Weakening Detection of Composite Structure Adhesive Layer Based on Nonlinear Guided Waves
Abstract
1. Introduction
2. Theoretical Background
3. Numerical Solution for Dispersion Curves in Composite Structures
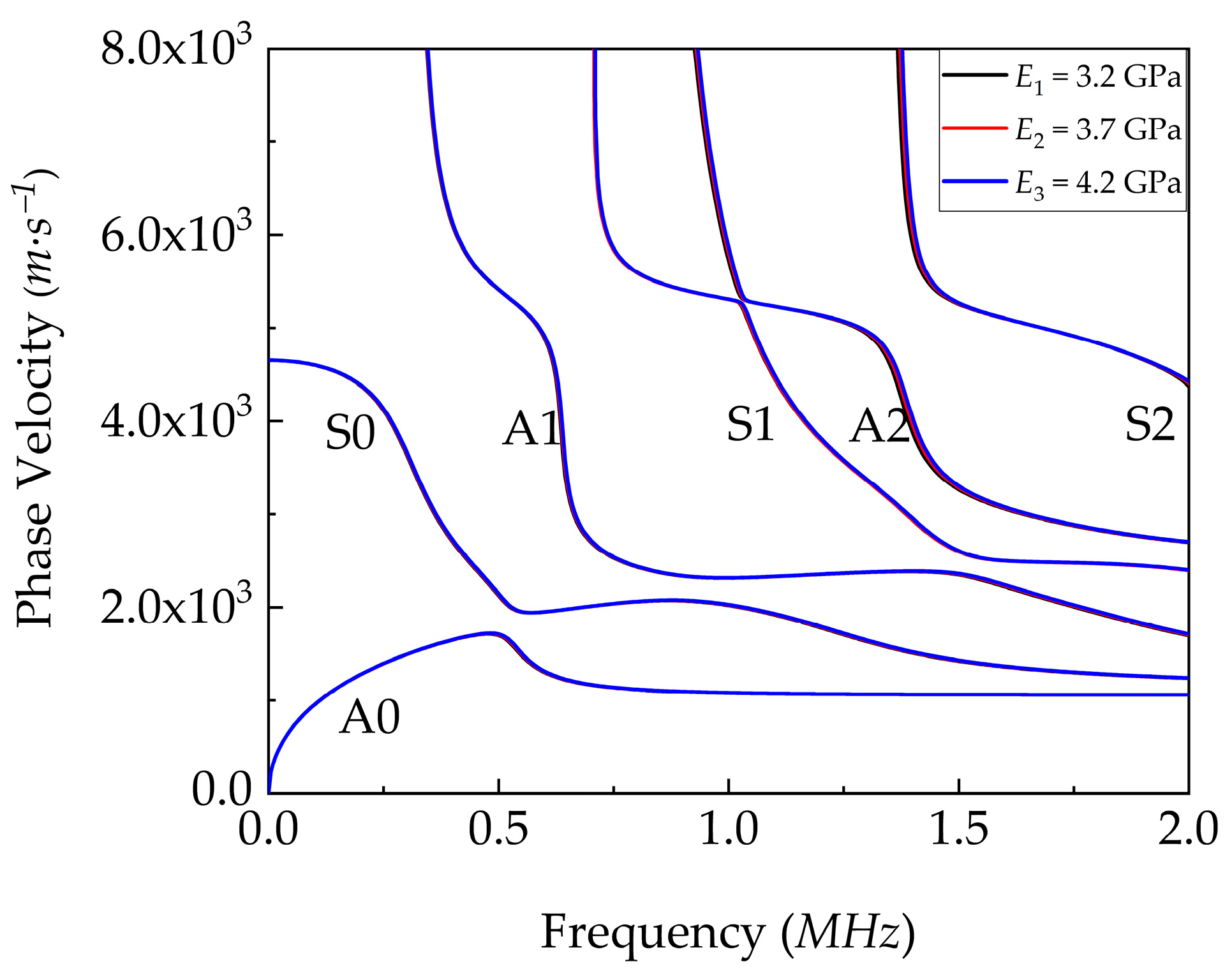
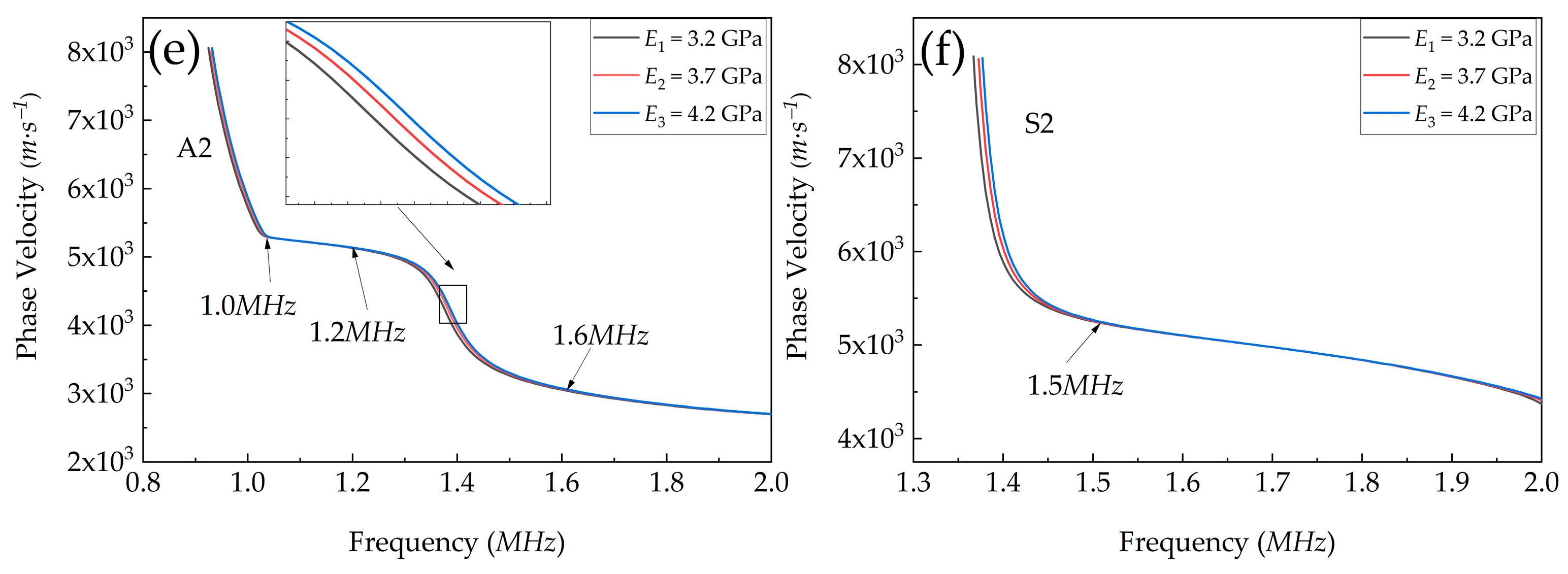
3.1. Impact of Elastic Modulus of the Adhesive Layer on Dispersion Characteristics
3.2. Impact of Poisson’s Ratio of the Adhesive Layer on Dispersion Characteristics
4. Simulation of Nonlinear Ultrasonic Guided Waves Using Finite Element Methods
4.1. Finite Element Simulation of Nonlinear Ultrasonic Guided Waves in Composite Structures
4.2. Detection and Analysis of Overall Weakening in Adhesive Layers
4.3. Detection and Analysis of Localized Damage in Adhesive Layers
5. Experiment
5.1. Experimental Equipment
5.2. Experimental Results and Analysis
6. Conclusions
- (1)
- Using the transfer matrix method, the dispersion equation for a three-layer composite structure was established. The phase velocity varies with changes in the elastic modulus and Poisson’s ratio of the adhesive layer. Furthermore, the degree of variation differs across different modes and frequency ranges. On these grounds, the A1-S1 mode pair that met the phase-matching conditions was selected.
- (2)
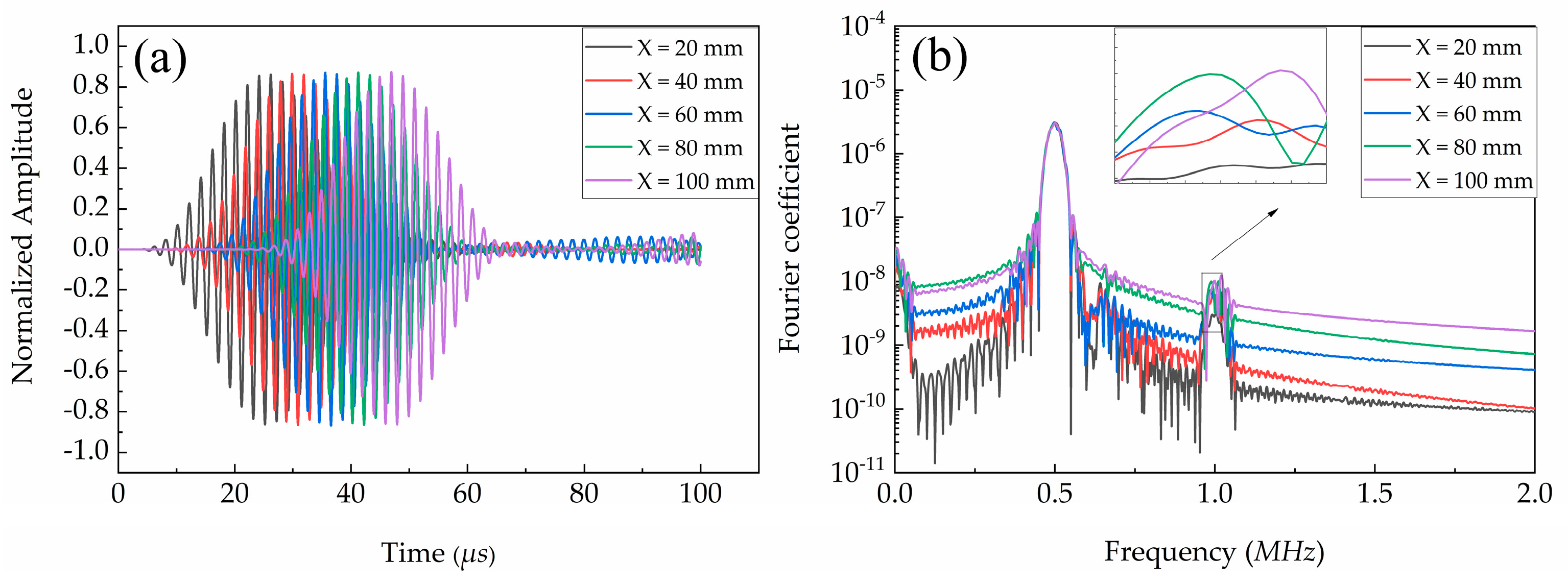
- Simulations were conducted using the A1-S1 mode pair, resulting in a maximum error of 5.15% and a minimum of 4.38% in the group velocity. Additionally, the amplitude of the second-order harmonic and the nonlinear coefficient gradually accumulated and increased as the Lamb wave propagation distance increased. As the third-order elastic modulus of the adhesive layer increased, indicating an increase in the early-stage overall weakening of the adhesive layer, the second harmonic amplitude and nonlinear coefficient gradually increased with increasing propagation distance.
- (3)
- Signals from the undamaged model and the damaged model were almost identical, while the second-order harmonic amplitude of the damaged model increased compared to the undamaged model. For models with local damage at 40–60 mm, the increase in the nonlinear coefficient was more significant, and there was a sudden change in the slope of the nonlinear coefficient at this position. Therefore, the approximate location of the damage can be determined by observing the sudden change in the slope of the nonlinear coefficient.
- (4)
- The maximum and minimum errors between the experimental and theoretical group velocities were 6.96% and 3.82%, respectively. Additionally, the increase in the nonlinear coefficient with increasing propagation distance demonstrated the accumulative effect of the second harmonic in nonlinear guided waves.
Author Contributions
Funding
Institutional Review Board Statement
Informed Consent Statement
Data Availability Statement
Conflicts of Interest
References
- Azad, M.M.; Munyaneza, O.; Jung, J.; Sohn, J.W.; Han, J.-W.; Kim, H.S. Damage Localization and Severity Assessment in Composite Structures Using Deep Learning Based on Lamb Waves. Sensors 2024, 24, 8057. [Google Scholar] [CrossRef] [PubMed]
- Masi, A.; Falchi, M.; Brizi, D.; Canicattì, E.; Nenna, G.; Monorchio, A. Inductive Frequency-Coded Sensor for Non-Destructive Structural Strain Monitoring of Composite Materials. Sensors 2024, 24, 6725. [Google Scholar] [CrossRef] [PubMed]
- Hao, T.Y. Application of ultrasonic nondestructive testing technology. Metall. Mater. 2023, 43, 91–93. [Google Scholar]
- Adams, M.; Huijer, A.; Kassapoglou, C.; Vaders, J.A.A.; Pahlavan, L. In Situ Non-Destructive Stiffness Assessment of Fiber Reinforced Composite Plates Using Ultrasonic Guided Waves. Sensors 2024, 24, 2747. [Google Scholar] [CrossRef] [PubMed]
- Yilmaz, B.; Asokkumar, A.; Jasiūnienė, E.; Kažys, R.J. Air-Coupled, Contact, and Immersion Ultrasonic Non-Destructive Testing: Comparison for Bonding Quality Evaluation. Appl. Sci. 2020, 10, 6757. [Google Scholar] [CrossRef]
- Feng, T.; Sharif Khodaei, Z.; Aliabadi, M.H.F. Influence of Composite Thickness on Ultrasonic Guided Wave Propagation for Damage Detection. Sensors 2022, 22, 7799. [Google Scholar] [CrossRef]
- Li, P.X.; Wang, X.G.; Li, X.G.; Shen, G.L. Evaluating interfacial bonding quality of multilayered structure based on ultrasonic testing technology. Meas. Sci. Technol. 2023, 34, 1361–6501. [Google Scholar] [CrossRef]
- Wang, J.X.; Wang, X.G.; Shen, G.L.; Li, X.G. Research on interface bonding characteristics of layered medium using ultrasonic oblique incidence. Compos. Struct. 2022, 295, 115733. [Google Scholar] [CrossRef]
- Wang, X.G.; Liu, H.W.; Li, X.G.; Huang, Z.C. Air-Coupled Ultrasonic Guided Wave Detection of Double-Layer Adhesive Interface Characteristics. J. Vib. Meas. Diagn. 2022, 42, 16–22. [Google Scholar] [CrossRef]
- Li, W.; Chen, B.; Qing, X.; Cho, Y. Characterization of Microstructural Evolution by Ultrasonic Nonlinear Parameters Adjusted by Attenuation Factor. Metals 2019, 9, 271. [Google Scholar] [CrossRef]
- Li, X.; Shui, G.; Zhao, Y.; Wang, Y. Propagation of Non-Linear Lamb Waves in Adhesive Joint with Micro-Cracks Distributing Randomly. Appl. Sci. 2020, 10, 741. [Google Scholar] [CrossRef]
- Xu, X.C.; Hao, J.; Guo, C.Z.; Xiao, D.G. Ultrasonic Resonance Detection Method for Deep Interface Debonding of Multilayer Bonded Materials. China Meas. Test. 2022, 48, 14–20. [Google Scholar] [CrossRef] [PubMed]
- Liu, J.T.; Jin, Y.; Zhang, H.Y.; Fan, C. Study on Ultrasonic Detection Method Based on Multilayer Interface Debonding. Foreign Electron. Meas. Technol. 2020, 39, 58–62. [Google Scholar] [CrossRef]
- Muller, M.F.; Kim, J.Y.; Qu, J. Characteristics of second harmonic generation of Lamb waves in nonlinear elastic plates. J. Acoust. Soc. Am. 2010, 127, 2141. [Google Scholar] [CrossRef] [PubMed]
- Pineda Allen, J.C.; Ng, C.T. Mixing of Non-Collinear Lamb Wave Pulses in Plates with Material Nonlinearity. Sensors 2023, 23, 716. [Google Scholar] [CrossRef] [PubMed]
- Reza, S.; Mohammad, H.Y.; Arash, M. Locating cracks in isotropic plates using nonlinear guided waves. Appl. Acoust. 2023, 211, 109522. [Google Scholar] [CrossRef]
- Lee, Y.F.; Lu, Y. Identification of Fatigue Crack Under Vibration by Nonlinear Guided Waves. Mech. Syst. Signal Process. 2022, 163, 108138. [Google Scholar] [CrossRef]
- Li, W.; Cho, Y. Thermal Fatigue Damage Assessment in an Isotropic Pipe Using Nonlinear Ultrasonic Guided Waves. Exp. Mech. 2014, 54, 1309–1318. [Google Scholar] [CrossRef]
- Zhao, C.; Tanweer, S.; Li, J.; Lin, M.; Zhang, X. Nonlinear Guided Wave Tomography for Detection and Evaluation of Early-Life Material Degradation in Plates. Sensors 2021, 21, 5498. [Google Scholar] [CrossRef] [PubMed]
- Deng, M.X. A Nonlinear Ultrasonic Lamb Wave Method for Characterizing the Properties of Adhesive Layers in Composite Sandwich Panels. Acta Acust. 2005, 30, 542–551. [Google Scholar]
- Dileep, K.; David, B.; Prabhu, R.; Balasubramaniam, K. Detection of interfacial weakness in a lap-shear joint using shear horizontal guided waves. NDT & E Int. 2020, 112, 102248. [Google Scholar] [CrossRef]
- Zhang, P.; Qu, J. Forced guided waves in linearly elastic plates (II)—A modified normal-mode expansion method. Ultrasonics 2020, 108, 106232. [Google Scholar] [CrossRef]
- Wu, H.; Li, X.G.; Shen, G.L. Interface Quality Detection of Double-layer Bonding Structures Based on Ultrasonic Guided Wave Technology. J. Mech. Eng. 2024, 35, 916–927. [Google Scholar]
- Wang, J.Z.; Qu, J.M. Guided wave propagation in a double-layer plate with a nonlinear spring-interface. Ultrasonics 2024, 137, 107189. [Google Scholar] [CrossRef]
- Zhang, P.; Qu, J. Forced guided waves in linearly elastic plates (I)—An examination of the normal-mode expansion method. Ultrasonics 2020, 108, 106231. [Google Scholar] [CrossRef] [PubMed]
- Li, M.; Deng, M.X.; Gao, G.J.; Xiang, Y.X. Mode pair selection of circumferential guided waves for cumulative second-harmonic generation in a circular tube. Ultrasonics 2018, 82, 171–177. [Google Scholar] [CrossRef] [PubMed]
- Chen, H.; Deng, M.X.; Gao, G.J.; Xiang, Y.X. Modeling and simulation of static component generation of Lamb wave propagation in a layered plate. Ultrasonics 2021, 116, 106473. [Google Scholar] [CrossRef] [PubMed]
- Gao, G.J.; Deng, M.X.; Li, M.L. Modal expansion analysis of nonlinear circumferential guided wave propagation in a circular tube. Acta Phys. Sin. 2015, 64, 361–369. [Google Scholar] [CrossRef]
- Jiao, J.P.; Li, L.; Gao, X.; Wu, B.; He, C.F. Nonlinear Lamb Wave Mixing Detection of Fatigue Damage in Metal Plates. Acta Acust. 2022, 47, 256–265. [Google Scholar]
- Lissenden, C.J.; Liu, Y.; Chillara, V.K.; Choi, G.; Cho, H. Nonlinear guided wave mixing for localized material state characterization. Phys. Procedia 2015, 70, 668–671. [Google Scholar] [CrossRef][Green Version]
- Zhao, J.; Chillara, V.K.; Ren, B.; Cho, H.; Qiu, J.; Lissenden, C.J. Second harmonic generation in composites: Theoretical and numerical analyses. J. Appl. Phys. 2016, 119, 64902. [Google Scholar] [CrossRef]




















| Medium Material | P-Wave Velocity CL/(km·s−1) | S-Wave Velocity CT/(km·s−1) | Density ρ/(g·cm−3) | Young’s Modulus E/(Gpa) | Poisson’s Ratio |
|---|---|---|---|---|---|
| Aluminum | 6.26 | 3.08 | 2.7 | 69 | 0.33 |
| Acrylic Resin | 2.74 | 1.16 | 1.12 | 4.2 | 0.39 |
| Polystyrene | 2.34 | 1.15 | 1.05 | 3.7 | 0.34 |
| Material | Density (g/cm3) | Poisson’s Ratio | Young’s Modulus (GPa) | l (GPa) | m (GPa) | n (GPa) |
|---|---|---|---|---|---|---|
| Acrylic Resin | 1.12 | 0.39 | 4.2 | −0.9 | −95 | −12 |
| Frequency (MHz) | Relative Distance (mm) | Theoretical Group Velocity (km/s) | Simulated Group Velocity (km/s) | Error |
|---|---|---|---|---|
| 0.5 | 20 | 3.88 | 3.68 | 5.15% |
| 40 | 3.71 | 4.38% | ||
| 60 | 3.71 | 4.38% | ||
| 80 | 3.71 | 4.38% |
| Frequency (MHz) | Relative Distance (mm) | Theoretical Group Velocity (km/s) | Simulated Group Velocity (km/s) | Error | |
|---|---|---|---|---|---|
| Experiment 1 | 0.5 | 40 | 3.88 | 4.14 | 6.72% |
| 80 | 4.03 | 3.82% | |||
| Experiment 2 | 0.5 | 40 | 3.88 | 3.72 | 4.20% |
| 80 | 3.71 | 4.38% | |||
| Experiment 3 | 0.5 | 40 | 3.88 | 4.06 | 4.64% |
| 80 | 4.15 | 6.96% |
Disclaimer/Publisher’s Note: The statements, opinions and data contained in all publications are solely those of the individual author(s) and contributor(s) and not of MDPI and/or the editor(s). MDPI and/or the editor(s) disclaim responsibility for any injury to people or property resulting from any ideas, methods, instructions or products referred to in the content. |
© 2025 by the authors. Licensee MDPI, Basel, Switzerland. This article is an open access article distributed under the terms and conditions of the Creative Commons Attribution (CC BY) license (https://creativecommons.org/licenses/by/4.0/).
Share and Cite
Bu, F.; Wei, W.; Wang, X.; Li, X.; Shen, G.; Ma, C.; Tang, G. Weakening Detection of Composite Structure Adhesive Layer Based on Nonlinear Guided Waves. Appl. Sci. 2025, 15, 1836. https://doi.org/10.3390/app15041836
Bu F, Wei W, Wang X, Li X, Shen G, Ma C, Tang G. Weakening Detection of Composite Structure Adhesive Layer Based on Nonlinear Guided Waves. Applied Sciences. 2025; 15(4):1836. https://doi.org/10.3390/app15041836
Chicago/Turabian StyleBu, Fanqiang, Wencong Wei, Xingguo Wang, Xiaogao Li, Guolang Shen, Chengwen Ma, and Guoxing Tang. 2025. "Weakening Detection of Composite Structure Adhesive Layer Based on Nonlinear Guided Waves" Applied Sciences 15, no. 4: 1836. https://doi.org/10.3390/app15041836
APA StyleBu, F., Wei, W., Wang, X., Li, X., Shen, G., Ma, C., & Tang, G. (2025). Weakening Detection of Composite Structure Adhesive Layer Based on Nonlinear Guided Waves. Applied Sciences, 15(4), 1836. https://doi.org/10.3390/app15041836

