Analysis of Wind-Induced Vibration Response of Transmission Wire Under Crosswind in Canyon Terrain
Abstract
1. Introduction
2. Fluid–Structure Interaction Numerical Analysis Method
2.1. Governing Equation of Fluid
2.2. Governing Equation of Solid
2.3. Governing Equation of Energy
2.4. Equation of Fluid–Structure Interaction
3. Numerical Simulation of Mountainous Terrain and Wire
3.1. Model of Mountainous Terrain and Wire
3.2. Computing Domain and Grid Division
3.3. Boundary Conditions and Solutions
3.4. Model Condition
4. Verification of Accuracy
5. Wind Vibration Characteristics of Wire Under Steady-State Constant Wind Speed Input
5.1. Conditions of Different Distances Between Wire and Mountain
- (1)
- The distance between the conductor and the mountain mainly affected the vibration of the conductor in the initial stage and it had little effect on the position of the wire’s final stable state. The stable position of the wire at different distances was similar to that of the wire at flat terrain;
- (2)
- The influence of distance on the amplitude of wire vibration displacement was different in different directions. The mountain barrier reduced the lateral force on the wire and the maximum peak value of vibration in the z-direction. The closer the wire was to the mountain, the smaller the maximum peak value of vibration was. The flow past effect caused by the mountain increased the lift force on the wire and the maximum peak value of vibration in the y-direction. The closer the wire was to the mountain, the greater the maximum peak value of vibration was.
5.2. Conditions of Different Mountain Sizes
- (1)
- The displacement of the wire in the z-direction was greatly affected by the blocking ratio in the initial vibration stage. The suppressant effect of the mountain on the wire vibration displacement in the z-direction increased with the increase in the blocking ratio. The final stable state of the wire had little relation with the blocking ratio of the mountain and the stable position of the wire was close to that of the flat terrain;
- (2)
- The vibration peak value of the wire in the y-direction increased first and then decreased with the increase in the blocking ratio. According to the curve in the figure, it can be judged that there will be the maximum peak when the blocking ratio is around 20%. The larger the mountain barrier ratio was, the greater the vertical force in the negative y-direction was on the wire and the lower the final stable position of the wire in the y-direction.
5.3. Condition of Canyon Terrain
6. Wind Vibration Characteristics of Wire Under Step Wind Speed Input
6.1. Wind Vibration Mechanism of Wire Under Step Wind Speed Input
- (1)
- The change in air velocity in front of the wire was basically the same as that in the incoming flow. However, affected by the mountain, the peak wind speed around the wire decreased by approximately 40%, and there were obvious local fluctuations;
- (2)
- Lift force and lateral force were generated when the air traversed the wire, and the amplitude of the lateral force was much larger than that of the lift force;
- (3)
- The variation in the lateral force was consistent with the variation in the air velocity in front of the wire. The wire swung under the action of the lateral force;
- (4)
- The lateral force, lift force, y-displacement, and z-displacement entered a periodic decay process and finally re-stabilized after undergoing a transition process under the excitation of the step incoming flow. This transition process ended at the first minimum extreme point of the lateral force (point A in the figure).
6.2. Influence of Different Step Amplitudes
7. Wind Vibration Characteristics of Wire Under Pulse Wind Speed Input
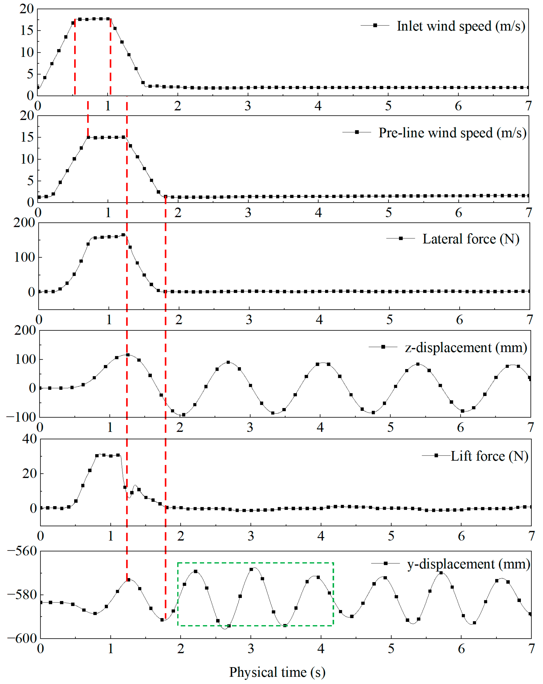
7.1. Wind Vibration Mechanism of Wire Under Pulse Wind Speed Input
- (1)
- Both the lateral force and the z-displacement increased with the rise in the pulse wind and reached the maximum value when the pulse wind started to fall;
- (2)
- After the pulse wind disturbance, the lateral force quickly returned to the pre-disturbance value because the pressure on both sides of the wire was basically equal;
- (3)
- After the pulse wind disturbance, the z-displacement presented periodic fluctuation, and the amplitude gradually decreased;
- (4)
- The lift force increased under the pulse disturbance. However, the vertical direction (y)-displacement continued to fall during this period, which was caused by the combined force of gravity, wire tension, lift, and lateral forces still having a vertical downward component;
- (5)
- A further analysis showed that after the pulse wind disturbance, the y-displacement oscillations underwent a decay process with a group of three wave peaks (the green dashed line in the figure) as the period. The oscillation period of three wave peaks was formed in the y-direction mainly because the positive and negative displacements in the y-direction were not synchronized with those in the z-direction. The positive and negative displacements in the y-direction were opposite to those in the z-direction during the first two wave peaks, and the positive and negative displacements in the third wave peak were the same as those in the z-direction.
7.2. Influence of Different Pulse Speed Widths
- (1)
- The y-direction displacement under condition 6 was different from that under conditions 5 and 7. After the end of the pulse disturbance, the fluctuation amplitude of the z-direction displacement under condition 6 was much smaller than that under working conditions 5 and 7. That is, the amplitude of the z-direction displacement under condition 6 was significantly larger when the z-direction and lateral force or pulse wind drop were consistent (such as under conditions 5 and 7) than when they were inconsistent (such as under condition 6). Hence, when the pulse wind dropped, the lateral force suppressing the z-direction swing reduced the wind vibration of the wire;
- (2)
- After the end of the pulse disturbance, the amplitude of the y-direction displacement fluctuation under conditions 6 and 7 was much smaller than that under condition 5, which was due to the combined effect of the lateral force and lift force. Moreover, the amplitude of the y-direction oscillation was smaller than that in the z-direction;
- (3)
- Comparing conditions 5 and 7, if the difference in the two pulse widths was an integer multiple of the inherent oscillation period of the wire, then the z-direction oscillation characteristics of the wire were consistent after the pulse disturbance was over;
- (4)
- Comparing conditions 5 and 6, if the difference between the two pulse widths was half of the inherent oscillation period of the wire, then the z-direction oscillation amplitude of the wire was severely suppressed after the pulse disturbance ended.
7.3. Influence of Different Pulse Speed Amplitudes
8. Conclusions
- (1)
- When the wind field reached the wire location after passing through the mountain, the wind speed decreased to a certain extent, and the windward side of the wire always bore the greatest pressure during the whole process of wind speed change. When the wind speed flowing through the wire became uniform, the pressure on the upper part of the wire was the same as that on the lower part of the wire, and the wire depended on inertia and gravity to oscillate;
- (2)
- Under the steady-state constant wind speed, the distance between the conductor and the mountain had little effect on the position of the wire’s final stable state. The mountain size had little effect on the position of the wire’s final stable state in the z-direction and reduced the height in the y-direction. The mountain suppressed the peak vibration in the z-direction and increased the peak vibration in the y-direction;
- (3)
- Under different step wind speed conditions, the displacement change trend of the wire in the inlet wind direction was the same and had a similar oscillation period. Finally, the wire entered a stable state after the same oscillation number. Therefore, the wind vibration response law of the wire was mainly determined by its own material characteristics;
- (4)
- Under the pulse wind speed condition, if the wind speed dropped and the wire swing in the z-direction was inconsistent, the swing amplitude in the z-direction was inhibited. If the difference in the pulse width between the two conditions was an integer multiple of the inherent oscillation period of the wire, the z-direction oscillation characteristics of the wire were consistent after the end of the pulse disturbance. If the difference in the pulse width between the two conditions was half of the inherent oscillation period of the wire, the z-direction swing amplitude of the wire was greatly reduced. The amplitude of the pulse wind did not affect the wire’s oscillation period, and the wire’s oscillation amplitude increased with the increases in the pulse wind amplitude.
Author Contributions
Funding
Institutional Review Board Statement
Informed Consent Statement
Data Availability Statement
Conflicts of Interest
References
- Zhu, Y.K.; Liu, F.J.; Jiang, Z. Micro terrain and microclimate transmission lines of electricity fault analysis and protection measures. Inn. Mong. Electr. Power 2014, 32, 11–14. (In Chinese) [Google Scholar]
- Du, Z.Q.; Xu, Y.H.; Chen, H.; Liu, W.F.; Ma, Y.L.; Chang, B. Study on analysis and prevention methods of wind damage fault in micro terrain region of overhead transmission line. Electrotech. Electr. 2017, 12, 42–45. (In Chinese) [Google Scholar]
- Di, Y.L.; Cai, Z.L.; Li, L.; Yi, Y.S. Analysis of wind characteristics of wide range transmission line galloping in Bohai Rim. Power Syst. Clean Energy 2021, 37, 121–129. (In Chinese) [Google Scholar]
- Zhou, Z.; Zhang, Z.K.; Zhao, Z.G.; Feng, T.; Li, C.; Li, Y.N. Monitoring of wind deflection angle of suspension insulator string for power lines based on optical fiber sensing. J. Electron. Meas. Instrum. 2020, 34, 81–87. (In Chinese) [Google Scholar]
- Wu, F.P.; Xu, Z.; Liu, Z.G.; Song, Y.; Yang, J. Research on wind-induced vibration of flexible catenary under canyon terrain wind. J. China Railw. Soc. 2021, 43, 47–61. (In Chinese) [Google Scholar]
- Wang, D.H.; Han, S.H.; Huang, G.Q.; Yang, Q.S.; Sun, Q.G.; Yang, J.Y. Parametric analysis for dynamic response of transmission lines under tornado. High Volt. Eng. 2022, 48, 3871–3881. (In Chinese) [Google Scholar]
- Huang, S.J.; He, C.; Huang, T.; Wang, C.Y.; Jiang, L.Q.; Cao, M.G. Study of wind deflection response of sealing network caused by coupled high-speed train slipstream. Zhejiang Electr. Power 2021, 40, 29–37. (In Chinese) [Google Scholar]
- Wang, W.; Zhang, Y.L.; Zhang, D.H.; Wang, D.H.; He, Y.X.; Xiang, Y. Comparative analysis on wind load specifications in China and abroad overhead transmission line. South. Power Syst. Technol. 2023, 17, 117–127, 144. (In Chinese) [Google Scholar]
- Hung, P.V.; Yamaguchi, H.; Isozaki, M.; Gull, J.H. Large amplitude vibrations of long-span transmission lines with bundled conductors in gusty wind. J. Wind Eng. Ind. Aerodyn. 2014, 126, 48–59. [Google Scholar] [CrossRef]
- Lin, W.E.; Savory, E.; McIntyre, R.P.; Vandelaar, C.S.; King, J.P.C. The response of an overhead electrical power transmission line to two types of wind forcing. J. Wind Eng. Ind. Aerodyn. 2012, 100, 58–69. [Google Scholar] [CrossRef]
- Wang, F.; Wang, Y.; Zhou, R.; Chen, C. Experiments on aeolian vibration of large span overhead transmission lines. J. Chongqing Univ. 2018, 41, 42–50. (In Chinese) [Google Scholar]
- Azzi, Z.; Elawady, A.; Irwin, P.; Chowdhury, A.G.; Shdid, C.A. Aeroelastic modeling to investigate the wind-induced response of a multi-span transmission lines system. Wind Struct. 2022, 34, 231–257. [Google Scholar]
- Luo, X.Y.; Nie, M.; Xie, W.P.; Xiao, K. Numerical simulations of wind flow over complex terrain where transmission lines locate. Sci. Technol. Eng. 2019, 19, 172–176. (In Chinese) [Google Scholar]
- Liu, M.L.; Lv, H.K.; Luo, K.; Wang, M.J.; Fan, J.R.; Chi, W. Wind induced response numerical simulation of a transmission tower-line system in real mountainous terrain. J. Vib. Shock 2020, 39, 232–239. (In Chinese) [Google Scholar]
- Deng, Y.; Jiang, X.L.; Wang, H.X.; Yang, Y.; Virk, M.S.; Liao, Y.; Wu, J.G.; Zhao, M.G. Multimodal analysis of saddle micro-terrain prone to wind disasters on overhead transmission lines. Electr. Power Syst. Res. 2024, 229, 110143. [Google Scholar]
- Lou, W.J.; Wu, D.G.; Liu, M.M.; Zhang, L.G.; Bian, R. Properties of mountainous terrain wind field and their influence on wind-induced swing of transmission lines. China Civ. Eng. J. 2018, 51, 46–55, 77. (In Chinese) [Google Scholar]
- Zhong, W.J.; Yao, J.F.; Tu, Z.B.; Xu, H.W. Wind induced coupling effects of transmission tower-line system at microtopography. J. Phys. Conf. Ser. 2023, 2592, 012093. [Google Scholar] [CrossRef]
- Reinoso, E.; Nino, M.; Berny, E.; Inzunza, I. Wind Risk Assessment of Electric Power Lines due to Hurricane Hazard. Nat. Hazards Rev. 2020, 21, 04020010. [Google Scholar]
- Yang, S.; Chouinard, L.E.; Langlois, S. Hourly wind data for aeolian vibration analysis of overhead transmission line conductors. J. Wind Eng. Ind. Aerodyn. 2022, 230, 105184. [Google Scholar]
- Wu, C.; Yang, X.H.; Zhang, B.; Liu, Z.H.; Zhao, Y. Dynamic Response of a Cat Head Type Transmission Tower-line System under Strong Wind. J. Phys. Conf. Ser. 2021, 1986, 012098. [Google Scholar] [CrossRef]
- Kim, J.W.; Sohn, J.H. Galloping Simulation of the Power Transmission Line under the Fluctuating Wind. Int. J. Precis. Eng. Manuf. 2018, 19, 1393–1398. [Google Scholar]
- Dikshit, S.; Dobson, I.; Alipour, A. Cascading structural failures of towers in an electric power transmission line due to straight line winds. Reliab. Eng. Syst. Saf. 2024, 250, 110304. [Google Scholar]
- Chen, B.; Liu, R.G.; Xie, G.H. Numerical Simulation and Test on Wind-induced Transient Dynamic Response of CFRP Cable. China J. Highw. Transp. 2015, 28, 54–61. (In Chinese) [Google Scholar]
- Jin, Y.; Chen, X. Using STAR-CCM+ Software in Aerodynamic Performance of Bogies under Crosswind Conditions. EAI Endorsed Trans. Energy Web 2024, 11, 1–12. [Google Scholar]
- Riera, J.D.; Oliveira, T.T. Wind-structure interaction in conductor bundles in transmission lines. Struct. Infrastruct. Eng. 2010, 6, 435–446. [Google Scholar]





















| Wire Parameter | Numerical Value |
|---|---|
| Outside diameter (mm) | 30 |
| Density (kg/m3) | 3172 |
| Weight (kg/km) | 1642 |
| Elastic modulus (GPa) | 63 |
| Rated tensile force (N) | 119,500 |
| Condition | Initial Wind Speed (m/s) | Acceleration (m/s2) | Final Wind Speed (m/s) |
|---|---|---|---|
| 1 | 2 | 13 | 15 |
| 2 | 2 | 18 | 20 |
| 3 | 2 | 23 | 25 |
| 4 | 2 | 28 | 30 |
| Condition | Initial Wind Speed (m/s) | Acceleration (Deceleration) (m/s2) | Duration of Maximum Speed (s) |
|---|---|---|---|
| 5 | 2 | 32 | 0.5 |
| 6 | 2 | 32 | 1 |
| 7 | 2 | 32 | 1.7 |
| 8 | 2 | 22 | 0.5 |
| 9 | 2 | 36 | 0.5 |
| Condition | Peak Time tp (s) | Maximum Deviation c(tp) (mm) | Overshoot |
|---|---|---|---|
| 1 | 1.65 | 72.41 | 41.2% |
| 2 | 1.66 | 126.31 | 36.3% |
| 3 | 1.65 | 191.75 | 35.7% |
| 4 | 1.64 | 267.7 | 36.8% |
| Condition | Maximum Pre-Line Wind Speed (m/s) | Amplitude in the z-Direction (mm) | Amplitude in the y-Direction (mm) |
|---|---|---|---|
| 8 | 10.2 | 63.74 | 5.56 |
| 5 | 15.2 | 116.17 | 15.94 |
| 9 | 16.2 | 137.28 | 23.77 |
Disclaimer/Publisher’s Note: The statements, opinions and data contained in all publications are solely those of the individual author(s) and contributor(s) and not of MDPI and/or the editor(s). MDPI and/or the editor(s) disclaim responsibility for any injury to people or property resulting from any ideas, methods, instructions or products referred to in the content. |
© 2025 by the authors. Licensee MDPI, Basel, Switzerland. This article is an open access article distributed under the terms and conditions of the Creative Commons Attribution (CC BY) license (https://creativecommons.org/licenses/by/4.0/).
Share and Cite
Chen, J.; Zhou, C. Analysis of Wind-Induced Vibration Response of Transmission Wire Under Crosswind in Canyon Terrain. Appl. Sci. 2025, 15, 3902. https://doi.org/10.3390/app15073902
Chen J, Zhou C. Analysis of Wind-Induced Vibration Response of Transmission Wire Under Crosswind in Canyon Terrain. Applied Sciences. 2025; 15(7):3902. https://doi.org/10.3390/app15073902
Chicago/Turabian StyleChen, Jianhui, and Chaohui Zhou. 2025. "Analysis of Wind-Induced Vibration Response of Transmission Wire Under Crosswind in Canyon Terrain" Applied Sciences 15, no. 7: 3902. https://doi.org/10.3390/app15073902
APA StyleChen, J., & Zhou, C. (2025). Analysis of Wind-Induced Vibration Response of Transmission Wire Under Crosswind in Canyon Terrain. Applied Sciences, 15(7), 3902. https://doi.org/10.3390/app15073902

