Next Article in Journal
Valorization of Grape Pomace Extract Through Dextran–Grape Conjugates: A Sustainable Approach for Cosmetic and Dermatological Applications
Next Article in Special Issue
From Vine to Wine: Non-Colored Flavonoids as Fingerprints
Previous Article in Journal
A Component-Based Approach to Early Warning Systems: A Theoretical Model
Previous Article in Special Issue
Spray Dried Cashew (Anacardium occidentale L.) Juice Ingredients as an Upcycling Strategy for Abundant Cashew Apple
 
 
Font Type:
Arial Georgia Verdana
Font Size:
Aa Aa Aa
Line Spacing:
Column Width:
Background:
Article

The Effect of Varying Oat Beverage Ratios on the Characteristics of Fermented Dairy–Oat Beverages

1
Department of Food Technology and Assessment, Institute of Food Science, Warsaw University of Life Sciences–SGGW (WULS–SGGW), Nowoursynowska 159c St., 02-776 Warsaw, Poland
2
Professor E. Pijanowski Catering School Complex in Warsaw, 04-110 Warsaw, Poland
*
Author to whom correspondence should be addressed.
Appl. Sci. 2025, 15(6), 3219; https://doi.org/10.3390/app15063219
Submission received: 13 February 2025 / Revised: 13 March 2025 / Accepted: 14 March 2025 / Published: 15 March 2025

Abstract

In the context of the growing popularity of plant–based diets and the search for alternatives to traditional dairy products, there is a need to develop new, consumer–appealing products that combine the nutritional value of milk and oats. The aim of this study was to investigate the effects of different proportions of oat beverage in cow’s milk on the physicochemical, textural, sensory, and microbiological properties of fermented dairy–oat beverages, as well as to assess the stability of these properties during cold storage. Dairy–oat beverages with varying percentages of oat beverage (0–100%) were prepared and subjected to fermentation using starter cultures of S. thermophilus and L. delbrueckii subsp. bulgaricus. Changes in pH, lactose content, color, syneresis, texture, and starter bacteria population were evaluated over 28 days of storage at 6 °C. The results showed that the addition of oat beverage significantly affected the chemical composition, fermentation process, and quality characteristics of the final product. Changes were observed in the content of protein, fat, lactose, and carbohydrates, a slower fermentation process, changes in color, increased syneresis, and changes in texture depending on the proportion of oat beverage. The optimal proportions of the cow’s milk and oat beverage mixture, ensuring the desired sensory, textural, and microbiological stability, were found to be in the range of 25–50% oat beverage addition.

1. Introduction

Given the growing popularity of plant–based diets and the search for alternatives to traditional dairy products, there is a need to develop new, consumer–appealing products that combine the nutritional value of milk and oats [1,2,3,4,5]. The development of plant–based beverages has gained significant attention in recent years, driven by consumer demand for dairy alternatives and functional food products. Among these, oat–based beverages have emerged as a popular choice due to their nutritional benefits, mild taste, and sustainable production methods. Historically, plant–based milk alternatives have evolved from traditional soy and almond beverages to more diverse options, including oat–, rice–, and pea–based formulations. The increasing prevalence of lactose intolerance, dairy allergies, and environmental concerns associated with dairy farming has further fueled the expansion of the plant–based beverage market. The integration of oats with dairy in fermentation processes can lead to the development of beverages with improved functional properties, offering health benefits and appealing flavors.
Oat–based beverages can be a source of valuable nutrients such as protein, dietary fiber, and beta–glucans, which have beneficial effects on health. Beta–glucans, in particular, have been widely studied for their role in reducing cholesterol levels and supporting heart health. Additionally, the dietary fiber in oats contributes to improved digestion and gut health, making oat–based beverages a compelling choice for health–conscious consumers. Furthermore, the reduced lactose content in products with a higher proportion of oat beverage can be beneficial for individuals with lactose intolerance, expanding their accessibility and appeal to a wider audience [6]. The findings will contribute to the development of innovative dairy–oat beverages that balance nutritional value, sensory appeal, and storage stability, aligning with contemporary dietary trends and consumer preferences.
Fermentation with lactic acid bacteria can further improve the nutritional value of oat–based beverages by increasing the concentration of beneficial organic acids and reducing sugar content, thus enhancing the overall health benefits of the beverage [7]. Organic acids such as lactic acid and acetic acid, produced during fermentation, contribute to gut microbiota health by promoting beneficial bacteria and inhibiting the growth of harmful pathogens. Moreover, these acids improve the digestibility of the beverage and enhance the bioavailability of essential nutrients.
Driven by the escalating consumer adoption of plant–centric dietary patterns and the consequent demand for substitutes for conventional dairy matrices, research and development efforts are warranted to engineer novel food formulations. These formulations should aim to synergistically integrate the nutritional profiles of dairy and oat–derived components, thereby yielding products that exhibit enhanced palatability and appeal to contemporary consumer preferences. The integration of oats with dairy in fermentation processes can lead to the development of beverages with improved functional properties, offering health benefits and appealing flavors [5]. The fermentation process can also influence the texture and viscosity of the final product, making it more palatable and enjoyable for consumers. Proper strain selection of lactic acid bacteria is crucial to achieving a desirable sensory profile, as different bacterial strains can impact the taste, aroma, and mouthfeel of the fermented beverage. Additionally, incorporating probiotics into these beverages can provide an added health benefit, supporting gut microbiome balance and immune function.
There is a growing demand for plant–based and probiotic–rich beverages as alternatives to traditional dairy products, driven by health–conscious consumers who seek functional foods that provide both nutrition and wellness benefits [8]. The development of co–fermented oat–dairy beverages aligns with these trends, offering a novel product that combines the benefits of both plant and dairy ingredients. Consumers are increasingly interested in foods that promote digestive health, cardiovascular well–being, and metabolic balance, making co–fermented oat–dairy beverages a promising addition to the functional food market.
Fermentation with lactic acid bacteria can further improve the nutritional value of oat–based beverages by increasing the concentration of beneficial organic acids and reducing sugar content, thus enhancing the overall health benefits of the beverage. Changes in the chemical composition of oat–based beverages, resulting from the addition of oat beverage, affect the fermentation process and the quality of the final product. The balance between oat and dairy components influences factors such as pH, microbial activity, and texture, which are critical to the sensory attributes and stability of the beverage. While the potential benefits of varying oat beverage ratios in fermented dairy–oat beverages are significant, challenges such as maintaining bacterial viability and optimizing sensory attributes must be addressed. Advanced food processing techniques and formulation strategies can help overcome these challenges, ensuring a high–quality final product that meets consumer expectations.
Further research could explore the balance between oat and dairy components to maximize health benefits while ensuring consumer acceptance. Investigating the effects of different fermentation conditions, bacterial strains, and oat–dairy ratios could lead to optimized formulations that enhance both nutrition and flavor. Additionally, consumer preference studies could provide insights into the ideal characteristics of co–fermented oat–dairy beverages, guiding product development to align with market demands.
In conclusion, the co–fermentation of oats and dairy presents an exciting opportunity to develop innovative functional beverages that cater to modern consumer needs. By combining the nutritional and sensory advantages of both ingredients, these beverages have the potential to become a valuable addition to the plant–based and probiotic beverage market, supporting health and well–being while offering a delicious and accessible alternative to traditional dairy products.
The aim of this study was to determine the effect of different proportions of oat beverage in cow’s milk on the physicochemical, textural, sensory, and microbiological properties of fermented dairy–oat beverages, as well as to assess the stability of these properties during cold storage. The obtained results can be used by food manufacturers to develop new, innovative oat–based products with optimized nutritional, sensory, and stability properties, meeting the needs of various consumer groups.

2. Materials and Methods

2.1. Raw Materials

The materials used to produce the dairy–oat beverages were a commercially available oat beverage from the brand Inka (GRANA Sp. z o.o., Skawina, Poland) and a UHT cow’s milk product from the brand Wypasione (Mlekovita, Wysokie Mazowieckie, Poland), with a fat content of 3.2%. According to the manufacturer’s declaration, the Inka oat beverage was made from water with a 10% oat addition, rapeseed oil, acidity regulators (dipotassium phosphate, calcium carbonate), sea salt, stabilizer (gellan gum), vitamins D, B12, and B2. The starter culture used to ferment the dairy–oat beverages was YC–X16 (Chr. Hansen, Hørsholm, Denmark), containing bacteria of the species Streptococcus thermophilus and Lactobacillus delbrueckii subsp. bulgaricus.

2.2. Primary Chemical Components of Beverages Prior to Fermentation

The preparation of dairy–oat beverages initially involved the precise measurement of cow’s milk and oat beverages into clean and sterilized glass jars in appropriate volumes (Table 1). The final volume of each sample of the beverage variants was 150–160 mL.
In the received samples of dairy–oat beverages, the content of dry matter, protein, fat, carbohydrates, and lactose was analyzed, with all analyses performed in triplicate and reported to two decimal places. The dry matter content was determined by the drying method, drying the samples at a temperature of 105 °C to a constant mass, which took approximately 4 h [9]. The protein content was determined by the Kjeldahl method, assuming a protein conversion factor of 6.38 for milk and 5.83 for oat proteins [9,10]. The crude fat content was determined by the Gerber method. Total carbohydrate content of foods was calculated by difference and is calculated by Formula (1) [10]:
100 − (weight in grams [protein + fat + water + ash + alcohol] in 100 g of food).
In the case of milk and oat beverage, it was assumed that the ash content is 0.7 g per 100 mL. The lactose content was determined by high–performance liquid chromatography (HPLC) [11].

2.3. Beverages Fermentation

A starter culture was inoculated into the prepared dairy–oat beverage samples at a rate of 0.01%. Fermentation was carried out for 6 h at 37 °C. Following fermentation, the jars were transferred to a refrigerator and stored under refrigeration (6 °C) for 28 days. The entire experiment was repeated twice on independent batches of raw materials. Each resulting sample was analyzed in duplicate. Each fermentation was performed on newly prepared samples in separate experimental runs. During the fermentation process, pH values (an acidification curve was generated based on the results obtained at 1.5 h intervals throughout the process) and lactose content were determined using HPLC [9]. In the resulting fermented beverages, color, pH, syneresis, texture (hardness, adhesiveness), and populations of thermophilic lactobacilli and streptococci were measured during 28 days of cold storage (6 °C).

2.4. Analysis of the Color Spectrum of Beverages Following Microbial Fermentation

The colors of the set yogurt samples were evaluated using a Color Meter (Contechity, Goteborg, Sweden) application, and the results were obtained using the CIELAB system. Prior to measurement, the device was calibrated using a white standard. During measurement, the device recorded the reflected light and converted it into L*, a*, and b* values. Measurements were taken at 3 points on each sample, and the results were then averaged to obtain a representative color value. The CIE LAB model defines color using three coordinates: L*, a*, and b*. The L* value describes the lightness of a color on a scale from 0 (black) to 100 (white), the a* value determines the hue direction between red (positive values) and green (negative values), while the b* value refers to the hue of yellow (positive values) and blue (negative values). This model allows for the precise determination of the color of a given object and measurement of color differences between samples.

2.5. Physicochemical Components of Beverages After the Fermentation

Initial measurements were taken immediately after fermentation was complete. Subsequent pH determinations were performed on days 7, 14, 21, and 28 of refrigerated storage. A CPO–505 pH meter (Elmetron, Zabrze, Poland) was used for these measurements. Results are presented to two decimal places.
The amount of syneresis was determined after 7, 14, 21, and 28 days of refrigerated storage. Samples were prepared by weighing 40 g of fermented beverages into falcon tubes for centrifugation. A laboratory centrifuge, MPW–350R (MPW MED. INSTRUMENTS Spółdzielnia Pracy, Warsaw, Poland), was set to a speed of 12,200× g, a temperature of 4 °C, and a run time of 20 min. After centrifugation, the supernatant was decanted and weighed. The measurement result was calculated as the ratio of the supernatant mass to the total sample mass before centrifugation, according to Formula (2):
s y n e r e s i s   % = s u p e r n a t a n t   m a s s g s a m p l e   m a s s g .
A Brookfield CT3 10K texture analyzer (Brookfield AMETEK Inc., Middleboro, MA, USA) equipped with a TA4/1000 cylindrical probe (diameter: 38.1 mm, height: 20 mm) was employed to investigate the rheological properties. Samples, previously conditioned at 6 °C, were subjected to a compressive force exerted by the probe. A force of 0.04 N was applied during the tests. The probe penetrated the sample at a speed of 2 mm/s and retracted at 4.5 mm/s. Ten measurements were conducted per second. From the beginning of the measurement, the probe traversed a distance of 25 mm into the sample at a speed of 1 mm/s. A single measurement cycle was performed for each type of fermented beverage. The applied compressive and tensile forces induced displacement of the sample’s volume, consequently disrupting its structure, allowing for the determination of its hardness. Hardness is defined as the force required to deform the sample. Adhesion, on the other hand, refers to the force necessary to separate the probe from the analyzed sample. The obtained results were graphically processed using TexturePro CT V1.4 Build 17 software (Brookfield AMETEK Inc., Middleboro, MA, USA), included in the measurement system. The reports present the final results with an accuracy of two decimal places.

2.6. Starter Culture Population After the Fermentation

Enumeration was performed using the surface drop (plate) method on the following media: M17 agar (BioMaxima, Lublin, Poland) and MRS agar (Merck, Darmstadt, Germany). All media were prepared according to the manufacturer’s instructions. The prepared media were sterilized in an autoclave at 121 °C for 15 min. Sterile media were cooled in a water bath at 50 °C, mixed thoroughly, and poured into sterile plastic Petri dishes in approximately 15 mL portions. Petri dishes with solidified agar media were inverted and placed in an incubator at 37 °C for 48 h to dry. Petri dishes with prepared media were packed in groups of 10 in foil bags and stored at 6 °C until use. Before inoculation, ten–fold dilutions of the tested fermented beverages were prepared in sterile Ringer’s solution (Merck, Darmstadt, Germany). The solution was prepared according to the manufacturer’s instructions and then sterilized in an autoclave at 121 °C for 15 min. Petri dishes were prepared by dividing them into four equal parts and labeling them according to the predetermined dilutions. A single–use pipette was used to transfer 20 μL of the mixture onto each quadrant, and the mixture was allowed to absorb into the medium. Petri dishes with MRS agar for lactobacilli were placed in an Anaerojar jar (Merck, Darmstadt, Germany), where anaerobic conditions were provided using Anaerocult sachets (Merck, Darmstadt, Germany). Petri dishes with M17 agar for the enumeration of streptococci were incubated under aerobic conditions. All Petri dishes were incubated at 37 °C for 7 days. After this time, the number of colonies was counted, and the decimal algorithm was used to calculate the number of colony–forming units per gram of the original fermented beverage sample (CFU/g). The final result, obtained from the average of two replicates, was recorded to one decimal place.

2.7. Statistical Analysis

Statistical analysis of the obtained research results was performed using Statistica 13.3 (StatSoft Polska, Kraków, Poland) software with a significance level of α = 0.05. Tukey’s HSD test was used to compare the mean values obtained in individual measurements.

3. Results

3.1. Primary Chemical Components of Beverages Prior to Fermentation

The initial dry matter content of cow’s milk was 11.84% and decreased gradually with increasing oat beverage addition (Table 2). Significant differences (p < 0.05) in dry matter were observed from as low as 25% oat beverage addition, suggesting that even small additions of oat beverage significantly diluted the solid content. The lowest dry matter value was achieved with 100% oat beverage (10.14%), which is attributed to the lower nutrient density of oat beverage compared to milk. As the proportion of oat beverage increased, protein content decreased from 3.16% in pure cow’s milk to only 0.74% in 100% oat beverage (Table 2). The oat beverage contains significantly less protein than milk, explaining the systematic decrease. These differences were statistically significant at all addition levels (p < 0.05). Lipid content decreased gradually from 3.20% in pure milk to 1.14% in 100% oat beverage (Table 2). The differences were statistically significant, indicating a lower fat concentration in oat beverage compared to milk. The total carbohydrate concentration demonstrated a positive correlation with the increasing proportion of oat beverage, ranging from 4.66% in pure milk to 7.62% in 100% oat beverage (Table 2). The increase in carbohydrates was statistically significant at all levels of oat addition (p < 0.05). This is due to the high carbohydrate content in oat beverage, which primarily consists of starch and beta–glucans. Lactose content decreases as the proportion of oat beverage increases, since oat beverage is lactose–free (Table 2). Even with a 50% oat beverage mixture, the lactose level was already more than halved compared to pure milk, suggesting that mixtures with a higher oat content may be better tolerated by individuals with lactose intolerance. In 100% oat beverage, lactose is completely absent.

3.2. Lactose Content During the Fermentation

Lactose is the primary sugar found in cow’s milk and serves as a crucial substrate for lactic acid bacteria, which convert it into lactic acid. At the start of fermentation (0 h), the sample without added oat beverage (0%) exhibited the highest lactose content, approximately 5% (Figure 1). Samples with a higher proportion of oat beverage contained less initial lactose due to the dilution of cow’s milk by the lactose–free oat beverage. The greatest differences between groups were observed at the beginning of fermentation, as the initial lactose content varied significantly based on the mixture composition. As fermentation progressed, lactose gradually decreased. After 6 h, the lactose content in the 0% sample dropped to around 2.5%. The higher the oat beverage proportion, the lower the initial lactose content and the slower the rate of its breakdown. The high initial lactose content in cow’s milk favored faster fermentation and more intense acidification of the beverage. Since oat beverage lacks lactose, its addition reduced the available substrate. The most pronounced decrease in lactose occurred in the 0–50% oat samples, indicating greater activity of the fermentative bacteria. High oat beverage content could limit the activity of yogurt bacteria, which prefer lactose as an energy source. This might explain the slower lactose breakdown rate in samples with more oat content. In the 75% oat beverage sample, lactose content declined from approximately 1.2% to 0.5% during fermentation, suggesting that the enzymatic process continued but at a less intense rate compared to samples with higher cow’s milk content. The 100% oat beverage samples exhibited 0% lactose throughout the fermentation period. With a high oat content, fermentative bacteria could partially utilize starch as an alternative energy source, reducing the demand for lactose.

3.3. The pH Value During the Fermentation

Initially, all samples exhibited a pH within the range of 6.8–7.0 (Figure 2), characteristic of unfermented dairy and dairy–oat beverages. Over time, the pH systematically decreased due to the production of lactic acid by lactic acid bacteria. In the initial phase (0–1.5 h), differences between samples were minimal, but from the third hour of fermentation, these differences became pronounced. The sample without the addition of oat beverage (0%) demonstrated the most rapid pH decline, reaching the lowest value (~4.2) after 6 h of fermentation. Increasing the proportion of oat beverage resulted in a slower acidification rate; the higher the oat content, the higher the pH at any given point during fermentation. Oat beverage contains less lactose and more starch, which may influence the slower fermentation rate. Additionally, the presence of fiber, plant proteins, and mineral compounds in oats can enhance the buffering capacity of the beverage, leading to smaller pH fluctuations and slower acidification. It is possible that the high oat content may alter the availability of nutrients for bacteria, affecting their growth and lactic acid production. Samples containing 75% and 100% oat beverage achieved the highest final pH (~4.5–4.6), suggesting that fermentation proceeded more slowly or less intensely in these samples.

3.4. Changes in the Color Spectrum of Beverages Subjected to Fermentation

Color is a key sensory parameter that influences consumer acceptance of fermented milk beverages. The L* (lightness), a* (red/green hue), and b* (yellow/blue hue) values allow for the assessment of the impact of oat beverage addition on the color of the final product. The lightest beverage is 0% oats (L = 89.4), which is consistent with the natural whiteness of fermented milk products. Lightness (L*) decreases with increasing oat beverage content, indicating a gradual darkening of the beverage. Statistically significant differences (superscripts a, b in Table 3) suggest that even at 50% oat addition, there are significant changes in the lightness of the product. The a* value indicates the balance between red (+a) and green (−a) color. Milk samples (0%) have the lowest a value (4.1), meaning a more neutral hue*. The values increase with increasing oat beverage proportion, indicating a more reddish hue as the amount of oats increases. Statistically significant differences appear from 66.6% oat addition (Table 3), meaning that at lower proportions there are no significant visual changes in terms of red/green hue. The b* value indicates the balance between yellow (+b) and blue (−b) color. Milk samples have the lowest b value = 4.0*, meaning the most neutral color. Increasing the proportion of oat beverage significantly increases the b* value, resulting in a more yellowish hue of the beverage. Statistically significant differences (Table 3) appear from 33.3% oat addition, meaning that the change in hue is more noticeable than in the case of a*.

3.5. The pH Value After the Fermentation

The initial pH of the beverages ranged from 4.25 (0% oat beverage) to 5.04 (100% oat beverage), indicating a gradual increase in pH with increasing oat beverage content (Table 4). Samples with higher oat beverage content (50–100%) exhibited higher pH values, suggesting a lower amount of fermentable sugars and potentially buffering properties of oat components (e.g., fiber and minerals). All samples showed gradual pH changes over time, which is typical for fermented dairy products. Samples with a higher oat beverage content (75–100%) exhibited greater pH changes but were initially less acidic than the pure milk sample. The greatest pH changes were observed in samples containing 100% oat beverage (from 5.04 to 5.28), suggesting limited lactic acid fermentation or the presence of buffering substances that inhibit acidification.

3.6. Syneresis

The lowest syneresis value (~50%) was observed in the sample containing only cow’s milk (0.0%), suggesting that the presence of casein significantly improves water retention capacity. As the oat beverage proportion decreased, syneresis gradually decreased (Figure 3). The differences indicate a strong influence of the oat beverage proportion on this parameter. Samples with 25–66.7% oat beverage exhibited intermediate syneresis values, with an increasing trend at higher oat contents. The 100% oat beverage sample showed the highest level of syneresis (~95–100%), indicating that the gel structure is very unstable and unable to retain water. Milk samples (0.0% and 25%) exhibited syneresis stability, with small fluctuations and a minimal increase during the final storage period. Samples with a higher proportion of oat beverage (33.3–66.7%) tended to gradually increase syneresis during storage, suggesting a weakening of the gel structure.

3.7. Texture

The hardness of dairy–oat beverages decreases with an increasing proportion of oat beverage in the mixture (Figure 4a). In beverages containing 66.6–100% oat beverage, hardness determination was not possible due to the lack of yogurt curd formation, which may be attributed to lower protein content and a different polysaccharide arrangement present in oat beverage. Samples containing 25–50% oat beverage occupy an intermediate position, suggesting the possibility of achieving a balance between consistency and oat ingredient content. In all samples, hardness exhibits relative stability over 28 days of refrigerated storage. Samples containing only cow’s milk show minimal changes in hardness, indicating the stability of the yogurt gel structure.
The sample containing exclusively cow’s milk (0.0%) and samples with 25% oat beverage exhibited the highest adhesiveness (~4.0–5.0 N), indicating that the fermented gel of these samples has strong adhesive properties. With increasing proportions of oat beverage, adhesiveness decreased systematically (Figure 4b). For samples containing 66.6–100% oat beverage addition, the adhesiveness measurement was not possible due to the lack of yogurt curd formation. Significant differences between groups confirm a significant impact of the oat beverage proportion on product texture. In the 0.0% sample (cow’s milk) and 25% oat beverage, slight fluctuations in adhesiveness were observed during storage—an initial decrease (day 7), stabilization (day 14–21), and a subsequent increase (day 28). Samples with a higher amount of oat beverage (33.3–66.7%) exhibited relatively stable adhesiveness values during storage (~2.0–3.0 N).

3.8. Starter Culture Population

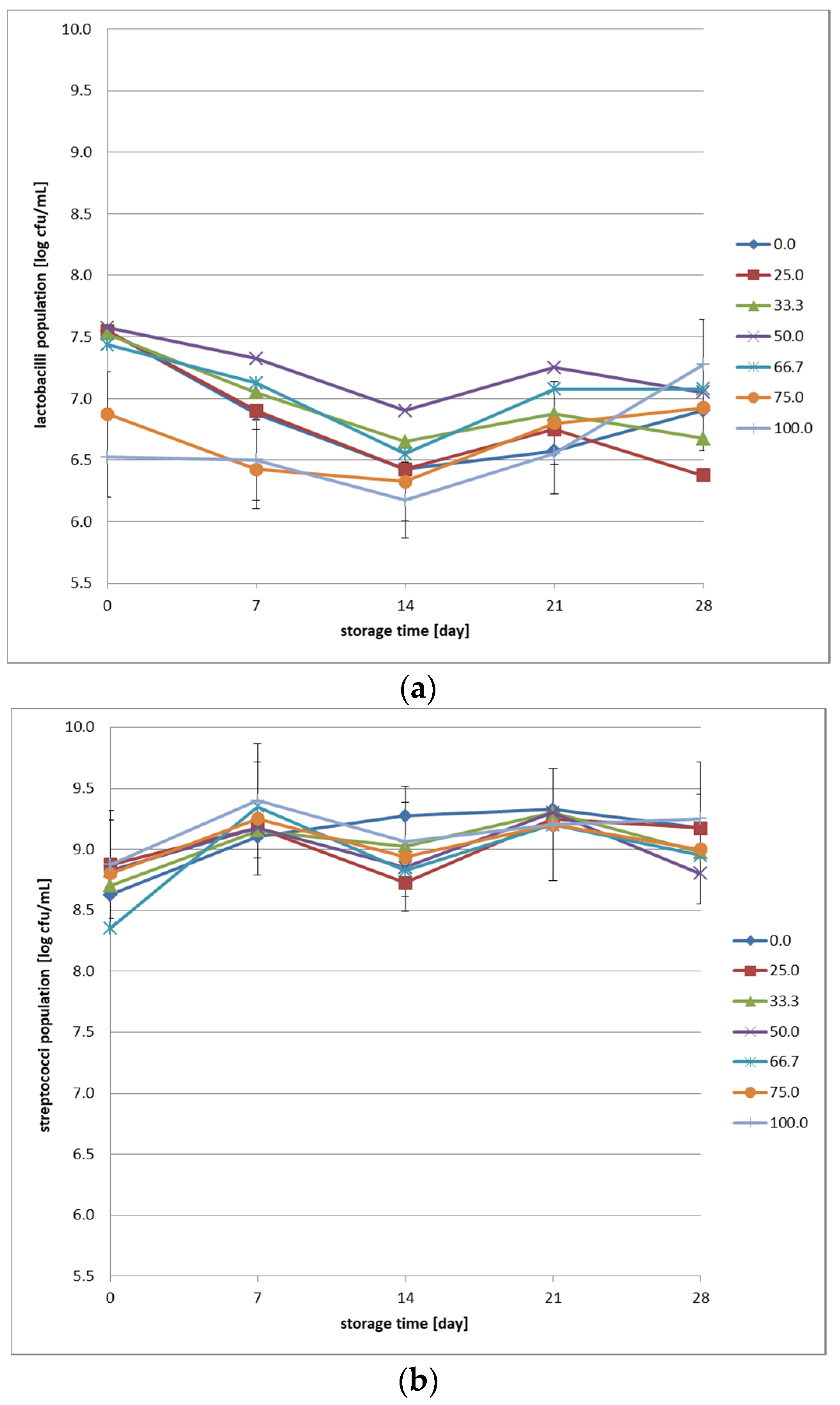
At the beginning of storage (day 0), the population of lactobacilli was relatively high in all samples (approximately 7.5 log CFU/mL), but exhibited some variation depending on the oat beverage content (Figure 5a). The sample with the highest oat beverage content (100%) had the lowest initial count. By day 14, there was a general decline in the lactobacilli population in all samples, with the most significant decrease observed in the 100% oat beverage sample and the 75% sample. The differences indicated that some values were significantly lower, suggesting a significant impact of beverage composition on microbiological stability. Samples containing 50–66.7% oat beverage exhibited relatively stable lactobacilli counts throughout the storage period.
At the beginning of storage (day 0), the population of Streptococcus bacteria was approximately 8.5–9.0 log CFU/mL in all samples (Figure 5b). No differences were observed between samples with different oat beverage proportions, suggesting that the presence of milk and oat components similarly favors the growth of these bacteria. The Streptococcus population remained stable throughout the storage period, regardless of the oat beverage proportion in the mixture. Unlike lactobacilli populations, streptococci showed greater stability regardless of the proportions of cow’s milk and oat beverage. The lack of significant statistical differences indicates that different levels of oat beverage do not significantly affect the survival of these bacteria. Presumably, streptococci adapt better to the environmental conditions of the dairy–oat beverage, even with a high proportion of oat beverage.

4. Discussion

The results of this study highlight the significant impact of varying oat beverage proportions on the physicochemical, textural, sensory, and microbiological properties of fermented dairy–oat beverages. The observed changes in fermentation kinetics, pH stability, syneresis, and microbial viability indicate that the interaction between dairy proteins and oat components plays a crucial role in determining the final product characteristics. In summary, the content of basic nutrients in dairy–oat beverages changes with an increasing proportion of oat beverage. The introduction of oat beverage to cow’s milk leads to a decrease in protein, fat, and lactose content, while simultaneously increasing the overall carbohydrate content [1,2]. These findings are consistent with previous studies, which have also demonstrated that plant–based ingredients influence the physicochemical properties and fermentation dynamics of dairy alternatives [1,3].
Changes in the chemical composition of dairy–oat beverages have significant consequences for fermentation and the quality of the final product [12]. Various studies highlight how specific components, such as soluble fibers and probiotic cultures, enhance both the nutritional profile and sensory attributes of these beverages [3,4,5]. In particular, the presence of oat–derived beta–glucans and fibers may contribute to changes in viscosity and gel structure, as previously reported in studies on plant–based fermented products [4,5]. An increased proportion of oat beverage may result in a longer fermentation time, a milder flavor, a more fluid consistency, and a greater tendency towards syneresis [13]. Milk protein, especially casein, plays a crucial role in forming the gel structure during fermentation [14,15]. A smaller amount of protein in beverages with a higher oat beverage addition can lead to a weaker protein network, which will affect the consistency and texture of the final product [16,17]. Similar observations were made in oat–based probiotic drinks, where protein interactions influenced the microstructure and texture of the final product [7].
Lactose is the primary substrate for lactic acid bacteria (Lactobacillus, Streptococcus). A smaller amount of lactose in beverages with a higher oat beverage content may slow down fermentation, extending the acidification time and changing the acid profile [13]. This can result in a higher pH and milder flavor compared to classic dairy yogurt [5]. On the other hand, oat beverage provides additional sugars, mainly starch and β–glucans [18]. Starch can be hydrolyzed into simple sugars, which can be utilized by some bacterial strains, affecting the fermentation profile and extending the adaptation period of the microflora [19,20]. Studies on oat and buckwheat fermentation support this finding, indicating that starch hydrolysis contributes to alternative metabolic pathways for microbial growth [7].
In our study, the fermentation was most vigorous in beverages containing 0–50% oats, suggesting that this oat content is optimal for maintaining the activity of fermenting bacteria. For individuals with lactose intolerance, fermented beverages with >75% oats could be a good alternative, as they contain very low levels of lactose after just a few hours of fermentation [21,22]. Further research is needed to fully understand the implications of oat–based products on diverse dietary needs. Additionally, investigating the enzymatic hydrolysis of oat starch may help optimize the fermentation process and enhance the bioavailability of key nutrients, as suggested in studies on enzyme–modified oat formulations [23]. Oat beverage slows down lactose breakdown, suggesting that in products with a high oat content, the addition of lactase enzymes could be considered to further reduce lactose levels [13,23]. Further research is warranted into the effects of adding enzymes (e.g., lactase, amylase) on improving fermentation and reducing lactose in dairy–oat beverages. In our study, the addition of oat beverage slows down the acidification process in fermented dairy–oat beverages, which may affect their stability and texture. The most intense acidification (lowest pH) occurs in samples with 0–25% oats, suggesting that smaller amounts of oats do not significantly disrupt fermentation. The optimal oat addition range (25–50%) may allow for maintaining a proper fermentation process while enriching the beverage with oat components. With a high oat content (75–100%), fermentation is significantly slower, which may require technological modifications (e.g., longer fermentation time or the addition of starch–degrading enzymes) [6]. Further research is needed on the impact of enzymatic hydrolysis of oat starch on the fermentation process and sensory acceptance of the final product. However, oat components such as β–glucans may contribute to viscosity and water retention, which suggests that alternative structuring agents (e.g., hydrocolloids) could be tested to improve the texture of high–oat formulations. In our study, a higher content of oat beverage causes a gradual darkening, yellowing, and increase in reddish hue. Optimal proportions of milk and oat beverage (25–50%) seem to be the best in terms of maintaining the typical color of a fermented dairy beverage, while avoiding excessive yellowing. Further research should investigate how these color changes affect consumer acceptance and what strategies can help maintain an attractive product color [24].
The limited pH decrease in during low–temperature storage high–oat beverages may affect their microbiological stability and sensory perception, as acidity is a significant factor in shaping the flavor of fermented beverages. A mixture containing 25–50% oat beverage appears to be the optimal solution, as it retains the characteristic features of fermented dairy products while modifying the taste and nutritional values. The study confirmed that an increasing proportion of oat beverage slows the acidification process, as evidenced by the higher final pH values in samples with 75–100% oat content. This is likely due to the lower lactose availability, which serves as the primary fermentable sugar for lactic acid bacteria, as well as the buffering capacity of oat–derived components such as fiber and minerals. Mixtures of cow’s milk and oat beverage in proportions of 25–50% seem to be the most advantageous, as they allow for a moderate level of syneresis during cold storage, which may contribute to an acceptable texture. A recent study on the stability of oat–based dairy alternatives also found that a moderate oat ratio provides better consistency and microbial viability [24].
Sensory characteristics such as texture, adhesiveness, and water–holding capacity are influenced by fermentation. High syneresis in samples dominated by oat beverage indicates limited ability to form a stable gel. This is likely due to a lower content of proteins with gelling properties (e.g., casein), which play a key role in water retention in cow’s milk [25,26]. The stability of parameters during low–temperature storage suggests that the fermentation and storage process does not drastically affect syneresis properties, but the presence of oat beverage weakens water retention in the gel structure. For optimal quality of the fermented dairy–oat beverage, recommended oat beverage proportions are 25–50%, which allows for reduced syneresis while maintaining the beneficial sensory characteristics of the product. In our study, an increasing the proportion of oat beverage significantly reduces the product’s hardness during low–temperature storage, a result of alterations in the protein composition and structural makeup of the mixture [12]. An optimal balance between hardness and oat beverage content is likely to be found within the 25–50% range, suggesting the possibility of achieving a product with a desirable consistency while retaining the beneficial attributes of both milk and oats. Hardness demonstrates stability throughout the storage period, indicating that fermented dairy–oat beverages maintain their texture under refrigeration. The high adhesiveness in samples dominated by cow’s milk results from the presence of casein, which is responsible for forming a highly cohesive gel network. Oat proteins include globulins, albumins, prolamins, and glutelin [27,28]. Samples with a moderate content of oat beverage (33.3–50%) exhibited average adhesiveness values, which may suggest optimal proportions for achieving the desired consistency. Increasing the proportion of oat beverage leads to a significant decrease in adhesiveness, suggesting a lower gelling ability and a looser structure of the system [6,12]. The stability of parameters during refrigerated storage indicates the stability of the texture of fermented dairy–oat beverages. The optimal level of oat beverage may range from 25 to 50% to achieve a product with desirable textural properties while maintaining some typical characteristics of traditional yogurt. Comparing our results with prior studies on oat–fermented beverages, we observe that optimal stability is achieved when oat beverages are used in combination with dairy proteins [29]. Future studies could explore enzymatic treatments, such as lactase or amylase addition, to enhance lactose and starch hydrolysis, thereby optimizing fermentation efficiency.
The stability of the lactobacilli population during low–temperature storage is greater in samples with a predominance of cow’s milk, suggesting that milk components promote better survival of fermentative bacteria. The addition of oat beverage affects the count of lactobacilli, with the optimal proportions for microbiological stability falling within the range of 50–66.7%. Streptococci demonstrate greater robustness to variations in media composition relative to lactobacilli, implying their crucial significance in safeguarding the microbiological stability of fermented dairy–oat products. The selection of an appropriate starter culture is crucial for achieving the desired pH in oat–based dairy beverages [28,29]. To enhance microbial viability, future research could explore the use of protective cultures, prebiotic fortification, or alternative bacterial strains with improved adaptability to oat substrates. Our results align with findings from prior research that demonstrated the protective role of dairy proteins in maintaining bacterial viability in probiotic beverages [28]. Study [28] demonstrated that the use of specific bacterial strains, such as Bifidobacterium animalis subsp. lactis Bb–12 and Propionibacterium freudenreichii subsp. shermanii PS–4, results in faster and more efficient acidification of the oat beverage, leading to a lower pH. This, in turn, has a significant impact on the quality and shelf life of the product. Additionally, the presence of propionibacteria improves the beverage’s water–holding capacity, while bifidobacteria reduce its viscosity [28].
These findings provide a foundation for the development of innovative fermented dairy–oat beverages with enhanced functionality and consumer appeal. Further research should focus on the impact of enzymatic treatments, starter culture selection, and ingredient modifications to improve the stability and sensory characteristics of these beverages. Additionally, future studies could investigate consumer preferences regarding texture, acidity, and sweetness levels to optimize product formulation for different target groups.

5. Conclusions

This study comprehensively evaluated the impact of varying proportions of oat beverage in cow’s milk on the physicochemical, textural, sensory, and microbiological properties of fermented dairy–oat beverages. For the first time, this research conducted a detailed analysis of the interactions between oat components and milk proteins during fermentation, providing novel insights into the mechanisms influencing the quality of the final product. The results unequivocally indicate that the addition of oat beverage significantly modifies the chemical composition, fermentation process, and quality characteristics of the beverage. With increasing oat beverage content, a decrease in protein, fat, and lactose content was observed, accompanied by an increase in total carbohydrate content. Importantly, this study demonstrated that a higher proportion of oats slows down fermentation, as evidenced by higher pH and slower lactose breakdown. The finding may be crucial for optimizing the production process. The fermentation process was slower in higher oat concentrations, resulting in milder acidification, which could be beneficial for consumers preferring less acidic products.
The textural analysis revealed that with increasing oat beverage content, the beverages became darker, more yellowish, and acquired a reddish hue. Increased syneresis was also observed, indicating a weakening of the gel structure and a lower water–holding capacity. These changes highlight the need for formulation optimization to balance sensory appeal and stability. An innovative aspect of the research is the detailed determination of the influence of the milk–to–oat ratio on the stability of fermentative bacteria (lactobacilli and streptococci), providing new data on their adaptive abilities in altered environmental conditions. A key achievement of the study is the identification of the optimal range of proportions of cow’s milk and oat beverage (25–50% oat content), ensuring the best balance between microbiological stability, desired texture, and sensory properties. The obtained results can be applied in the development of new, improved formulations of fermented dairy–oat beverages, tailored to the needs of consumers seeking innovative and functional food products.
These findings are relevant for the food industry, as they provide a foundation for the development of innovative fermented dairy–oat beverages with enhanced functionality and consumer appeal. The obtained results can be used by food producers to develop new, innovative oat–based products with optimized nutritional, sensory, and stability properties, meeting the needs of various consumer groups. Further research may be needed to determine whether the findings can be generalized to other oat beverage types or starter cultures. Further research also should focus on the impact of the addition of enzymes (e.g., lactase, amylase) on improving fermentation and reducing lactose in dairy–oat beverages, as well as on assessing consumer acceptance and possibilities of modifying the product color. Moreover, studies assessing alternative oat beverage formulations or different starter cultures could provide deeper insights into improving product quality and market potential.

Author Contributions

Conceptualization, M.Z. and D.Z.; methodology, M.Z., E.K. and T.F.; validation, M.Z. and D.Z.; formal analysis, M.Z., E.K. and T.F.; investigation, M.Z., E.K. and T.F.; resources, M.Z. and D.Z.; data curation, M.Z. and D.Z.; writing—original draft preparation, M.Z., D.Z., E.K. and T.F.; writing—review and editing, M.Z., D.Z., E.K. and T.F.; visualization, M.Z. and D.Z.; supervision, M.Z.; project administration, M.Z.; funding acquisition, M.Z. All authors have read and agreed to the published version of the manuscript.

Funding

This research received no external funding.

Institutional Review Board Statement

Not applicable.

Informed Consent Statement

Not applicable.

Data Availability Statement

The authors confirm that the data supporting the findings of this study are available within the article.

Acknowledgments

The authors gratefully acknowledge the Institute of Food Sciences of Warsaw University of Life Sciences WULS–SGGW for supporting and providing necessary infrastructure and research stuff).

Conflicts of Interest

The authors declare no conflicts of interest.

References

  1. Lindström, C.; Voinot, A.; Forslund, A.; Holst, O.; Rascón, A.; Öste, R.; Östman, E. An Oat Bran–Based Beverage Reduce Postprandial Glycaemia Equivalent to Yoghurt in Healthy Overweight Subjects. Int. J. Food Sci. Nutr. 2015, 66, 700–705. [Google Scholar] [CrossRef] [PubMed]
  2. D’Andrea, A.E.; Kinchla, A.J.; Nolden, A.A. A Comparison of the Nutritional Profile and Nutrient Density of Commercially Available Plant–Based and Dairy Yogurts in the United States. Front. Nutr. 2023, 10, 1195045. [Google Scholar] [CrossRef] [PubMed]
  3. Cheng, Y.; Yu, Q.; Xia, X.; Qian, J.; Xu, Q.; Yu, H.; Guo, Y.; Xie, Y.; Yao, W.; Qian, H. The Effect of Lactococcus Lactis CICC 23610 Fermentation on the Physicochemical Properties and Flavor Formation of Oat Beverage. Cereal Chem. 2024, 101, 817–832. [Google Scholar] [CrossRef]
  4. Klajn, V.M.; Ames, C.W.; da Cunha, K.F.; Lorini, A.; Hackbart, H.C.S.; Filho, P.J.S.; Cruxen, C.E.S.; Fiorentini, Â.M. Probiotic Fermented Oat Dairy Beverage: Viability of Lactobacillus Casei, Fatty Acid Profile, Phenolic Compound Content and Acceptability. J. Food Sci. Technol. 2021, 58, 3444–3452. [Google Scholar] [CrossRef]
  5. Yu, Q.; Qian, J.; Xu, Q.; Guo, Y.; Yao, W.; Qian, H.; Cheng, Y. Integration of Cross–Correlation Analysis and Untargeted Flavoromics Reveals Unique Flavor Formation of Lactic Acid Bacteria Co–Fermented Oat Beverage. Food Biosci. 2024, 59, 103855. [Google Scholar] [CrossRef]
  6. Kütt, M.-L.; Orgusaar, K.; Stulova, I.; Priidik, R.; Pismennõi, D.; Vaikma, H.; Kallastu, A.; Zhogoleva, A.; Morell, I.; Kriščiunaite, T. Starter Culture Growth Dynamics and Sensory Properties of Fermented Oat Drink. Heliyon 2023, 9, e15627. [Google Scholar] [CrossRef]
  7. Küçükgöz, K.; Franczak, A.; Borysewicz, W.; Kamińska, K.; Salman, M.; Mosiej, W.; Kruk, M.; Kołożyn–Krajewska, D.; Trząskowska, M. Impact of Lactic Acid Fermentation on the Organic Acids and Sugars of Developed Oat and Buckwheat Beverages. Fermentation 2024, 10, 373. [Google Scholar] [CrossRef]
  8. Khrundin, D.V.; Nikitina, E.V. Chemical, Textural and Antioxidant Properties of Oat–Fermented Beverages with Different Starter Lactic Acid Bacteria and Pectin. BioTech 2024, 13, 38. [Google Scholar] [CrossRef]
  9. Ziarno, M.; Zaręba, D.; Maciejak, M.; Veber, A.L. The impact of dairy starter cultures on selected qualitative properties of functional fermented beverage prepared from germinated white kidney beans. J. Food Nutr. Res. 2019, 58, 167–176. [Google Scholar]
  10. Food Energy—Methods of Analysis and Conversion Factors. Available online: https://www.fao.org/4/y5022e/y5022e00.htm#Contents (accessed on 8 February 2025).
  11. Ziarno, M.; Cichońska, P.; Kowalska, E.; Zaręba, D. Probiotic–Enriched Ice Cream with Fermented White Kidney Bean Homogenate: Survival, Antioxidant Activity, and Potential for Future Health Benefits. Molecules 2024, 29, 3222. [Google Scholar] [CrossRef]
  12. Brückner–Gühmann, M.; Banovic, M.; Drusch, S. Towards an Increased Plant Protein Intake: Rheological Properties, Sensory Perception and Consumer Acceptability of Lactic Acid Fermented, Oat–Based Gels. Food Hydrocoll. 2019, 96, 201–208. [Google Scholar] [CrossRef]
  13. Popova, N.V.; Kalinina, I.V.; Vasiliev, A.K.; Kameneva, K.S. Evaluation of the effectiveness and optimization of the process of oatmeal of oatmeal with lactic acid microorganisms. Agrar. Sci. 2024, 2, 127–132. (In Russian) [Google Scholar] [CrossRef]
  14. Wang, X.; Zhao, Z.; Wang, X.; Zhao, Z. Acid–Induced Gelation of Milk: Formation Mechanism, Gel Characterization, and Influence of Different Techniques. In Current Issues and Advances in the Dairy Industry; IntechOpen: Rijeka, Croatia, 2022; ISBN 978-1-83768-093-1. [Google Scholar]
  15. Lucey, J.A. Chapter 16—Milk Protein Gels. In Milk Proteins; Thompson, A., Boland, M., Singh, H., Eds.; Food Science and Technology; Academic Press: San Diego, MA, USA, 2008; pp. 449–481. ISBN 978-0-12-374039-7. [Google Scholar]
  16. Nascimento, L.G.L. Casein Hydrogels: Interaction with Bioactive Compounds and Vegetable Proteins. Ph.D. Thesis, Université de Lille, Lille, France, 2022. [Google Scholar]
  17. Raak, N.; Rohm, H.; Jaros, D. Enzymatic Cross–Linking of Casein Facilitates Gel Structure Weakening Induced by Overacidification. Food Biophys. 2017, 12, 261–268. [Google Scholar] [CrossRef]
  18. Daou, C.; Zhang, H. Oat Beta–Glucan: Its Role in Health Promotion and Prevention of Diseases. Compr. Rev. Food Sci. Food Saf. 2012, 11, 355–365. [Google Scholar] [CrossRef]
  19. Lund, E.K.; Johnson, I.T. Fermentable Carbohydrate Reaching the Colon after Ingestion of Oats in Humans. J. Nutr. 1991, 121, 311–317. [Google Scholar] [CrossRef] [PubMed]
  20. Yu, Q.; Xia, X.; Qian, J.; Xu, Q.; Yu, H.; Guo, Y.; Xie, Y.; Yao, W.; Qian, H.; Cheng, Y. A Study on Physicochemical Properties and Flavor Profile of Oat Beverage Fermented by Lactococcus Lactis. SSRN 2023. [Google Scholar] [CrossRef]
  21. Liang, B. Fermented Plant–Based Cereal Beverages as a Good Alternative to Fermented Milk Beverages: From Nutritional Composition, Microorganisms, and Sensory Properties. In Proceedings of the Second International Conference on Biological Engineering and Medical Science (ICBioMed 2022), Online, 7–13 November 2022; SPIE: Bellingham, DC, USA, 2023; Volume 12611, pp. 14–21. [Google Scholar]
  22. Gupta, M.; Bajaj, B.K. Development of Fermented Oat Flour Beverage as a Potential Probiotic Vehicle. Food Biosci. 2017, 20, 104–109. [Google Scholar] [CrossRef]
  23. Ramzan, S.; Sharif, M.K.; Ejaz, R. Utilization of Probiotics for the Development of Non–Dairy (Oat and Barley Based) Milk Products Targeting Lactose Intolerant Individuals. RADS J. Biol. Res. Appl. Sci 2021, 12, 8–16. [Google Scholar] [CrossRef]
  24. Mårtensson, O.; Andersson, C.; Andersson, K.; Öste, R.; Holst, O. Formulation of an Oat–Based Fermented Product and Its Comparison with Yoghurt. J. Sci. Food Agric. 2001, 81, 1314–1321. [Google Scholar] [CrossRef]
  25. Kneifel, W.; Seiler, A. Water–Holding Properties of Milk Protein Products—A Review. Food Struct. 1993, 12, 3. [Google Scholar]
  26. Lucey, J.A. Formation and Physical Properties of Milk Protein Gels. J. Dairy Sci. 2002, 85, 281–294. [Google Scholar] [CrossRef] [PubMed]
  27. Runyon, J.R.; Sunilkumar, B.A.; Nilsson, L.; Rascon, A.; Bergenståhl, B. The Effect of Heat Treatment on the Soluble Protein Content of Oats. J. Cereal Sci. 2015, 65, 119–124. [Google Scholar] [CrossRef]
  28. Ziarno, M.; Zaręba, D.; Ścibisz, I.; Kozłowska, M. Texture and Water Holding Capacity of Oat Drinks Fermented with Lactic Acid Bacteria, Bifidobacteria and Propionibacterium. Int. J. Food Prop. 2024, 27, 106–122. [Google Scholar] [CrossRef]
  29. Nasr, N.M.; Khider, M.K.A.; Atallah, K.M.; Metry, W.A. Functional Low and Free–Fat Fermented Milk Drink Supplemented with Oats. J. Food Dairy Sci. 2018, 3, 45–52. [Google Scholar] [CrossRef]
Figure 1. Lactose content (means and SD) during the fermentation.
Figure 1. Lactose content (means and SD) during the fermentation.
Applsci 15 03219 g001
Figure 2. The pH value (means and SD) during the fermentation.
Figure 2. The pH value (means and SD) during the fermentation.
Applsci 15 03219 g002
Figure 3. Syneresis attributes (means and SD) of fermented dairy–oat beverages as affected by varying oat beverage proportions under refrigeration.
Figure 3. Syneresis attributes (means and SD) of fermented dairy–oat beverages as affected by varying oat beverage proportions under refrigeration.
Applsci 15 03219 g003
Figure 4. Texture attributes (means and SD) of fermented dairy–oat beverages as affected by varying oat beverage proportions under refrigeration: (a) hardness; (b) adhesiveness.
Figure 4. Texture attributes (means and SD) of fermented dairy–oat beverages as affected by varying oat beverage proportions under refrigeration: (a) hardness; (b) adhesiveness.
Applsci 15 03219 g004
Figure 5. Starter culture population (means and SD) in fermented dairy–oat beverages as affected by varying oat beverage proportions under refrigeration: (a) lactobacilli population; (b) streptococci population.
Figure 5. Starter culture population (means and SD) in fermented dairy–oat beverages as affected by varying oat beverage proportions under refrigeration: (a) lactobacilli population; (b) streptococci population.
Applsci 15 03219 g005
Table 1. The formulated composition of the resulting dairy–oat beverages.
Table 1. The formulated composition of the resulting dairy–oat beverages.
% Oat Beverage to Be
Added to Cow’s Milk
0.025.033.350.066.775.0100.0
addition of cow’s milk [mL]1501201007550400
addition of oat beverage [mL]0405075100120150
Table 2. Primary chemical components (means and SD) of dairy–oat beverages as affected by varying oat beverage proportions prior to fermentation.
Table 2. Primary chemical components (means and SD) of dairy–oat beverages as affected by varying oat beverage proportions prior to fermentation.
% Oat Beverage to Be
Added to Cow’s Milk
025.033.350.066.675.0100
dry matter [%]11.84 a ± 0.1111.42 b ± 0.0811.32 b ± 0.0810.98 c ± 0.0810.72 c ± 0.0810.62 c,d ± 0.0810.14 d ± 0.11
proteins [%]3.16 a ± 0.052.54 b ± 0.052.34 c ± 0.051.90 d ± 0.001.54 e ± 0.051.34 f ± 0.050.74 g ± 0.05
lipids [%]3.20 a ± 0.002.64 b ± 0.052.54 b ± 0.052.14 c ± 0.051.84 d ± 0.031.64 d ± 0.041.14 e ± 0.04
carbohydrates, total [%]4.66 a ± 0.055.46 b ± 0.055.66 c ± 0.046.16 d ± 0.066.66 e ± 0.046.82 f ± 0.037.62 g ± 0.06
lactose [%]4.64 a ± 0.093.54 b ± 0.053.14 c ± 0.052.34 d ± 0.041.54 e ± 0.051.14 f ± 0.050.00 g ± 0.00
a, b, c, d, e, f, g Different superscripts within the rows for the results of a specific parameter show significant difference at p < 0.05.
Table 3. The color attributes (means and SD) of fermented dairy–oat beverages as affected by varying oat beverage proportions under refrigeration.
Table 3. The color attributes (means and SD) of fermented dairy–oat beverages as affected by varying oat beverage proportions under refrigeration.
% Oat Beverage to Be
Added to Cow’s Milk
025.033.350.066.675.0100
L*89.4 a ± 6.086.8 a ± 6.385.4 a ± 5.483.4 a,b ± 3.882.8 b ± 4.882.2 b ± 4.078.0 b ± 2.3
a*4.1 a ± 2.94.0 a ± 2.44.2 a ± 2.14.2 a ± 2.35.0 b ± 2.45.9 b,c ± 2.06.0 c ± 2.6
b*4.0 a ± 3.74.6 a,b ± 4.25.4 b ± 4.28.2 c ± 3.89.8 c ± 4.113.7 c,d ± 5.114.0 d ± 2.1
a, b, c, d Different superscripts within the rows for the results of a specific parameter show significant difference at p < 0.05.
Table 4. The pH value (means and SD) of fermented dairy–oat beverages as affected by varying oat beverage proportions under refrigeration.
Table 4. The pH value (means and SD) of fermented dairy–oat beverages as affected by varying oat beverage proportions under refrigeration.
% Oat Beverage to Be
Added to Cow’s Milk
025.033.350.066.675.0100
04.25 a ± 0.014.44 a,b ± 0.014.46 a,b ± 0.014.54 a,b ± 0.044.72 b ± 0.014.84 c ± 0.015.04 c ± 0.01
74.26 a ± 0.014.47 a,b ± 0.024.53 a,b ± 0.014.65 b ± 0.014.81 b,c ± 0.014.89 c ± 0.025.10 c ± 0.02
144.25 a ± 0.054.49 a,b ± 0.014.52 a,b ± 0.054.69 b ± 0.034.79 b ± 0.074.93 c ± 0.025.16 c ± 0.03
214.24 a ± 0.044.51 a,b ± 0.024.53 a,b ± 0.064.69 b ± 0.064.76 b ± 0.034.98 c ± 0.035.22 c,d ± 0.04
284.18 a ± 0.084.54 a,b ± 0.034.56 a,b ± 0.054.69 b ± 0.084.78 b ± 0.084.97 c ± 0.095.28 c,d ± 0.05
a, b, c, d Different superscripts within the tables show significant difference at p < 0.05.
Disclaimer/Publisher’s Note: The statements, opinions and data contained in all publications are solely those of the individual author(s) and contributor(s) and not of MDPI and/or the editor(s). MDPI and/or the editor(s) disclaim responsibility for any injury to people or property resulting from any ideas, methods, instructions or products referred to in the content.

Share and Cite

MDPI and ACS Style

Ziarno, M.; Zaręba, D.; Kowalska, E.; Florowski, T. The Effect of Varying Oat Beverage Ratios on the Characteristics of Fermented Dairy–Oat Beverages. Appl. Sci. 2025, 15, 3219. https://doi.org/10.3390/app15063219

AMA Style

Ziarno M, Zaręba D, Kowalska E, Florowski T. The Effect of Varying Oat Beverage Ratios on the Characteristics of Fermented Dairy–Oat Beverages. Applied Sciences. 2025; 15(6):3219. https://doi.org/10.3390/app15063219

Chicago/Turabian Style

Ziarno, Małgorzata, Dorota Zaręba, Ewa Kowalska, and Tomasz Florowski. 2025. "The Effect of Varying Oat Beverage Ratios on the Characteristics of Fermented Dairy–Oat Beverages" Applied Sciences 15, no. 6: 3219. https://doi.org/10.3390/app15063219

APA Style

Ziarno, M., Zaręba, D., Kowalska, E., & Florowski, T. (2025). The Effect of Varying Oat Beverage Ratios on the Characteristics of Fermented Dairy–Oat Beverages. Applied Sciences, 15(6), 3219. https://doi.org/10.3390/app15063219

Note that from the first issue of 2016, this journal uses article numbers instead of page numbers. See further details here.

Article Metrics

Back to TopTop