Modeling and Performance Analysis of Task Offloading of Heterogeneous Mobile Edge Computing Networks
Abstract
1. Introduction
- (1)
- We develop a new heterogeneous edge computing network architecture, which is composed of MEC Servers with different transmission power, computing capabilities, number of CPU cores, and waiting queue length.
- (2)
- We characterize the spatial distribution of MEC servers and users by employing stochastic geometry, and we derive the delay distribution via queuing theory uncertainties.
- (3)
- Leveraging average task offloading delay, immediate service probability and blocking probability, we evaluate network performance.
- (4)
- We elucidate the impacts of network parameters and bias factors on network performance.
2. Related Work
3. MEC Network Model
3.1. Network Model
3.2. Queuing Model
4. Performance Analysis
4.1. Average Latency
4.2. The Immediate Service Probability
4.3. The Blocking Probability
5. Numerical Results
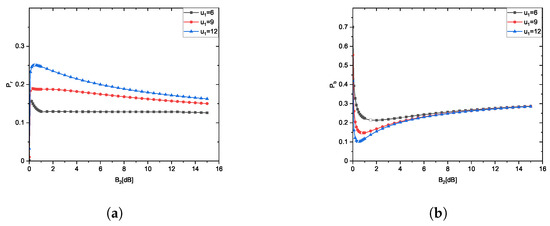
5.1. The Influence of Bias Factor
5.2. The Influence of Service Rate
5.3. The Influence of User Density and MEC Server Density
5.4. The Influence of Number of CPU Cores
5.5. The Influence of Waiting Queue Length
6. Conclusions
SWOT Analysis of the Proposed Model
- Strengths:
- -
- Comprehensive analysis framework incorporating heterogeneous server characteristics (transmission power, computing capability, CPU cores, waiting queue length).
- -
- Quantitative evaluation of critical metrics: average delay, immediate service probability, and blocking probability.
- Weaknesses:
- -
- Simplified assumptions (exponential service time distribution, homogeneous PPP spatial model) may limit real-world applicability.
- Opportunities:
- -
- Extension to energy/mobility-aware models via hybrid queuing approaches.
- -
- Validation in operational testbeds.
- Threats:
- -
- Rapid technological evolution in edge computing may require dynamic model adaptation.
- -
- Complexity of real-world deployments (e.g., non-uniform geographical server distributions).
Author Contributions
Funding
Institutional Review Board Statement
Informed Consent Statement
Data Availability Statement
Conflicts of Interest
Abbreviations
| MEC | Mobile Edge Computing |
| QoS | Quality of Service |
| CC | Cloud Computing |
| EC | Edge Computing |
| PPP | Poisson Point Process |
| APs | Access Points |
| BSs | Base Stations |
| HetMECNets | Heterogeneous Mobile Edge Computing Networks |
| FCFS | First Come First Served |
References
- Nguyen, D.C.; Ding, M.; Pathirana, P.N.; Seneviratne, A.; Li, J.; Niyato, D.; Dobre, O.; Poor, H.V. 6G Internet of Things: A Comprehensive Survey. IEEE Internet Things J. 2022, 9, 359–383. [Google Scholar] [CrossRef]
- Al-khafajiy, M.; Baker, T.; Waraich, A.; Al-Jumeily, D.; Hussain, A. IoT-Fog Optimal Workload via Fog Offloading. In Proceedings of the 2018 IEEE/ACM International Conference on Utility and Cloud Computing Companion (UCC Companion), Zurich, Switzerland, 17–20 December 2018; pp. 359–364. [Google Scholar]
- Wang, Y.; Wang, K.; Huang, H.; Miyazaki, T.; Guo, S. Traffic and Computation Co-Offloading With Reinforcement Learning in Fog Computing for Industrial Applications. IEEE Trans. Ind. Inform. 2019, 15, 976–986. [Google Scholar] [CrossRef]
- Kabdjou, J.; Tagne, E.F.; Rawat, D.B.; Acosta, J.; Kamhoua, C. Cyber Deception System based on Monte Carlo Simulation in the Mobile Edge Computing (MEC). In Proceedings of the 2023 International Conference on Computer, Information and Telecommunication Systems (CITS), Genoa, Italy, 10–12 July 2023; pp. 1–7. [Google Scholar]
- Qian, Y.; Sheng, K.; Ma, C.; Li, J.; Ding, M.; Hassan, M. Path Planning for the Dynamic UAV-Aided Wireless Systems Using Monte Carlo Tree Search. IEEE Trans. Veh. Technol. 2022, 71, 6716–6721. [Google Scholar] [CrossRef]
- Novlan, T.D.; Dhillon, H.S.; Andrews, J.G. Analytical Modeling of Uplink Cellular Networks. IEEE Trans. Wirel. Commun. 2013, 12, 2669–2679. [Google Scholar] [CrossRef]
- Musovic, J.; Lipovac, V.; Lipovac, A. Spectral and Network Deployment Efficiency Analysis in a k-Tier Network. In Proceedings of the 2019 International Conference on Software, Telecommunications and Computer Networks (SoftCOM), Split, Croatia, 19–21 September 2019; pp. 1–5. [Google Scholar]
- Hu, H.; Zhang, J.; Chu, X.; Zhang, J. Downlink Coverage Analysis of K-Tier Heterogeneous Networks with Multiple Antennas. In Proceedings of the ICC 2019—2019 IEEE International Conference on Communications (ICC), Shanghai, China, 20–24 May 2019; pp. 1–6. [Google Scholar]
- Wang, Y.; Han, X.; Jin, S. Performance Analysis of a VM-PM Repair Strategy in MEC-Enabled Wireless Systems With Bursty Traffic. IEEE Trans. Veh. Technol. 2024, 73, 1146–1161. [Google Scholar] [CrossRef]
- Li, J.; You, X.; Zheng, J. Performance Modeling and Analysis of an MEC System With Task Priority and Expiring Time Constraint. IEEE Commun. Lett. 2023, 27, 1754–1758. [Google Scholar] [CrossRef]
- Li, Q.; Peng, B.; Li, Q.; Lin, M.; Chen, C.; Peng, S. A Latency-Optimal Task Offloading Scheme Using Genetic Algorithm for DAG Applications in Edge Computing. In Proceedings of the 2023 8th International Conference on Cloud Computing and Big Data Analytics (ICCCBDA), Chengdu, China, 26–28 April 2023; pp. 344–348. [Google Scholar]
- Wang, X.; Zhou, Z.; Chen, H.; Zhang, Y. Task Offloading and Power Assignment Optimization for Energy-Constrained Mobile Edge Computing. In Proceedings of the 2021 Ninth International Conference on Advanced Cloud and Big Data (CBD), Xi’an, China, 26–27 March 2022; pp. 302–307. [Google Scholar]
- Li, Y.; Yang, C.; Deng, M.; Tang, X.; Li, W. A Dynamic Resource Optimization Scheme for MEC Task Offloading Based on Policy Gradient. In Proceedings of the 2022 IEEE 6th Information Technology and Mechatronics Engineering Conference (ITOEC), Chongqing, China, 4–6 March 2022; pp. 342–345. [Google Scholar]
- Zhao, J.; Hu, X.; Du, X. Algorithm of task offloading and resource allocation based on reinforcement learning in edge computing. In Proceedings of the 2021 IEEE 5th Information Technology, Networking, Electronic and Automation Control Conference (ITNEC), Xi’an, China, 15–17 October 2021; pp. 1266–1269. [Google Scholar]
- Liu, M.; Zhang, J. Research on Task Offloading Strategy for Ultra Dense Edge Computing Network. In Proceedings of the 2022 4th International Conference on Natural Language Processing (ICNLP), Xi’an, China, 25–27 March 2022; pp. 587–592. [Google Scholar]
- Tang, X.; Wen, Z.; Chen, J.; Li, Y.; Li, W. Joint Optimization Task Offloading Strategy for Mobile Edge Computing. In Proceedings of the 2021 IEEE 2nd International Conference on Information Technology, Big Data and Artificial Intelligence (ICIBA), Chongqing, China, 17–19 December 2021; pp. 515–518. [Google Scholar]
- Shojaee, R.; Yazdani, N. Modeling and performance analysis of smart map application in the Multi-access Edge Computing paradigm. Pervasive Mob. Comput. 2020, 69, 101280. [Google Scholar] [CrossRef]
- Maheshwari, S.; Raychaudhuri, D.; Seskar, I.; Bronzino, F. Scalability and Performance Evaluation of Edge Cloud Systems for Latency Constrained Applications. In Proceedings of the 2018 IEEE/ACM Symposium on Edge Computing (SEC), Seattle, WA, USA, 25–27 October 2018; pp. 286–299. [Google Scholar]
- Elbayoumi, M.; Hamouda, W.; Youssef, A. Edge Computing and Multiple-Association in Ultra-Dense Networks: Performance Analysis. IEEE Trans. Commun. 2022, 70, 5098–5112. [Google Scholar] [CrossRef]
- Gu, Y.; Yao, Y.; Li, C.; Xia, B.; Xu, D.; Zhang, C. Modeling and Analysis of Stochastic Mobile-Edge Computing Wireless Networks. IEEE Internet Things J. 2021, 8, 14051–14065. [Google Scholar] [CrossRef]
- Bebortta, S.; Singh, A.K.; Senapati, D. Performance analysis of multi-access edge computing networks for heterogeneous IoT systems. Mater. Today Proc. 2022, 58, 267–272. [Google Scholar] [CrossRef]
- Li, W.; Jin, S. Performance evaluation and optimization of a task offloading strategy on the mobile edge computing with edge heterogeneity. J. Supercomput. 2021, 77, 12486–12507. [Google Scholar] [CrossRef]
- Zhao, H.; Geng, J.; Jin, S. Performance research on a task offloading strategy in a two-tier edge structure-based MEC system. J. Supercomput. 2023, 79, 10139–10177. [Google Scholar] [CrossRef]
- Zeng, H.; Li, X.; Bi, S.; Lin, X. Delay-Sensitive Task Offloading With D2D Service-Sharing in Mobile Edge Computing Networks. IEEE Wirel. Commun. Lett. 2022, 11, 607–611. [Google Scholar] [CrossRef]
- Ma, X.; Zhou, A.; Sun, Q.; Wang, S. Freshness-Aware Information Update and Computation Offloading in Mobile-Edge Computing. IEEE Internet Things J. 2021, 8, 13115–13125. [Google Scholar] [CrossRef]
- Do-Duy, T.; Van Huynh, D.; Dobre, O.A.; Canberk, B.; Duong, T.Q. Digital Twin-Aided Intelligent Offloading With Edge Selection in Mobile Edge Computing. IEEE Wirel. Commun. Lett. 2022, 11, 806–810. [Google Scholar] [CrossRef]
- Luo, Z.; Huang, G. Energy-Efficient Mobile Edge Computing in RIS-Aided OFDM-NOMA Relay Networks. IEEE Trans. Veh. Technol. 2023, 72, 4654–4669. [Google Scholar] [CrossRef]
- Li, Z.; Chen, M.; Yang, Z.; Zhao, J.; Wang, Y.; Shi, J.; Huang, C. Energy Efficient Reconfigurable Intelligent Surface Enabled Mobile Edge Computing Networks with NOMA. IEEE Trans. Cogn. Commun. Netw. 2021, 7, 427–440. [Google Scholar] [CrossRef]
- Pham, Q.-V.; Leanh, T.; Tran, N.H.; Park, B.J.; Hong, C.S. Decentralized Computation Offloading and Resource Allocation for Mobile-Edge Computing: A Matching Game Approach. IEEE Access 2018, 6, 75868–75885. [Google Scholar] [CrossRef]
- Xiao, S.; Liu, C.; Li, K.; Li, K. System delay optimization for Mobile Edge Computing. Future Gener. Comput. Syst. 2020, 109, 17–28. [Google Scholar] [CrossRef]
- Gao, H.; Wang, X.; Wei, W.; Al-Dulaimi, A.; Xu, Y. Com-DDPG: Task Offloading Based on Multiagent Reinforcement Learning for Information-Communication-Enhanced Mobile Edge Computing in the Internet of Vehicles. IEEE Trans. Veh. Technol. 2024, 73, 348–361. [Google Scholar] [CrossRef]
- Luo, Q.; Li, C.; Luan, T.H.; Shi, W. Minimizing the Delay and Cost of Computation Offloading for Vehicular Edge Computing. IEEE Trans. Serv. Comput. 2022, 15, 2897–2909. [Google Scholar] [CrossRef]
- Gao, Z.; Hao, W.; Yang, S. Joint Offloading and Resource Allocation for Multi-User Multi-Edge Collaborative Computing System. IEEE Trans. Veh. Technol. 2022, 71, 3383–3388. [Google Scholar] [CrossRef]
- Shi, Y.; Alsusa, E.; Baidas, M.W. Joint DL/UL Decoupled Cell-Association and Resource Allocation in D2D-Underlay HetNets. IEEE Trans. Veh. Technol. 2021, 70, 3640–3651. [Google Scholar] [CrossRef]
- Arshad, R.; Farooq-i-Azam, M.; Muzzammel, R.; Ghani, A.; See, C.H. Energy Efficiency and Throughput Optimization in 5G Heterogeneous Networks. Electronics 2023, 12, 2031. [Google Scholar] [CrossRef]
- Herath, P.; Tellambura, C.; Krzymień, W.A. Coverage probability analysis of three uplink power control schemes: Stochastic geometry approach. EURASIP J. Wirel. Commun. Netw. 2018, 2018, 141. [Google Scholar] [CrossRef] [PubMed]
- Ali, S.; Aslam, M.I.; Ahmed, I.; Khawaja, A. Uplink Performance of Narrowband Internet-of-Things Devices in Downlink–Uplink Decoupled-Based Heterogeneous Networks. Iran. J. Sci. Technol. Trans. Electr. Eng. 2023, 47, 385–399. [Google Scholar] [CrossRef]
- Park, J.; Choi, J.; Lee, N. A Tractable Approach to Coverage Analysis in Downlink Satellite Networks. IEEE Trans. Wirel. Commun. 2023, 22, 793–807. [Google Scholar] [CrossRef]
- Khan, H.Z.; Ali, M.; Naeem, M.; Rashid, I.; Imran, M. Resource allocation in 5G heterogeneous networks with downlink-uplink decoupled access. Trans. Emerg. Telecommun. Technol. 2020, 31, e3831. [Google Scholar] [CrossRef]
- Ko, S.-W.; Han, K.; Huang, K. Wireless Networks for Mobile Edge Computing: Spatial Modeling and Latency Analysis. IEEE Trans. Wirel. Commun. 2018, 17, 5225–5240. [Google Scholar] [CrossRef]
- Zhao, K.; Zhou, Z.; Jiao, L.; Cai, S.; Xu, F.; Chen, X. Taming Serverless Cold Start of Cloud Model Inference With Edge Computing. IEEE Trans. Mob. Comput. 2024, 23, 8111–8128. [Google Scholar] [CrossRef]
- Tao, T.; Hou, J.; Nayak, A. A GNN-DRL-based Collaborative Edge Computing Strategy for Partial Offloading. In Proceedings of the GLOBECOM 2023—2023 IEEE Global Communications Conference, Kuala Lumpur, Malaysia, 4–8 December 2023; pp. 3717–3722. [Google Scholar]
- Guo, K.; Yang, M.; Zhang, Y.; Cao, J. Joint Computation Offloading and Bandwidth Assignment in Cloud-Assisted Edge Computing. IEEE Trans. Cloud Comput. 2022, 10, 451–460. [Google Scholar] [CrossRef]
- Bari, A.; de Veciana, G.; Johnsson, K.; Pyattaev, A. Managing Edge Offloading for Stochastic Workloads with Deadlines. In Proceedings of the Int’l ACM Conference on Modeling Analysis and Simulation of Wireless and Mobile Systems, Association for Computing Machinery, Montreal, QC, Canada, 30 October–3 November 2023; pp. 99–108. [Google Scholar]
- Song, L.; Sun, G.; Yu, H.; Guizani, M. SD-AETO: Service-Deployment-Enabled Adaptive Edge Task Offloading Scheme in MEC. IEEE Internet Things J. 2023, 10, 19296–19311. [Google Scholar] [CrossRef]
- Carvalho, D.; Rodrigues, L.; Takako Endo, P.; Kosta, S.; Airton Silva, F. Mobile Edge Computing Performance Evaluation using Stochastic Petri Nets. In Proceedings of the 2020 IEEE Symposium on Computers and Communications (ISCC), Rennes, France, 7–10 July 2020; pp. 1–6. [Google Scholar]
- Barbosa, V.; Sabino, A.; Lima, L.N.; Brito, C.; Feitosa, L.; Pereira, P.; Maciel, P.; Nguyen, T.A.; Silva, F.A. Performance Evaluation of IoT-Based Industrial Automation Using Edge, Fog, and Cloud Architectures. J. Netw. Syst. Manag. 2025, 33, 15. [Google Scholar] [CrossRef]
- Rocha, F.; Nogueira, B.; Gonçalves, G.; Silva, F.A. Smart Hospital Patient Monitoring System Aided by Edge-Fog-Cloud Continuum: A Performability Evaluation Focusing on Distinct Sensor Sources. J. Netw. Syst. Manag. 2024, 32, 99. [Google Scholar] [CrossRef]
- Behera, S.; Kandpal, M.; Goswami, V.; Tarasia, N.; Mund, G.B.; Barik, R.K. Leveraging towards dynamic allocations of mist nodes for IoT-Mist-Fog-Cloud system using M/Er/1 queueing model. In Proceedings of the 2023 OITS International Conference on Information Technology (OCIT), Raipur, India, 13–15 December 2023; pp. 59–64. [Google Scholar]
- Miao, W.; Min, G.; Zhang, X.; Zhao, Z.; Hu, J. Performance modelling and quantitative analysis of vehicular edge computing with bursty task arrivals. IEEE Trans. Mob. Comput. 2021, 22, 1129–1142. [Google Scholar] [CrossRef]
- Liang, J.; Ma, X.; Ding, H.; He, Z. Optimizing MEC System Performance Through M/M/m Queueing Model Analysis. In Proceedings of the 2024 IEEE International Symposium on Parallel and Distributed Processing with Applications (ISPA), Kaifeng, China, 30 October–2 November 2024; pp. 2217–2218. [Google Scholar]
- Singh, S.; Dhillon, H.S.; Andrews, J.G. Offloading in Heterogeneous Networks: Modeling, Analysis, and Design Insights. IEEE Trans. Wirel. Commun. 2013, 12, 2484–2497. [Google Scholar] [CrossRef]








| Reference | Research Scenarios | Evaluation Metrics |
|---|---|---|
| Carvalho et al. [46] | single-server | response time, resource utilization |
| Barbosa et al. [47] | single-server | response time, resource utilization, discard probability |
| Rocha et al. [48] | single-server | mean response time, resource utilization |
| Behera et al. [49] | homogeneous multi-server | response time, mean length of busy, idle periods |
| Bebortta et al. [21] | homogeneous multi-server | amount of data packets, waiting time |
| Miao et al. [50] | heterogeneous multi-server | response time |
| Liang et al. [51] | heterogeneous multi-server | response time |
| Ours | heterogeneous multi-server | response time, immediate service probability, blocking probability |
| Notation | Description |
|---|---|
| the max tier of MEC servers | |
| k | index set of tiers of MEC server |
| spatial density of users and MEC server | |
| portion and spatial density of the kth-tier MEC server | |
| , , , | number of CPU cores, waiting queue length, service rate and utilization factor in the kth-tier MEC server |
| time slot | |
| probability that a user offloads to the kth-tier MEC server | |
| bias factor of the user offloading to the kth-tier MEC server | |
| transmission power of the kth-tier MEC server | |
| path loss exponent | |
| arrival rate of user tasks to the kth-tier MEC server |
| Parameters | Values |
|---|---|
| {0.2, 0.8} | |
| [nodes/m2] | 1.2 × 10−4 |
| [nodes/m2] | 3 × 10−4 |
| [packet/slot] | 9 |
| [packet/slot] | 4 |
| 1 | |
| 4 | |
| [dBm] | 45 |
| [dBm] | 30 |
| [dBm] | 20 |
Disclaimer/Publisher’s Note: The statements, opinions and data contained in all publications are solely those of the individual author(s) and contributor(s) and not of MDPI and/or the editor(s). MDPI and/or the editor(s) disclaim responsibility for any injury to people or property resulting from any ideas, methods, instructions or products referred to in the content. |
© 2025 by the authors. Licensee MDPI, Basel, Switzerland. This article is an open access article distributed under the terms and conditions of the Creative Commons Attribution (CC BY) license (https://creativecommons.org/licenses/by/4.0/).
Share and Cite
Li, W.; Zhou, H. Modeling and Performance Analysis of Task Offloading of Heterogeneous Mobile Edge Computing Networks. Appl. Sci. 2025, 15, 4307. https://doi.org/10.3390/app15084307
Li W, Zhou H. Modeling and Performance Analysis of Task Offloading of Heterogeneous Mobile Edge Computing Networks. Applied Sciences. 2025; 15(8):4307. https://doi.org/10.3390/app15084307
Chicago/Turabian StyleLi, Wenwang, and Haohao Zhou. 2025. "Modeling and Performance Analysis of Task Offloading of Heterogeneous Mobile Edge Computing Networks" Applied Sciences 15, no. 8: 4307. https://doi.org/10.3390/app15084307
APA StyleLi, W., & Zhou, H. (2025). Modeling and Performance Analysis of Task Offloading of Heterogeneous Mobile Edge Computing Networks. Applied Sciences, 15(8), 4307. https://doi.org/10.3390/app15084307

