Next Article in Journal
Evaluation of Rural Visual Landscape Quality Based on Multi-Source Affective Computing
Previous Article in Journal
A Shadow Detection Method Combining Topography and Spectra for Remote Sensing Images in Mountainous Environments
 
 
Font Type:
Arial Georgia Verdana
Font Size:
Aa Aa Aa
Line Spacing:
Column Width:
Background:
Article

Study on Early Warning Methods for Shipping Input Risks Under Consideration of Public Health Events

China Institute of FTZ Supply Chain, Shanghai Maritime University, Shanghai 201306, China
*
Author to whom correspondence should be addressed.
These authors contributed equally to this work.
Appl. Sci. 2025, 15(9), 4901; https://doi.org/10.3390/app15094901
Submission received: 11 March 2025 / Revised: 20 April 2025 / Accepted: 26 April 2025 / Published: 28 April 2025
(This article belongs to the Section Marine Science and Engineering)

Abstract

The rapid expansion of economic globalization and trade has led to a sharp increase in the shipping investment risks currently faced by cities around the world. This study aims to explore the risk warning mechanism of shipping input under public health events to establish an effective risk warning method. This would enable the rapid identification of potential risk inputs and the implementation of targeted prevention and control measures to ensure public health and safety. This study investigates the mechanisms of both intra-regional and cross-border risk transmission within shipping networks. It establishes a transmission dynamics model (termed the SEIR-SEI model) incorporating climatic, economic, and health factors to analyze the potential inherent risks of regional shipping nodes. It uses the TOPSIS (Technique for Order Preference by Similarity to Ideal Solution) model, modified by the entropy weight method, to calculate the importance of nodes in the shipping network. This comprehensive approach considers the network’s clustering coefficient, betweenness centrality, closeness centrality, degree centrality, and eigenvector centrality. To validate the practicality of the model, this study selects shipping data with Shanghai, China, as the destination node to conduct simulation computations of different risk propagation chains. The findings demonstrate that overall risk transmission is determined by the joint influence of a node’s inherent risks and propagation probabilities. This study not only clarifies the process of cross-border transmission of public health events through the shipping network between cities of different countries, but also provides insights for the application of shipping input risk assessment systems, enriching the academic research on logistics network propagation.

1. Introduction

Shipping is the primary carrier of international logistics, with maritime transport accounting for more than 80% of global trade, strongly supporting the formation of the “world factory” and making economic globalization possible. In this context, effectively managing port and aviation activities has become key to enhancing efficiency, reducing costs, and increasing profitability in the port and shipping logistics industry.
However, public health events such as the spread of pandemics have not only brought unprecedented challenges to the global shipping industry, but also had a profound impact on the operation and development of cities. As centers of global economic, cultural, and social activities, cities heavily rely on the shipping system for their daily operations. The outbreak of public health events often leads to a significant reduction in shipping efficiency or even disruption, highlighting the instability and vulnerability of the shipping network. There has been widespread attention on how to establish effective cross-border risk warning systems within the shipping network, and improve the accuracy and relevance of risk assessments in the shipping industry.
Current research on risk propagation in networks remains a key focus. From a methodological perspective, existing studies are predominantly conducted on idealized networks with distinct structural features, exploring risk transmission mechanisms through network attributes. This study advances the field by investigating risk propagation across interconnected shipping networks, explicitly quantifying their coupling characteristics to strengthen practical applicability.
To address research gaps, this study develops a global air–maritime coupled network risk propagation model by integrating complex network theory with the improved SEIR-SEI model. The significance of this study lies in the following: (1) identifying limitations of dynamic propagation models in maritime networks and proposing an enhanced SEIR-SEI framework incorporating multiple influencing factors and transmission dynamics; (2) establishing a novel risk propagation model for globally interconnected air–sea transportation systems through complex network coupling, enabling systematic investigation of cross-modal risk transmission processes; (3) conducting empirical analyses on maritime networks across selected nations to reveal risk propagation patterns through dual perspectives of nodal inherent risks and transmission probabilities, demonstrating substantial practical implications; and (4) developing an integrated risk warning methodology that synthesizes intra-regional and cross-regional transmission mechanisms, providing a scientific foundation for constructing comprehensive risk prevention systems.

2. Literature Review

International trade, transportation, and regional economic development are inherently interconnected. A strong bidirectional relationship exists between international trade and transportation systems. Nguyen and Tongzon [1] employed a vector autoregression (VAR) model to investigate the causal relationship between trade and the development of Australia’s transportation and logistics sector, whose primary markets include China, Japan, and the United States. Their findings revealed mutual reinforcement: trade drives transportation growth, and vice versa. This conclusion is corroborated by Chaisumpunsakul and Pholphirul [2], who posit that trade fosters international integration and stimulates investments in transportation infrastructure, language proficiency, and technology—all critical enablers of transportation advancement. Alamá-Sabater et al. [3] further validated this linkage, demonstrating that interregional trade across Spanish provinces benefits significantly from transportation networks.
Thus, advanced transportation systems serve as prerequisites for efficient resource allocation, specialized division of labor, and sustainable spatial organization of economic activities. Extensive empirical studies have examined transportation’s pivotal role in urban emergence, demographic shifts, and regional economic dynamics. For instance, Bosker and Buringh [4] analyzed the spatial distribution of European cities over a millennium (800–1800 CE), concluding that proximity to navigable waterways or land routes fundamentally shaped urban development. Notably, most high-density, prosperous urban areas in modern Europe remain aligned with ancient Roman road networks [5].
However, public health emergencies pose severe disruptions to transportation systems, escalating operational costs and triggering supply chain fractures, which inflict substantial economic losses on trade-dependent cities [6]. To mitigate these impacts, this study focuses on risk propagation within global shipping networks—a critical transportation modality—to optimize resilience against public health crises.
In recent decades, scholars have conducted extensive research on the rules of risk propagation within networks. Li et al. [7] examined the risk of delay propagation of container ships in shipping networks. They proposed an effective method for constructing a causal network for container ship delay propagation risks based on efficient multivariate transfer clipping. Additionally, many risk propagation studies have adopted epidemic models; Wang et al. [8] considered the transfer of recurrent risks based on infectious disease models. By calculating risk equilibrium points, they concluded that risks could persist in supply chains over the long term. Moreover, Guo et al. [9] developed a new fuzzy dynamic Bayesian network method to improve the accuracy of dynamic risk assessment and propagation. Li et al. [10] innovatively introduced SoV (a method that starts from the causes of errors, considers the transmission and accumulation effects of errors in different processes, and uses mathematical analysis to describe this effect) into the study of quality risk propagation in the collaborative manufacturing supply chain network of complex products, proposing a method to identify key quality risk factors in supply chain networks based on the risk propagation effect. In multimodal transport networks, it is also necessary to explore the laws of risk propagation to mitigate cascading failures within the network. He et al. [11] pioneered the integration of cascading failure theory into risk propagation analysis of multimodal transportation networks, aiming to unveil the intrinsic mechanisms of risk transmission. This approach provides a theoretical foundation for enhancing safety management in interconnected transportation systems. Guo et al. [12] focused on multimodal transport networks and proposed a quantitative method based on improved percolation theory to explore the dynamics of risk transmission.
With the rapid development of complexity science, complex network theory has found wide application across various fields. The study of air transportation using complex network theory has also become a research hotspot. Feng et al. [13] validated the use of a proposed causal inference algorithm based on system path isolation to analyze delay propagation in air transportation networks. Zhou et al. [14], from the perspective of Bayesian network modeling, analyze the evolution of various causal and outcome events in different scenarios within the commercial air transport system and construct a resource investment optimization decision model to reduce commercial aviation safety risks. In the study of complex networks, it has been found that a few nodes play the role of “critical nodes”. These nodes have an irreplaceable role in network performance, often determining the structure and function of the network. Zekun et al. [15] proposed a method for identifying critical conflict aircraft based on complex network theory and node deletion methods, which can identify key conflict points in an aircraft state network. Wandelt et al. [16] developed a mixed integer programming model that can fully assess the robustness of individual flights and airports for airlines, providing an approximately optimal solution within an acceptable operational time. Shaw [17] and Malighetti [18] used the shortest path method and the fastest path method, respectively, to measure the connectivity of the air transportation network. Liu et al. [19] and Sun [20] studied the robustness of airline networks by proposing a route optimization algorithm and 12 attack strategies, respectively. Chandra et al. [21] used a novel comprehensive framework for two-dimensional airspace sectorization, which integrates various methods for boundary design to find system-wide flow distribution on the network.
Due to its wide coverage, large transportation capacity, and low cost, maritime transport holds an irreplaceable position in modern cargo transportation. Moreover, with the deepening of globalization, the scale and complexity of the maritime network are continuously increasing. P. Kaluza et al. [22], based on complex network theory, proposed global and regional container shipping networks, with analytical results indicating that these networks exhibit small-world and scale-free characteristics. Viljoen et al. [23] conducted research on the hierarchical structure of maritime networks using complex network theory, revealing that maritime networks maintain an evolving state. Ducruet et al. [24] studied the transportation networks of tankers, containers, and bulk carriers, concluding that small-scale deliberate attacks could significantly impact the integrity of container shipping networks. Guo et al. [25] conducted an in-depth study on the spatial structure and vulnerability of the China–Yokohama–Korea shipping network, asserting that China’s main hub ports have the greatest impact on the stability of the China–Yokohama–Korea network. Mou et al. [26] explored the spatial characteristics of the Maritime Silk Road shipping network, pointing out that the regional competitiveness of the container ship network is the strongest. Zhang et al. [27], based on complex network theory and COLREs (navigational rules such as the collision regulations), constructed a complex network of maritime traffic conditions and proposed a new method to enhance the situational awareness capability of maritime traffic service operators, ultimately improving the performance of maritime traffic services. In addition to improving the transportation efficiency of maritime shipping, preventing the significant risks posed by potential maritime accidents during transportation is also of great significance. Ma et al. [28] developed a directed and weighted complex network of human factors leading to maritime accidents, thereby providing valuable insights for understanding the mechanisms of human factors behind maritime accidents. Deng et al. [29], using China maritime areas and major accident investigation reports as data sources, combined with complex network theory to construct a maritime accident risk network to analyze the network’s robustness, providing maritime managers with possibilities to adopt control measures to avoid accidents. Fan et al. [30] constructed a dynamic maritime accident risk management framework for sea routes, which can dynamically consider the risk performance of maritime trade routes and identify key influencing factors during different time intervals.
Recent years have witnessed concentrated scholarly efforts in investigating risk propagation pathways in single-layer networks, with significant applications and theoretical advancements across disciplines. However, as research deepens, the inherent limitations of single-layer network models in characterizing risk transmission mechanisms have become progressively evident.
This has prompted an academic pivot toward multilayer complex networks, where researchers now systematically explore risk diffusion trajectories and impact magnitudes across interconnected layers [31,32,33]. The emergence of multilayer frameworks stems from empirical realities: most real-world complex systems inherently comprise multiple interdependent subsystems. Multilayer networks formally characterize interconnections between these subsystems or network strata. Unlike conventional single-layer paradigms, multilayer architectures expand analytical dimensions through three critical innovations: (1) explicit modeling of cross-layer interactions and mapping relationships; (2) hierarchical integration of subsystem dynamics; and (3) multiscale representation of complex system behaviors [34]. These structural enhancements enable superior modeling fidelity, particularly in simulating natural system complexities where traditional networks prove inadequate. The multilayer approach demonstrates unparalleled advantages in capturing emergent phenomena and cascading effects across network hierarchies [35].
Current research predominantly focuses on risk propagation in single-modal air or maritime networks, while integrated analyses of multilayer risk transmission across coupled air–sea networks under public health emergencies remain understudied. To address this gap, this study develops a threefold framework: (1) an enhanced SEIR-SEI model integrating climatic, economic, and health factors to quantify inherent nodal risks through intra-regional and cross-border transmission mechanisms; (2) a global air–maritime coupled network model capturing synergistic risk interactions using complex network theory; and (3) an entropy-weighted TOPSIS evaluation system combining network metrics (clustering coefficient, centrality measures) to objectively prioritize critical nodes. Methodologically, entropy weighting [36] eliminates subjective bias in parameter prioritization, while TOPSIS [37] enables optimal trade-offs between conflicting metrics through multi-criteria decision-making. Simulation experiments reveal that risk propagation intensity depends on the combined effects of nodal vulnerability (inherent risks) and connectivity (transmission probabilities), with cross-modal coupling amplifying cascade effects compared to isolated network analyses. The study contributes mechanistic insights into maritime network risk dynamics, advances multilayer network modeling methodologies, and provides implementable tools for preemptive risk identification and resource allocation. Practically, these findings support the targeted hardening of critical transportation nodes and inform the development of dynamic early-warning systems, offering scientific foundations for cross-border emergency coordination in global health crises.

3. Design of Source Country Risk Propagation Model Based on Environmental Factors

3.1. Improved SEIR-SEI Transmission Model

Based on the human–mosquito transmission mechanism of mosquito-borne diseases such as dengue, considering climatic factors affecting mosquito population size, and expressing the mosquito transmission rate in terms of economic and health factors, this paper establishes the improved SEIR-SEI model as follows:
d S H d t = μ H N H β 1 S H N H I M d H S H
d E H d t = β 1 S H N H I M σ 1 E H d H E H
d I H d t = σ 1 E H γ I H d H I H
d R H d t = γ I H d H R H
d S M d t = μ M N M β 2 I H N H S M μ M S M
d E M d t = β 2 I H N H S M σ 2 E M μ M E M
d I M d t = σ 2 E M μ M I M
N M = ( 0.12 X 1 0.12 X 2 0.32 X 3 + 10.03 ) S
β 1 = 0.097 X 4 0.049 X 5 + 0.313
Here, S H denotes the susceptible population, E H denotes the exposed population, I H denotes the infected population, and R H denotes the recovered population. S M , E M , and I M represent the susceptible mosquitoes, exposed mosquitoes, and infected mosquitoes, respectively. β 1 is the transmission rate from infected mosquitoes to the susceptible population, which depends on the biting rate of mosquitoes, the probability of the vector transmitting the virus to the host, and the proportion of vectors to humans in a specific area. σ 1 is the rate of transition from the exposed population to the infected population, and γ is the recovery rate from the infected population to the recovered population. β 2 is the transmission rate from the infected population to the susceptible mosquito population, which depends on the biting rate of mosquitoes and the probability of virus transmission from host to vector, but not on the proportion of vectors to hosts. σ 2 is the rate of transition from the exposed mosquitoes to the infected mosquito population. X 1 represents the average daily temperature, X 2 represents the average daily relative humidity, X 3 represents the average wind speed, S is the area of the region, X 4 represents economic factors, X 5 represents health factors, and N M is the mosquito population size.

3.2. Numerical Simulation

In order to analyze the inherent risks of different shipping nodes, this paper uses Python 2021.3.3 programming to simulate risk propagation within the shipping node areas. Additionally, this study incorporates economic and health indicators through GDP data sourced from the Wind Database and the Global Health Security Index obtained from the website (https://www.ghsindex.org/ accessed on 11 August 2024.). Mosquito surveillance data and climatic parameters are derived from project-specific monitoring datasets, while mosquito-borne transmission rates are calculated based on established literature. All datasets undergo normalization to ensure comparability across heterogeneous variables. Taking the example of Chinese nodes, the parameters in the simulation are set as shown in Table 1:
After conducting the simulation based on the above settings and the collected data, this section provides the results for the susceptible, latent, infected, and recovered populations within the nodes. The change in the number of recovered individuals over time and the comparison of the number of infected individuals with the number of infected mosquitoes over time are also examined.
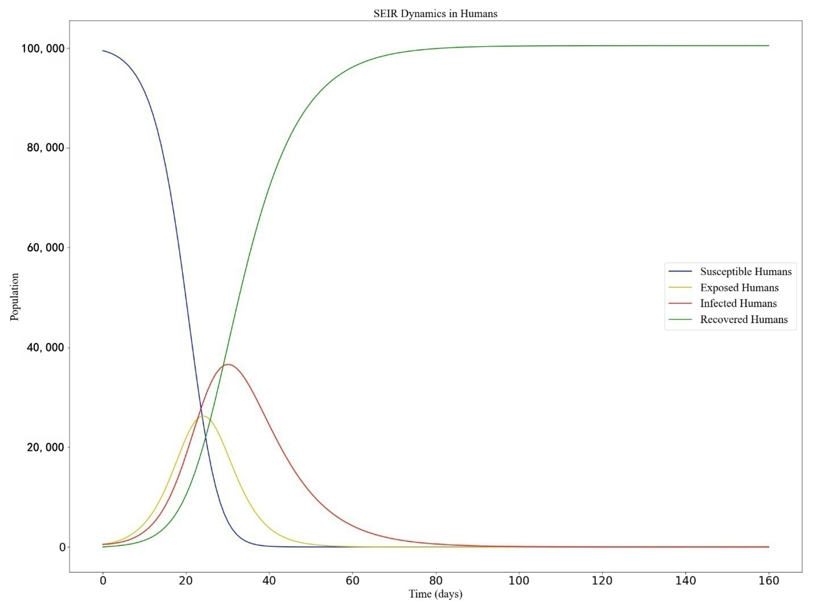
Firstly, Figure 1 below shows the change in the number of susceptible, exposed, infected, and recovered individuals in the population over time. It can be seen that the number of infected people increases initially, reaches a peak at around 30 days, and then begins to decline. This is consistent with typical trends.
The S, E, I, and R curves represent the proportion of the population in the network in susceptible, exposed, infected, and recovered states at each time step during the simulation. In the figure above, the nodes in the S state show a decreasing trend because most of the susceptible population at the start will be infected or exposed after being bitten by infected mosquitoes until there are no infected nodes in the network, at which point the transmission stops. The curves for the E and I states both show a trend of rising first and then falling, and the curve for the E state reaches its peak before the I state curve. This is because there is a time lag from exposure to infection. The infected population will continue to spread after being bitten by mosquitoes, and the exposed and infected nodes eventually recover and are removed. Therefore, the R state curve shows a gradually rising trend and eventually levels off.
Figure 2 shows the comparison of the number of infected people and the number of infected mosquitoes over time. Although the trends of both are roughly similar, the number of infected mosquitoes remains higher throughout the simulation. The simulation results also show a lag between the infected population and the infected mosquitoes, which is also consistent with the transmission mechanism, meaning that an infected person needs to be bitten by mosquitoes to trigger an infection. This also illustrates the important role of vector mosquitoes in the transmission of mosquito-borne diseases like dengue.
Figure 3, Figure 4, Figure 5, Figure 6, Figure 7 and Figure 8, respectively, display the relationships over time between the susceptible population and the infected population, the latent population and the infected population, the susceptible mosquito population and the infected mosquito population, and the latent mosquito population and the infected mosquito population. From these, it can be observed that over time, the number of susceptible individuals decreases, while the number of infected individuals increases, reaching a peak before starting to decline, and the number of latent individuals gradually decreases over time. The number of susceptible and latent mosquitoes decreases over time, while the number of infected mosquitoes increases.
Different initial infection rates were set to explore the earliest stabilization time for the system, i.e., the time by which all have finally reached a recovery state. Initial infection rates were set at 1%, 2%, …, and 10% to simulate the system’s earliest stabilization time under different initial infection rates. The results, shown in Figure 9 below, indicate that even with different initial infection rates, the system stabilizes at around 70 days, meaning the entire population within the system recovers.
The number of dengue cases obtained through simulations can be used to assess the inherent risk of shipping nodes. Meanwhile, in the construction of regional transmission models, the impacts of local climatic, economic, and health factors are considered, allowing for a more accurate measurement of the intra-regional risks at shipping nodes.

4. Cross-Border Risk Transmission Model in the Global Shipping Network

4.1. Construction of a Coupled Global Air and Sea Transport Network

4.1.1. Mechanism Analysis

Against the backdrop of increasing global population mobility and the development of maritime trade, public health events can be transmitted through freight and passenger transport between cities of different countries. In this process, passenger and freight activities, as well as the importance of each node within the network, play significant roles in cross-border risk transmission. Risk transmission stems mainly from the node’s own risk and the risk propagated through cross-border networks. Denote node importance by α , passenger transport by x , freight by y , and node importance probability by g ( α ) . The own risk of a passenger transport node can thus be expressed as g ( α ) x , and the own risk of a freight node as g ( α ) y . ω represents edge weight. Assume the transmission path is as shown in Figure 10 below:
Thus, the own risks of nodes 1-N are expressed as g α x 1 , g α x 2 , g α x 3 , , g α x N and g α y 1 , g α y 2 , g α y 3 , , g α y N .
Therefore, the passenger transport risk for nodes can be expressed as follows:
g α 1 x 1 ω F 1 + g α 2 x 2 ω F 2 + + g α N x N ω F N = i = 1 N g α i x i ω F i
The freight risk for nodes can be expressed as follows:
g α 1 y 1 ω S 1 + g α 2 y 2 ω S 2 + + g α N y N ω S N = i = 1 N g α i y i ω S i
Let f be the total risk, thus
f = f α , x , y ω = f α 1 , x 1 , y 1 + f α 2 , x 2 , y 2 ω 1 + + f α N , x N , y N ω N = i = 1 N f α i , x i , y i ω i = i = 1 N g α i x i ω F i + i = 1 N g α i y i ω S i
By coupling the air transport network layer and the maritime network layer, the above network node risk propagation model is established to explore transboundary risk propagation under the shipping network.

4.1.2. Airline Network

Global flight data primarily come from customs statistics, which include information about the origin airport and the number of flights for each flight segment. The original data table contains a total of 3318 different airport points. Since multiple airports exist within the same country, we considered the city with the highest frequency of passenger flow to represent each country and region as a node, resulting in 241 city nodes. The number of flights was used as the weight of the edges to connect the nodes and construct the international flight network.
Through the method of network analysis, the international flight network can be thoroughly analyzed. Node degree centrality can be used to measure the influence of nodes within the network; betweenness centrality can be used to analyze nodes’ bridging roles within the network; and network clustering can help us understand the groups and community structures within the international flight network.
In the complex international flight network constructed in this paper, there are a total of 241 nodes, of which 28 have a node degree of over 100. Among them, five nodes have a degree surpassing 200. The node representing Marseille has the highest degree at 236. The average degree < k > of this network is 46.62, indicating that the international flight network is densely connected among nodes, and from an overall perspective, the network is relatively dense. The degree of the node representing Shanghai is as high as 166, significantly higher than the network’s average degree, meaning Shanghai has more flights connecting it with other nodes.
According to calculations, the average clustering coefficient of the international flight complex network constructed in this paper is 0.60, which is relatively high, indicating that the network exhibits a clustered state. The clustering coefficient for the node representing Shanghai is 0.33, suggesting that although the connections between the Shanghai node and other nodes in the network are very dense, the clustering among its neighboring nodes is relatively low.
The closeness centrality of the node representing Shanghai is 0.29, which is greater than the entire international flight network’s average closeness centrality of 0.22, making it one of the nodes with shorter average distances to other nodes and higher communication efficiency in this network.
The following Figure 11 illustrates the interconnections between city nodes across different national aviation networks, visualized using SCImago Graphica Beta 1.0.49 software:

4.1.3. Shipping Network

The shipping network data used in this paper are sourced from a third-party data provider, retrieving global vessel berthing data from January to June 2023. The raw data consist of a total of 3,279,155 records. By arranging the vessel data in chronological order, we obtained route information. Since this study examines cross-border risk propagation on a global scale, and each country contains multiple port routes, the city with the highest port throughput in each country is used to represent the trade relations between different countries. The number of voyages is then counted, resulting in a total of 6774 merged voyage data entries. Based on this, a global freight network is constructed with cities as nodes, international shipping routes between cities of different countries as edges, and the number of voyages as the edge weight.
This paper processes the collected global maritime data using Python, with the importing and exporting countries and regions in the raw data as nodes and the freight value between each node as edges, constructing a global maritime complex network comprising a total of 241 nodes.
In the constructed global maritime network, 33 nodes have a node degree of 100 or more, with 22 nodes having a degree of 200 or above. The node representing Sao Paulo has a degree of 270, making it the highest-degree node in the network. Calculations show that the average network degree < k > of the global maritime network is 54.64, indicating dense connections between nodes, and overall, the network exhibits a relatively dense state. The node representing Shanghai has a degree of 41, slightly below the average network degree, but still ranks among the top 17.8% of all nodes in terms of node degree, indicating relatively dense connections with other nodes.
The average clustering coefficient of the maritime network constructed in this paper reached 0.77, indicating a high degree of clustering among network nodes, forming a complex network with nodes closely connected to each other, consistent with the conclusion reflected by the average node degree of the network. The clustering coefficient of Shanghai’s node is 0.79, higher than the average clustering coefficient of the maritime network, which indirectly reflects that the nodes connected to Shanghai are relatively “active”, with a higher probability of being connected to other neighboring nodes.
In the maritime network constructed in this paper, the closeness centrality of Shanghai’s node is 0.012, second only to the New York node’s 0.247. This indicates that the distance between Shanghai’s node and other nodes in the network is relatively short, facilitating quicker information dissemination.
The following Figure 12 illustrates the interconnections between city nodes in maritime networks across different countries, generated using SCImago Graphica Beta 1.0.49 software:

4.2. Cross-Border Risk Propagation Model of Shipping Nodes

From the complex shipping network constructed above, it can be observed that the nodes in the network not only spread risks to other nodes through aviation but also carry risk propagation factors into the country when engaging in trade activities with other nodes via maritime cargo transport. Moreover, the likelihood of different cargo categories carrying propagation factors varies. Therefore, this paper will construct a model of the coupling importance of shipping network nodes based on the differences in transportation methods and delivered items. In calculating the risk value of routes, weights are assigned to each node; as follows is the model of inter-coupling importance of shipping network nodes:
Let ω represent the contribution of the layer network, indicating the proportion of this layer network in the entire network, and q represent the importance of nodes within the layer network, indicating the degree of importance of the nodes in the flight and maritime networks. Let ω 1 i be the contribution of the flight layer, ω 2 j be the contribution of the maritime layer, hence the contribution of the flight passenger transport layer is ω 11 , the contribution of the flight cargo transport layer is ω 12 , the contribution of the maritime passenger transport layer is ω 21 , the contribution of the maritime cold chain cargo transport layer is ω 22 , the contribution of the maritime bulk cargo layer is ω 23 , and the contribution of the maritime other cargo layer is ω 24 . The corresponding node importance q n for each layer is denoted as q 11 n , q 12 n , q 21 n , q 22 n , q 23 n , q 24 n , where n represents the sequence number of nodes in that layer network. Normalizing the node importance data is denoted as q 11 n ¯ , q 12 n ¯ , q 21 n ¯ , q 22 n ¯ , q 23 n ¯ , q 24 n ¯ ,
q n ¯ = q n m i n ( q ) max q m i n ( q )
Thus, the importance of node mutual coupling can be expressed as follows:
i j n ( ω 1 i × q 1 i n ¯ + ω 2 j × q 2 j n ¯ ) , i = 1,2 , j = 1,2 , 3,4 , n = 1,2 , , 241

5. Shipping Network Node Ranking Based on Node Importance

Considering the availability of actual data, this paper collects data from the aviation passenger layer and maritime bulk cargo layer for calculations.
Node importance metrics can help determine the importance of nodes within the entire network. Using clustering coefficient, betweenness centrality, closeness centrality, degree centrality, and eigenvector centrality as metrics for evaluating node importance, we rank the importance of shipping network nodes based on the TOPSIS model modified by a weight extraction method. The main steps are as follows:
Step 1: Based on the metric data a i j ( i = 1,2 , , m ; j = 1,2 , , n ) , where i is the number of evaluation targets and j is the number of metrics, establish the original evaluation metric system matrix A m n :
A m n = a 11 a 1 n a m 1 a m n
Check whether there are negative numbers in the input matrix. If negative numbers are present, standardize them to a non-negative range, and denote the standardized matrix as Z ~ i j . The calculation formula is as follows:
Z ~ i j = a i j 1 n a i j 2
Step 2: Calculate the information entropy of each index and compute the information utility value. Normalize the results to obtain the weight for each index. The formula for calculating information entropy is as follows:
e j = ( L n ( m ) ) 1 j = 1 m P i j l n ( P i j )
Step 3: Compute the weight W j based on the information extracted from each index to construct a weighted normalized matrix R m n .
W j = 1 e j n j = 1 n e j , R m n = { r i j } m × n = W j × Z ~ i j
Step 4: Calculate the maximum value X + and the minimum value X , where X + is the maximum value for each evaluation index, and X is the minimum value for each evaluation index.
X + = r 1 + , r 2 + , , r n + = ( max r 11 , r 21 , , r n 1 , max r 12 , r 22 , , r n 2 , , max r 1 m , r 2 m , , r n m )
X = r 1 , r 2 , , r n = ( min r 11 , r 21 , , r n 1 , min r 12 , r 22 , , r n 2 , , min r 1 m , r 2 m , , r n m )
Step 5: Calculate the closeness S i of each node to the maximum and minimum values, where 0 < S i < 1 . Each node is sorted according to the magnitude of the closeness value, with a larger value indicating that the node is more important.
D i + = j = 1 n ( r i j r j + ) 2 , D i = j = 1 n ( r i j r j ) 2 ,   S i = D i D i + D i +
Step 6: Calculate contribution ω .
Step 7: Calculate node mutual coupling importance.
i j n ( ω 1 i q 1 i n ¯ + ω 2 j q 2 j n ¯ ) , i = 1,2 , j = 1,2 , 3,4 , n = 1,2 , , 241
Based on the above steps 1–5, calculate the importance of nodes in the aviation and maritime networks. Then, according to steps 6–7, calculate the node mutual coupling importance in the global aviation and maritime mutual coupling network.
The importance indicators of some nodes and the results of node importance are shown in Table 2, Table 3, Table 4, Table 5 and Table 6 below:
Similar to the air freight network, highly important country nodes in the maritime network, such as Hamburg, Istanbul, and Barcelona, also have a high degree of centrality and eigenvector centrality. This indicates that these cities are likely involved in international trade activities with most cities in the network via maritime transport, which also means that public health events are more likely to spread through these country nodes in the maritime network.
By combining the contribution of layer networks with the importance of nodes in layer networks, the importance of node coupling was calculated, as shown in the table above. In the aviation and maritime coupling network constructed in this article, the importance of node coupling in New York, London, and Hamburg ranks first, second, and third, respectively. In terms of network importance indicators, cities with high node coupling importance have a higher degree of centrality and eigenvector centrality in various layer networks. These cities engage in more trade activities with others through aviation and maritime routes, making public health events more likely to spread across the entire network through these highly coupling-important nodes, thus impacting the stability of the entire network. Therefore, in risk assessment, greater attention often needs to be given to these cities.

6. Simulation and Result Analysis

By selecting different transmission chains to simulate the risk propagation process, this study aims to control the final transmission risk from factors like transmission length. The article selects different nodes as risk starting points based on existing shipping data, with the endpoint consistently set as the Shanghai node. Simulations are carried out with an equal number of transmission chains but involving different nodes. Additionally, for the same starting point, different risk transmission chains are compared. The selected risk transmission chains and results are shown in Table 7 below:
From the above results, it can be seen that with the same initial spread point and the same number of spread nodes, spreading through different nodes ultimately leads to different risks. This is specifically determined by the combination of the nodes’ own risks and the spreading probability. Taking the New York as an initial node example, the risk situation of three propagation chains is illustrated in Figure 13:
The final risk values in the figure are 0.0593, 0.0211, 0.0292. In the first chart, the nodes through which the transmission passes have low individual risk, but due to the tight connections within the shipping network between nodes, the probability of transmission is high, resulting in a higher final risk. Compared to the first chart, the second chart has nodes with higher individual risk, but due to a lower network transmission probability, the risk value is lower. Compared to the first chart, the third chart has a lower transmission probability for initial nodes, so even though subsequent nodes have a high transmission probability, the resulting value is still lower. This indicates that the overall risk value is not only related to individual node risk but also to the transmission probability of nodes it passes through; both factors together determine the complex process of risk transmission.
Figure 14 shows the relationship between the average individual risk, average transmission probability, and final risk of the aforementioned transmission chains. The results demonstrate a positive correlation between final risk and both average individual risk and average transmission probability. This indicates that an increase in individual risk and transmission probability will lead to an increase in final risk. Individual risk is related to the node’s importance in the network, as well as climatic, economic, and health-related factors. It may become the starting point of risk transmission or a node in the transmission process, causing risk to spread to surrounding areas. Therefore, when the individual risk of a node increases, the final risk also increases. The transmission probability measures the closeness of connections in the shipping network. If a node has a high transmission probability, it can more easily connect with other nodes and spread risk. Consequently, when the transmission probability between nodes increases, the final risk also increases, both jointly determining the complex situation of public health events spreading in the shipping network.
According to the ranking results of node mutual coupling importance, nodes ranked in the top 5%, 20–25%, 40–45%, 60–65%, and 80–85% are used as initial infection nodes. The simulation is run 100 times, and the average value is taken as the final number of infected nodes. The results are shown in Figure 15:
According to the results, when the initial infection nodes are in the top 5%, the 20–25%, the 40–45%, the 60–65%, and the 80–85% of nodes, the numbers of infected nodes are 36, 32, 27, 16, and 13, respectively. It is evident that as the coupling importance of nodes decreases, the number of infected nodes shows a declining trend, meaning that the number of infected nodes is positively correlated with the coupling importance of the nodes. This also indicates the rationality of considering node coupling importance as a measure of the risk of the nodes within a network. Fan et al. [39] analyzed nodal risks in power communication networks from perspectives of network structure and power services, quantifying the impact of node failures on network performance through nodal importance metrics. Meanwhile, Huang et al. [40] revealed risk coupling evolution patterns via network topology indicators and identified critical risk factor nodes using network efficiency measurement methods. These studies collectively demonstrate that coupling relationships between nodes significantly influence network risks in complex systems, thereby substantiating the validity of nodal coupling importance as a metric for evaluating inherent node vulnerability.

7. Conclusions

This paper considers the mechanisms of risk transmission and early warning models within shipping node areas and the cross-border risk transmission models and early warning research under shipping networks, focusing on China’s maritime import risk warning methods and response mechanisms in the context of public health events.
By studying the mechanisms of risk transmission and early warning models within shipping node areas, we analyze the self-risk of each node. First, we examine the transmission mechanisms of mosquito-borne infectious diseases and analyze their influencing factors. Then, based on these influencing factors and transmission dynamics, we construct an improved SEIR-SEI model. The basic accuracy of the model is verified through mean-field analysis. The derived infection threshold confirms that the infection vector factor is not zero, meaning a vector is required for transmission, aligning with actual conditions. Finally, the approach uses simulation to determine the number of infections within the area, which is utilized to analyze the transmission risk within the region.
In the research on cross-border risk propagation models and early warning under shipping networks, the mechanism of cross-border risk propagation under shipping networks is first analyzed, explaining the process of cross-border propagation of public health events through passenger and freight transport. Then, a globally interconnected network of aviation and maritime shipping is constructed based on complex networks, and its network structure and attribute characteristics are analyzed. A global freight and passenger inter-coupled network node propagation risk model is developed, taking into comprehensive consideration the network’s clustering coefficient, betweenness centrality, closeness centrality, degree centrality, and eigenvector centrality. Finally, the cross-border risk propagation under the shipping network is analyzed through simulation. From the simulation results, it can be concluded that, firstly, selecting nodes with the same quantity but different node inter-coupling importance as the initial infection points shows that the number of infected nodes in the final network is positively correlated with the importance of nodes, verifying the rationality of using node inter-coupling importance as a measure of risk propagation. Secondly, by choosing different nodes as the starting point of risk and setting the endpoint as a Chinese node, with simulations through an equal number of, but different, nodes in the propagation chain, it is found that although the same number of nodes is passed, due to the different inherent risks of the nodes and the different probabilities of propagation between the nodes, the final risk presents differently. This verifies the rationale and importance of considering both internal regional risk propagation and cross-border risk propagation when studying overall input risks.
Thus, it provides multi-dimensional policy recommendations for establishing a sound input risk early warning mechanism, such as establishing a real-time tracking system based on border monitoring data and constructing a cross-border risk assessment model. This, in turn, helps to enhance the emergency response capabilities of the state and localities, minimize the risk of epidemic spread to the greatest extent possible, provide a scientific basis for national prevention and control strategies, and promote international cooperation and information sharing to jointly address the challenges brought about by public health incidents.

8. Future Research Directions

Although this paper studies the risk propagation processes and evolutionary mechanisms in shipping networks under public health emergencies, the research still has certain limitations. (1) It does not consider the impact of adaptive changes in the network during risk propagation on the results. Specifically, the reconnection of broken edges is an important factor to consider in risk propagation within complex networks [41], and incorporating this consideration will further enrich the knowledge system. (2) The paper does not discuss the risk propagation situations of each node and their interactions. (3) The risk assessment and early-warning models constructed here only consider mosquito-borne infectious diseases in public emergencies, so expanding the research scope to address other types of risks is also crucial. (4) Due to data availability, the study only selects the air passenger transport layer and maritime bulk cargo layer for researching input risk models in air and maritime transport.
Future research can be conducted in the following areas. First, it can further optimize risk assessment and early-warning models. Additionally, attempts can be made to consider the relationships between risks in each link of the shipping network to conduct a more in-depth analysis and deepen the understanding of risk propagation. Furthermore, subsequent studies can continue to incorporate air cargo, maritime passenger transport, cold-chain cargo, etc., to establish a more comprehensive coupled network model for air and maritime transport.

Author Contributions

Conceptualization, Z.M., J.W. and D.P.; methodology, Z.M., X.Z., J.W. and D.P.; software, X.Z. and J.W.; validation, Z.M., X.Z. and J.W.; formal analysis, Z.M., J.W. and D.P.; investigation, X.Z.; resources, Z.M.; data curation, X.Z. and J.W.; writing—original draft preparation, Z.M., X.Z., J.W. and D.P.; writing—review and editing, Z.M., X.Z., J.W. and D.P.; visualization, J.W.; supervision, Z.M. and D.P.; project administration, Z.M. and D.P.; funding acquisition, Z.M. All authors have read and agreed to the published version of the manuscript.

Funding

National Key Research and Development Program of China (2022YFC2302800).

Institutional Review Board Statement

Not applicable.

Informed Consent Statement

Not applicable.

Data Availability Statement

The data that support the findings of this study are available from the corresponding author upon reasonable request.

Conflicts of Interest

The authors declare no conflict of interest.

References

  1. Nguyen, H.O.; Tongzon, J. Causal nexus between the transport and logisticssector and trade: The case of Australia. Transp. Policy 2010, 17, 135–146. [Google Scholar] [CrossRef]
  2. Chaisumpunsakul, W.; Pholphirul, P. Does international trade promote international tourism demand? Evidence from Thailand’s trading partners. Kasetsart J. Soc. Sci. 2018, 39, 393–400. [Google Scholar] [CrossRef]
  3. Alamá-Sabater, L.; Márquez-Ramos, L.; Suárez-Burguet, C. Trade and transport connectivity: A spatial approach. Appl. Econ. 2013, 45, 2563–2566. [Google Scholar] [CrossRef]
  4. Bosker, M.; Buringh, E. City seeds: Geography and the origins of the European city system. J. Urban Econ. 2017, 98, 139–157. [Google Scholar] [CrossRef]
  5. Wahl, F. Does European development have Roman roots? Evidence from the German Limes. J. Econ. Growth 2017, 22, 313–349. [Google Scholar] [CrossRef]
  6. Helbing, D. Globally networked risks and how to respond. Nature 2013, 497, 51–59. [Google Scholar] [CrossRef]
  7. Li, J.; Zhang, S.; Xu, B. Containership delay propagation risk analysis based on effective multivariate transfer entropy. Ocean. Eng. 2024, 298, 117077. [Google Scholar] [CrossRef]
  8. Wang, Y.; Sun, R.; Ren, L.; Geng, X.; Wang, X.; Lv, L. Risk propagation model and simulation of an assembled building supply chain network. Buildings 2023, 13, 981. [Google Scholar] [CrossRef]
  9. Guo, X.; Ji, J.; Khan, F.; Ding, L.; Tong, Q. A novel fuzzy dynamic Bayesian network for dynamic risk assessment and uncertainty propagation quantification in uncertainty environment. Saf. Sci. 2021, 141, 105285. [Google Scholar] [CrossRef]
  10. Li, T.; Chen, H.; Yuan, J.; Qian, J.; Siyal, A.W. Quality Risk Propagation of Complex Product Collaborative Manufacturing Supply Chain Network Based on CN and SoV. Discret. Dyn. Nat. Soc. 2020, 2020, 8889903. [Google Scholar] [CrossRef]
  11. He, Z.; Guo, J.; Xu, J. Cascade Failure Model in Multimodal Transport Network Risk Propagation. Math. Probl. Eng. 2019, 2019, 3615903. [Google Scholar] [CrossRef]
  12. Guo, J.; Xu, J.; He, Z.; Liao, W. Research on risk propagation method of multimodal transport network under uncertainty. Phys. A Stat. Mech. Appl. 2021, 563, 125494. [Google Scholar] [CrossRef]
  13. Feng, D.; Hao, B.; Lai, J. Tracing delay network in air transportation combining caNYl propagation and complex network. Int. J. Intell. Netw. 2024, 5, 63–76. [Google Scholar]
  14. Zhou, Z.; Yu, X.; Zhu, Z.; Zhou, D.; Qi, H. Development and application of a Bayesian network-based model for systematically reducing safety risks in the commercial air transportation system. Saf. Sci. 2023, 157, 105942. [Google Scholar] [CrossRef]
  15. Zekun, W.; Xiangxi, W.; Minggong, W. Identification of Key Nodes in Aircraft State Network Based on Complex Network Theory. IEEE Access 2019, 7, 60957–60967. [Google Scholar] [CrossRef]
  16. Wandelt, S.; Xu, Y.; Sun, X. Measuring node importance in air transportation systems: On the quality of complex network estimations. Reliab. Eng. Syst. Saf. 2023, 240, 109596. [Google Scholar] [CrossRef]
  17. Shaw, S.L. Hub structures of major US passenger airlines. J. Transp. Geogr. 1993, 1, 47–58. [Google Scholar] [CrossRef]
  18. Malighetti, P.; Paleari, S.; Redondi, R. Connectivity of the European airport network: “Self-help hubbing” and business implications. J. Air Transp. Manag. 2008, 14, 53–65. [Google Scholar] [CrossRef]
  19. Liu, H.; Hu, X.; Yang, S.; Zhang, K.; Paolo, E.D. Application of complex network theory and geneticalgorithm in airline route networks. Transp. Res. Rec. 2011, 2214, 50–58. [Google Scholar] [CrossRef]
  20. Sun, X.; Gollnick, V.; Wandelt, S. Robustness analysis metrics for worldwide airport network: A comprehensive study. Chin. J. Aeronaut. 2017, 30, 500–512. [Google Scholar] [CrossRef]
  21. Chandra, A.; Hazra, S.; Verma, A. The integration of En route flow optimization, complex network clustering, and rule-based approach to airspace sub-sectorization for enhanced air traffic monitoring. J. Air Transp. Res. Soc. 2024, 3, 100036. [Google Scholar] [CrossRef]
  22. Kaluza, P.; Kölzsch, A.; Gastner, M.T.; Blasius, B. The complex network of global cargo ship movements. J. R. Soc. Interface 2010, 7, 1093–1103. [Google Scholar] [CrossRef] [PubMed]
  23. Viljoen, N.M.; Joubert, J.W. The vulnerability of the global container shipping network to targeted link disruption. Phys. A. Stat. Mech. Its Appl. 2016, 462, 369–409. [Google Scholar] [CrossRef]
  24. Ducruet, C. Multilayer dynamics of complex spatial networks: The case of global maritime flows (1977–2008). J. Transp. Geogr. 2017, 60, 47–58. [Google Scholar] [CrossRef]
  25. Guo, J.; Wang, S.; Wang, D.; Liu, T. Spatial Structural Pattern and Vulnerability of China-Yokohama-Korea Shipping Network. Chin. Geogr. Sci. 2017, 27, 697–708. [Google Scholar] [CrossRef]
  26. Mou, N.; Liu, C.; Zhang, L.; Fu, X.; Xie, Y.; Li, Y.; Peng, P. Spatial Pattern and Regional Relevance Analysis of the Maritime Silk Road Shipping Network. Sustainability 2018, 10, 977. [Google Scholar] [CrossRef]
  27. Zhang, F.; Liu, Y.; Du, L.; Goerlandt, F.; Sui, Z.; Wen, Y. A rule-based maritime traffic situation complex network approach for enhancing situation awareness of vessel traffic service operators. Ocean. Eng. 2023, 284, 115203. [Google Scholar] [CrossRef]
  28. Ma, L.; Ma, X.; Wang, T.; Chen, L.; Lan, H. On the development and measurement of human factors complex network for maritime accidents: A case of ship groundings. Ocean. Coast. Manag. 2024, 248, 106954. [Google Scholar] [CrossRef]
  29. Deng, J.; Liu, S.; Shu, Y.; Hu, Y.; Xie, C.; Zeng, X. Risk evolution and prevention and control strategies of maritime accidents in China’s coastal areas based on complex network models. Ocean. Coast. Manag. 2023, 237, 106527. [Google Scholar] [CrossRef]
  30. Fan, H.; Jia, H.; He, X.; Lyu, J. Navigating uncertainty: A dynamic Bayesian network-based risk assessment framework for maritime trade routes. Reliab. Eng. Syst. Saf. 2024, 250, 110311. [Google Scholar] [CrossRef]
  31. Klimek, P.; Obersteiner, M.; Thurner, S. Systemic trade risk of critical resources. Sci. Adv. 2015, 1, e1500522. [Google Scholar] [CrossRef] [PubMed]
  32. Sun, J.; Tang, J.; Fu, W.; Chen, Z.; Niu, Y. Construction of a multi-echelon supply chain complex network evolution model and robustness analysis of cascading failure. Comput. Ind. Eng. 2020, 144, 106457. [Google Scholar] [CrossRef]
  33. Zhang, L.; Wen, H.; Lu, J.; Lei, D.; Li, S.; Ukkusuri, S.V. Exploring cascading reliability of multi-modal public transit network based on complex networks. Reliab. Eng. Syst. Saf. 2022, 221, 108367. [Google Scholar] [CrossRef]
  34. Baxter, G.J.; Dorogovtsev, S.N.; Goltsev, A.V.; Mendes, J.F.F. Avalanche collapse of interdependent networks. Phys. Rev. Lett. 2012, 109, 248701. [Google Scholar] [CrossRef]
  35. Wang, W.X.; Ni, X.; Lai, Y.C.; Grebogi, C. Optimizing controllability of complex networks by minimum structural perturbations. Phys. Rev. E-Stat. Nonlinear Soft Matter Phys. 2012, 85, 026115. [Google Scholar] [CrossRef]
  36. Que, X.; Jiang, S.; Yang, J.; An, N. A similarity measurement with entropy based weighting for clustering mixed numerical and categorical datasets. Algorithms 2021, 14, 184. [Google Scholar] [CrossRef]
  37. Łatuszyńska, A. Multiple-Criteria Decision Analysis Using Topsis Method for Interval Data in Research into the Level of Information Society Development. Folia Oeconomica Stetin. 2014, 13, 63–76. [Google Scholar] [CrossRef]
  38. Chen, Y.L. Study of Coupling Algorithm of Dengue Transmission Dynamic Model with Ensemble Kalman Filter and Its Application. Master’s Thesis, Shantou University, Shantou, China, 2021. [Google Scholar]
  39. Fan, B.; Zheng, C.; Tang, L. Risk Assessment of Power Communication Network Based on Node Importance. In Proceedings of the 2019 IEEE 3rd Advanced Information Management, Communicates, Electronic and Automation Control Conference (IMCEC), Chongqing, China, 11–13 October 2019; pp. 818–821. [Google Scholar]
  40. Huang, J.; Fang, J.; Wang, J. Risk Coupling Analysis of Metro Deep Foundation Pit Construction Based on Complex Networks. Buildings 2024, 14, 1953. [Google Scholar] [CrossRef]
  41. Han, S.; Sun, M.; Ampimah, B.C.; Han, D. Epidemic spread in bipartite network by considering risk awareness. Phys. A Stat. Mech. Appl. 2018, 492, 1909–1916. [Google Scholar] [CrossRef]
Figure 1. SEIR simulation curve results of the population.
Figure 1. SEIR simulation curve results of the population.
Applsci 15 04901 g001
Figure 2. Simulation curve results of infected humans and infected mosquitoes.
Figure 2. Simulation curve results of infected humans and infected mosquitoes.
Applsci 15 04901 g002
Figure 3. Dynamic curve chart of humans and mosquitoes-1.
Figure 3. Dynamic curve chart of humans and mosquitoes-1.
Applsci 15 04901 g003
Figure 4. Dynamic curve chart of humans and mosquitoes-2.
Figure 4. Dynamic curve chart of humans and mosquitoes-2.
Applsci 15 04901 g004
Figure 5. Dynamic curve chart of humans and mosquitoes-3.
Figure 5. Dynamic curve chart of humans and mosquitoes-3.
Applsci 15 04901 g005
Figure 6. Dynamic curve chart of humans and mosquitoes-4.
Figure 6. Dynamic curve chart of humans and mosquitoes-4.
Applsci 15 04901 g006
Figure 7. Dynamic curve chart of humans and ants-5.
Figure 7. Dynamic curve chart of humans and ants-5.
Applsci 15 04901 g007
Figure 8. Dynamic curve chart of humans and ants-6.
Figure 8. Dynamic curve chart of humans and ants-6.
Applsci 15 04901 g008
Figure 9. Simulation curve chart of recovered population under different initial infection rates.
Figure 9. Simulation curve chart of recovered population under different initial infection rates.
Applsci 15 04901 g009
Figure 10. Risk transmission diagram.
Figure 10. Risk transmission diagram.
Applsci 15 04901 g010
Figure 11. Aviation network diagram.
Figure 11. Aviation network diagram.
Applsci 15 04901 g011
Figure 12. Maritime network diagram.
Figure 12. Maritime network diagram.
Applsci 15 04901 g012
Figure 13. Risk transmission results.
Figure 13. Risk transmission results.
Applsci 15 04901 g013
Figure 14. Relationship diagram of average individual risk and average transmission probability with total risk.
Figure 14. Relationship diagram of average individual risk and average transmission probability with total risk.
Applsci 15 04901 g014
Figure 15. Final number of infections with different initial infection nodes.
Figure 15. Final number of infections with different initial infection nodes.
Applsci 15 04901 g015
Table 1. Parameter setting table.
Table 1. Parameter setting table.
SymbolDescriptionValueSource
β 1 Transmission rate from infected mosquito population to the susceptible human population 0.097 X 4 0.049 X 5 + 0.313 Calculated from original data
σ 1 Incidence rate from latent human population to infected human population1/5Literature [38]
γ Recovery rate from infected human population to recovered human population1/6Literature [38]
β 2 Transmission rate from infected human population to susceptible mosquito population3/5Literature [38]
σ 2 Incidence rate from latent mosquito population to infected mosquito population1/4Literature [38]
N H Total human population100,000-
N M Mosquito population size ( 0.12 X 1 0.12 X 2 0.32 X 3 + 10.03 ) S Calculated from original data
μ H Natural birth rate of human population0.0068National Bureau of Statistics
d H Natural death rate of human population0.0074National Bureau of Statistics
μ M Natural birth/death rate of mosquito population1/15Literature [38]
X 1 Daily average temperature Statistical data
X 2 Daily average relative humidity Statistical data
X 3 Average wind speed Statistical data
X 4 Economic factors Statistical data
X 5 Health factors Statistical data
S Area of the region Statistical data
Table 2. Importance indicators of aviation passenger network nodes.
Table 2. Importance indicators of aviation passenger network nodes.
NodeClustering
Coefficient
Betweenness
Centrality
Closeness
Centrality
Degree
Centrality
Eigenvector
Centrality
Marseille0.2530.0790.6360.9830.994
Alexandria0.4870.0070.5400.4920.671
Istanbul0.2910.0430.6210.9130.980
Copenhagen0.5790.0040.5250.4580.656
Barcelona0.3670.0250.5720.6880.817
Rotterdam0.3510.0300.5950.7500.878
Tromso0.6440.0030.5060.3420.510
Mumbai0.4830.0090.5500.5000.646
Saint Petersburg0.3500.0440.5910.7540.865
Gothenburg0.6470.0020.5210.4000.605
Gdańsk0.5850.0030.5370.4710.676
Hamburg0.3070.0400.6150.8790.974
Shanghai0.3260.0530.5860.6920.752
NY0.2030.1580.6490.9460.831
Porto0.5160.0070.5150.4080.545
Mombasa0.3190.0220.5410.4330.447
Manila0.4050.0100.5200.3250.353
Manzanillo0.5420.0040.5000.2750.346
Zurich0.4310.0120.5690.6290.800
Vancouver0.2980.0400.5630.5830.605
Table 3. Calculation results of node importance in the air passenger transport network.
Table 3. Calculation results of node importance in the air passenger transport network.
CityNode ImportanceCityNode Importance
NY0.830Casablanca0.375
Marseille0.636Addis Ababa0.366
London0.618Vienna0.355
Istanbul0.523United Arab Emirates0.351
Hamburg0.508Dubai0.350
Saint Petersburg0.490Alexandria0.331
Shanghai0.487Mumbai0.330
Rotterdam0.453Gdańsk0.327
Barcelona0.423Copenhagen0.322
Genoa0.421Piraeus0.317
Vancouver0.399Krung Thep Maha Nakhon0.309
Antwerp0.389Sao Paulo0.308
Zurich0.386Odesa0.307
Doha0.379Haifa0.303
Table 4. Importance indicators of nodes in the maritime network.
Table 4. Importance indicators of nodes in the maritime network.
NodeClustering
Coefficient
Betweenness
Centrality
Closeness
Centrality
Degree
Centrality
Eigenvector
Centrality
Marseille0.8040.0000.5360.2880.841
Alexandria0.8350.0000.5300.2880.952
Istanbul0.2060.0560.8320.7130.966
Copenhagen0.8370.0000.5290.2630.825
Barcelona0.2050.0540.8350.7250.814
Rotterdam0.8050.0000.5350.2790.816
Tromso0.8460.0000.5290.2790.935
Mumbai0.8140.0000.5370.3130.977
Saint Petersburg0.8400.0000.5300.2880.977
Gothenburg0.2150.0390.7580.4750.816
Gdańsk0.8320.0000.5280.2580.816
Hamburg0.1900.0710.8620.7630.862
Shanghai0.7890.0000.5400.3250.974
NY0.8010.0000.5380.3170.974
Porto0.2340.0350.7850.5630.814
Mombasa0.8820.0000.5280.2540.830
Manila0.8680.0000.5290.2670.904
Manzanillo0.8110.0000.5370.3080.952
Zurich0.8370.0000.5300.2880.934
Vancouver0.8150.0000.5380.3080.934
Table 5. Calculation results of shipping network node importance.
Table 5. Calculation results of shipping network node importance.
CityNode ImportanceCityNode Importance
London0.847Sydney0.355
Hamburg0.753Constanța0.354
Sao Paulo0.752Koper0.349
Durban0.723Maputo0.322
Istanbul0.655Valletta0.322
Barcelona0.642Luanda0.321
Piraeus0.539Hungary0.315
Gothenburg0.514Papeete0.314
Porto0.504Yangon0.309
Santo Domingo0.454Bratislava0.302
Montevideo0.431Georgetown0.297
Limassol0.387Prague0.296
Varna0.378Riga0.296
Port Louis0.364Muara0.291
Table 6. Results of node inter-coupling importance calculation.
Table 6. Results of node inter-coupling importance calculation.
CityNode Inter-Coupling
Importance
CityNode Inter-Coupling
Importance
London0.687Piraeus0.384
NY0.648Rotterdam0.377
Hamburg0.581Gothenburg0.365
Istanbul0.562Genoa0.358
Marseille0.506Porto0.353
Barcelona0.488Vancouver0.345
Sao Paulo0.441Zurich0.335
Durban0.425Antwerp0.333
Saint Petersburg0.409Doha0.328
Shanghai0.408Casablanca0.328
Table 7. Risk transmission chains and results.
Table 7. Risk transmission chains and results.
Serial No.Transmission NodesRisk Value
1NY–Manzanillo–Jakarta–Ho Chi Minh City–Shanghai0.0593
2NY–Casablanca–Jedda–Mumbai–Shanghai0.0211
3NY–Buenaventura–Sydney–Yokohama–Shanghai0.0292
4Sao Paulo–Buenos Aires–Sydney–Singapore–Shanghai0.1125
5Sao Paulo–Buenaventura–Guayaquil–Panama–Shanghai0.0258
6Sao Paulo–Callao–Sydney–Krung Thep Maha Nakhon–Shanghai0.0211
7London–Antwerp–Marseille–Singapore–Shanghai0.0931
8London–Jedda–Colombo–Kuala Lumpur–Shanghai0.029
9London–Vancouver–Yokohama–Busan–Shanghai0.0954
10Durban–Colombo–Kuala Lumpur–Ho Chi Minh City–Shanghai0.0563
11Durban–Jakarta–Singapore–Manila–Shanghai0.1012
12Durban–Maputo–Mumbai–Krung Thep Maha Nakhon–Shanghai0.0251
13Auckland–Sydney–Yokohama–Busan–Shanghai0.1209
14Auckland–Sydney–Port Moresby–Jakarta–Shanghai0.0248
15Auckland–Sydney–Singapore–Krung Thep Maha Nakhon–Shanghai0.0577
Disclaimer/Publisher’s Note: The statements, opinions and data contained in all publications are solely those of the individual author(s) and contributor(s) and not of MDPI and/or the editor(s). MDPI and/or the editor(s) disclaim responsibility for any injury to people or property resulting from any ideas, methods, instructions or products referred to in the content.

Share and Cite

MDPI and ACS Style

Ma, Z.; Zheng, X.; Wu, J.; Pu, D. Study on Early Warning Methods for Shipping Input Risks Under Consideration of Public Health Events. Appl. Sci. 2025, 15, 4901. https://doi.org/10.3390/app15094901

AMA Style

Ma Z, Zheng X, Wu J, Pu D. Study on Early Warning Methods for Shipping Input Risks Under Consideration of Public Health Events. Applied Sciences. 2025; 15(9):4901. https://doi.org/10.3390/app15094901

Chicago/Turabian Style

Ma, Zhanxin, Xiyu Zheng, Jiachao Wu, and Dongping Pu. 2025. "Study on Early Warning Methods for Shipping Input Risks Under Consideration of Public Health Events" Applied Sciences 15, no. 9: 4901. https://doi.org/10.3390/app15094901

APA Style

Ma, Z., Zheng, X., Wu, J., & Pu, D. (2025). Study on Early Warning Methods for Shipping Input Risks Under Consideration of Public Health Events. Applied Sciences, 15(9), 4901. https://doi.org/10.3390/app15094901

Note that from the first issue of 2016, this journal uses article numbers instead of page numbers. See further details here.

Article Metrics

Back to TopTop