Next Article in Journal
Digital Twin and Integrated Sensing and Communication Applications in Internet of Things: Enabling Communication Technologies, Taxonomy, Implications, and Open Issues
Previous Article in Journal
Integrating Remote Sensing Indices and Ensemble Machine Learning Model with Independent HEC-RAS 2D Model for Enhanced Flood Prediction and Risk Assessment in the Ottawa River Watershed
 
 
Font Type:
Arial Georgia Verdana
Font Size:
Aa Aa Aa
Line Spacing:
Column Width:
Background:
This is an early access version, the complete PDF, HTML, and XML versions will be available soon.
Article

On the Selection of Transmitted Views for Decoder-Side Depth Estimation

Institute of Multimedia Telecommunications, Poznan University of Technology, 60-965 Poznań, Poland
*
Author to whom correspondence should be addressed.
Appl. Sci. 2026, 16(1), 72; https://doi.org/10.3390/app16010072 (registering DOI)
Submission received: 21 November 2025 / Revised: 12 December 2025 / Accepted: 19 December 2025 / Published: 20 December 2025
(This article belongs to the Section Electrical, Electronics and Communications Engineering)

Abstract

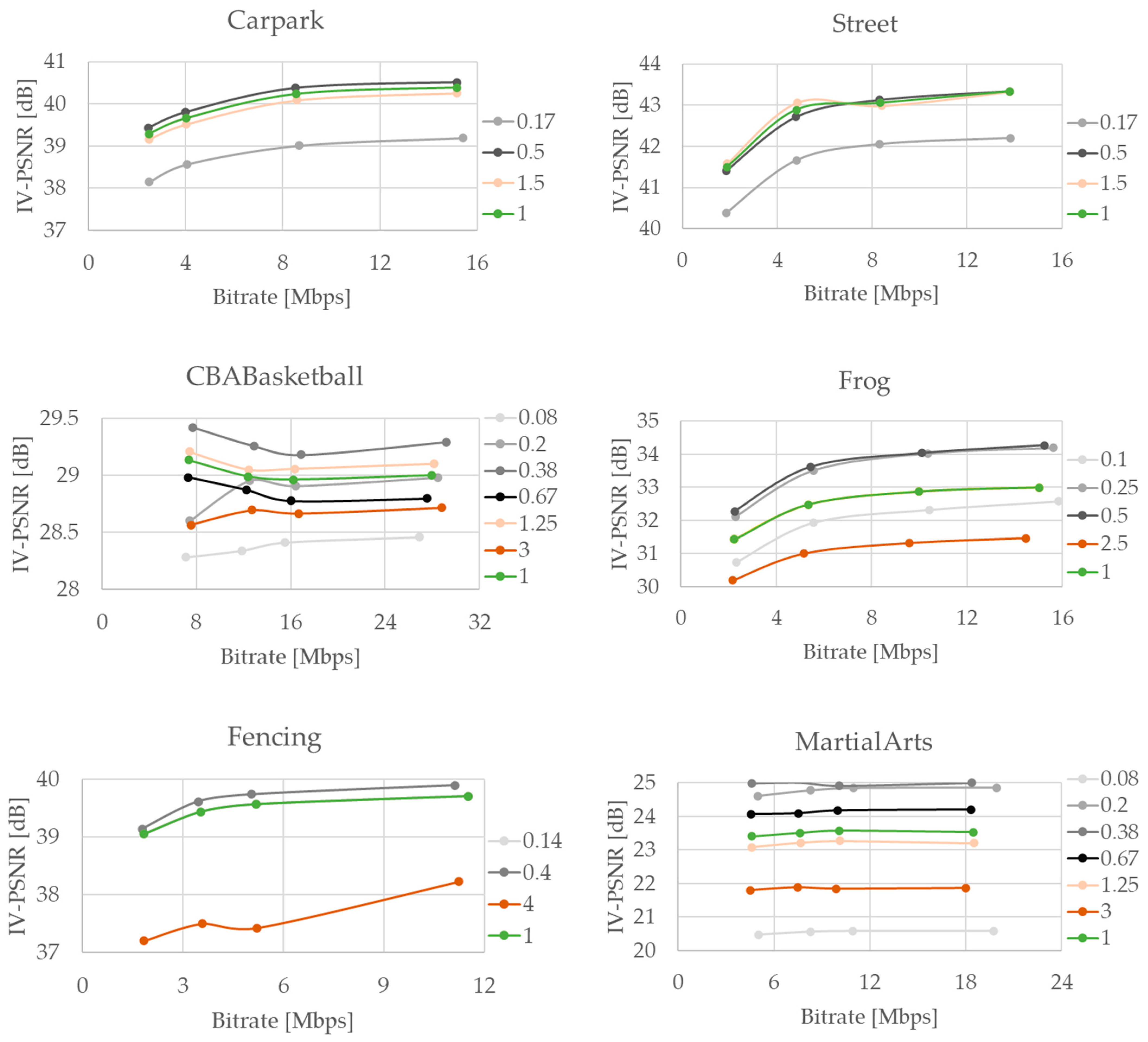
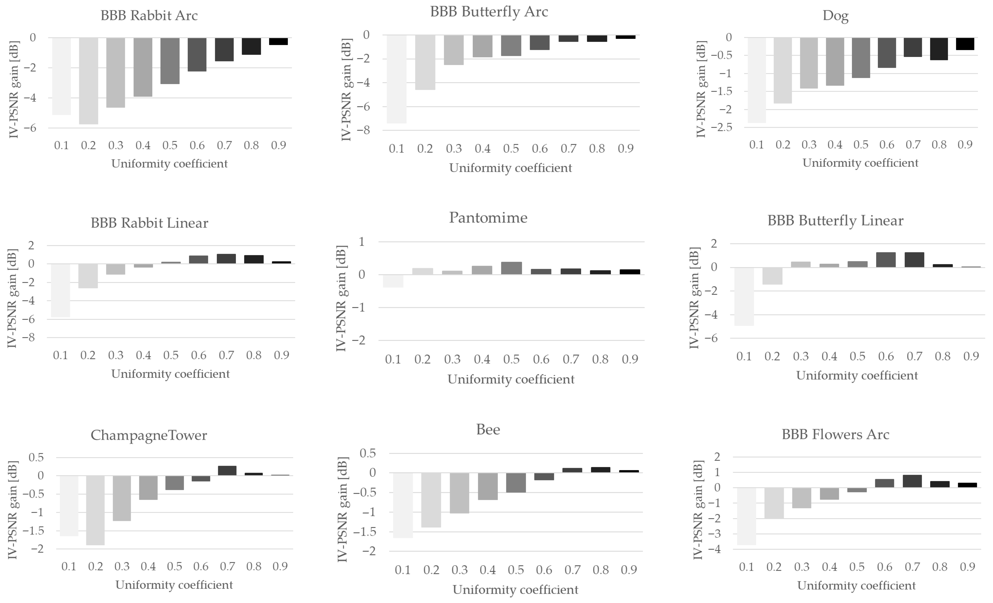
The selection of optimal views for transmission is critical for the coding efficiency of the MPEG Immersive Video (MIV) profile of Decoder-Side Depth Estimation (DSDE). Standard approaches, which favor a uniform camera distribution, often fail in scenes with complex geometry, leading to decreased quality of depth estimation, and thus, reduced quality of virtual views presented to a viewer. This paper proposes an adaptive view selection method that analyzes the scene’s percentage of occluded regions. Based on this analysis, the encoder dynamically selects a transmission strategy: for scenes with a low occlusion ratio (smaller than 10%), a uniform layout is maintained to maximize spatial coverage; for scenes with a high occlusion ratio, the system switches to grouping cameras into stereo pairs, which are more robust for decreasing numbers of occlusions. Experiments conducted using the TMIV reference software demonstrated that this approach yields measurable quality gains (up to 2 dB BD-IVPSNR) for complex test sequences, such as MartialArts and Frog, without requiring any modifications to the decoder.
Keywords: immersive video; decoder-side depth estimation; video compression; depth maps immersive video; decoder-side depth estimation; video compression; depth maps

Share and Cite

MDPI and ACS Style

Klóska, D.; Dziembowski, A.; Grzelka, A.; Mieloch, D. On the Selection of Transmitted Views for Decoder-Side Depth Estimation. Appl. Sci. 2026, 16, 72. https://doi.org/10.3390/app16010072

AMA Style

Klóska D, Dziembowski A, Grzelka A, Mieloch D. On the Selection of Transmitted Views for Decoder-Side Depth Estimation. Applied Sciences. 2026; 16(1):72. https://doi.org/10.3390/app16010072

Chicago/Turabian Style

Klóska, Dominika, Adrian Dziembowski, Adam Grzelka, and Dawid Mieloch. 2026. "On the Selection of Transmitted Views for Decoder-Side Depth Estimation" Applied Sciences 16, no. 1: 72. https://doi.org/10.3390/app16010072

APA Style

Klóska, D., Dziembowski, A., Grzelka, A., & Mieloch, D. (2026). On the Selection of Transmitted Views for Decoder-Side Depth Estimation. Applied Sciences, 16(1), 72. https://doi.org/10.3390/app16010072

Note that from the first issue of 2016, this journal uses article numbers instead of page numbers. See further details here.

Article Metrics

Back to TopTop