Experimental Study on the Durability of Geotextile Containers Against Light and Heat Under Spray-Coating Protection
Abstract
1. Introduction
2. Materials and Methods
2.1. Microscopic Morphology Observation
2.1.1. Test Materials
2.1.2. Test Materials and Operating Procedures
2.2. Sampling Strength Test
2.3. Adhesion Test Design
2.3.1. Test Materials and Equipment
2.3.2. Spray Test Design
2.3.3. Adhesive Testing Design
2.4. Orthogonal Design
2.5. Aging Test and Strength Test
2.5.1. Fluorescent UV Lamp Aging Test
2.5.2. Strength Testing and Durability Qualification Standards
3. Results and Discussion
3.1. Microscopic Morphology Analysis
3.2. Sampling Intensity Testing in Natural Environments
3.3. Adhesion Testing Analysis
3.4. Analysis of Orthogonal Experiment Results
3.4.1. Range Analysis
3.4.2. Analysis of Variance
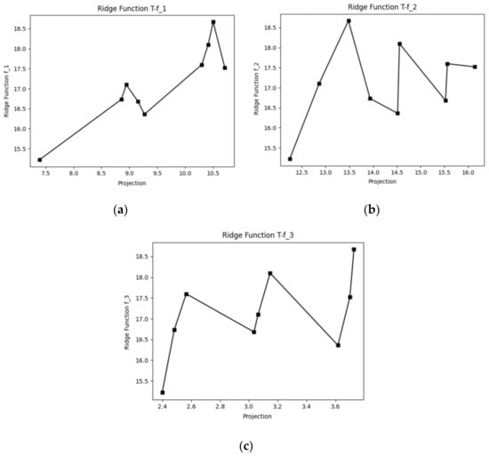
3.5. A Protection Effect Prediction Model Based on Projection Pursuit (PPR) Analysis Method
3.5.1. Introduction to the Principles of the PPR Model
3.5.2. Establishment and Analysis of the PPR Model
3.6. Aging Test Results and Electron Microscopy Microscopic Analysis
4. Conclusions
Author Contributions
Funding
Data Availability Statement
Acknowledgments
Conflicts of Interest
References
- Grubb, D.G.; Diesing, W.E., III; Cheng, S.C.; Sabanas, R.M. Comparison of the Durability of Geotextiles in an Alkaline Mine Tailings Environment. Geosynth. Int. 2001, 8, 49–80. [Google Scholar] [CrossRef]
- Khachan, M.M.; Bhatia, S.K. The efficacy and use of small centrifuge for evaluating geotextile tube dewatering performance. Geotext. Geomembr. 2017, 45, 280–293. [Google Scholar] [CrossRef]
- Kim, H.J.; Dinoy, P.R.; Kim, H.S. Tension force analysis of geotextile tubes by half cross—Section test. Geotext. Geomembr. 2020, 48, 243–256. [Google Scholar] [CrossRef]
- Corbella, S.; Stretch, D.D. Geotextile sand filled containers as coastal defence: South African experience. Geotext. Geomembr. 2012, 35, 120–130. [Google Scholar] [CrossRef]
- Saathoff, F.; Oumeraci, H.; Restall, S. Australian and German experiences on the use of geotextile containers. Geotext. Geomembr. 2007, 25, 251–263. [Google Scholar] [CrossRef]
- Li, Y.Q.; You, Z.J.; Shi, H.Y.; Ren, B. Construction of in-situ coastal experimental station to continue assessing shoreline protection performance of geotextile sandbags. J. Coast. Res. 2020, 95, 267–271. [Google Scholar] [CrossRef]
- Oberhagemann, K.; Hossain, M.M. Geotextile bag revetments for large rivers in Bangladesh. Geotext. Geomembr. 2011, 29, 402–414. [Google Scholar] [CrossRef]
- Dong, Z.; Liu, Q.; Li, X. Efficiency and Economic Analysis of Revetment Structure Types in the Main Stream of the Tarim River. Henan Water Resour. South North Water Divers. 2022, 51, 18–19. [Google Scholar]
- Dong, Z.; Li, X. Suitability Analysis of Geotextile Bag Revetment Technology in the Main Stream of the Tarim River. Water Resour. Plan. Des. 2022, 7, 108–111. [Google Scholar]
- Liu, S.H.; Jia, F.; Chen, X.L.; Li, L.J. Experimental study on seismic response of soilbags-built retaining wall. Geotext. Geomembr. 2020, 48, 603–613. [Google Scholar] [CrossRef]
- Kudale, M.D.; Mahalingaiah, A.V.; Tayade, B.R. Use of sand-filled geotextile tubes for sustainable coastal protection-case studies in Indian scenario. Indian J. Mar. Sci. 2014, 43, 1241–1246. [Google Scholar]
- Tisinger, L.G.; Peggs, I.D.; Dudzik, B.E.; Winfree, J.P.; Carraher, C.E., Jr. Microstructural Analysis of a Polypropylene Geotextile After Long-Term Outdoor Exposure. Geosynth. Test. Waste Contain. Appl. 1990, 1081, 335. [Google Scholar]
- Aparicio-Ardila, M.A.; Pedroso, G.O.; Kobelnik, M.; Valentin, C.A.; da Luz, M.P.; Lins da Silva, J. Evaluating the Degradation of a Nonwoven Polypropylene Geotextile Exposed to Natural Weathering for 3 Years. Int. J. Geosynth. Ground Eng. 2021, 7, 1–11. [Google Scholar] [CrossRef]
- Carneiro, J.R.; Almeida, P.J.; Lopes, M.D. Evaluation of the Resistance of a Polypropylene Geotextile Against Ultraviolet Radiation. Microsc. Microanal. 2019, 25, 196–202. [Google Scholar] [CrossRef] [PubMed]
- Suits, L.D.; Hsuan, Y.G. Assessing the photo-degradation of geosynthetics by outdoor exposure and laboratory weatherometer. Geotext. Geomembr. 2003, 21, 111–122. [Google Scholar] [CrossRef]
- Hsieh, C.; Wang, J.B.; Chiu, Y.F. Weathering properties of geotextiles in ocean environments. Geosynth. Int. 2006, 13, 210–217. [Google Scholar] [CrossRef]
- Methacanon, P.; Weerawatsophon, U.; Sumransin, N.; Prahsarn, C.; Bergado, D.T. Properties and potential application of the selected natural fibers as limited life geotextiles. Carbohydr. Polym. 2010, 82, 1090–1096. [Google Scholar] [CrossRef]
- Clinton, M.; Rowe, R.K. Long-term durability of two HDPE geomembranes formulated with polyethylene of raised temperature resistance (PE-RT). Geotext. Geomembr. Off. J. Int. Geosynth. Soc. 2024, 52, 15. [Google Scholar] [CrossRef]
- Lavoie, F.L.; Kobelnik, M.; Valentin, C.A.; de Lurdes Lopes, M.; Palmeira, E.M.; da Silva, J.L. Service life of some HDPE geomembranes. Case Stud. Constr. Mater. 2023, 18, e02212. [Google Scholar] [CrossRef]
- Bao, W. Research on the Aging Performance of Polypropylene Geosynthetics. In Chinese Society of Hydropower Engineering, Proceedings of the 6th National Conference on Geosynthetics; Modern Knowledge Press: Truganina, Australia, 2004; p. 4. [Google Scholar]
- Hornsey, W.P.; Carley, J.T.; Coghlan, I.R.; Cox, R.J. Geotextile sand container shoreline protection systems: Design and application. Geotext. Geomembr. 2011, 29, 425–439. [Google Scholar] [CrossRef]
- Yang, X.; Ding, X. Prediction of outdoor weathering performance of polypropylene filaments by accelerated weathering tests. Geotext. Geomembr. 2006, 24, 103–109. [Google Scholar] [CrossRef]
- Valentin, C.A.; Kobelnik, M.; Franco, Y.B.; Lavoie, F.L.; Silva, J.L.; Luz, M.P. Study of the Ultraviolet Effect and Thermal Analysis on Polypropylene Nonwoven Geotextile. Materials 2021, 14, 1080. [Google Scholar] [CrossRef] [PubMed]
- Carneiro, J.R.; Miranda Carlos, D.; de Lurdes Lopes, M. Laboratory Degradation of a Reinforcement PET-PP Geocomposite Under Accelerated Weathering Conditions. Int. J. Geosynth. Ground Eng. 2021, 7, 1–11. [Google Scholar] [CrossRef]
- Richaud, E.; Farcas, F.; Divet, L.; Benneton, J.P. Accelerated ageing of polypropylene geotextiles, the effect of temperature, oxygen pressure and aqueous media on fibers—Methodological aspects. Geotext. Geomembr. 2008, 26, 71–81. [Google Scholar] [CrossRef]
- Karademir, T.; Frost, J.D. Micro-scale tensile properties of single geotextile polypropylene filaments at elevated temperatures. Geotext. Geomembr. 2014, 42, 201–213. [Google Scholar] [CrossRef]
- Chaudhari, S.B.; Shaikh, T.N.; Patel, B.H.; Pandey, P. Influence on thermal and dyeing characteristics of polypropylene filament on reindoring TiO2 nanoparticles. In Proceedings of the International conference on Application of Nano-Materials in Textile, Rome, Italy, 27–30 July 2015. [Google Scholar]
- GB/T 50085-2007; Technical Code for Sprinkler Engineering. Ministry of Construction of the People’s Republic of China, General Administration of Quality Supervision, Inspection and Quarantine of the People’s Republic of China. China Planning Press: Beijing, China, 2007.
- GB/T 16422.3-2022; Plastics—Methods of Exposure to Laboratory Light Sources—Part 3: Fluorescent UV Lamps. The Standardization Administration of the People’s Republic of China: Beijing, China, 2022.
- 20130720-T-608; Geosynthetics—Wide-Width Tensile Test Method. National Technical Committee for Standardization of Industrial Textiles: Beijing, China, 2013.
- GB/T 17639-2023; Geosynthetics—Filament-Spunbonded Needle-Punched Nonwoven Geotextiles. State Administration for Market Regulation, National Standardization Administration: Beijing, China, 2023.
- Zheng, Z.G.; Liu, D.X. Projection pursuit autoregression and multidimensional hybrid regression models with application to flood forecasting in large river systems. J. China Hydrol. 1994, 4, 6–10+65. [Google Scholar]
- Zheng, Z.G. Projection pursuit autoregression model and its application to long-term precipitation forecasting during spring drought in Xinjiang. J. Bayi Agric. Coll. 1993, 2, 1–7. [Google Scholar]
- Jones, M. What is Projection Pursuit (with discussion). J. R. Stat. Soc. Ser. A 1987, 150, 1–18. [Google Scholar] [CrossRef]
- Phetchuay, C.; Horpibulsuk, S.; Arulrajah, A.; Suksiripattanapong, C.; Udomchai, A. Strength development in soft marine clay stabilized by fly ash and calcium carbide residue based geopolymer. Appl. Clay Sci. 2016, 127–128, 134–142. [Google Scholar] [CrossRef]


















| Soil Quality | Moisture Content % | Natural Gravity ρ/(g·cm−3) | Internal Friction Angle Φ/(°) | Cohesion C/(Kpa) | Grain Content/% | ||||
|---|---|---|---|---|---|---|---|---|---|
| >2 | 2~0.5 | 0.5~0.25 | 0.25~0.075 | ≤0.075 | |||||
| Tarim River sand | 0.25 | 1.82 | 23 | 4.3 | 0 | 0.11 | 0.07 | 78.07 | 21.61 |
| Soil Quality | Moisture Content % | Natural Gravity ρ/(g·cm−3) | Internal Friction Angle Φ/(°) | Cohesion C/(Kpa) | Liquidity Index IL | Plasticity Index IP | Grain Content/% | ||
|---|---|---|---|---|---|---|---|---|---|
| >0.075 | 0.075~0.005 | ≤0.005 | |||||||
| clay | 31.61 | 1.91 | 1.9 | 37.2 | 0.72 | 17.62 | 0.9 | 81.5 | 17.6 |
| Slurry | Mix Ratio Ratio | Content of Cementitious Materials/% |
|---|---|---|
| 1. Water: sand: clay | 6:12:3/6:12:3.5/6:12:4/6:12:4.5/6:12:5 | 14.29/16.28/18.18/20.00/21.74 |
| 2. Water: sand: clay: cement | 12:24:3:3/12:24:3.5:3.5/6:12:2:2/ 12:24:4.5:4.5/12:24:5:5 | |
| 3. Water: Sand: Cement | 6:12:3/6:12:3.5/6:12:4/6:12:4.5/6:12:5 |
| Factor Level | Geotextile A (g/m2) | Mix Proportion B (Content of Cementitious Materials/%) | Spray Thickness C (mm) |
|---|---|---|---|
| 1 | 300 g/m2 | 14.29/16.28/18.18 | 1 layer (approximately 2 mm) |
| 2 | 400 g/m2 | 14.29/16.28/18.18 | 2 layers (approximately 4 mm) |
| 3 | 500 g/m2 | 14.29/16.28/18.18 | 3 layers (approximately 6 mm) |
| Test Group | Influence Factor | |||
|---|---|---|---|---|
| Geotextile A/(KN/m) | Content of Cementitious Materials B/(%) | Spray Thickness C/(mm) | Empty Column | |
| 1 | 300 g/m2 | 14.29 | 1 layer (approximately 2 mm) | 1 |
| 2 | 300 g/m2 | 16.28 | 2 layers (approximately 4 mm) | 2 |
| 3 | 300 g/m2 | 18.18 | 3 layers (approximately 6 mm) | 3 |
| 4 | 400 g/m2 | 14.29 | 2 layers (approximately 4 mm) | 3 |
| 5 | 400 g/m2 | 16.28 | 3 layers (approximately 6 mm) | 1 |
| 6 | 400 g/m2 | 18.18 | 1 layer (approximately 2 mm) | 2 |
| 7 | 500 g/m2 | 14.29 | 3 layers (approximately 6 mm) | 2 |
| 8 | 500 g/m2 | 16.28 | 1 layer (approximately 2 mm) | 3 |
| 9 | 500 g/m2 | 18.18 | 2 layers (approximately 4 mm) | 1 |
| Test Sample Source | Construction Time | Sample Time | Thickness (mm) | Longitudinal | Horizontal | ||
|---|---|---|---|---|---|---|---|
| Tensile Strength (KN/m) | Strength Retention Rate (%) | Tensile Strength (KN/m) | Strength Retention Rate (%) | ||||
| ① samples | 2018 | 0 | 1.62 | 5.13 | 100% | 4.54 | 100% |
| ② At K135 | 2019.5 | 2021.03 | 1.05 | 5.77 | 112% | 2.79 | 61% |
| ③ At K135 | 2019.5 | 2023.02 | 1.25 | 5.52 | 107% | 5.15 | 113% |
| ④ At K135 | 2019.5 | 2023.11 | 1.16 | 5.43 | 105% | 5.06 | 111% |
| Test Group | Geotextile Thickness (A) | Clay Content (B) | Spray Thickness (C) | Blank Column | Results | |
|---|---|---|---|---|---|---|
| Transmittance (%) | Insulation Temperature (°C) | |||||
| 1 | 300 g/m2 (2.2 mm) | 14.29 | 1 layer (2 mm) | 1 | 0 | 15.22 |
| 2 | 300 g/m2 (2.2 mm) | 16.28 | 2 layers (4 mm) | 2 | 0 | 16.73 |
| 3 | 300 g/m2 (2.2 mm) | 18.18 | 3 layers (6 mm) | 3 | 0 | 17.60 |
| 4 | 400 g/m2 (2.8 mm) | 14.29 | 2 layers (4 mm) | 3 | 0 | 17.10 |
| 5 | 400 g/m2 (2.8 mm) | 16.28 | 3 layers (6 mm) | 1 | 0 | 18.10 |
| 6 | 400 g/m2 (2.8 mm) | 18.18 | 1 layer (2 mm) | 2 | 0 | 16.68 |
| 7 | 500 g/m2 (3.4 mm) | 14.29 | 3 layers (6 mm) | 2 | 0 | 18.67 |
| 8 | 500 g/m2 (3.4 mm) | 16.28 | 1 layer (2 mm) | 3 | 0 | 16.36 |
| 9 | 500 g/m2 (3.4 mm) | 18.18 | 2 layers (4 mm) | 1 | 0 | 17.52 |
| K1j | 49.55 | 50.99 | 48.26 | 50.84 | ||
| K2j | 51.88 | 51.19 | 51.35 | 52.08 | ||
| K3j | 52.55 | 51.8 | 54.34 | 51.06 | ||
| range R | 3 | 0.81 | 6.08 | |||
| factor Primary → Secondary | CAB | |||||
| Primary and secondary order | C3A3B3 | |||||
| Source of Variance | DEVSQ | Freedom | Variance | F Value | Significance |
|---|---|---|---|---|---|
| factor A | 1.6458 | 2 | 0.8229 | 6.3446 | * |
| factor B * | 0.1206 | 2 | 0.0603 | 0.4649 | × |
| factor C | 6.1215 | 2 | 3.0608 | 23.5991 | *** |
| error e * | 0.3980 | 2 | 0.1990 | 1.5343 | |
| error e | 0.5186 | 4 | 0.1297 | ||
| comprehensive | 8.2859 | 8 |
Disclaimer/Publisher’s Note: The statements, opinions and data contained in all publications are solely those of the individual author(s) and contributor(s) and not of MDPI and/or the editor(s). MDPI and/or the editor(s) disclaim responsibility for any injury to people or property resulting from any ideas, methods, instructions or products referred to in the content. |
© 2025 by the authors. Licensee MDPI, Basel, Switzerland. This article is an open access article distributed under the terms and conditions of the Creative Commons Attribution (CC BY) license (https://creativecommons.org/licenses/by/4.0/).
Share and Cite
Cai, T.; Li, X.; Wang, H.; Qi, Y. Experimental Study on the Durability of Geotextile Containers Against Light and Heat Under Spray-Coating Protection. Appl. Sci. 2025, 15, 4167. https://doi.org/10.3390/app15084167
Cai T, Li X, Wang H, Qi Y. Experimental Study on the Durability of Geotextile Containers Against Light and Heat Under Spray-Coating Protection. Applied Sciences. 2025; 15(8):4167. https://doi.org/10.3390/app15084167
Chicago/Turabian StyleCai, Tianshuai, Xiaoqing Li, Haojie Wang, and Yinxin Qi. 2025. "Experimental Study on the Durability of Geotextile Containers Against Light and Heat Under Spray-Coating Protection" Applied Sciences 15, no. 8: 4167. https://doi.org/10.3390/app15084167
APA StyleCai, T., Li, X., Wang, H., & Qi, Y. (2025). Experimental Study on the Durability of Geotextile Containers Against Light and Heat Under Spray-Coating Protection. Applied Sciences, 15(8), 4167. https://doi.org/10.3390/app15084167

