounts of protein present in the cheese were degraded at this point. The peak at approximately 131 °C ± 2.83 °C presents the melting of carbohydrates, i.e., lactose in its crystalline form. The second peak, with the sharpest course with a maximum temperature of 140.70 °C ± 3.63 °C, indicates the transformation of lactose combined with residual milk fat [38].
Baranowska et al. [39] studied the melting properties of milk fat in smoked and unsmoked Mozzarella cheeses. Analyses were conducted in the temperature range from −40 °C to 70 °C at a rate of 5 °C per min, using nitrogen gas. The heating curves for both smoked and unsmoked cheeses revealed two endothermic peaks. The curve for the smoked cheese showed that it melted at temperatures of 7.55 °C and 15.89 °C, respectively. The curve for the unsmoked cheese showed endothermic peaks at temperatures of 7.81 °C and 15.98 °C. The temperatures of the occurring changes and the presence of endothermic peaks may indicate that some of the milk fat was present in the form of crystals. The changes in thermodynamic parameters may be associated with changes in mechanical properties.
Analysis of the thermal properties of Gouda cheese allowed us to obtain a DSC curve (Figure 1b) with two endothermic peaks. The first peak, reaching its maximum value at −3.98 °C ± 0.53 °C, indicated the melting process of fat, primarily unsaturated fatty acids contained in triacylglycerols [38]. Subsequently, the curve showed very small peaks, suggesting that small amounts of protein contained in the sample were transformed at this point. The largest peak reached its maximum at 165.81 °C ± 4.89 °C and is responsible for the melting process of lactose [39].
Brożek et al. [38] performed an analysis of the thermal properties of milk fat and whey fat obtained from milk butter and whey butter. The measurements were carried out using a temperature program ranging from −40 °C to 95 °C. As a result of the analysis, melting curves of the samples were obtained at a heating rate of 10 °C per minute. In the DSC curves recorded for both cycles, endothermic peaks were observed in the temperature range from −10 °C to 40 °C. In the case of milk fat, two endothermic peaks were recorded in cycle I, with maximum temperatures of 15.25 °C and 31.64 °C. In contrast, in cycle II, three endothermic peaks were observed at maximum temperatures of 9.41 °C, 17.17 °C, and 32.04 °C, respectively. Similarly, for whey fat, two endothermic peaks were noted in cycle I at temperatures of 15.05 °C and 30.33 °C, whereas in cycle II three endothermic peaks were observed at 7.90 °C, 16.22 °C, and 30.49 °C, respectively. It was observed that the melting temperature of polyunsaturated fatty acids present in the fat (−3.98 °C), obtained in the present study, is close to the value reported by Brożek et al. [38]. In contrast, the melting temperature of lactose (165.81 °C) is much higher than the values reported by Brożek et al. [38], as they did not analyze butter components but only the fat extracted from the product.
For Mozzarella cheese, two endothermic peaks can be observed (Figure 1c). At the beginning of the curve, a peak with a maximum temperature of 0.81 °C ± 0.39 was observed, which corresponds to the melting of fat, specifically saturated fatty acids [40]. The second peak, reaching a maximum at 121.23 °C ± 24.84, illustrates the transformation of a lactose–fat mixture, as indicated by the peak shape [41]. In the course of the DSC curve of processed cheese (Figure 1d) two endothermic peaks are visible. At a temperature of −1.46 °C ± 0.69, the melting of unsaturated fatty acids in triacylglycerols occurred. The second peak, with a maximum temperature of 163.44 °C ± 4.45, corresponds to the transformation of lactose; the cheese structure was homogeneous [42].
Ren et al. [41] analyzed the thermal properties of milk fat globules obtained from fresh, raw cow’s milk. The analysis was carried out under a nitrogen atmosphere using a temperature range from −10 °C to 60 °C at a heating rate of 2 °C/min. The result of the experiment was a DSC melting curve, on which the presence of three consecutive endothermic peaks was identified. The peaks were observed in the temperature ranges of −3 °C to 12 °C, 12 °C to 20 °C, and 20 °C to 39 °C. The first of these peaks suggests the transformation of the low-melting fat fraction, the second corresponds to fat fractions with intermediate melting temperatures, whereas the final peak represents fractions with high melting temperatures. Since Ren et al. [41] analyzed fat globules obtained from fresh raw milk, they did not observe such high temperatures associated with lactose transformation. However, the melting temperatures of fats reported in their study were close to the melting temperature of unsaturated fatty acids observed for processed cheese (−1.46 °C).

3.2. Analysis of the Melting and Crystallization Temperatures of a Lipid Fraction Extracted from Cheeses

Figure 2 presented DSC curves of the cyclic melting and crystallization of fats extracted from the rennet cheeses analyzed.
The DSC curve obtained for Camembert cheese as a result of cyclic melting and crystallization analysis (Figure 2a) exhibited six characteristic peaks. Four peaks indicated that the analyzed fat underwent endothermic transformations. The temperatures of 17.97 °C ± 0.12 and 32.91 °C ± 0.49 represented the initial temperatures of the fat-melting process. The first temperature corresponded to the transformation of triacylglycerols “medium-melting” containing monounsaturated fatty acids, whereas the second corresponded to the melting of triacylglycerols “high-melting” composed of saturated fatty acids. Subsequently, two exothermic peaks associated with the crystallization process occurring in the analyzed fat were visible on the curve. Peaks characteristic of this type of transformation can be observed at temperatures of 16.58 °C ± 1.57 and 8.97 °C ± 0.05. These peaks corresponded to the crystallization of “high-melting” triacylglycerols and “medium-melting” triacylglycerols, respectively. It can be observed that after cooling the sample to −30 °C and reheating, the melting temperature of milk fat decreased to 14.17 °C ± 0.58 and 29.58 °C ± 1.10. Despite this decrease, these temperatures still correspond to transformations of the same fat fractions; therefore, freezing such cheeses is not recommended [40], as it reduces the nutritional and organoleptic values of the analyzed cheeses. Six characteristic peaks can be observed on the DSC curve of cyclic melting and crystallization of fat (Figure 2b). Four of them were endothermic peaks corresponded to fat melting. Temperatures of 16.71 °C ± 0.77 and 35.01 °C ± 0.30 are the melting points of fat. The first temperature indicated the transformation of “medium-melting” triacylglycerols, while the second was assigned to the high-melting fraction, which included saturated fatty acids [43]. Then, two peaks appeared on the DSC diagram, indicated an exothermic transformation. These peaks were characteristic of fat crystallization and reached their maximum values at temperatures of 16.62 °C ± 2.22 and 8.69 °C ± 0.61, respectively. In the last stage of the transformation, the fat melted again, but at lower temperatures, namely 15.15 °C ± 0.30 and 27.32 °C ± 1.47.
Brożek et al. [37] conducted studies on cow’s milk, sheep’s milk, and their mixtures. To determine the melting and crystallization temperatures of milk fat, the cyclic crystallization method was applied. The temperature range programmed for the analysis was similar to that used in the present study. The result of the analysis consisted of melting and crystallization curves of milk fat from cow’s milk, sheep’s milk, and their mixtures. Comparing the results obtained by Brożek et al. [37] with those presented in this article, the analysis can be focused on the data for cow’s milk. On the obtained curves, three peaks corresponding to endothermic transformations were observed. The first peak reached its maximum at a temperature of approximately 10.49 °C and can be classified as indicating the melting process of the low-melting fat fraction. The next endothermic peak, at a temperature of approximately 16.65 °C, reflected the transformation of the medium-melting fraction. The last endothermic peak reached a maximum at a temperature of approximately 33.78 °C, which may suggest the melting of the high-melting fat fraction, i.e., triacylglycerols composed of saturated fatty acids. In addition, two exothermic peaks characteristic of the fat crystallization process were recorded on the curve. The first peak reached a maximum at a temperature of approximately 4.84 °C, whereas for the second peak the maximum value was not determined. It was indicated only that it was not completely separated from the first peak and that its temperature range extended from 14.5 °C to 10.5 °C. Based on the above, it was concluded that the melting temperature values of milk fat extracted from Gouda cheese, amounting to 16.71 °C, 35.01 °C, 15.15 °C, and 27.32 °C, were very close to those obtained by Brożek et al. [37]. Similar observations were made for the fat crystallization temperatures, which were 16.62 °C and 8.69 °C.
The DSC curve (Figure 2c) obtained from the cyclic analysis of melting and crystallization of fat extracted from Mozzarella cheese exhibited six characteristic peaks. At temperatures of 18.15 °C ± 0.95 and 37.32 °C ± 0.95, peaks responsible for the fat-melting process were observed. The first temperature corresponded to the melting of the medium-melting fatty acid fraction, whereas the second represented triacylglycerols containing the highest proportion of saturated fatty acids. In the subsequent part of the curve, two exothermic peaks corresponding to the fat crystallization process were observed at temperatures of 18.30 °C ± 2.23 and 8.91 °C ± 0.92. Subsequently, the fat underwent a second melting process; however, due to the prior crystallization, the melting temperatures were lower. Specifically, melting process occurred at 14.81 °C ± 1.55 and 24.14 °C ± 3.94. Despite the lower temperature values, these transformations still corresponded to the same fat fractions [43].
Lopez et al. [44] investigated the thermal behavior of anhydrous milk fat. The samples were analyzed as follows: initially heated to 60 °C, then cooled from 60 °C to −15 °C at a rate of 0.1 °C/min, and finally reheated from −15 °C to 60 °C at a rate of 2 °C/min. As a result of the analysis, melting and crystallization curves of anhydrous milk fat were obtained. Three exothermic peaks indicating the crystallization process appeared on the curve. The first peak occurred at a temperature of approximately 24.1 °C, the second at approximately 13 °C, and the last reached its maximum at around 3 °C. After crystallization and once the fat reached a temperature of −15 °C, the analyzed fat underwent a melting process, as indicated by three endothermic peaks. At a temperature of approximately 15 °C, an endothermic peak was observed, indicating the melting of the low-melting fraction. Subsequently, at around 23 °C, the transformation of the medium-melting fat fraction was identified. The final endothermic peak observed on the DSC curve at approximately 40.5 °C corresponded to the melting of the high-melting fat fraction. The melting and crystallization temperatures obtained from the cyclic crystallization and melting of fat in the present study showed similar values to those reported by Lopez et al. [44].
The differences in the melting points of the high-melting fat fractions extracted from Gouda cheese (35.01 °C) and Mozzarella cheese (37.32 °C) are primarily due to differences in fatty acid composition. A higher amount of C16:0 palmitic fatty acid was found in the fat extracted from Mozzarella cheese. Saturated fatty acids are characterized by higher melting points. The fat extracted from Gouda cheese was characterized by a higher amount of unsaturated fatty acids (particularly C18:1 n-9c oleic fatty acid). The high content of unsaturated fatty acids lowers the melting point. The quality of the fat in cheese is also influenced by the production process and the type of milk.
Cyclic analysis of melting and crystallization of fat extracted from processed cheese resulted in a DSC curve (Figure 2d) on which six peaks are visible. Endothermic transitions were observed for four peaks. The initial fat-melting peak reached a maximum value at 17.09 °C ± 0.16, indicating the presence of medium-melting triacylglycerols. The second endothermic peak, with a maximum temperature of 40.00 °C ± 0.04, was responsible for the melting of the high-melting fat fraction, which included saturated fatty acids. The fat then underwent exothermic changes, confirming the presence of two crystallization peaks on the DSC curve. The fat crystallization temperatures were 19.63 °C ± 0.19 and 1.60 °C ± 0.25. Ultimately, the fat remelted at lower temperatures than before crystallization. This melting stage began at temperatures of 2.68 °C ± 0.13, indicating the transition of medium-melting triacylglycerols, and 28.56 °C ± 0.16, indicating the melting of high-melting triacylglycerols [17].
Małkowska et al. [43] studied the thermal properties of milk fat using the cyclic crystallization method. Initially, the sample was heated from −40 °C to 40 °C, and then cooled from 40 °C to −40 °C at a rate of 5 °C per min. The result of the milk fat analysis was a DSC curve with three characteristic peaks observed. The first peak indicated an endothermic transition, i.e., fat melting, and reached a maximum value at a temperature of approximately 14.37 °C. Then, during sample cooling, two exothermic peaks were visible on the DSC diagram. The first crystallization temperature of the fat was approximately 12.78 °C, while the second crystallization temperature reached approximately 6.41 °C. The remaining melting peaks were not observed on the DSC curve because at such a low analysis rate, the peaks overlapped. The melting points obtained in the DSC graph were 17.09 °C, 40.0 °C, 2.68 °C, and 28.56 °C, respectively, and the crystallization temperatures were 19.63 °C and 1.60 °C (Figure 2d), while Małkowska et al. [43] obtained one melting point and two crystallization temperatures. The results obtained in this paper are comparable to the temperature values obtained by Małkowska et al. [43].

3.3. Melting Characteristics of a Lipid Fraction Extracted from Cheeses

Figure 3 presents the DSC melting profiles of four types of cheeses.
Fat extracted from Camembert cheese (Figure 3) underwent endothermic changes. The melting profile showed three characteristic peaks. The first peak indicated the presence of short- and medium-chain fatty acids in the fat extracted from Camembert cheese and reached its maximum at 5.04 °C ± 1.07. These fatty acids were a part of the low-melting fraction, which occurs in the α polymorphic form. The next peak, appearing on the melting curve at 13.33 °C ± 1.05, was the sharpest. This may be related to the melting of the β’ polymorphic form of the medium-melting fraction of fat. The last change visible in the melting profile curve was characteristic of the saturated fatty acids presented in the extracted fat. The peak corresponding to the melting process of this group reached its maximum at 31.27 °C ± 0.39. Therefore, it can be assumed that saturated fatty acids belong to the high-melting fat fraction, which, similarly to the medium-melting fraction, occurs in the β’ polymorphic form [45].
Lopez and Briard-Bion [46] studied the melting characteristics of milk fat extracted from Emmental cheese. They used a temperature program with a heating rate of 2 °C per min, heating the sample from 4 °C to 60 °C. The analysis resulted in a melting curve for the analyzed fat, which showed three endothermic peaks. The first peak indicated the melting of the low-melting fat fraction and reached a maximum value at approximately 12.5 °C. The middle peak corresponded to the melting process of the medium-melting fat fraction at a maximum temperature of approximately 25 °C. The last peak visible on the curve characterized the high-melting fraction and reached a maximum value at approximately 35.5 °C. Furthermore, the study indicated that complete melting of milk fat extracted from Emmental rennet cheese occurred at a temperature of 40.76 °C.
Three characteristic endothermic peaks can be observed on the DSC melting curve for fat extracted from Gouda cheese (Figure 3). The first peak was observed in the temperature range from approximately 6 °C to 10 °C and reached a maximum value at 8.06 °C ± 0.35.
This peak is typical for the low-melting fraction triacylglycerols. Next, a peak with a maximum temperature of 15.40 °C ± 1.72 was observed on the melting profile. In this case, the melting process of medium-melting triacylglycerols can be indicated. At the end of the melting curve, at 31.91 °C ± 1.72, a peak indicating the melting of high-melting triacylglycerols of milk fat was observed.
Herman-Lara et al. [47] analyzed the thermal properties of fat extracted from fresh cheeses with added vegetable fat. Analyses were conducted in a temperature range from −60 °C to 240 °C. The analysis yielded a DSC fat-melting curve with two characteristic endothermic peaks. The first peak reached a maximum at approximately 17.20 °C and was responsible for the melting of monounsaturated fatty acids. The second peak, with a maximum temperature of 44.7 °C, indicated the melting of saturated fatty acids.
Three endothermic peaks were observed in the DSC melting curve for fat extracted from Mozzarella cheese (Figure 3). The first melting peak of this fat at a temperature of 6.49 °C ± 1.49 indicated the transformation of the fat into the α polymorphic form. The next visible peak at 14.01 °C ± 0.12 with the sharpest course corresponded to the medium-melting fraction occurring in the β’ polymorphic form. On the other hand, at 25.69 °C ± 8.00 the transition of saturated fatty acids of the β’ polymorphic form, i.e., the high-melting fraction of fats was observed [48].
Similar results were obtained by Smiddy et al. [49] for fat obtained from cow’s milk. They heated the sample in a temperature range from −80 °C to 60 °C at a rate of 5 °C per minute. This resulted in a DSC melting curve with three characteristic, endothermic peaks. The first peak observed on the curve occurred at a maximum temperature of approximately 5 °C and characterized the low-melting fat fraction. The next peak at approximately 13 °C corresponded to the medium-melting fat fraction, and the last peak, with a maximum temperature of approximately 32 °C, indicated the presence of the high-melting milk fat fraction. Furthermore, in cow’s milk studies, a typical melting profile of milk fat was observed in the range of temperature from −40 °C to 40 °C.
Three characteristic endothermic peaks can be observed on the melting curve of fat extracted from processed cheese (Figure 3). The sharpest peak was observed at temperature 1.39 °C ± 0.53, suggesting that low-melting fraction triacylglycerols of the α polymorphic form underwent the fastest transition. At temperature 5.73 °C ± 1.15, a peak characteristic for the medium-melting fraction was visible, while at 23.11 °C ± 1.35, high-melting triacylglycerols melted. Milk fat and its stearic and oleic fractions were studied by Lopez and Ollivon [50]. A temperature protocol from −50 °C to 70 °C at a rate of 2 °C per minute was used to determine melting characteristics. The experimental result was a DSC melting curve with three characteristic, endothermic peaks. At a temperature of approximately 2 °C, the low-melting fraction of milk fat was observed. A peak with a maximum temperature of approximately 18 °C was then observed, indicating the transition of the medium-melting fraction of triacylglycerols. The last of the observed peaks reached a maximum at approximately 38 °C and characterized the transformation of the high-melting fraction of triacylglycerols [50].

3.4. Contents of Solid–Liquid Phases in Cheeses

Physical properties of dairy products are significantly influenced by the presence of milk fat. There is a strong relation between the functional properties of milk fat and its composition [17].
The NMR method is commonly used to determine the solid–liquid phase in fats or products with a high fat content. Solid fat content values derived from DSC curves were higher than values obtained by NMR spectroscopy [17].
Curves presenting the evaluation of the liquid–solid fat content in fats extracted from cheeses: Camembert, Gouda, Mozzarella, and processed cheese using DSC method are presented on Figure 4, Figure 5, Figure 6 and Figure 7. The liquid–solid fat content within fats extracted from cheeses was calculated as a function of temperature by constructing an integral curve from the DSC melting curve. In the DSC method, the liquid–solid phase can be determined at selected temperatures (range from −80 to 80 °C). The liquid–solid phases at different temperatures were marked in Figure 4, Figure 5, Figure 6 and Figure 7. At the temperature of −20 °C, fat extracted from processed cheese was characterized by the highest content of the liquid phase. The largest amount of unsaturated fatty acids was observed in the composition of processed cheese (Figure 7). This phenomenon could have influenced the content of the liquid phase at this temperature. In fat extracted from Camembert cheese, the amount of liquid phase at temperature −20 °C was similar to that determined in fat extracted from processed cheese. At the melting temperature for the first peak (Figure 3), the liquid phase content of fat extracted from Gouda and Mozzarella cheeses was very similar, amounting to 45.42% and 43.49%, respectively. The lowest melting temperature was observed for fat extracted from processed cheese (1.38 °C), while the liquid phase content reached the highest level at 65.96%. The melting profile of fat extracted from processed cheese was characterized by the lowest transition temperatures, while the liquid phase content was observed at the highest levels across all temperatures except for the temperature of the final transition (Figure 4, Figure 5, Figure 6 and Figure 7). The DSC melting curves for fats extracted from Camembert, Gouda and Mozzarella cheeses were characterized by endothermic peaks at temperatures above 13 °C, the content of the liquid phase in the fats ranged from 52.64 to 66.59%. Endothermic melting peaks were observed at temperatures above 23 °C for all fats samples. The liquid phase content for all fats samples was above 69%, despite the occurrence of different maximum temperatures of peaks (Figure 4, Figure 5, Figure 6 and Figure 7).
Wang et al. [32] produced whipped cream from three types of anhydrous milk fat (AMF) and milk protein concentrate. Subsequently, they determined the solid fat content during the crystallization process in the anhydrous milk fats (AMF-A, AMF-B, and AMF-C). The solid fat content curves (SFC) of all samples (whipped cream) exhibited a similar tendency, namely, the SFC of each sample decreased with increase in crystallization temperature. The SFC of all AMFs were approximately 45–55% and 25–35%, respectively at 7 °C and 15 °C. AMF-A retained solid fat at temperatures close to 40 °C, which may account for its waxy texture in the mouth [51]. In contrast, AMF-C became fully liquid at 30 °C, indicating that it would likely melt entirely at body temperature. Overall, the AMFs examined in this study exhibited distinct solid fat content (SFC) profiles, probably reflecting differences in their chemical composition. For instance, AMF-A contained higher amounts of long- and short-chain saturated fatty acids as well as tri-saturated triacylglycerols than the other two AMFs, leading to a higher melting temperature. Consequently, AMF-A crystallized rapidly and showed the highest SFC across the entire temperature range.
The values of solid fat content determined using NMR found in the literature are lower than the solid fat content determined in the current study using DSC [17]. Furthermore, the discrepancies between the solid fat contents measured by DSC and NMR are not consistent, but instead vary depending on temperature [52].

3.5. Thermogravimetry Analysis for Cheeses and a Lipid Fraction Extracted from Cheeses

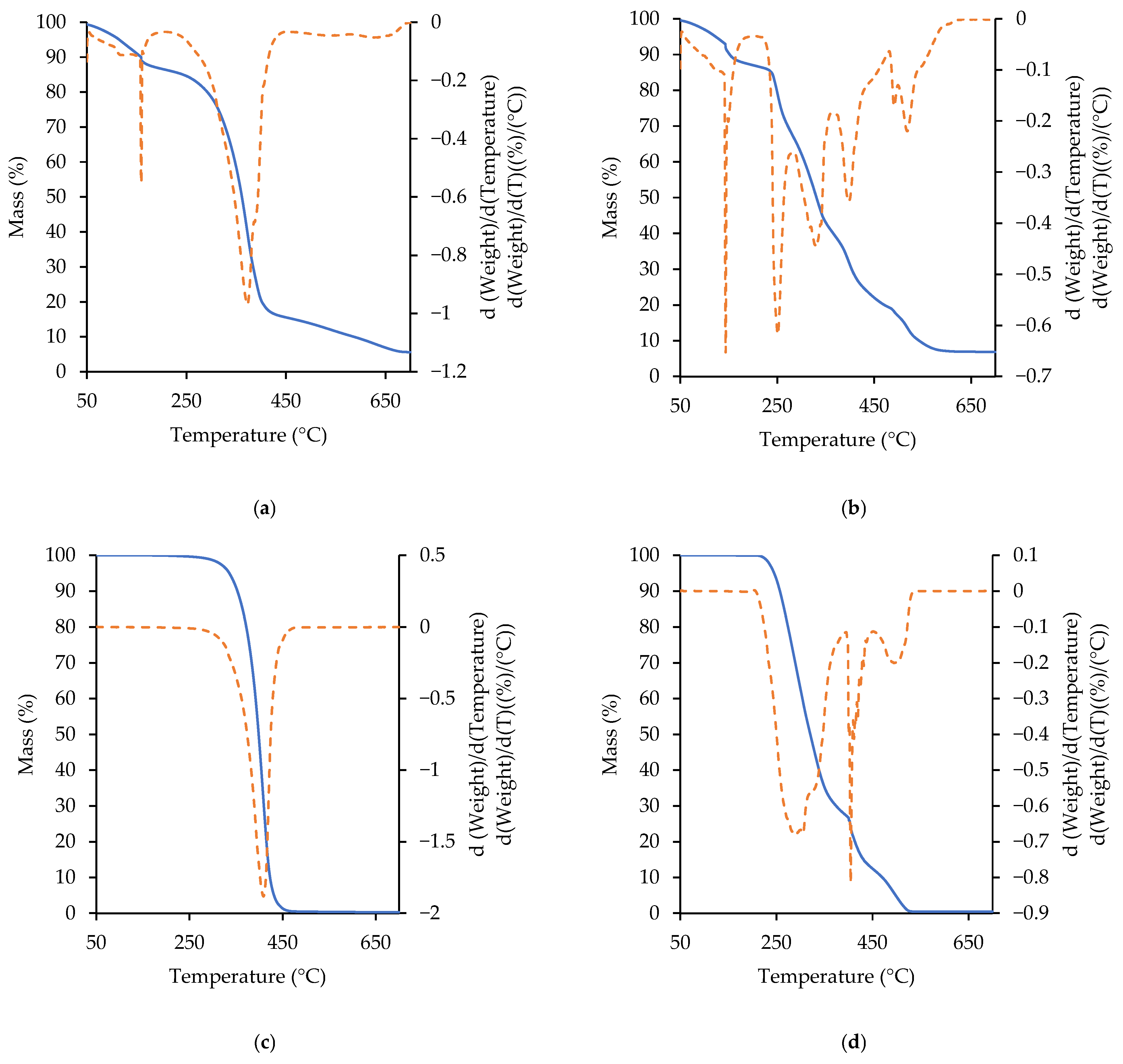
Figure 8, Figure 9, Figure 10 and Figure 11 present thermogravimetric curves of rennet cheeses and fats extracted from cheeses in an oxygen and nitrogen atmosphere.
The thermogravimetric curve of Camembert cheese in a nitrogen atmosphere (Figure 8a) showed two stages of mass loss during thermal decomposition. The first, at 131.77 °C ± 0.83 °C, indicated lactose degradation. This transition was associated with a mass loss of approximately 4.36%. The second stage reached a temperature maximum at 331.44 °C ± 2.86 and was responsible for the fat degradation process. Mass loss was approximately 60.63%. At the end of the presented curve, a decomposition process, most likely of minerals, was visible, responsible for a mass loss of approximately 3.48% of the sample [53].
In the analysis of Camembert cheese in an oxygen atmosphere (Figure 8b), three stages of mass loss were observed. The first stage at a maximum temperature of 116.44 °C ± 14.17, corresponding to water evaporation, was observed with a mass loss of approximately 3.68%. The second peak was characterized by an irregular course. A slight change was observed at 259.49 °C ± 1.46. This phenomenon is due to the presence of lactose in the analyzed cheese sample. The lactose may have partially mixed with the fat in the cheese. Then, at the maximum peak temperature of 317.84 °C ± 1.99, the polyunsaturated fatty acids in the Camembert cheese were oxidized, indicating approximately 65.34% mass loss. The last characteristic stage of decomposition at 574.49 °C ± 7.15 represented the decomposition of saturated fatty acids and is responsible for a mass loss of 25.74% [25].
The curve resulted from thermogravimetric analysis of fat extracted from Camembert cheese (Figure 8c) showed two characteristic peaks. This indicated that the fat underwent two stages of mass loss during thermal decomposition. The peak with a maximum temperature of 223.59 °C ± 0.75 could indicate the degradation of unsaturated fatty acids. This transformation was associated with a mass loss of approximately 19.17%. The second peak, with a maximum temperature of 392.09 °C ± 2.16, represented the degradation of triacylglycerols with saturated fatty acids followed by mass loss of 79.52%.
The curve of thermogravimetric analysis of fat in an oxygen atmosphere (Figure 8d) was characterized by three oxidation stages. The first, with a maximum temperature of 281.29 °C ± 0.23, indicated the degradation of polyunsaturated fatty acids present in milk fat and caused a mass loss of approximately 73.42%. The next transformation involved monounsaturated fatty acids and occurred at a temperature of 403.61 °C ± 0.25. The third peak characterized the decomposition of saturated fatty acids and was visible on the TG curve at a temperature of 492.67 °C ± 0.63. Both transformations were responsible for the mass loss of the analyzed sample of 13.66% and 11.81%, respectively.
Ostrowska-Ligęza et al. [54] studied the thermal properties of milk and dark chocolates and the fat extracted from them. Measurements were performed in the temperature range from 50 to 700 °C with heating rates of 2, 5, 10, and 15 °C/min, in oxygen and nitrogen atmospheres. For the results for milk fat in oxygen, five stages of thermal decomposition were observed on the curve. The peaks reached maximum values at temperatures of 95, 296, 340, 414, and 511 °C, respectively. According to the authors, the temperature associated with the first decomposition stage could indicate the oxidation of unsaturated fatty acids. The remaining phases, constituting the subsequent stages, represented the transitions of trans fatty acids and saturated fatty acids.
The thermogravimetric analysis curve of Gouda cheese in a nitrogen atmosphere (Figure 9a) showed two stages of mass loss, illustrated by two peaks. At a maximum temperature of 101.45 °C ± 15.54, a peak indicating the presence of water in the sample occurred. A mass loss of approximately 30.60% was observed. Further along the curve, a peak with a maximum temperature of 344.20 °C ± 13.53 was observed, with a mass loss of approximately 53.96%. Decomposition of polyunsaturated fats together with the sugars present in the sample was observed. At the end of the curve, a minor peak was observed, corresponding to the degradation of the mineral components of the analyzed cheese sample, with a mass loss of approximately 3.27%.
The TG curve of Gouda cheese recorded under an oxygen atmosphere (Figure 9b) was characterized by three stages of decomposition. The first peak, with a maximum temperature of 148.56 °C ± 69.09, corresponded to the presence of water in the analyzed cheese and resulted in a mass loss of approximately 21.04%. Subsequently, a sharp peak was observed on the curve, followed by a second, significantly smaller peak. The more pronounced peak reached its maximum at 316.72 °C ± 5.80 and, together with the adjacent smaller peak, represented the decomposition of polyunsaturated fatty acids along with sugars present in the sample. This stage accounted for a total mass loss of approximately 52.38%. The final observable decomposition stage occurred at a temperature of about 566.42 °C ± 4.42. This stage indicated the transitions of saturated fatty acids, with a mass loss of approximately 21.07% [55].
Gouveia de Souza et al. [55] conducted studies on edible sunflower oils containing antioxidants and those without antioxidants in order to determine their degradation behavior. The experiments were carried out over a temperature range from 25 °C to 800 °C, using heating rates of 2, 5, 10, and 20 °C/min. The TG curves revealed three stages of thermal decomposition. The first decomposition stage occurred in the temperature range of 230–380 °C and was associated with the oxidation of polyunsaturated fatty acids. The temperature range observed for the second stage was 380–480 °C, indicating the oxidation of monounsaturated fatty acids. The final peak observed on the curve, in the temperature range of 480–550 °C, corresponded to the decomposition of saturated fatty acids.
The TG curve of fat extracted from Gouda cheese and analyzed under a nitrogen atmosphere (Figure 9c) was characterized by a single stage of mass decomposition. In the case of the fat sample, one transition was observed in the temperature range of approximately 290–425 °C. This peak reached a maximum at 391.60 °C ± 1.22. Within this temperature range, the decomposition of the entire fat content can be assumed, corresponding to a mass loss of approximately 99.76%.
Salado et al. [56] performed an analysis of two batches of goat cheese using DSC and TG instruments. Two peaks were observed on the TG curve; the first was associated with water evaporation, with a maximum temperature of approximately 104 °C. The second peak was observed at around 350 °C and corresponded to the decomposition of fats in the sample.
The TG curve of fat extracted from Gouda cheese analyzed under an oxygen atmosphere (Figure 9d) exhibited three characteristic stages of sample decomposition. The peak with a maximum temperature of 277.45 °C ± 0.08 represented the oxidation of polyunsaturated fatty acids and accounted for 71.15% of the sample mass loss. In the subsequent part of the curve, a peak reaching a maximum temperature of 401.53 °C ± 19.93 was observed and was attributed to the oxidation of monounsaturated fatty acids, resulting in a mass loss of approximately 16.91%. Finally, at a temperature of 498.95 °C, the saturated fatty acids present in the fat underwent decomposition, with a mass loss of 10.73%.
Castro et al. [25] investigated the thermal properties of olive oil, avocado oil, and extra virgin olive/avocado oil blend. The samples were analyzed from room temperature up to 700 °C at a heating rate of 5 °C/min under an air atmosphere. Thermal decomposition processes in both olive oil and avocado oil occurred within the temperature range of 200–600 °C. For these oils, four or five stages of mass loss were observed. In olive oil, polyunsaturated fatty acids decomposed first at a temperature of 281 °C, followed by the oxidation of monounsaturated fatty acids at approximately 324 °C. Saturated fatty acids underwent transformation last, at around 386 °C. These stages resulted in mass losses of 22.4%, 31.7%, and 21.6%, respectively. In avocado oil, degradation of the same lipid fractions was observed; however, these processes occurred at higher maximum temperatures of 308, 366, and 410 °C, leading to mass losses of 38.2%, 34.3%, and 9.9%, respectively. Based on these results, it was observed that the decomposition temperatures associated with fatty acids present in fat extracted from Gouda cheese were slightly lower than those observed for olive oil. In contrast, for avocado oil, the corresponding decomposition temperatures for the same fatty acid fractions were higher.
In Figure 10a, a thermogravimetric curve for Mozzarella cheese is shown. Two distinct stages of decomposition were observed. The first stage reached a maximum at a temperature of 132.24 °C ± 13.18 and indicated the evaporation of water from the product, which was associated with a mass loss of approximately 11.16%. At a temperature of 327 °C ± 3.78, fat degradation occurred, resulting in a mass loss of 69.52%. At the end of the curve, a small, gentle peak is visible, indicating the decomposition of the mineral components of the sample at temperatures of around 475 °C. The mass loss associated with this decomposition was approximately 4.28%.
In an oxygen atmosphere, four transition stages were revealed on the TG curve for Mozzarella cheese (Figure 10b). The first stage, with a maximum temperature of 131.59 °C ± 9.10, indicated the evaporation of water from the analyzed product and resulted in a mass loss of approximately 7.16%. In the subsequent part of the curve, oxidation of polyunsaturated fatty acids was observed at a maximum temperature of 319.04 °C ± 1.54. Additionally, at a temperature of around 375 °C, the decomposition of monounsaturated fatty acids occurred. Both of these stages accounted for a mass loss of approximately 62.5%. The final transformation on the TG curve was observed at a temperature of 580.81 °C ± 0.59 and corresponded to the decomposition of saturated fatty acids, associated with a mass loss of 25.32%.
Tolentino-Marinho et al. [57] performed a thermogravimetric analysis of fat extracted from cheeses covered and not covered with rosemary leaves in order to determine the antioxidant activity of rosemary. The samples analyzed were heated from 30 to 600 °C at heating rates of 10, 15, 20, 25, and 30 °C/min. The course of curves was characterized by three stages of mass loss. The first mass-loss stage was attributed to the residual solvent remaining after the extraction process. The second peak occurred at a temperature of approximately 319 °C and resulted from the decomposition of mono- and polyunsaturated fatty acids. The last visible peak corresponded to the degradation of saturated fatty acids, which occurred at around 511 °C. It can be observed that the temperatures associated with the oxidation processes of individual fatty acids in the study by Tolentino-Marinho et al. [57] were similar to the results obtained and presented in this article.
The thermogravimetric curve of fat extracted from Mozzarella cheese in a nitrogen atmosphere (Figure 10c) showed only a single stage of sample decomposition. The peak illustrating this transition was characterized by a smooth profile. This transition was observed in the temperature range from 300 to 425 °C and reached a maximum at 389.87 °C ± 0.36. This stage represented fat decomposition and was responsible for a mass loss of approximately 98.78%.
In an oxygen atmosphere, the thermogravimetric curve for fat extracted from Mozzarella cheese (Figure 10d) exhibited a different behavior. Thermal transitions on the curve were identified based on the presence of three peaks. At a temperature of 273.68 °C ± 9.26, polyunsaturated fatty acids underwent oxidation, resulting in a mass loss of 67.24%. Subsequently, at 410.91 °C ± 7.71, the monounsaturated fatty acids present in the sample were oxidized, leading to a mass loss of 22.13%. The final characteristic thermal transformation was observed at 493.78 °C ± 9.30 and was responsible for the decomposition of saturated fatty acids, associated with a mass loss of approximately 10.17%.
Bassetto-Bisinella et al. [58] investigated the thermal properties of lactulose and lactobionic acid. The samples were heated from 30 °C to 660 °C at a heating rate of 10 °C/min in an air atmosphere. In the case of lactobionic acid, the curves showed that decomposition occurred through four stages of mass loss. The first two stages took place in the temperature ranges of 30–119 °C and 119–177 °C, reaching maximum values at 88.96 °C and 156.36 °C, respectively. These transitions were associated with mass losses of 4.03% and 3.04%. The third and fourth stages occurred in the temperature ranges of 177–388 °C and 388–540 °C, reaching maximum at temperatures of 250.97 °C and 488.77 °C. These changes resulted in mass losses of 70.98% and 21.93%, respectively. In contrast, the curves for lactulose exhibited only two main stages of mass loss. The first occurred in the temperature range of 190–208 °C, while the second peak was observed in the range of 360–570 °C.
The TG curve of processed cheese (Figure 11a) indicated that the thermal decomposition of this product proceeded through three stages of mass loss. The first peak reached its maximum at a temperature of 158.86 °C ± 5.25, indicated the presence and evaporation of water in the product. This process resulted in a mass loss of 11.59%. At a temperature of 372.77 °C ± 7.60, fat decomposition was observed, accounting for a mass loss of 72.48%. At the end of the curve, a stage with a maximum temperature of 649.13 °C ± 0.19 was observed, corresponding to the decomposition of mineral components with a mass loss of 9.57% [33].
On the TG curve of processed cheese in an oxygen atmosphere (Figure 11b), the presence of five characteristic peaks was identified. The first peak was observed at a temperature of 143.43 °C ± 11.17 and indicated the presence of water in the analyzed cheese; this decomposition process accounted for a mass loss of 12.32%. Subsequently, three peaks were visible on the TG curve, corresponding to a combined mass loss of 65.11%. The first of these stages, with a maximum temperature of 250.41 °C ± 6.87, was associated with lactose decomposition. This was followed by the oxidation of polyunsaturated fatty acids with the presence of sugars at a temperature of 329.55 °C ± 0.42. At the end of this range, at a temperature of 397.12 °C ± 2.81, the decomposition of monounsaturated fatty acids occurred. The final peak was responsible for the decomposition of saturated fatty acids and reached a maximum temperature of 517.43 °C ± 13.16. This oxidative degradation process accounted for a mass loss of 15.02%.
During the study of fat extracted from processed cheese and analyzed under a nitrogen atmosphere (Figure 11c), a single mass loss stage was observed. This stage reached its maximum at temperature 408.07 °C ± 0.88. At this temperature, fat decomposition occurred, accounting for 99.42% of the mass loss.
The TG curve for fat extracted from processed cheese under an oxygen atmosphere (Figure 11d) was characterized by a different course than under a nitrogen atmosphere. Three oxidation stages occurred on the TG curve. The first, at a maximum temperature of 305.65 °C ± 10.96, was responsible for the oxidation of polyunsaturated fatty acids, resulting in a 70.58% mass loss. A subsequent transition was observed, reaching its maximum temperature at 404.48 °C ± 0.06. Monounsaturated fatty acids were oxidized, with a consequence of a mass loss of approximately 16.95%. The last stage of mass loss was caused by degradation of saturated fatty acids at a temperature of 497.14 °C ± 11.24. This transition resulted in a mass loss of approximately 11.75%.
Gomes da Costa et al. [59] investigated the thermal stability of microparticles containing aroma compounds of Swiss cheese. The samples were analyzed under a nitrogen atmosphere and heated from 25 to 500 °C at a heating rate of 10 °C/min. Thermogravimetric analysis revealed that sample decomposition occurred in three stages. The first stage was observed in the temperature range from 31.29 to 91.75 °C and was characterized by the loss of water and volatile compounds. This process resulted in a mass loss ranging from 9.86% to 55.16% for all analyzed samples. The second stage occurred in the temperature range from 253.84 to 338.43 °C and was associated with fat oxidation. This transformation caused a mass loss of approximately 9.86% to 55.16%. The final stage of mass loss was caused by oxidative degradation in the temperature range from 381.61 to 445.85 °C, corresponding to the decomposition of mineral components.

3.6. Fatty Acids Profile of Studied Lipid Fraction Extracted from Cheeses

The quality of fat is primarily influenced by the profile of fatty acids present in a given lipids. The profile of individual fatty acids in lipids extracted from cheeses is shown in Figure 12, Figure 13, Figure 14 and Figure 15.
In the fat extracted from Camembert cheese, four fatty acids were present in large amounts, as shown on Figure 12. Palmitic acid (C16:0) occurred in the highest proportion in the analyzed sample (35.75% ± 0.13). The amount of oleic acid (C18:1 n-9c) and myristic acid (C14:0) were 19.08% ± 2.66 and 12.89% ± 1.63, respectively. Among the four fatty acids with the highest content in the analyzed fat, stearic acid (C18:0) was the last one characterized by a substantial amount, accounting for 10.42% ± 1.68. The content of the remaining fatty acids detected during the analysis ranged from 0.07% to 3.81%. Paszczyk [60] analyzed milk fat obtained from butter. The contents of the above-mentioned fatty acids reported were similar to those obtained in the present study. Milk fat was characterized by a palmitic acid content of 32.63% ± 1.84 and an oleic acid content of 19.48% ± 0.81. The contents of stearic and myristic acids in butter in the study by Paszczyk [60] corresponded to the amounts of these acids determined in this work.
In the lipid fraction extracted from Gouda cheese, four of the fatty acids presented appeared in significant amounts (Figure 13). Palmitic acid (C16:0) had the highest percentage content in the fat from Gouda cheese (31.76% ± 1.30). Oleic acid (C18:1 n-9c) was equally present, its average content in the analyzed fat was 23.62% ± 0.71. Stearic acid (C18:0) had an average percentage content of 11.34% ± 0.28, and myristic acid (C14:0)—10.64% ± 0.22. The contents of the remaining fatty acids determined in the analysis showed an average amount ranging from 0.05% to 4.68% [61].
In the fat extracted from Mozzarella cheese, the highest percentage content was found for palmitic acid (C16:0) (Figure 14), which accounted for 34.97% ± 0.27. The analyzed fat also contained oleic acid (C18:1 n-9c) at a level of 19.77% ± 2.40. Myristic acid (C14:0) constituted 12.70% ± 1.77 of the total fatty acid content. The content of stearic acid (C18:0) was 9.71% ± 1.92.
Rutkowska et al. [62] analyzed various rennet cheeses originating from several regions of Poland. Their analyses showed that the examined rennet cheeses were characterized by a palmitic acid content ranging from 28.3% to 33.9%, while oleic acid accounted for approximately 21.8–24% of the total fatty acids. In contrast, the content of myristic acid ranged from 10.4% to 11.3%.
The analyzed fat from processed cheese was characterized by the high content of four fatty acids (Figure 14). Among this group, palmitic acid (C16:0) was dominant, with an average content of 45.80% ± 8.92. The content of oleic acid (C18:1 n-9c) was approximately 36.64% ± 7.98. The presence of linoleic acid (C18:2 n-6c) was found at a level of 8.63% ± 1.68, while stearic acid (C18:0) was present at 4.56% ± 1.44 [63]. The occurrence of palmitic and α-linolenic acids was associated with the presence of vegetable fats in the product composition, including palm oil, coconut oil, and partially hydrogenated palm and rapeseed oils.
Based on the statistical analysis, it was found that for the fatty acids C6:0 (caproic acid), C8:0 (caprylic acid), C12:0 (lauric acid), C14:1 (tetradecenoic acid) and C20:0 (arachidic acid), there were no significant differences among fats extracted from the cheeses (p > 0.05). In contrast, significant differences in fatty acid content were observed for the following fatty acids: C10:0 (capric acid), C13:0 (tridecanoic acid), C14:0 (myristic acid), C17:0 (margaric acid), C18:0 (stearic acid), C18:1 n-9c (oleic acid), C18:2 n-6c (linoleic acid), and C18:3 n-3 (α-linolenic acid) (p < 0.05).
Similarly, it was determined that fats from Gouda, Mozzarella, and Camembert cheeses did not differ significantly in terms of C16:0 fatty acid content. Fat from processed cheese also differed significantly from the other fats extracted from cheeses with regard to the content of C18:2 n-6c fatty acid.

3.7. Multivariate Statistical Analysis

Chosen results—peak temperatures of thermal analysis of cheeses, peak temperatures of thermogravimetric analyses of cheeses in nitrogen and oxygen atmospheres; peak temperature of fat extracted from cheeses examined in melting characteristics, as well as peaks from thermogravimetric analyses of fat and fatty acid profile were used to run PCA and to create a heatmap of standardized results. Principal component analysis (Figure 16) was applied to standardized thermal and chromatographic variables in order to evaluate similarities and differences among the analyzed cheeses. The first two principal components explained 93.13% of the total variance, with PC1 accounting for 68.85% and PC2 for 24.28%. The PCA score plot revealed a clear separation of the analyzed cheeses, indicating that the selected variables effectively discriminate between samples. Processed cheese was distinctly separated along PC1, whereas Mozzarella and Camembert were located closer to each other, suggesting greater similarity in their overall thermal and fatty acid profiles. Gouda cheese was mainly differentiated along PC2, indicating that its variability was influenced by a different combination of parameters than the other cheeses.
Analysis of variable contributions indicated that PC1 was mainly influenced by parameters related to fatty acid composition and thermogravimetric characteristics, including peak temperature of thermogravimetric analysis of cheese in nitrogen atmosphere (0.153); sum of saturated fatty acids percentage share (0.147), peak temperature of thermogravimetric analysis of fat in nitrogen atmosphere (0.140), sum of monounsaturated fatty acids percentage share (0.139); peak temperature of fat melting (0.138) and sum of polyunsaturated fatty acids percentage share (0.133). Gouda cheese was mainly differentiated along PC2, indicating that its variability was influenced by a different combination of parameters than the other cheeses. PC2 was primarily associated with peak temperature of thermogravimetric analysis of fat in oxygen atmosphere (0.433) and peak temperature 1 of DSC analysis of cheese (0.319).
The heatmap (Figure 17) of standardized results confirmed the PCA findings and revealed clear differences in the distribution of variables among cheeses. Distinct patterns were observed for DSC melting temperatures, thermogravimetric degradation temperatures determined in nitrogen and oxygen atmospheres, and fatty acid group contents. The clustering visible in the heatmap was consistent with the grouping observed in the PCA score plot, demonstrating a strong agreement between both statistical approaches.

4. Conclusions

The course of the melting process of fat presented in cheese depended on the type of cheese, the quality of the fat it contained, and the addition of other fats, such as palm and coconut oils, to products like processed cheese. Based on the curves obtained by DSC analysis, the presence of different polymorphic forms of milk fat can be identified. Processed cheese exhibited a more complex thermal decomposition profile, determined by TG, compared with rennet cheeses. The presence of additional decomposition stages may be related to the more complex composition of processed cheese, including the presence of emulsifying salts, added fats, and other technological additives. In particular, the thermogravimetric curves suggested the presence of lactose degradation as well as multiple lipid oxidation stages. The composition and profile of fatty acids varied depending on the type of cheese. Moreover, fats extracted from Gouda, Camembert, and Mozzarella cheeses were characterized by high percentage content of saturated fatty acids, whereas fat extracted from processed cheese showed the highest content of unsaturated fatty acids. Differences in the melting profiles of fats extracted from cheeses result from different proportions of low-, medium- and high-melting triacylglycerol fractions. Based on the analysis of all thermal properties of the studied cheeses, it was concluded that they enabled differentiation of cheeses and their fat fractions.

Author Contributions

Conceptualization, E.O.-L.; methodology, E.O.-L., I.P.-L., R.B. and A.G.; investigation, M.W.-W., A.G., I.P.-L. and E.G.; formal analysis, E.O.-L., A.G., M.W.-W., I.P.-L. and R.B.; writing—original draft preparation, E.O.-L. and A.G.; writing—review and editing, E.O.-L., A.G., M.W.-W. and I.P.-L. All authors have read and agreed to the published version of the manuscript.

Funding

The study was financially supported by sources of the Ministry of Education and Science within funds of the Institute of Food Sciences of Warsaw University of Life Sciences (WULS), for scientific research.

Institutional Review Board Statement

Not applicable.

Informed Consent Statement

Not applicable.

Data Availability Statement

The data generated or analyzed during this study are available from the corresponding author on reasonable request.

Acknowledgments

The Authors would like to thank Barbara Filipiuk for her help in carrying out the analyses and technical support.

Conflicts of Interest

The authors declare no conflicts of interest.

References

  1. Pacheco-Pappenheim, S.; Yener, S.; Goselink, R.; Quintanilla-Carvajal, X.; van Valenberg, H.; Hettinga, K. Bovine milk fatty acid and triacylglycerol composition and structure differ between early and late lactation influencing milk fat solid fat content. Int. Dairy J. 2022, 131, 105370. [Google Scholar] [CrossRef]
  2. Farkye, Y. Microbiology of Cheese-making and maturation. In Encyclopaedia of Food Microbiology; California Polytechnic State University: San Luis Obispo, CA, USA, 2000; pp. 381–386. [Google Scholar]
  3. Skeie, S. Milk quality requirements for cheesemaking. In Improving the Safety and Quality of Milk; Woodhead Publishing Limited: Cambridge, UK, 2010; pp. 433–447. [Google Scholar]
  4. Szponar, L.; Mojska, H.; Ołtarzewski, M. Nutrition Standards for the Polish Population—Amendment; Fats; Institute of Food and Nutrition: Warsaw, Poland, 2012; pp. 44–59. (In Polish) [Google Scholar]
  5. Karrar, E.; Mohamed Ahmad, I.A.; Huppertz, T.; Wei, W.; Jin, J.; Wang, X. Fatty acid composition and stereospecificity and sterol composition of milk fat from different species. Int. Dairy J. 2022, 128, 105313. [Google Scholar] [CrossRef]
  6. Ochrem, A.; Zapletal, P.; Pustkowiak, H.; Żychlińska-Buczek, J. Fatty acid profile and antioxidant capacity of rennet and cottage cheeses. Bromatol. Chem. Toksykol. 2015, 2, 188–195. (In Polish) [Google Scholar]
  7. García-Gómez, B.; Vázquez-Odériz, L.; Muňoz-Ferreiro, N.; Romero-Rodríguez, Á.; Vázquez, M. Rennet type and microbial transglutaminase in cheese: Effect on sensory properties. Eur. Food Res. Technol. 2020, 246, 513–526. [Google Scholar] [CrossRef]
  8. Liu, X.; Wu, Y.; Guan, R.; Jia, G.; Ma, Y.; Zhang, Y. Advances in research on calf rennet substitutes and their effects on cheese quality. Food Res. Int. 2021, 149, 110704. [Google Scholar] [CrossRef]
  9. Akbar, A.; Nabeel, M.I.; Siddiqui, A.J.; Musharraf, S.G. Effect of coagulants on physiochemical properties, texture, colour and microstructure characterization of cow milk cheese. Food Chem. X 2025, 31, 103197. [Google Scholar] [CrossRef]
  10. Rymaszewski, J.; Śmietana, Z. Ripened Cheeses. In Dairy Industry; Selected Issues; Ziajka, S., Ed.; Publisher ART: Olsztyn, Poland, 1997; pp. 152–183. (In Polish) [Google Scholar]
  11. Wangin, J. Dutch-style cheese technology. In Gouda Cheese. Production of Rennet-Ripened Cheeses; Publishing House “LACPRESS”: Warszawa, Poland, 1989; pp. 142–148. (In Polish) [Google Scholar]
  12. Food and Drug Administration. Cheeses and Related Cheese Products; Code of Federal Regulations; Food and Drug Administration: Washington, DC, USA, 2017. [Google Scholar]
  13. Přikryl, J.; Hájek, T.; Švecová, B.; Salek, R.N.; Černíková, M.; Červenka, L.; Buňka, F. Antioxidant properties and textural characteristics of processed cheese spreads enriched with rutin or quercetin: The effect of processing conditions. LWT—Food Sci. Technol. 2018, 87, 266–271. [Google Scholar] [CrossRef]
  14. Kapoor, R.; Metzger, L.E. Process cheese: Scientific and technological aspects: A review. Compr. Rev. Food Sci. Food Saf. 2008, 7, 194–214. [Google Scholar] [CrossRef]
  15. Garbowska, M.; Berthold-Pluta, A.; Stasiak-Różańska, L.; Kalisz, S.; Pluta, A. The Impact of White Mulberry, Green Barley, Chia Seeds, and Spirulina on Physicochemical Characteristics, Texture, and Sensory Quality of Processed Cheeses. Foods 2023, 12, 2862. [Google Scholar] [CrossRef] [PubMed]
  16. McMahon, D.J.; Oberg, C.J. Pasta—Filata Cheeses: Low-Moisture Part-Skim Mozzarella (Pizza Cheese). In Encyclopedia of Dairy Sciences; Fuquay, J.W., Fox, P.F., McSweeney, P.L.H., Eds.; Academic Press: Amsterdam, The Netherlands, 2011; pp. 737–743. [Google Scholar]
  17. Lopez, C.; Briard-Bion, V.; Camier, B.; Gassi, J.-Y. Milk Fat Thermal Properties and Solid Fat Content in Emmental Cheese: A 662 Differential Scanning Calorimetry Study. J. Dairy Sci. 2006, 89, 2894–2910. [Google Scholar] [CrossRef] [PubMed]
  18. Rodriguez-Carpena, J.; Morcuende, D.; Estevez, M. Avocado, sunflower, and olive oils as replacers of pork back-fat in burger patties: Effect on lipid composition, oxidative stability, and quality traits. Meat Sci. 2012, 90, 106–115. [Google Scholar] [CrossRef]
  19. Soong, Y.-Y.; Barlow, P.J. Antioxidant activity and phenolic content of selected fruit seeds. Food Chem. 2004, 88, 411–417. [Google Scholar] [CrossRef]
  20. Forero-Doria, O.; Garcia, M.F.; Vergara, C.E.; Guzman, L. Thermal analysis and antioxidant activity of oil extracted from the pulp of ripe avocados. J. Therm. Anal. Calorim. 2017, 130, 959–966. [Google Scholar] [CrossRef]
  21. Mendez-Zuniga, S.M.; Corrales-Garcia, J.E.; Gutierrez-Grijalva, E.P.; Garcia-Mateos, R.; Perez-Rubio, V.; Heredia, J.B. Fatty acid profile, total carotenoids, and free radical-scavenging from the lipophilic fractions of 12 native Mexican Avocado Accessions. Plant Food Hum. Nutr. 2019, 74, 501–507. [Google Scholar] [CrossRef]
  22. Lerman-Garber, I.; Ichazo-Cerro, S.; Zamora-Gonzalez, J.; Cardoso-Saldana, G.; Posadas-Romero, C. Effect of a high monounsaturated fat diet enriched with avocado in NIDDM patients. Diabetes Care 1994, 17, 311–315. [Google Scholar] [CrossRef]
  23. Kritchevsky, D.; Tepper, S.A.; Wright, S.; Czarnecki, S.K.; Wilson, T.A.; Nicolosi, R.J. Cholesterol vehicle in experimental atherosclerosis 24: Avocado oil. J. Am. Coll. Nutr. 2003, 22, 52–55. [Google Scholar] [CrossRef] [PubMed]
  24. Werman, M.; Neeman, I.; Mokady, S. Avocado oils and hepatic lipid metabolism in growing rats. Food Chem. Toxicol. 1991, 29, 93–99. [Google Scholar] [CrossRef] [PubMed]
  25. Castro, R.I.; Gallego, J.; García, M.F.; Marican, A.; Forero-Doria, O. Thermal study and composition of edible oils combined by TG/DTG analysis through predictive statistical model. J. Therm. Anal. Calorim. 2022, 145, 153–160. [Google Scholar] [CrossRef]
  26. Ostrowska-Ligęza, E.; Marzec, A.; Górska, A.; Wirkowska-Wojdyła, M.; Bryś, J.; Reich, A.; Czarkowska, K. A comparative study of thermal and textural properties of milk, white and dark chocolates. Termochim. Acta 2019, 671, 60–69. [Google Scholar] [CrossRef]
  27. Folch, J.; Lees, M.; Sloane, S. A simple method for isolation and purification of total lipids from animal tissues. J. Biol. Chem. 1957, 226, 497–509. [Google Scholar] [CrossRef]
  28. Ostrowska-Ligęza, E.; Dolatowska-Żebrowska, K.; Wirkowska-Wojdyła, M.; Bryś, J.; Górska, A. Comparison of Thermal Characteristics and Fatty Acids Composition in raw and roasted Cocoa Beans from Peru (Criollo) and Ecuador (Forastero). Appl. Sci. 2021, 11, 2698. [Google Scholar] [CrossRef]
  29. Schubring, R. Crystallisation and melting behaviour of fish oil measured by DSC. J. Therm. Anal. Calorim. 2009, 95, 823–830. [Google Scholar] [CrossRef]
  30. Wirkowska, M.; Ostrowska-Ligęza, E.; Górska, A.; Koczoń, P. Thermal properties of fats extracted from powdered baby formulas. J. Therm. Anal. Calorim. 2012, 110, 137–143. [Google Scholar] [CrossRef]
  31. Tapia-Ledesma, C.; Araujo-Diaz, S.B.; Dibildox-Alvarado, E.; Ornelas-Paz, J.J.; Perez-Martinez, J.D. Phase diagrams of mixtures of n-hentriacontane and saturated monoacid triacylglycerols. Thermochim. Acta 2020, 683, 178455. [Google Scholar] [CrossRef]
  32. Wang, Y.; Yuan, D.; Li, Y.; Li, M.; Wang, Y.; Li, Y.; Zhang, L. Thermodynamic and whipping properties of milk fat in whipped cream: A study based on DSC and TD-NMR. Int. Dairy J. 2019, 97, 149–157. [Google Scholar] [CrossRef]
  33. Materazzi, S.; De Angelis Curtis, S.; Vecchio Ciprioti, S.; Risoluti, R.; Finamore, J. Thermogravimetric characterization of dark chocolate. J. Therm. Anal. Calorim. 2014, 116, 93–98. [Google Scholar] [CrossRef]
  34. Dolatowska-Żebrowska, K.; Ostrowska-Ligęza, E.; Wirkowska-Wojdyła, M.; Bryś, J.; Górska, A. Characterization of thermal properties of goat milk fat and goat milk chocolate by using DSC, PDSC and TGA methods. J. Therm. Anal. Calorim. 2019, 138, 2769–2779. [Google Scholar] [CrossRef]
  35. ISO. Animal and Vegetable Fats and Oils—Preparation of Methyl Esters of Fatty Acids; International Organization for Standardization: Geneva, Switzerland, 2001; Volume 5509. [Google Scholar]
  36. Bryś, J.; Vaz Flores, I.F.; Wirkowska-Wojdyła, M.; Górska, A.; Ostrowska-Ligęza, E.; Bryś, A. Use of GC and PDSC methods to characterize human milk fat substitutes obtained from lard and milk thistle oil mixtures. J. Therm. Anal. Calorim. 2017, 130, 319–327. [Google Scholar] [CrossRef]
  37. Brożek, O.M.; Kiełczewska, K.; Bohdziewicz, K. Fatty acid profile and Thermal characteristic of ovine and bovine milk and their mixtures. Int. Dairy J. 2022, 129, 105339. [Google Scholar] [CrossRef]
  38. Brożek, O.M.; Kiełczewska, K.; Bohdziewicz, K. Physicochemical and Sensory Properties with Special Emphasis on Thermal Characteristics of Whey Butter from Gouda Cheese Production Compared to Milk Butter. Pol. J. Food Nutr. Sci. 2022, 72, 407–419. [Google Scholar] [CrossRef]
  39. Baranowska, H.M.; Tomaszewska-Gras, J.; Cais-Sokolińska, D.; Bierzuńska, P.; Kaczyński, Ł.K. Water mobility and Thermal properties of smoked soft cheese. Mljekarstvo 2017, 67, 188–196. [Google Scholar] [CrossRef]
  40. Cais-Sokolińska, D.; Bierzuńska, P.; Kaczyński, Ł.K.; Baranowska, H.M.; Tomaszewska-Gras, J. Stability of texture, meltability and water mobility model of pizza-style cheeses from goat’s milk. J. Food Eng. 2018, 222, 226–236. [Google Scholar] [CrossRef]
  41. Ren, Q.; Li, Q.; Liu, H.; Ma, Y. Thermal and storage properties of milk fat globules treated with different homogenization pressures. Int. Dairy J. 2020, 110, 104725. [Google Scholar] [CrossRef]
  42. Martinez-Monteagudo, S.I.; Saldana, M.D.A.; Kennelly, J.J. Kinetics of non—Isothermal oxidation of anhydrous milk fat rich in conjugated linoleic acid using differential scanning calorimetry. J. Therm. Anal. Calorim. 2012, 107, 973–981. [Google Scholar] [CrossRef]
  43. Małkowska, M.; Staniewski, B.; Ziajka, J. Analyses of milk fat crystallization and milk fat fractions. Int. J. Food Prop. 2021, 24, 325–336. [Google Scholar] [CrossRef]
  44. Lopez, C.; Lavigne, F.; Lesieur, P.; Keller, G.; Ollivon, M. Thermal and Structural Behavior of Anhydraous Milk Fat. 2. Crystalline Forms Obtained by Slow Cooling. J. Dairy Sci. 2001, 84, 2402–2412. [Google Scholar] [CrossRef] [PubMed]
  45. Tomaszewska-Gras, J. Evaluation of the authenticity of edible fats using the DSC technique in combination with chemometric methods. In Food for a Conscious Consumer; Melski, K., Walkowiak-Tomczak, D., Eds.; Faculty of Food Science and Nutrition, Poznań University of Life Sciences: Poznań, Poland, 2016; pp. 124–133. [Google Scholar]
  46. Lopez, C.; Briard-Bion, V. The composition, supramolecular organization and the thermal properties of milk fat: A new challenge for the quality of food products. Le Lait 2007, 87, 317–336. [Google Scholar] [CrossRef]
  47. Herman-Lara, E.; Tejeda- Paz, M.; Martinez-Sanchez, C.E.; Rodriguez-Miranda, J.; Ramirez- Riviera, E.J.; Hernandez-Santos, B.; Juarez-Barrientos, J.M. Differential scanning calorimetry coupled with chemometric tools for determining adulteration with vegetable fat in fresh cheeses. LWT—Food Sci. Technol. 2017, 85, 269–274. [Google Scholar] [CrossRef]
  48. Tomaszewska-Gras, J. Melting and crystallization DSC profiles of milk fat depending on selected factors. J. Therm. Anal. Calorim. 2013, 113, 199–208. [Google Scholar] [CrossRef]
  49. Smiddy, M.A.; Huppertz, T.; Van Ruth, S.M. Triacyloglicerol and melting profiles of milk fat from several species. Int. Dairy J. 2012, 24, 64–69. [Google Scholar] [CrossRef]
  50. Lopez, C.; Ollivon, M. Triglicerides obtained by dry fractionation of milk fat 2. Thermal properties and polymorphic evoluations on heating. Chem. Phys. Lipids 2009, 159, 1–12. [Google Scholar] [CrossRef] [PubMed]
  51. Karabulut, I.; Turan, S.; Ergin, G. Effects of chemical interesterification on solid fat content and slip melting point of fat/oil blends. Eur. Food Res. Technol. 2004, 218, 224–229. [Google Scholar] [CrossRef]
  52. Norris, R.; Taylor, M. Comparison of NMR and DSC methods for the estimation of solid fat content. N. Z. J. Dairy Sci. Technol. 1977, 12, 160–165. [Google Scholar]
  53. Brzezińska, R.; Górska, A.; Wirkowska-Wojdyła, M.; Ostrowska-Ligęza, E.; Bryś, J. Thermal and Kinetic Properties of Brazilian Coffea Arabica Beans. Appl. Sci. 2021, 11, 6324. [Google Scholar] [CrossRef]
  54. Ostrowska-Ligęza, E.; Górska, A.; Wirkowska-Wojdyła, M.; Bryś, J.; Dolatowska-Żebrowska, K.; Shamilowa, M.; Ratusz, K. Thermogravimetric characterization of dark and milk chocolates at different processing stages. J. Therm. Anal. Calorim. 2018, 134, 623–631. [Google Scholar] [CrossRef]
  55. Gouveia de Souza, A.; Oliveira Santos, J.; Conceição, M.; Dantas Silva, M.; Prasad, S. A thermoanalytical and kinetic study of sunflower oil. Braz. J. Chem. Eng. 2004, 21, 265–273. [Google Scholar] [CrossRef]
  56. Saldo, J.; Sendra, E.; Guamis, B. Changes in water binding in high-pressure treated cheese, measured by TGA (thermogravimetrical analysis). Innov. Food Sci. Emerg. 2002, 3, 203–207. [Google Scholar] [CrossRef]
  57. Tolentino-Marinho, M.; Dos Santos Bersot, L.; Nogueria, A.; Denck Colman, T.A.; Schnitzler, E. Antioxidant effect of dehydrated rosemary leaves in ripened semi-hard cheese: A study using coupled TG-DSC- FTIR (EGA). LWT—Food Sci. Technol. 2015, 63, 1023–1028. [Google Scholar] [CrossRef]
  58. Bassetto- Bisinella, R.Z.; Bigaski Ribeiro, J.C.; Soltovski de Oliveira, C.; Denck Colman, T.A.; Schnitzler, E.; Masson, M.L. Some instrumental methods applied in food chemistry to characterise lactulose and lactobionic acid. Food Chem. 2017, 220, 295–298. [Google Scholar] [CrossRef]
  59. Gomes da Costa, J.M.; Silva, E.K.; Campos Toledo Hijo, A.A.; Machado Azevedo, V.; Borges, S.V. Physical and Thermal Stability of Spray- Dried Swiss Cheese Bioaroma Powder. Dry Technol. 2015, 33, 346–354. [Google Scholar] [CrossRef]
  60. Paszczyk, B. Fatty acid composition in butter and mixed fats. Bromatol. Chem. Toksykol. 2016, 4, 756–763. (In Polish) [Google Scholar]
  61. Paszczyk, B.; Polak-Śliwińska, M.; Łuczyńska, J. 2016b: Fatty acid composition and trans isomers in cheeses and cheese-like products. In Science Nature Technology; Publishing House of the Poznań University of Life Sciences: Poznań, Poland, 2016; Volume 10, pp. 4–45. (In Polish) [Google Scholar]
  62. Rutkowska, J.; Sadowska, A.; Tabaszewska, M.; Stołyhwo, A. Fatty acid composition of rennet cheeses from the northern, eastern and central regions of Poland. Bromatol. Chem. Toksykol. 2009, 3, 263–269. (In Polish) [Google Scholar]
  63. Buccioni, A.; Mannelli, F.; Daghio, M.; Rapaccini, S.; Scicutella, F.; Minieri, S. Influence of milk quality and cheese- making procedure on functional fatty acid transfer in three Italian dairy products: Mozzarella, Raveggiolo and Ricotta. LWT—Food Sci. Technol. 2022, 163, 113476. [Google Scholar] [CrossRef]
Figure 1. DSC curve of thermal characteristics of cheeses: Camembert (a); Gouda (b); Mozzarella (c); and processed cheese (d).
Figure 1. DSC curve of thermal characteristics of cheeses: Camembert (a); Gouda (b); Mozzarella (c); and processed cheese (d).
Applsci 16 03221 g001
Figure 2. DSC curve of cyclic melting and crystallization characteristics of cheeses: Camembert (a); Gouda (b); Mozzarella (c); and processed cheese (d).
Figure 2. DSC curve of cyclic melting and crystallization characteristics of cheeses: Camembert (a); Gouda (b); Mozzarella (c); and processed cheese (d).
Applsci 16 03221 g002aApplsci 16 03221 g002b
Figure 3. Melting characteristics of fat extracted from cheeses: Camembert; Gouda; Mozzarella; and processed cheese.
Figure 3. Melting characteristics of fat extracted from cheeses: Camembert; Gouda; Mozzarella; and processed cheese.
Applsci 16 03221 g003
Figure 4. The liquid–solid fat content as a function of temperature determined in fat extracted from Camembert cheese using DSC.
Figure 4. The liquid–solid fat content as a function of temperature determined in fat extracted from Camembert cheese using DSC.
Applsci 16 03221 g004
Figure 5. The liquid–solid fat content as a function of temperature determined in fat extracted from Gouda cheese using DSC.
Figure 5. The liquid–solid fat content as a function of temperature determined in fat extracted from Gouda cheese using DSC.
Applsci 16 03221 g005
Figure 6. The liquid–solid fat content as a function of temperature determined in fat extracted from Mozzarella cheese using DSC.
Figure 6. The liquid–solid fat content as a function of temperature determined in fat extracted from Mozzarella cheese using DSC.
Applsci 16 03221 g006
Figure 7. The liquid–solid fat content as a function of temperature determined in fat extracted from processed cheese using DSC.
Figure 7. The liquid–solid fat content as a function of temperature determined in fat extracted from processed cheese using DSC.
Applsci 16 03221 g007
Figure 8. TGA and DTG curves of Camembert cheese in nitrogen (a) and oxygen (b) and TGA and DTG curves of fat extracted from Camembert cheese in nitrogen (c) and oxygen (d).
Figure 8. TGA and DTG curves of Camembert cheese in nitrogen (a) and oxygen (b) and TGA and DTG curves of fat extracted from Camembert cheese in nitrogen (c) and oxygen (d).
Applsci 16 03221 g008
Figure 9. TGA and DTG curves of Gouda cheese in nitrogen (a) and oxygen (b) and TGA and DTG curves of fat extracted from Gouda cheese in nitrogen (c) and oxygen (d).
Figure 9. TGA and DTG curves of Gouda cheese in nitrogen (a) and oxygen (b) and TGA and DTG curves of fat extracted from Gouda cheese in nitrogen (c) and oxygen (d).
Applsci 16 03221 g009
Figure 10. TGA and DTG curves of Mozzarella cheese in nitrogen (a) and oxygen (b) and TGA and DTG curves of fat extracted from Mozzarella cheese in nitrogen (c) and oxygen (d).
Figure 10. TGA and DTG curves of Mozzarella cheese in nitrogen (a) and oxygen (b) and TGA and DTG curves of fat extracted from Mozzarella cheese in nitrogen (c) and oxygen (d).
Applsci 16 03221 g010
Figure 11. TGA and DTG curves of processed cheese in nitrogen (a) and oxygen (b) and TGA and DTG curves of fat extracted from processed cheese in nitrogen (c) and oxygen (d).
Figure 11. TGA and DTG curves of processed cheese in nitrogen (a) and oxygen (b) and TGA and DTG curves of fat extracted from processed cheese in nitrogen (c) and oxygen (d).
Applsci 16 03221 g011
Figure 12. Fatty acids profile in lipid extracted from Camembert cheese.
Figure 12. Fatty acids profile in lipid extracted from Camembert cheese.
Applsci 16 03221 g012
Figure 13. Fatty acids profile in lipid extracted from Gouda cheese.
Figure 13. Fatty acids profile in lipid extracted from Gouda cheese.
Applsci 16 03221 g013
Figure 14. Fatty acids profile in lipid extracted from Mozzarella cheese.
Figure 14. Fatty acids profile in lipid extracted from Mozzarella cheese.
Applsci 16 03221 g014
Figure 15. Fatty acids profile in lipid extracted from processed cheese.
Figure 15. Fatty acids profile in lipid extracted from processed cheese.
Applsci 16 03221 g015
Figure 16. Results of PCA of standardized results from thermal characteristics of cheeses, thermogravimetric analysis of cheeses, melting characteristics of fat, thermogravimetric analysis of fat and fatty acid profile of fat extracted from cheese samples. The variables contributing most strongly to PC1 and PC2 are discussed in the text.
Figure 16. Results of PCA of standardized results from thermal characteristics of cheeses, thermogravimetric analysis of cheeses, melting characteristics of fat, thermogravimetric analysis of fat and fatty acid profile of fat extracted from cheese samples. The variables contributing most strongly to PC1 and PC2 are discussed in the text.
Applsci 16 03221 g016
Figure 17. Heatmap of chosen standardized results (SFA—sum of saturated fatty acids; MUFA—sum of monounsaturated fatty acids; PUFA—sum of polyunsaturated fatty acids; Fat TG(O2) t max—peak temperature of thermogravimetric analysis of fat in oxygen atmosphere; Fat TG(N2) t max—peak temperature of thermogravimetric analysis of fat in nitrogen atmosphere; Cheese TG(O2) t max—peak temperature of thermogravimetric analysis of cheese in oxygen atmosphere; Cheese TG(N2) t max—peak temperature of thermogravimetric analysis of cheese in nitrogen atmosphere; Fat t max—peak temperature of fat melting; Cheese t max 1 and 2—peak temperatures of DSC thermal analysis of cheeses.
Figure 17. Heatmap of chosen standardized results (SFA—sum of saturated fatty acids; MUFA—sum of monounsaturated fatty acids; PUFA—sum of polyunsaturated fatty acids; Fat TG(O2) t max—peak temperature of thermogravimetric analysis of fat in oxygen atmosphere; Fat TG(N2) t max—peak temperature of thermogravimetric analysis of fat in nitrogen atmosphere; Cheese TG(O2) t max—peak temperature of thermogravimetric analysis of cheese in oxygen atmosphere; Cheese TG(N2) t max—peak temperature of thermogravimetric analysis of cheese in nitrogen atmosphere; Fat t max—peak temperature of fat melting; Cheese t max 1 and 2—peak temperatures of DSC thermal analysis of cheeses.
Applsci 16 03221 g017
Table 1. Declarations of cheeses manufacturers present on the packaging regarding ingredients.
Table 1. Declarations of cheeses manufacturers present on the packaging regarding ingredients.
CheeseIngredient CompositionFat Content (g/100 g)
Camembert cheesePasteurized cow’s milk, lactic acid bacteria, salt, rennet, stabilizer—calcium chloride21
Gouda cheesePasteurized cow’s milk, salt, lactic acid bacteria, stabilizer—calcium chloride, dyes—carotenes27
Mozzarella cheeseCow’s milk, salt, rennet, acidity regulator: citric acid. Brine: water, salt16
Processed cheeseWater, cheese, vegetable oils (palm, coconut, partially hydrogenated palm, rapeseed), skimmed milk powder, emulsifying salts (E450, E452, E339), whey powder (from milk), corn starch, butter, salt.27
Disclaimer/Publisher’s Note: The statements, opinions and data contained in all publications are solely those of the individual author(s) and contributor(s) and not of MDPI and/or the editor(s). MDPI and/or the editor(s) disclaim responsibility for any injury to people or property resulting from any ideas, methods, instructions or products referred to in the content.

Share and Cite

MDPI and ACS Style

Ostrowska-Ligęza, E.; Wirkowska-Wojdyła, M.; Brzezińska, R.; Piasecka-Lenartowicz, I.; Gondek, E.; Górska, A. Thermal Analysis of Selected Rennet Cheeses and Fats Extracted from These Cheeses. Appl. Sci. 2026, 16, 3221. https://doi.org/10.3390/app16073221

AMA Style

Ostrowska-Ligęza E, Wirkowska-Wojdyła M, Brzezińska R, Piasecka-Lenartowicz I, Gondek E, Górska A. Thermal Analysis of Selected Rennet Cheeses and Fats Extracted from These Cheeses. Applied Sciences. 2026; 16(7):3221. https://doi.org/10.3390/app16073221

Chicago/Turabian Style

Ostrowska-Ligęza, Ewa, Magdalena Wirkowska-Wojdyła, Rita Brzezińska, Iga Piasecka-Lenartowicz, Ewa Gondek, and Agata Górska. 2026. "Thermal Analysis of Selected Rennet Cheeses and Fats Extracted from These Cheeses" Applied Sciences 16, no. 7: 3221. https://doi.org/10.3390/app16073221

APA Style

Ostrowska-Ligęza, E., Wirkowska-Wojdyła, M., Brzezińska, R., Piasecka-Lenartowicz, I., Gondek, E., & Górska, A. (2026). Thermal Analysis of Selected Rennet Cheeses and Fats Extracted from These Cheeses. Applied Sciences, 16(7), 3221. https://doi.org/10.3390/app16073221

Note that from the first issue of 2016, this journal uses article numbers instead of page numbers. See further details here.

Article Metrics

Article metric data becomes available approximately 24 hours after publication online.
Back to TopTop