Next Article in Journal
Flow-Induced Vibration Analysis of Circular Finned Tubes in 30° Triangular Array and Influence of Fin Density and Pitch Ratio on Vibration Characteristics: Experimental Approach
Previous Article in Journal
Effects of Foot Strengthening Exercises With or Without a Toe Spacer on Hallux Alignment, Foot Mobility, and Balance: A Randomized Controlled Trial
 
 
Font Type:
Arial Georgia Verdana
Font Size:
Aa Aa Aa
Line Spacing:
Column Width:
Background:
Article

Myostatin Reduction Within the Myokine–Adipokine Network Predicts Aerobic Adaptation After High-Intensity Interval Training in Combat Athletes

Department of Coaching Education, Faculty of Sport Science, Adiyaman University, 02040 Adiyaman, Turkey
*
Author to whom correspondence should be addressed.
Appl. Sci. 2026, 16(7), 3161; https://doi.org/10.3390/app16073161 (registering DOI)
Submission received: 9 March 2026 / Revised: 21 March 2026 / Accepted: 24 March 2026 / Published: 25 March 2026

Featured Application

Monitoring circulating myostatin and related biomarkers may provide coaches and sport scientists with a practical tool to evaluate physiological adaptation to high-intensity interval training in combat sport athletes.

Abstract

High-intensity interval training (HIIT) is widely used to enhance aerobic performance in combat sports, yet the molecular mechanisms underlying training adaptation remain unclear. This study investigated whether changes in circulating myokine–adipokine profiles are associated with aerobic performance adaptation following sport-specific HIIT in trained combat athletes. Forty elite male kickboxers were randomly assigned to a HIIT group (n = 20) or a control group (n = 20). The HIIT group performed an eight-week sport-specific HIIT program in addition to regular training, whereas the control group maintained their usual training routines. Aerobic capacity was assessed using maximal oxygen uptake (VO2max). Fasting blood samples were collected before and after the intervention to determine circulating apelin, irisin, brain-derived neurotrophic factor (BDNF), myostatin, fibroblast growth factor-21 (FGF21), and adiponectin concentrations. VO2max increased significantly in the HIIT group compared with the control group (+2.10 ± 1.10 vs. +0.35 ± 0.80 mL·kg−1·min−1, p = 0.001). In addition, apelin, irisin, BDNF, FGF21, and adiponectin increased, whereas myostatin decreased following the intervention. Changes in myostatin were negatively correlated with improvements in VO2max (r = −0.55, p = 0.007), suggesting that reductions in myostatin may serve as a molecular indicator of aerobic adaptation in combat athletes.

1. Introduction

Physical exercise induces a wide range of systemic physiological adaptations that extend beyond the mechanical effects of muscle contraction. In recent years, increasing attention has been directed toward exercise-responsive circulating signaling molecules collectively known as exerkines. These molecules mediate communication between skeletal muscle and other organs such as adipose tissue, the liver, the brain, and the cardiovascular system during and after physical activity [1,2,3]. Through this endocrine-like signaling system, exercise regulates metabolic processes, inflammatory responses, mitochondrial remodeling, and tissue plasticity, highlighting its role as a systemic regulator of physiological adaptation [1,4].
Skeletal muscle plays a central role in this communication network through the secretion of contraction-induced signaling molecules known as myokines. Several exercise-responsive mediators, including apelin, irisin, brain-derived neurotrophic factor (BDNF), myostatin, fibroblast growth factor-21 (FGF21), and adiponectin, have attracted considerable attention due to their involvement in metabolic regulation and muscle–organ crosstalk [5]. Apelin has been associated with mitochondrial remodeling, metabolic efficiency, and improved skeletal muscle adaptation to exercise stimuli [6,7]. Irisin, a cleavage product of the FNDC5 protein, has been implicated in energy expenditure and metabolic regulation and is thought to facilitate communication between skeletal muscle and adipose tissue during physical activity [8,9]. In addition, BDNF, traditionally recognized for its role in neuroplasticity, has also been shown to respond to exercise and contribute to neuromuscular and metabolic adaptation [10].
In contrast to these adaptive mediators, myostatin functions as a negative regulator of skeletal muscle growth and metabolic capacity. Elevated myostatin activity is associated with reduced muscle development, whereas decreases in circulating myostatin are often interpreted as favorable adaptations to exercise training [11,12]. Other endocrine mediators such as FGF21 and adiponectin further contribute to this signaling network by regulating lipid metabolism, insulin sensitivity, and muscle–fat communication [13,14]. Together, these molecules form an interconnected network that plays an important role in exercise-induced physiological adaptation.
Despite increasing interest in exercise-induced endocrine signaling, most previous studies have examined these biomarkers individually rather than exploring their coordinated responses. However, emerging conceptual frameworks suggest that physiological adaptation to exercise is unlikely to be driven by isolated molecular signals and instead reflects the integrated activity of multiple signaling pathways [1,3,4]. Investigating these biomarkers simultaneously may therefore provide a more comprehensive understanding of training-induced physiological adaptation.
This perspective may be particularly relevant in combat sports. Athletes in sports such as kickboxing perform repeated high-intensity actions separated by brief recovery intervals, resulting in substantial metabolic and neuromuscular demands involving both anaerobic and aerobic energy systems [15,16]. Under these conditions, aerobic capacity plays a critical role in maintaining performance and facilitating recovery between high-intensity efforts.
High-intensity interval training (HIIT) has therefore become a widely used conditioning strategy in combat sports because it closely replicates the intermittent physiological demands of competition. Previous studies have demonstrated that HIIT can effectively improve cardiorespiratory fitness, metabolic efficiency, and overall performance capacity in combat athletes [17,18]. These adaptations are largely attributed to exercise-induced mitochondrial remodeling, improved oxygen transport capacity, and enhanced metabolic efficiency during repeated high-intensity efforts [19,20].
Although improvements in aerobic performance following HIIT are well documented, less is known about the molecular mechanisms that accompany these performance adaptations. Exercise training has been shown to influence the expression of several myokines and metabolic signaling molecules [21,22], yet relatively few studies have examined these biomarkers simultaneously within a broader physiological network. Understanding how coordinated biomarker responses relate to performance outcomes may provide valuable insight into the mechanisms underlying training adaptation.
While previous studies have primarily focused on individual myokine or adipokine responses to exercise, the present study adopts an integrated approach by examining the coordinated behavior of multiple biomarkers within a myokine–adipokine interaction framework. Furthermore, this study specifically investigates trained combat athletes undergoing sport-specific HIIT, providing novel insight into how these molecular responses relate to aerobic performance adaptation.
Therefore, the aim of the present study was to investigate the effects of an eight-week sport-specific high-intensity interval training program on circulating apelin, irisin, BDNF, myostatin, FGF21, and adiponectin responses in trained combat athletes. In addition, this study aimed to determine whether changes in these biomarkers were associated with aerobic performance adaptation measured by VO2max. We hypothesized that sport-specific HIIT would induce coordinated changes in circulating myokine–adipokine profiles and that reductions in inhibitory regulators of muscle adaptation, particularly myostatin, would be associated with greater improvements in aerobic capacity.

2. Materials and Methods

2.1. Study Design and Participants

This randomized controlled study investigated the effects of an eight-week sport-specific high-intensity interval training (HIIT) program on circulating myokine–adipokine responses and aerobic performance in trained combat athletes.
Forty elite male kickboxers volunteered to participate in the study. All participants were actively competing at the national level and had a minimum of five years of structured training experience. Participants were recruited from local kickboxing clubs and national training centers.
Inclusion criteria were:
  • Male athletes aged between 18 and 25 years;
  • Minimum of five years of competitive kickboxing experience;
  • Regular participation in training at least five days per week.
Exclusion criteria included:
  • Musculoskeletal injury within the previous six months;
  • Metabolic or cardiovascular disease;
  • Use of medications or supplements known to influence metabolic or hormonal responses;
  • Participation in additional structured conditioning programs during the study period.
Participants were instructed to maintain their habitual diet and training routines throughout the study, except for the experimental HIIT intervention.
All participants provided written informed consent prior to participation. The study protocol was approved by the Institutional Ethics Committee and conducted in accordance with the Declaration of Helsinki.

2.2. Sample Size Calculation

An a priori power analysis was performed using G*Power software (version 3.1, Heinrich Heine University, Düsseldorf, Germany). Based on previous studies examining the effects of HIIT on aerobic capacity in trained athletes, a moderate effect size (f = 0.30) was assumed. With a statistical power of 0.80 and an alpha level of 0.05, the required sample size was calculated as 34 participants. To account for potential dropouts, a total of 40 athletes were recruited and randomly assigned to either the HIIT group (n = 20) or the control group (n = 20).

2.3. Randomization

Participants were randomly allocated to the HIIT or control group using a computer-generated randomization sequence. Randomization was performed using block randomization with a block size of four to ensure balanced group allocation. The randomization process was conducted by an independent researcher who was not involved in data collection or analysis.

2.4. Training Intervention

The experimental group performed a sport-specific HIIT program for eight weeks in addition to their regular technical training, whereas the control group continued their habitual training routines without additional conditioning.
The HIIT protocol was performed three times per week with at least 48 h between sessions.
Each session consisted of:
  • Warm-up:
10 min of dynamic mobility exercises and light technical drills.
  • Main HIIT set:
6–8 high-intensity intervals lasting 3 min each, performed at approximately 90–95% of maximal heart rate (HRmax), reflecting the physiological demands of competitive kickboxing rounds.
  • Recovery periods:
1 min of active recovery between intervals at approximately 50–60% HRmax.
  • Cool-down:
5 min of light aerobic activity and stretching.
Training intensity was monitored using heart rate monitors (Polar Electro, Kempele, Finland). The total duration of each training session was approximately 30–35 min.

2.5. Aerobic Capacity Assessment

Aerobic capacity was assessed using maximal oxygen uptake (VO2max). VO2max was measured using a graded exercise test performed on a motorized treadmill (Cosmed, Rome, Italy).
The protocol began at a running speed of 8 km·h−1 with incremental increases of 1 km·h−1 every minute until volitional exhaustion. Respiratory gases were continuously analyzed using a calibrated metabolic cart.
VO2max was defined as the highest 30 s average oxygen uptake value obtained during the test. Standard criteria for VO2max attainment included:
  • Plateau in oxygen uptake despite increasing workload;
  • Respiratory exchange ratio ≥ 1.10;
  • Heart rate within 10 beats of age-predicted maximum.
All tests were conducted at the same time of day to minimize circadian variation.

2.6. Blood Sampling and Biochemical Analysis

Venous blood samples were collected from the antecubital vein in the morning between 08:00 and 10:00 following an overnight fast of at least 10 h.
Blood samples were obtained at two time points:
  • Baseline (pre-intervention);
  • After completion of the eight-week training program (post-intervention).
Samples were centrifuged at 3000 rpm for 10 min, and serum was separated and stored at −80 °C until analysis.
Serum concentrations of the following biomarkers were measured:
  • Apelin;
  • Irisin;
  • Brain-derived neurotrophic factor (BDNF);
  • Myostatin;
  • Fibroblast growth factor-21 (FGF21);
  • Adiponectin.
All biomarkers were analyzed using commercially available enzyme-linked immunosorbent assay (ELISA) kits according to the manufacturer’s instructions (Elabscience, Houston, TX, USA).
The intra-assay and inter-assay coefficients of variation for all biomarkers were below 10%.

2.7. Body Composition Assessment

Body composition was assessed using bioelectrical impedance analysis (InBody 720, Biospace Co., Incheon, Republic of Korea). Measurements included:
  • Body mass;
  • Body fat percentage;
  • Lean body mass.
Participants were instructed to avoid strenuous exercise and caffeine intake for at least 24 h before measurement.

2.8. Statistical Analysis

All statistical analyses were performed using SPSS software (version 26.0; IBM Corp., Armonk, NY, USA). Data are presented as mean ± standard deviation.
Normality of data distribution was assessed using the Shapiro–Wilk test. Baseline differences between groups were evaluated using independent sample t-tests.
Training-induced changes were calculated using change scores (Δ = post − pre). Between-group differences in change scores were analyzed using independent sample t-tests.
Analysis of covariance (ANCOVA) was conducted to compare post-intervention VO2max values between groups while controlling for baseline VO2max and body fat percentage.
Pearson correlation analysis was used to examine associations between changes in circulating biomarkers and changes in aerobic capacity.
A stepwise multiple linear regression analysis was performed to identify independent predictors of VO2max adaptation. Multicollinearity was assessed using variance inflation factor (VIF).
Effect sizes were calculated using Cohen’s d and interpreted as:
  • Small (0.2);
  • Medium (0.5);
  • Large (0.8).
To control for multiple comparisons, a false discovery rate (FDR) correction using the Benjamini–Hochberg procedure was applied to between-group comparisons of change scores.
Statistical significance was set at p < 0.05.

2.9. Ethics Approval

The study protocol was reviewed and approved by the Non-Interventional Clinical Research Ethics Committee of Adıyaman University (Approval No: 2025/1-19, Approval Date: 19 January 2025). The study was conducted in accordance with the ethical standards of the institutional research committee and the principles outlined in the Declaration of Helsinki.
All participants were informed about the purpose, procedures, and potential risks of the study prior to participation. Written informed consent was obtained from all participants before data collection.

2.10. Artificial Intelligence Generated Content (AIGC)

The authors confirm that no generative artificial intelligence tools were used in the preparation of this manuscript.

3. Results

Baseline demographic, anthropometric, and aerobic characteristics of the participants are presented in Table 1. No significant differences were observed between the HIIT and control groups in any baseline variables (all p > 0.05), indicating successful randomization.
Pre–post changes in aerobic performance are shown in Table 2. Both groups demonstrated slight improvements over time; however, the increase in VO2max was significantly greater in the HIIT group than in the control group. Change-score analysis revealed a significant between-group difference with a large effect size. These changes are visually presented in Figure 1.
The ANCOVA-adjusted post-intervention VO2max values are presented in Table 3. After controlling for baseline VO2max and body fat percentage, the HIIT group maintained significantly higher VO2max values compared with the control group, confirming that the observed improvement in aerobic capacity was attributable to the HIIT intervention.
Changes in circulating biomarker concentrations are summarized in Table 4. The HIIT group exhibited significantly greater changes in apelin, irisin, BDNF, myostatin, FGF21, and adiponectin compared with the control group. The largest effect sizes were observed for myostatin, BDNF, and irisin, indicating a pronounced molecular response to the training intervention. These biomarker responses are illustrated in Figure 2.
Associations between biomarker changes and VO2max adaptation are presented in Table 5. Correlation analysis revealed that reductions in myostatin and increases in apelin and irisin were associated with greater improvements in aerobic capacity. In the stepwise multiple regression model, changes in myostatin emerged as the strongest independent predictor of VO2max adaptation, while apelin provided additional explanatory value. The final model explained 41% of the variance in aerobic performance improvement.
To control for multiple comparisons, a false discovery rate (FDR) correction using the Benjamini–Hochberg procedure was applied. As shown in Table 6, significant differences remained for apelin, irisin, BDNF, myostatin, FGF21, adiponectin, and VO2max (all p < 0.05, FDR-corrected), indicating that the observed changes were robust after controlling for Type I error.
Graphical representation of pre- to post-intervention changes in VO2max in the HIIT and control groups. Data are presented as mean ± SD and complement the numerical results reported in Table 2.
Graphical representation of pre- to post-intervention changes in apelin, irisin, BDNF, myostatin, FGF21, and adiponectin levels in the HIIT and control groups. Data are presented as mean ± SD. This figure complements the numerical results reported in Table 4.
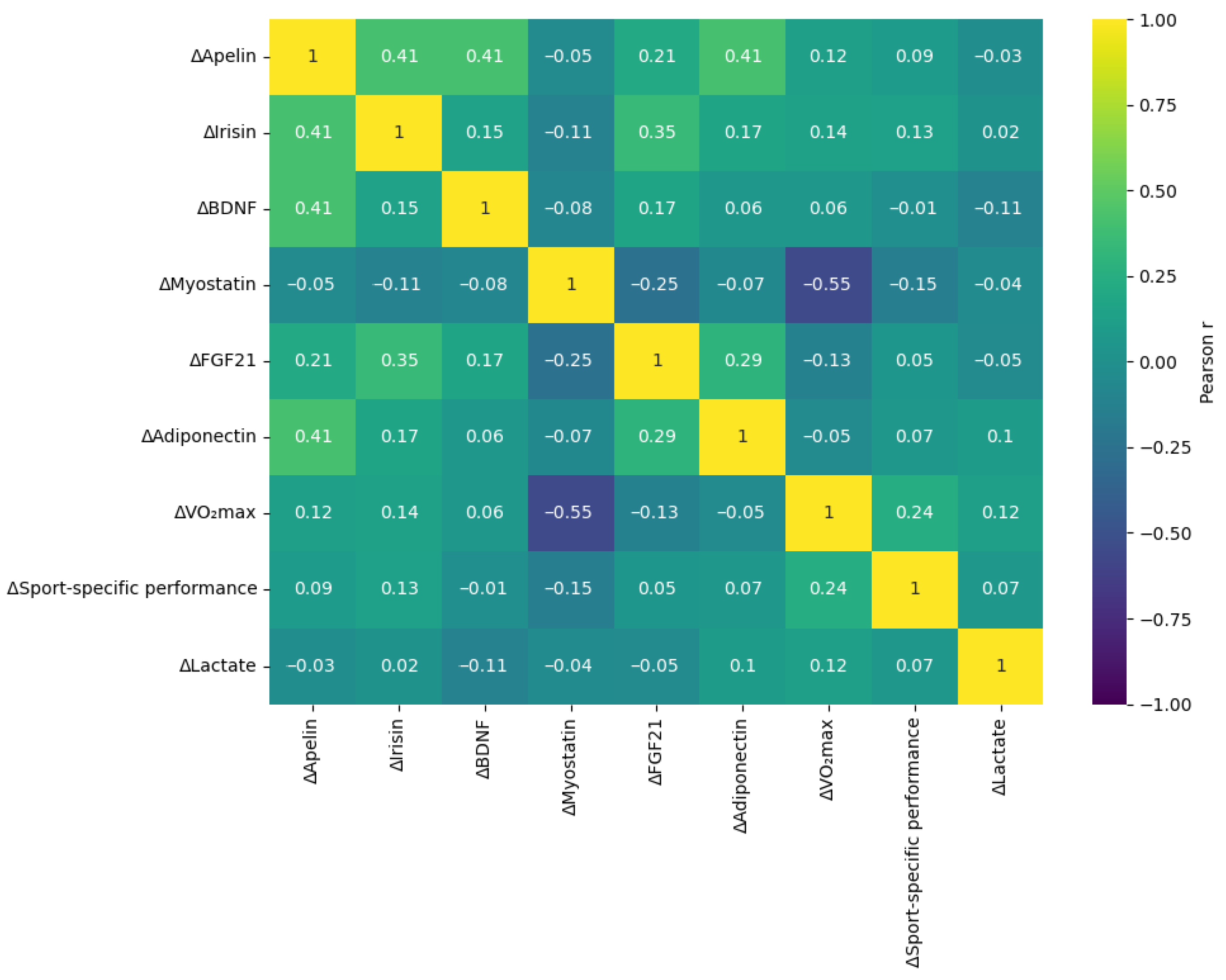
Graphical representation of the correlation matrix illustrating the relationships between circulating biomarkers and performance adaptations is presented in Figure 3.
Figure 4 shows the relationship between changes in circulating myostatin and aerobic performance adaptation across all participants. Blue and yellow points represent the HIIT and control groups, respectively. A regression line is included to illustrate the overall trend. A moderate-to-strong negative association was observed (r = −0.55, p = 0.007), indicating that greater reductions in myostatin were associated with larger improvements in VO2max. This represents the most pronounced biomarker–performance relationship identified in the study and provides visual support for the regression findings, suggesting that myostatin may serve as a relevant molecular indicator of aerobic adaptation in trained combat athletes.
Figure 5 illustrates the correlation network between changes in circulating biomarkers and aerobic performance adaptation following the training intervention. The strongest association was observed between ΔMyostatin and ΔVO2max (r = −0.55), indicating that greater reductions in myostatin were associated with larger improvements in aerobic capacity. Moderate positive associations were observed for ΔIrisin (r = 0.36) and ΔApelin (r = 0.32), while BDNF demonstrated a weaker relationship with aerobic adaptation (r = 0.29). In contrast, FGF21 and adiponectin showed relatively small correlations with changes in VO2max. Overall, the network analysis suggests that improvements in aerobic performance were associated with coordinated changes in multiple exercise-responsive biomarkers rather than a single isolated molecular response.

4. Discussion

The present study investigated the effects of an eight-week sport-specific high-intensity interval training (HIIT) program on circulating myokine–adipokine responses and their association with aerobic performance adaptation in trained combat athletes. The main findings were that HIIT significantly improved aerobic capacity and induced coordinated changes in several exercise-responsive biomarkers. Among these responses, reductions in circulating myostatin showed the strongest association with improvements in VO2max, suggesting that decreased inhibitory signaling within skeletal muscle may contribute to enhanced aerobic adaptation.
The improvement in aerobic capacity observed in the present study is consistent with previous research demonstrating that HIIT is an effective strategy for enhancing cardiorespiratory fitness in trained athletes [17,18]. Combat sports such as kickboxing involve repeated high-intensity actions interspersed with short recovery periods, placing substantial demands on both anaerobic and aerobic energy systems [15,16]. Under these conditions, well-developed aerobic capacity plays an important role in maintaining performance and facilitating recovery between successive high-intensity efforts. HIIT protocols are particularly effective in this context because they stimulate physiological adaptations such as increased mitochondrial density, improved oxygen delivery and utilization, and enhanced metabolic efficiency during repeated bouts of intense exercise [19,20,23]. Therefore, the increase in VO2max observed in the present study likely reflects improved oxidative capacity and cardiovascular efficiency resulting from repeated exposure to high-intensity training stimuli.
Beyond improvements in aerobic performance, the present study demonstrated that sport-specific HIIT induced coordinated changes in several circulating biomarkers associated with exercise adaptation. These findings are consistent with previous metabolomic research demonstrating that exercise induces systemic metabolic adaptations through coordinated molecular signaling responses across multiple tissues [24]. Increases in apelin and irisin were observed following the intervention, supporting previous evidence suggesting that these peptides are responsive to high-intensity exercise stimuli [6,7,8,9]. Apelin has been proposed as an important regulator of skeletal muscle metabolism and mitochondrial remodeling, potentially enhancing oxidative capacity and energy utilization during exercise [6,7]. Similarly, irisin has been associated with increased energy expenditure and improved metabolic regulation through muscle–adipose tissue communication [8,9]. The simultaneous increase in these biomarkers observed in the present study may therefore reflect enhanced metabolic signaling between skeletal muscle and other metabolic tissues following repeated high-intensity exercise exposure.
An increase in circulating BDNF concentrations was also detected after the training intervention. Although BDNF is traditionally associated with neuroplasticity and brain function, emerging evidence suggests that exercise-induced BDNF responses may contribute to both neuromuscular and metabolic adaptations [10,22]. Increased BDNF availability may facilitate improved neuromuscular coordination and energy metabolism during exercise, potentially supporting overall training adaptation. In athletes engaged in technically demanding sports such as kickboxing, these adaptations may also contribute indirectly to improved performance capacity. These findings further support the concept of coordinated molecular adaptations induced by exercise.
The interaction between myokines and adipokines can be considered as part of an integrated endocrine network involving bidirectional communication between skeletal muscle and adipose tissue [25,26]. This cross-talk may play a critical role in coordinating metabolic regulation and exercise-induced adaptations.
In contrast to the increases observed in several adaptive biomarkers, circulating myostatin concentrations decreased following the HIIT intervention. Myostatin is widely recognized as a negative regulator of skeletal muscle growth and metabolic capacity, and reductions in myostatin activity are commonly interpreted as favorable adaptations to exercise training [11,12]. Importantly, the present study identified a moderate negative association between changes in myostatin and improvements in VO2max. This relationship suggests that reductions in inhibitory signaling may facilitate improved oxidative metabolism and mitochondrial function within skeletal muscle. Previous experimental research has indicated that suppression of myostatin signaling may promote enhanced mitochondrial activity and metabolic efficiency, potentially supporting greater endurance performance [27]. The present findings therefore suggest that decreased myostatin activity may represent an important molecular component of aerobic training adaptation in trained combat athletes.
Although the regression model explained a moderate proportion of the variance in VO2max adaptation, aerobic performance is known to be influenced by multiple physiological systems. Factors such as cardiovascular function, oxygen delivery and utilization capacity, neuromuscular adaptations, and individual variability contribute substantially to VO2max responses to training [28,29,30]. Therefore, performance improvements observed in the present study are likely driven by a combination of molecular and systemic adaptations beyond the biomarkers assessed.
The interaction patterns observed among the biomarkers further support the concept of an exercise-induced molecular adaptation network. Rather than acting independently, myokines and adipokines appear to function within coordinated signaling pathways that regulate systemic responses to physical activity [1,3,4,31]. Through these pathways, contracting skeletal muscle communicates with metabolic organs such as adipose tissue, the liver, and the central nervous system, facilitating integrated physiological responses to exercise. The correlation structure observed in the present study suggests that aerobic performance improvements were associated with coordinated biomarker responses rather than a single isolated molecular change. This network-based perspective is increasingly recognized as an important framework for understanding exercise-induced physiological adaptation.
The present study should be considered exploratory in nature, aiming to identify potential relationships between biomarkers and performance outcomes rather than establishing direct mechanistic causality. These findings may reflect underlying molecular interactions related to muscle–adipose tissue cross-talk and metabolic regulation, although further mechanistic studies are required.
Although increases were also observed in circulating FGF21 and adiponectin, these biomarkers did not demonstrate significant associations with improvements in VO2max. Both molecules are involved in metabolic regulation and insulin sensitivity and have been linked to improved metabolic flexibility during exercise [13,14]. Their coordinated increase in the present study may therefore reflect broader metabolic adaptations to repeated high-intensity exercise exposure rather than direct determinants of aerobic performance.
Despite these limitations, the present study provides novel insight into the relationship between circulating biomarker responses and aerobic performance adaptation in trained combat athletes. By simultaneously examining multiple exercise-responsive biomarkers and linking these responses to physiological performance outcomes, the study contributes to the growing body of literature emphasizing the importance of integrated molecular signaling networks in exercise-induced adaptation.

5. Conclusions

The present study demonstrates that sport-specific high-intensity interval training (HIIT) induces significant improvements in aerobic capacity alongside coordinated changes in circulating myokine–adipokine profiles in trained combat athletes. Among the investigated biomarkers, reductions in myostatin showed the strongest association with improvements in VO2max, highlighting its potential role as a molecular indicator of aerobic adaptation.
Importantly, the findings support the concept that exercise-induced adaptations are not driven by isolated biomarkers but rather by coordinated interactions within a broader molecular network. Although the regression model explained a moderate proportion of the variance in aerobic performance, the results suggest that both molecular and systemic physiological mechanisms contribute to training adaptations.
Overall, this study provides novel insight into the relationship between myokine–adipokine responses and aerobic performance adaptation in combat athletes, emphasizing the importance of integrative approaches in understanding exercise physiology. Future research incorporating larger sample sizes and multi-time-point biomarker measurements may further clarify the mechanistic pathways underlying these adaptations.

6. Practical Applications

Sport-specific HIIT appears to be an effective method for improving aerobic capacity in combat sport athletes. In addition, reductions in circulating myostatin may reflect favorable physiological adaptation to high-intensity training. Monitoring selected biomarkers alongside traditional performance measures may therefore provide additional insight into athlete adaptation and training responsiveness.

7. Limitations

Several limitations should be acknowledged. First, the sample consisted only of elite male kickboxers, which may limit the generalizability of the findings to other athletic populations. Second, biomarkers were measured only under resting conditions before and after the intervention, and therefore acute or time-dependent responses to exercise were not captured. Future studies incorporating multiple post-exercise time points may provide a more comprehensive understanding of biomarker dynamics. Finally, although several biomarkers were analyzed simultaneously, other molecular pathways involved in exercise adaptation were not examined.

Author Contributions

Conceptualization, E.B. and A.D.; methodology, E.B.; validation, E.B. and A.D.; formal analysis, E.B.; investigation, E.B.; resources, E.B.; data curation, E.B.; writing—original draft preparation, E.B.; writing—review and editing, A.D.; visualization, E.B.; supervision, A.D.; project administration, A.D. All authors have read and agreed to the published version of the manuscript.

Funding

This research received no external funding.

Institutional Review Board Statement

The study was conducted in accordance with the Declaration of Helsinki and approved by the Non-Interventional Clinical Research Ethics Committee of Adıyaman University (Approval No: 2025/1-19, Approval Date: 19 January 2025).

Informed Consent Statement

Informed consent was obtained from all subjects involved in the study.

Data Availability Statement

The data presented in this study are available from the corresponding author upon reasonable request.

Acknowledgments

The authors would like to thank all athletes who voluntarily participated in this study for their time, effort, and commitment throughout the research process.

Conflicts of Interest

The authors declare no conflicts of interest.

Abbreviations

ANCOVAAnalysis of Covariance
BDNFBrain-Derived Neurotrophic Factor
ELISAEnzyme-Linked Immunosorbent Assay
FGF21Fibroblast Growth Factor-21
HIITHigh-Intensity Interval Training
HRmaxMaximal Heart Rate
RCTRandomized Controlled Trial
VO2maxMaximal Oxygen Uptake
VIFVariance Inflation Factor

References

  1. Chow, L.S.; Gerszten, R.E.; Taylor, J.M.; Pedersen, B.K.; van Praag, H.; Trappe, S.; Febbraio, M.A.; Galis, Z.S.; Gao, Y.; Haus, J.M.; et al. Exerkines in health, resilience and disease. Nat. Rev. Endocrinol. 2022, 18, 273–289. [Google Scholar] [CrossRef] [PubMed]
  2. Zhou, N.; Gong, L.; Zhang, E.; Wang, X. Exploring exercise-driven exerkines: Unraveling the regulation of metabolism and inflammation. PeerJ 2024, 12, e17267. [Google Scholar] [CrossRef] [PubMed]
  3. Novelli, G.; Calcaterra, G.; Casciani, F.; Pecorelli, S.; Mehta, J.L. Exerkines: A comprehensive term for the factors produced in response to exercise. Biomedicines 2024, 12, 1975. [Google Scholar] [CrossRef]
  4. Pedersen, B.K. The physiology of optimizing health with a focus on exercise as medicine. Annu. Rev. Physiol. 2019, 81, 607–627. [Google Scholar] [CrossRef]
  5. Nishii, K.; Aizu, N.; Yamada, K. Review of the health-promoting effects of exercise and the involvement of myokines. Fujita Med. J. 2023, 9, 171–178. [Google Scholar] [CrossRef]
  6. Kilpiö, T.; Skarp, S.; Perjés, Á.; Swan, J.; Kaikkonen, L.; Saarimäki, S.; Szokodi, I.; Penninger, J.M.; Szabó, Z.; Magga, J.; et al. Apelin regulates skeletal muscle adaptation to exercise in a high-intensity interval training model. Am. J. Physiol. Cell Physiol. 2024, 326, C1437–C1450. [Google Scholar] [CrossRef]
  7. Ligetvári, R.; Szokodi, I.; Far, G.; Csöndör, É.; Móra, Á.; Komka, Z.; Tóth, M.; Oláh, A.; Ács, P. Apelin as a potential regulator of peak athletic performance. Int. J. Mol. Sci. 2023, 24, 8195. [Google Scholar] [CrossRef]
  8. Jandova, T.; Buendía-Romero, A.; Polanska, H.; Hola, V.; Rihova, M.; Vetrovsky, T.; Courel-Ibáñez, J.; Steffl, M. Long-term effect of exercise on irisin blood levels—Systematic review and meta-analysis. Healthcare 2021, 9, 1438. [Google Scholar] [CrossRef]
  9. Paoletti, I.; Coccurello, R. Irisin: A multifaceted hormone bridging exercise and disease pathophysiology. Int. J. Mol. Sci. 2024, 25, 13480. [Google Scholar] [CrossRef]
  10. Dinoff, A.; Herrmann, N.; Swardfager, W.; Lanctôt, K.L. The effect of acute exercise on blood concentrations of brain-derived neurotrophic factor in healthy adults: A meta-analysis. Eur. J. Neurosci. 2017, 46, 1635–1646. [Google Scholar] [CrossRef] [PubMed]
  11. Khalafi, M.; Aria, B.; Symonds, M.E.; Rosenkranz, S.K. The effects of resistance training on myostatin and follistatin in adults: A systematic review and meta-analysis. Physiol. Behav. 2023, 269, 114272. [Google Scholar] [CrossRef]
  12. McGee, S.L.; Hargreaves, M. Exercise adaptations: Molecular mechanisms and potential targets for therapeutic benefit. Nat. Rev. Endocrinol. 2020, 16, 495–505. [Google Scholar] [CrossRef]
  13. Liu, C.; Yan, X.; Zong, Y.; He, Y.; Yang, G.; Xiao, Y.; Wang, S. The effects of exercise on FGF21 in adults: A systematic review and meta-analysis. PeerJ 2024, 12, e17615. [Google Scholar] [CrossRef]
  14. Sierawska, O.; Sawczuk, M. Interaction between selected adipokines and musculoskeletal and cardiovascular systems: A review of current knowledge. Int. J. Mol. Sci. 2023, 24, 17287. [Google Scholar] [CrossRef] [PubMed]
  15. Gonçalves, A.F.; Miarka, B.; Maurício, C.A.; Teixeira, R.P.A.; Brito, C.J.; Pérez, D.I.V.; Slimani, M.; Znazen, H.; Bragazzi, N.L.; Reis, V.M. Enhancing performance: Unveiling the physiological impact of submaximal and supramaximal tests on mixed martial arts athletes in the −61 kg and −66 kg weight divisions. Front. Physiol. 2024, 14, 1257639. [Google Scholar] [CrossRef] [PubMed]
  16. Franchini, E. Energy system contributions during Olympic combat sports: A narrative review. Metabolites 2023, 13, 297. [Google Scholar] [CrossRef]
  17. Vasconcelos, B.B.; Protzen, G.V.; Galliano, L.M.; Kirk, C.; Del Vecchio, F.B. Effects of high-intensity interval training in combat sports: A systematic review with meta-analysis. J. Strength Cond. Res. 2020, 34, 888–900. [Google Scholar] [CrossRef]
  18. Franchini, E. High-intensity interval training prescription for combat-sport athletes. Int. J. Sports Physiol. Perform. 2020, 15, 767–776. [Google Scholar] [CrossRef]
  19. MacInnis, M.J.; Gibala, M.J. Physiological adaptations to interval training and the role of exercise intensity. J. Physiol. 2017, 595, 2915–2930. [Google Scholar] [CrossRef]
  20. Granata, C.; Jamnick, N.A.; Bishop, D.J. Principles of exercise prescription and how they influence exercise-induced changes of transcription factors and other regulators of mitochondrial biogenesis regulation. Sports Med. 2018, 48, 1541–1559. [Google Scholar] [CrossRef] [PubMed]
  21. Bettariga, F.; Taaffe, D.R.; Galvão, D.A.; Lopez, P.; Bishop, C.; Markarian, A.M.; Natalucci, V.; Kim, J.S.; Newton, R.U. Exercise training mode effects on myokine expression in healthy adults: A systematic review with meta-analysis. J. Sport Health Sci. 2024, 13, 764–779. [Google Scholar] [CrossRef] [PubMed]
  22. Villamil-Parra, W.; Moscoso-Loaiza, L. Effects of physical exercise on irisin and BDNF concentrations, and their relationship with cardiometabolic and mental health of individuals with Metabolic Syndrome: A Systematic Review. Exp. Gerontol. 2024, 198, 112640. [Google Scholar] [CrossRef]
  23. Ruddock, A.; James, L.; French, D.; Rogerson, D.; Driller, M.; Hembrough, D. High-intensity conditioning for combat athletes: Practical recommendations. Appl. Sci. 2021, 11, 10658. [Google Scholar] [CrossRef]
  24. Morville, T.; Sahl, R.E.; Moritz, T.; Helge, J.W.; Clemmensen, C. Plasma metabolome profiling of resistance exercise and endurance exercise in humans. Cell Rep. 2020, 33, 108554. [Google Scholar] [CrossRef]
  25. Pedersen, B.K.; Febbraio, M.A. Muscles, exercise and obesity: Skeletal muscle as a secretory organ. Nat. Rev. Endocrinol. 2012, 8, 457–465. [Google Scholar] [CrossRef]
  26. Trayhurn, P.; Wood, I.S. Adipokines: Inflammation and the pleiotropic role of white adipose tissue. Br. J. Nutr. 2004, 92, 347–355. [Google Scholar] [CrossRef]
  27. Rodgers, B.D.; Eldridge, J.A. Reduced circulating GDF11 is unlikely responsible for age-dependent changes in mouse heart, muscle, and brain. Endocrinology 2015, 156, 3885–3888. [Google Scholar] [CrossRef]
  28. Bassett, D.R.; Howley, E.T. Limiting factors for maximum oxygen uptake. Med. Sci. Sports Exerc. 2000, 32, 70–84. [Google Scholar] [CrossRef]
  29. Joyner, M.J.; Coyle, E.F. Endurance exercise performance: The physiology of champions. J. Physiol. 2008, 586, 35–44. [Google Scholar] [CrossRef] [PubMed]
  30. Poole, D.C.; Jones, A.M. Oxygen uptake kinetics. Compr. Physiol. 2012, 2, 933–996. [Google Scholar] [CrossRef] [PubMed]
  31. Severinsen, M.C.K.; Pedersen, B.K. Muscle–organ crosstalk: The emerging roles of myokines. Endocr. Rev. 2020, 41, 594–609. [Google Scholar] [CrossRef] [PubMed]
Figure 1. Changes in aerobic performance parameters following the intervention.
Figure 1. Changes in aerobic performance parameters following the intervention.
Applsci 16 03161 g001
Figure 2. Changes in circulating biomarkers following the intervention.
Figure 2. Changes in circulating biomarkers following the intervention.
Applsci 16 03161 g002
Figure 3. Correlation heatmap of biomarker and performance adaptations.
Figure 3. Correlation heatmap of biomarker and performance adaptations.
Applsci 16 03161 g003
Figure 4. Association between changes in myostatin and VO2max adaptation. The blue line represents the linear regression line (r = −0.55, p = 0.007).
Figure 4. Association between changes in myostatin and VO2max adaptation. The blue line represents the linear regression line (r = −0.55, p = 0.007).
Applsci 16 03161 g004
Figure 5. Correlation network between biomarker changes and aerobic performance adaptation.
Figure 5. Correlation network between biomarker changes and aerobic performance adaptation.
Applsci 16 03161 g005
Table 1. Baseline demographic, anthropometric, and aerobic characteristics of the participants.
Table 1. Baseline demographic, anthropometric, and aerobic characteristics of the participants.
VariableHIIT (n = 20)Control (n = 20)p
Age (years)22.10 ± 2.0121.88 ± 2.140.741
Height (cm)176.12 ± 5.42175.76 ± 5.310.831
Body mass (kg)74.84 ± 8.4774.21 ± 8.260.806
Body fat (%)15.84 ± 2.3616.09 ± 2.480.648
Lean mass (kg)62.54 ± 6.1262.11 ± 6.280.781
VO2max (ml·kg−1·min−1)49.82 ± 3.1849.47 ± 3.090.714
Table 2. Pre–post changes in aerobic performance.
Table 2. Pre–post changes in aerobic performance.
VariableHIIT PreHIIT PostControl PreControl PostHIIT ΔControl Δp (Δ Between Groups)Cohen’s d
VO2max (mL·kg−1·min−1)49.82 ± 3.1851.92 ± 3.0449.47 ± 3.0949.82 ± 3.01+2.10 ± 1.10+0.35 ± 0.800.0011.01
Table 3. ANCOVA-adjusted post-intervention VO2max values controlling for baseline VO2max and body fat percentage.
Table 3. ANCOVA-adjusted post-intervention VO2max values controlling for baseline VO2max and body fat percentage.
GroupUnadjusted Post VO2maxAdjusted Post VO2maxAdjusted Mean Difference95% CIp
HIIT51.92 ± 3.0451.86 ± 2.97+1.940.73 to 3.150.002
Control49.82 ± 3.0149.92 ± 2.95
Note: “—” indicates not applicable.
Table 4. Pre–post changes in circulating biomarker concentrations.
Table 4. Pre–post changes in circulating biomarker concentrations.
BiomarkerHIIT PreHIIT PostControl PreControl PostHIIT ΔControl Δp (Δ Between Groups)Effect Size
Apelin1.38 ± 0.221.68 ± 0.241.36 ± 0.231.38 ± 0.22+0.30 ± 0.19+0.02 ± 0.140.0060.82
Irisin4.55 ± 0.965.15 ± 0.984.49 ± 1.014.61 ± 1.02+0.60 ± 0.41+0.12 ± 0.330.0040.88
BDNF23.10 ± 3.0525.20 ± 3.1222.94 ± 3.1023.34 ± 3.16+2.10 ± 1.26+0.40 ± 0.920.0030.92
Myostatin4.41 ± 0.713.96 ± 0.664.38 ± 0.694.33 ± 0.68−0.45 ± 0.22−0.05 ± 0.170.0011.05
FGF21181.6 ± 34.2206.0 ± 36.5180.1 ± 33.7187.4 ± 34.9+24.4 ± 15.0+7.3 ± 12.10.0050.84
Adiponectin7.88 ± 1.188.36 ± 1.217.81 ± 1.227.95 ± 1.24+0.48 ± 0.31+0.14 ± 0.260.0090.76
Table 5. (A) Correlations between biomarker changes and VO2max adaptation. (B) Stepwise multiple regression predicting ΔVO2max.
Table 5. (A) Correlations between biomarker changes and VO2max adaptation. (B) Stepwise multiple regression predicting ΔVO2max.
(A)
Variablerp
ΔApelin0.320.044
ΔIrisin0.360.022
ΔBDNF0.290.067
ΔMyostatin−0.550.007
ΔFGF210.210.191
ΔAdiponectin0.180.264
(B)
PredictorβSEStandardized βtp
ΔMyostatin−1.210.29−0.52−4.17<0.001
ΔApelin1.480.680.272.180.036
Table 6. Group differences with FDR correction.
Table 6. Group differences with FDR correction.
Variablep-ValueFDR-Adjusted p-Value
Myostatin0.0010.006
Irisin0.0040.008
BDNF0.0030.008
FGF210.0050.008
Apelin0.0060.008
Adiponectin0.0090.011
VO2max0.0010.006
Disclaimer/Publisher’s Note: The statements, opinions and data contained in all publications are solely those of the individual author(s) and contributor(s) and not of MDPI and/or the editor(s). MDPI and/or the editor(s) disclaim responsibility for any injury to people or property resulting from any ideas, methods, instructions or products referred to in the content.

Share and Cite

MDPI and ACS Style

Bozyilan, E.; Dundar, A. Myostatin Reduction Within the Myokine–Adipokine Network Predicts Aerobic Adaptation After High-Intensity Interval Training in Combat Athletes. Appl. Sci. 2026, 16, 3161. https://doi.org/10.3390/app16073161

AMA Style

Bozyilan E, Dundar A. Myostatin Reduction Within the Myokine–Adipokine Network Predicts Aerobic Adaptation After High-Intensity Interval Training in Combat Athletes. Applied Sciences. 2026; 16(7):3161. https://doi.org/10.3390/app16073161

Chicago/Turabian Style

Bozyilan, Eren, and Aykut Dundar. 2026. "Myostatin Reduction Within the Myokine–Adipokine Network Predicts Aerobic Adaptation After High-Intensity Interval Training in Combat Athletes" Applied Sciences 16, no. 7: 3161. https://doi.org/10.3390/app16073161

APA Style

Bozyilan, E., & Dundar, A. (2026). Myostatin Reduction Within the Myokine–Adipokine Network Predicts Aerobic Adaptation After High-Intensity Interval Training in Combat Athletes. Applied Sciences, 16(7), 3161. https://doi.org/10.3390/app16073161

Note that from the first issue of 2016, this journal uses article numbers instead of page numbers. See further details here.

Article Metrics

Article metric data becomes available approximately 24 hours after publication online.
Back to TopTop