Next Article in Journal
Dynamic Modeling and Output Characteristics Analysis of the Hub-Drive Reduction System
Previous Article in Journal
Analysis of Photocatalytic Properties of Poly(Methyl Methacrylate) Composites with Titanium(IV) and Ruthenium(III) Complexes
 
 
Font Type:
Arial Georgia Verdana
Font Size:
Aa Aa Aa
Line Spacing:
Column Width:
Background:
Article

A Multi-Branch Adaptive Model with Hybrid Time—Frequency Loss to the Enhanced Joint Moment Prediction of Prosthetic Control and Human Motion Applications

1
School of Computer Science and Mathematics, Fujian University of Technology, Fuzhou 350116, China
2
State Grid Fujian Electric Power Co., Ltd., Information and Communication Branch, Fuzhou 350116, China
3
Fujian Zhikangyun Medical Technology Co., Ltd., Fuzhou 350116, China
*
Author to whom correspondence should be addressed.
Appl. Sci. 2025, 15(4), 1678; https://doi.org/10.3390/app15041678
Submission received: 6 January 2025 / Revised: 4 February 2025 / Accepted: 5 February 2025 / Published: 7 February 2025
(This article belongs to the Section Robotics and Automation)

Abstract

In the fields of prosthetic control and rapid response prediction for human motion, the accurate prediction of joint moments is crucial for understanding and simulating human behavior. However, traditional time series models, especially when trained using small batches and limited data for single-time step predictions, frequently encounter difficulties in managing long-term dependencies. This deficiency significantly compromises their ability to generalize and maintain predictive accuracy over extended periods. To address these challenges, an innovative model called Multi-Branch Adaptive Encoding (MAE) has been introduced. This model features an adaptive weight module that employs a multi-branch input strategy to dynamically allocate weights to different surface electromyography (sEMG) signals and joint angles, thereby optimizing the processing of small sample data. Additionally, a feature extraction encoder, named Simplified Feature Transformer (SFT) has been designed. This encoder substitutes traditional attention mechanisms with a Multilayer Perceptron (MLP) and omits the decoder component to enhance the model’s efficiency and offer significant advantages in small-batch training and long-term prediction capabilities. A Hybrid Time–Frequency Loss (HTFLoss) has also been introduced to complement the MAE model. This approach significantly enhances the model’s ability to handle long-term dependencies. The MAE model and HTFLoss demonstrate an increase in Variance Accounted For (VAF) of 0.08 ± 0.03, a reduction in Root Mean Square Error (RMSE) of 1.77 ± 0.735, and an improvement in the coefficient of determination (R²) of 0.09 ± 0.05, indicating substantial superiority. These enhancements highlight the extensive potential applications of the model in the fields of rehabilitation medicine, and human-machine interaction. The improved predictive accuracy and the ability to manage long-term dependencies make this model particularly valuable in designing advanced prosthetic devices that can better mimic natural limb movements, thereby improving the quality of life for amputees.

1. Introduction

Joint moment, generated by muscle contraction and exerted on joints to drive various body movements and activities, plays a crucial role in human motion assessment [1,2] and rehabilitation medicine [3,4], among other fields [5,6,7]. Traditionally, the acquisition of joint moment has relied on anatomical data and invasive surgical measurements [8], which has limited its application in clinical practice.
Researchers have recently turned to more accessible and non-invasive methods, such as deep learning and neural networks [9,10]. In contrast, deep learning models have shown great promise in more advanced applications, such as prosthetic control and rehabilitation robotics. These models can be used to accurately predict joint moments, which are crucial for real-time adjustments of prosthetic limbs, enabling smoother and more natural movements [11,12,13]. Similarly, in the field of rehabilitation, deep learning models can enhance rehabilitation robotics by monitoring and improving the performance of robotic systems designed for physical therapy, offering personalized interventions tailored to patients with musculoskeletal or neurological disorders. Additionally, these models can be integrated into wearable devices, providing real-time feedback based on muscle activity and joint angle measurements, and thus promoting personalized rehabilitation [14,15,16]. These advancements highlight the potential of deep learning for improving prosthetic and rehabilitation systems, addressing the dynamic and complex nature of human motion. Initially, research primarily depended on models based on Artificial Neural Networks (ANN). For instance, Xiong et al. [17] introduced a method using an ANN framework integrated with the Hill muscle model to predict human joint moments accurately with online measurable inputs, and [18] developed a method to predict human lower extremity joint moments using a small number of input variables through an ANN optimized by Elastic Net, which predicted joint moment sequentially in the short term based on biomechanical principles. However, this approach has shown significant limitations in handling long sequence data for long-term predictions, particularly in capturing and forecasting dynamic changes at distant time points.
To address this challenge, recent research has tended to predict biological signals in time-series models by forming overlapping windows of continuous data points and training at high batch sizes. Chang et al. [19] developed TranSEMG, a model that integrates spatial and temporal sEMG features to accurately predict hip joint moments, surpassing existing models with its dual-stream architecture. Shepherd et al. [20] developed and validated a Machine Learning Estimator using a deep convolutional neural network for dynamic control of ankle exoskeletons to enhance walking efficiency across variable speeds. Kang et al. [21] developed and validated a convolutional neural network-based gait phase estimator for real-time control of a robotic hip exoskeleton during various walking conditions, significantly improving gait phase estimation accuracy. Hossain et al. [22] developed the DL-Kinetics-FM-Net to accurately predict hip, knee, and ankle joint moments using a single IMU sensor across various walking conditions, demonstrating substantial improvements over traditional deep learning models. Rania Kolaghassi et al. [23] developed deep learning models to predict stable gait trajectories for exoskeleton reference trajectories aimed at aiding children with Cerebral Palsy. All these methods have to some extend enhancd the ability to handle time series data and long-sequence predictions through deep architectures and optimization strategies. The aforementioned approach, which utilizes overlapping windows of data points during the training process, though enhancing the model’s memory capacity, also introduces a series of issues. Firstly, high-batch training may result in redundant information in the model process, especially when the input data contains significant noise [24,25], leading to the introduction of excessive, unnecessary information and thus reducing data utilization efficiency. Additionally, this method demands substantial computational resources [26,27] and may be unsuitable for applications requiring real-time or near-real-time responses due to extended model reaction times. This is particularly limiting in fields requiring rapid decision-making and precise dynamic predictions, such as biomedical and rehabilitation technology, significantly restricting its practical utility.
Moreover, the complexity and transient changes in human motion [28,29,30] present additional challenges to the design of predictive systems. The use of surface electromyography (sEMG) signals optimizes the immediate capture of muscle activity, significantly enhancing the model’s accuracy and response speed in transient dynamics analysis. Particularly within 200 to 300 milliseconds after the generation of sEMG signals [31,32,33], the rapid short-term changes and the cumulative effects of long-term motion trends significantly impact joint moments, an aspect that existing models have not sufficiently addressed, necessitating higher demands for the design of prosthetic devices and mechanical control systems. Consequently, this study has developed a model utilizing the Multi-Branch Adaptive Encoding (MAE) approach with a small batch training regimen, leveraging sEMG signals and joint angles as inputs. This model predicts joint moments over a set duration through a single sliding window and employs a high-frequency loss function to adjust sensitivity to local features. This methodology aims to reduce computational load and enhance the rapid response capabilities of the model to biomechanical dynamics, while improving the accuracy and generalizability of predictions. Although still in the exploratory stage, the theoretical advantages of this approach make it suitable for real-time or near-real-time applications such as rehabilitation robots [34,35] and exoskeleton control systems [36]. Further research and validation may provide significant technological support for designing advanced exoskeleton control strategies and offer rehabilitation assistance to individuals with mobility impairments [36].
To address these challenges, this study proposes a novel framework based on the Multi-Branch Adaptive Encoding (MAE) approach, leveraging surface electromyography (sEMG) signals and joint angles as primary inputs. The proposed model is designed to predict joint moments over a specified duration using a single sliding window strategy, integrated with a Hybrid Time-Frequency Loss function to optimize both temporal and spectral feature sensitivity. By minimizing computational overhead and enhancing real-time responsiveness, this framework aims to significantly improve the accuracy, generalizability, and robustness of joint moment predictions. The proposed methodology is particularly tailored for real-time or near-real-time applications, including advanced rehabilitation robotics and exoskeleton control systems, where precise dynamic predictions and rapid decision-making are critical.

2. Methodology

The task addressed in this study is depicted in Figure 1. Based on this task, the framework of the proposed MAE model is illustrated in Figure 2. It consists of three core components: the AdaptiveWeight Module, the SFT Module, and the HTFLoss. In the model, sEMG signals and joint angles are first downsampled and preprocessed before being used as inputs. The inputs are then processed through a multi-branch approach, where the prepared sEMG signals, joint angles, and their combination are directed to the AdaptiveWeight Module for weight extraction. Subsequently, weights are assigned to each branch, and temporal features are extracted by the SFT Module, followed by a weighted averaging and concatenation. Finally, during the training phase, the output predictions are optimized through the HTFLoss. Each module is described in detail below.

2.1. AdaptiveWeight Module

The innovative AdaptiveWeightModule is depicted in Figure 3. The module integrates Depthwise Separable Convolution (DSC) and Multilayer Perceptrons (MLP) within a multi-branch structure. This design allows the module to learn effectively from diverse feature spaces, including surface sEMG signals, joint angles, and their combinations. The AdaptiveWeightModule is particularly designed to handle the significant spatiotemporal discrepancies that arise from muscle synergy as well as from the forward and inverse dynamics of muscles and joints [37]. The core component of this module, the Depthwise Separable Convolution, operates by processing each input data channel (e.g., sEMG, joint angles, etc.) independently at every time step. Unlike traditional convolution, where multiple channels are processed together, DSC applies a filter to each channel separately, making it computationally efficient. After this process, the output from each channel is then combined, allowing the network to focus on extracting features specific to each input type. This method reduces the number of parameters needed, which in turn enhances the model’s efficiency and enables it to handle the biological signals more effectively [38].
Following the DSC layer, the Multilayer Perceptrons (MLPs) take over to further refine the output. The MLPs integrate the refined features from the DSC with the initial inputs from the respective branches, generating adaptive weights. These adaptive weights help the model focus on the most relevant features for predicting joint moments at different time points. Essentially, the MLPs assess the significance of each input channel (like sEMG or joint angles) over time, assigning more importance to features that are crucial for accurate predictions. By considering the temporal relevance of each feature, the model becomes better equipped to predict joint moments, leading to more accurate and nuanced predictions.This workflow ensures that the module can dynamically adapt to varying input signals and improve the overall accuracy of joint moment predictions. The workflow is as follows:
(1) This method allows the model to independently process features of input data channels at each time point, which reduces the number of parameters and enhance feature extraction flexibility. For input features X, the depthwise separable convolution can be expressed as:
X o u t = R e L U ( B N ( P C ( R e L U ( B N ( D C ( X ) ) ) ) ) )
where D C represents the depthwise convolution operation, P C denotes the pointwise convolution, B N is batch normalization, and R e L U is the activation function.
(2) The MLP is employed to learn feature weights from the output after depthwise separable convolution, enhancing the precision and adaptability of predictions. This can be depicted as:
W = M L P ( X o u t )
where W represents the learned weights, used for subsequent feature fusion and decision-making.

2.2. Simplified Feature Transformer Module

The goal of the SFT model is to generate precise predictions highly correlated with joint moment, as depicted in Figure 4. This process requires the fusion of information from different branches to produce the final prediction or output. Based on the Transformer model, this study employs a single-layer encoder structure in the feature extraction part, reducing the consumption of computational resources and enabling better handling of small sample data. Moreover, the traditional multi-head attention mechanism is replaced with a Multilayer Perceptron (MLP) to offer a more flexible and efficient learning process. The MLP can better capture the complex nonlinear relationships and long-range dependencies in features such as biological signals by compressing the input dimensions and then expanding them, which helps reduce noise interference in the data. This dynamic focus is particularly important in capturing the local characteristics of muscle signals and joint angles at different time intervals. When processing features such as biological signals, small batch training combined with Layer Normalization (LayerNorm) enhances both the stability and speed of convergence. This also helps improve the model’s ability to handle practical data, such as sEMG signals and joint angle data. Additionally, the model integrates spatiotemporal information across various branches, ensuring that different time-related features are appropriately weighted. The methodological details are described as follows:
(1) Encoder Architecture: The SFT model utilizes a single-layer encoder structure in its feature extraction phase. This choice helps reduce computational resource demands, making the model more suitable for handling datasets with small sample sizes.
(2) Attention Mechanism Replacement: In the SFT model, traditional multi-head attention mechanisms are replaced with MLP. This adjustment allows the model to more flexibly learn relationships between input sequence features. Specifically, the MLP compresses the input dimensions and then expands them, which helps to obscure noise interference in the data. This enables the model to effectively capture complex nonlinear relationships and long-range dependencies, which are prevalent in biological signals. MLPs are particularly effective in this context, improving the model’s ability to understand intricate feature relationships and enhancing its overall performance.
(3) Focus on Local Characteristics: The model is adept at capturing local characteristics of sEMG signals and joint angles at various time intervals. This ability is crucial for accurately modeling biological signals.
(4) Training Enhancements: Employing small batch training coupled with Layer Normalization (LayerNorm) enhances the model’s training stability and speeds up convergence. These features are beneficial when processing signals like sEMG and joint angle data.

2.3. Hybrid Time–Frequency Loss

A novel Hybrid Time–Frequency Loss (HTFLoss) function was implemented. Traditional MSE methods calculate prediction errors considering only time-domain information [39], and treat all errors equally. However, for tasks such as predicting joint moments, focusing on errors in the frequency domain is crucial. High-frequency components are typically associated with rapid changes in joint moments, while low-frequency components correspond to slower variations [40]. Frequency domain analysis aids in better understanding the dynamic characteristics of movement (e.g., muscle force exertion and joint kinematics). HTFLoss combines time-domain and frequency-domain errors, capturing dynamic changes in predictions more comprehensively and enhancing the model’s sensitivity to rapid changes and smoothing transitional states.
In fact, by combining the time domain with the frequency domain, the HTFLoss function is specifically tuned to enhance sensitivity to sudden, significant changes by assigning greater weight to frequency domain errors in tasks involving dynamic motion, which is essential for accurate moment prediction is crucial. This targeted approach allows for better understanding and handling of prediction errors, ensuring that significant changes in joint dynamics do not go unnoticed, which is critical for precise movement control and injury prevention. Paying more attention to frequency domain components can help accurately capture the local characteristics of joint motion, which is crucial in scenarios such as rehabilitation treatment and sports performance monitoring, thus greatly improving the overall prediction accuracy of the model.
The specific process involves the following mathematical expressions, where A b s represents the modulus of the complex number, F F T stands for the fast Fourier Transform, W F denotes the weights for the frequency domain, with a range of 0.6 to 0.9, performing best at 0.9, and W T represents the weights for the time domain, with a range of 0.1 to 0.4, performing best at 0.1, and M e a n signifies the calculation of the average:
(1) Compute the error between predicted values and ground truth:
E r r o r = P r e d i c t i o n T a r g e t
(2) Decompose the error into frequency domain using Fourier transformation:
F r e q u e n c y d o m a i n = A b s ( F F T ( E r r o r ) )
(3) Assign weights to the frequency domain and time domain:
F l o s s = W F × M e a n ( F r e q u e n c y d o m a i n 2 )
T l o s s = W T × M e a n ( E r r o r 2 )
(4) Sum the losses of the frequency domain and time domain to obtain the total loss:
T o t a l l o s s = F l o s s + T l o s s
This chapter mainly introduces the design concept of the model, aiming to improve the performance of the model in related tasks. The model achieves this goal through many innovations: first, the sEMG signal, joint angle and their combination are used as three input branches, integrated into the adaptive weight module, and the deep separable convolution combined with the MLP adaptive module is used to dynamically assign weights to specific branches, effectively improving the efficiency of feature utilization and model learning effect; second, SFT is proposed based on the Transformer architecture, MLP replaces the traditional attention mechanism and changes the traditional encoder-decoder format, while reducing the computational burden, it can also retain the ability to recognize complex data relationships, thereby improving efficiency and prediction accuracy; third, the new Hybrid Time–Frequency Loss (HTFLoss) function is introduced to better integrate time domain and frequency domain information, enhance the joint torque feature structure, and make the transition state prediction smoother, thereby improving the prediction quality and the model’s ability to respond to dynamic changes.

3. Experiment

3.1. Dataset Description

The experimental data for this study were obtained from a publicly available dataset [41]. This dataset includes data from five participants who engaged in treadmill exercises at various speeds. It comprises data from Inertial Measurement Units (IMUs), surface Electromyography (sEMG) signals from eleven muscle groups gluteus medius (GLME), external oblique (EO), semitendinosus (ST), gracilis, biceps femoris (BF), rectus femoris (RF), vastus lateralis (VL), vastus medialis (VM), soleus (SOL), tibialis anterior (TA), and gastrocnemius medialis (GM), as well as joint angles of the knee, ankle, and hip. Joint moments were calculated using inverse dynamics principles through the open-source biomechanical software.
This research utilized data from five healthy individuals (two males and three females) from the dataset, which included surface electromyography signals, joint angles, and hip flexion joint moments of the right lower limb during treadmill exercises. The ages of these individuals ranged from 20 to 24 years, with heights between 152 and 175 centimeters, and weights from 55 to 87 kilograms, as detailed in Table 1. This study aimed to use a limited amount of human sEMG signals and joint angle data to predict hip joint moments during walking at varying speeds. Participants performed treadmill exercises spanning a broad range of speeds, divided into seven sessions. Each session comprised four distinct speeds; For instance, in the first session (0.5 m/s, 1.3 m/s, 1.7 m/s, 0.9 m/s), participants started at 0 m/s, accelerated to 0.5 m/s and maintained this speed for 30 s, then accelerated to 1.3 m/s and maintained for another 30 s, followed by an increase to 1.7 m/s for 30 s, then decelerated to 0.9 m/s for an additional 30 s, and finally slowed to 0 m/s to conclude the session. Subsequent sessions increased each speed incrementally by 0.05 m/s, such as the second session (0.55 m/s, 1.35 m/s, 1.75 m/s, 0.95 m/s), and so. The initial running session was utilized as the training set, with the remaining six sessions used as the test set, as depicted in Table 2.

3.2. Data Preprocessing

During data acquisition, discrepancies in the sampling frequencies of sEMG signals compared to joint angles and joint moments were observed. Specifically, the sEMG signals were sampled at a rate of 1000 Hz, while the sampling rate for joint angles and joint moments was 200 Hz. To establish a one-to-one correspondence in the temporal alignment of these different datasets, the sEMG signals from treadmill experiments were down-sampled with a time step of 5 ms to reduce their sampling frequency to 200 Hz. Subsequently, the down-sampled data was further segmented into 300 ms time steps for predicting the hip joint moment in the next 300 ms. Specifically, muscle signals (GLME, ST, BF, RF) and hip flexion joint angles and hip adduction joint angles were selected as input data for predicting hip flexion joint moment, based on the principle of hip joint moment driving [42], as shown in Table 3. Considering individual variability, in this study, the model was configured to train a separate model for each individual. To emphasize the model’s generalization ability, the first experiment for each individual, such as (0.5 m/s, 1.3 m/s, 1.7 m/s, 0.9 m/s), was used as the training set, while the remaining 6 experiments served as the testing set.

3.3. Performance Metrics for Evaluation

Three evaluation metrics were used to assess the accuracy of model predictions in the experiments.which are Root Mean Square Error (RMSE), Coefficient of Determination (R²), and Variance Accounted For (VAF). The formulas of them are given in the following:
R M S E = i N y i y ^ i 2 N
R 2 = 1 i = 1 N ( y i y ^ i ) 2 i = 1 N ( y i y ¯ ) 2
V A F = [ 1 v a r ( y ^ i y i ) v a r ( y i ) ]
where, N represents the number of data points, y i is the actual value, y ^ i is the predicted value, and y ¯ is the mean of the actual values. RMSE is a metric used to gauge the model’s predictive errors by measuring the root mean square difference between the model’s predictions and the actual observed values. Therefore, for RMSE, a lower value is deemed more favorable, indicating smaller predictive errors by the model. R², is a metric utilized to assess the model’s goodness of fit, signifying the percentage of variance in the dependent variable that the model can account for. Consequently, for R², a higher value is preferred, signifying a superior fit of the model to the actual data. VAF is a metric used to quantify the proportion of total variance in the data that the model can explain. Thus, for VAF, a higher value is also considered more desirable, indicating the model’s enhanced ability to describe the data.

3.4. Experimental Setting

All models used in this study were set up based on the PyTorch framework and trained on an NVIDIA A40-40G GPU using the Adam optimizer with a learning rate of 0.001. ReLU was used as the activation function, and a dropout rate of 0.2 was applied to prevent overfitting. The input was consistent across training, with a window size of 300 ms. The number of epochs was set to 200.

4. Results

4.1. Model Feasibility

To assess the feasibility of the proposed method, we selected one of the five participants, identified as Subject 4, for experimental analysis. We trained the model using the biological signal data obtained from their first treadmill experiment and predicted the remaining six hip flexion joint momen. The predicted results were compared with the hip flexion joint moments calculated through inverse dynamics using OpenSim. As depicted in Figure 5, the hip flexion joint moments predicted by the MAE model with HTFLoss are represented by a blue line, while those calculated using OpenSim inverse dynamics are shown by a red line. The graph demonstrates that the model’s predictions closely align with the actual values, even in regions with significant fluctuations, confirming the feasibility of the developed model and highlighting its robust adaptability in handling rapid changes in joint moments.

4.2. Comparative Experiments and Ablation Studies

In this section, experiments will be conducted using data from five healthy individuals performing treadmill exercises. The primary objective of these experiments is to evaluate the effectiveness of the proposed MAE model in predicting hip joint moments using a small sample dataset. A comprehensive performance evaluation will be carried out by comparing this model with the original Transformer model [43] and other deep learning models in terms of predictive accuracy and generalization capabilities, which include:
(1) Model I: The original Transformer model [43].
(2) Model II: The original Transformer model utilizing HTFLoss.
(3) Model III: The MAE model using traditional Mean Squared Error (MSE) loss.
(4) Model IV: The MAE model employing HTFLoss.
Additionally, our model will be benchmarked against LSTM [44], TCN [45] and BioMat [46] models through multiple runs to highlight the distinctions in handling long-term dependencies between the MAE model and traditional memory-based approaches. This comparison aims to demonstrate the superior capability of the MAE model in managing long-term dependencies efficiently, which is crucial for dynamic and accurate prediction of joint moments.The results of this study are expected to provide valuable insights into the scalability and applicability of the MAE model in biomechanical prediction tasks, showcasing its potential to improve upon existing methodologies in the field.
The performance of the model was assessed over six test sets for each subject, comprising a total of 30 test sets. Evaluation metrics included VAF, RMSE, and the R². Table 4 presents the mean values and standard deviations of these metrics for each subject’s test sets, demonstrating the model’s consistency and accuracy in interpreting biological signal data across different test instances.
To ascertain the superiority of the MAE model, we employed biological signal data from the initial treadmill experiment of subject Subject 5 to train seven different models: LSTM, TCN, BioMat, Model I, Model II, Model III, and Model IV. These models were then tested using six subsequent experimental datasets. The average values and standard deviations of the VAF, RMSE, and R² metrics for these models are documented in Table 5. The results demonstrate that the MAE model (Model IV) outperformed all other comparative models across all evaluation metrics.
Further investigation involved validating the robustness of the results through ablation studies conducted on five individuals with Models I, II, III, and IV. The outcomes of these experiments, as shown in Table 6, highlighted the significant advantages of the MAE model, particularly when integrated with HFMESLoss. Compared to the traditional Transformer model (Model I), the MAE model exhibited enhanced predictive capabilities, significantly boosting the performance of Model I with the aid of HFMESLoss. Model IV surpassed all other ablation models in all evaluation metrics.
Additionally, this study also trained and tested other models (LSTM [44], TCN [47] and BioMat [46]) that predict biological signals from biological signals. The results, as displayed in Table 7, indicate that our proposed MAE model consistently outperformed all other models across all metrics.
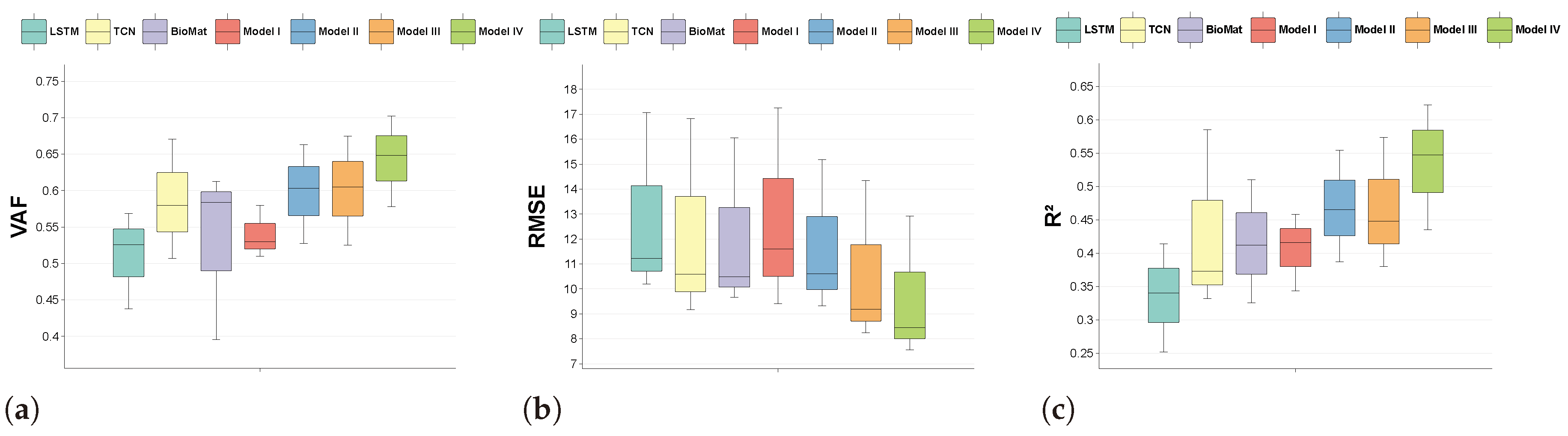
To visually demonstrate the performance of each model, we converted the metrics for all seven models across all subjects into box plots, as depicted in Figure 6. The results distinctly showcase the significant advantages of our innovative model, also affirming the feasibility of using small samples for predicting joint moments. This offers new insights for mechanical control and the study of transient changes in the field.

5. Disscusion and Conclusions

5.1. Disscusion

In this paper, we introduced a newly developed MAE model and its integration with HTFLoss, tailored for the task shown in Figure 1, to predict hip flexion joint moments in a subsequent 300 ms period based on biological signals recorded over a 300 ms interval. The study utilized a public dataset comprising biological data from multiple subjects performing on a treadmill, including sEMG signals, joint angles, and hip flexion joint moments derived through OpenSim. To evaluate the stability of our model with small sample data, it used data from a single experimental run (involving four speed variations) to predict hip flexion joint moments for six additional experimental runs (comprising 28 speeds). As illustrated in Figure 5, our model demonstrateds minor discrepancies between predicted values and actual values, effectively capturing sharp fluctuations at peaks and troughs. This validates the feasibility of training models on small batches and predicting biological signals using few data samples. Table 4 displays the average values of three metrics across different subjects, highlighting individual variability which not only reflects in demographic data (age, gender, height, weight) presented in Table 1 but also in differences in skeletal frameworks and behavioral habits that cause variability in the computed data. Table 4 shows the performance of the MAE model combined with HTFLoss on six test sets of five subjects, evaluated by VAF, RMSE, and R² indicators. From the data, the VAF mean is between 0.5782 and 0.7025, and the overall mean is about 0.6478, indicating that the model has a certain ability to explain the variance of biological signals, but there are differences between different subjects. The standard deviation of subject 4 is 0.1548, and the fluctuation is relatively large, reflecting that the test data is large The difference or the adaptability of the model is unstable; the RMSE mean is in the range of 7.5606–12.9176, and the overall mean is about 9.7957. The error of subject 4 is relatively small, while the standard deviation of subject 2 is 2.3302, and the error fluctuates greatly; the R² mean is between 0.4347 and 0.6223, and the overall mean is about 0.5359, indicating that the model has a good fitting effect on the biological signal of subject 4, but the standard deviation of subjects 1 and 4 is 0.1873, and the fitting stability is poor. In general, the performance of the model on different subjects varies. The mean and standard deviation of each indicator reflect the uneven accuracy and consistency of the model in interpreting biological signals. Further correlation analysis can be used to explore the intrinsic connection between the indicators to deeply evaluate the model performance. Furthermore, hardware detection errors during data collection introduced noise into the dataset, contributing to the variability observed.
On Subject 5, our model was juxtaposed against six others, revealing through Table 5 that models such as LSTM, TCN, BioMat, and Transformer Model (Model I) exhibit only marginal variations across metrics like VAF, RMSE, and R². Table 5 presents the performance metrics, including VAF, RMSE, and R², of seven different models (LSTM, TCN, BioMat, Model I, Model II, Model III, and Model IV) trained using the initial treadmill data of Subject 5, and records the mean and standard deviation of these metrics for the subsequent six experiments. From the VAF indicator, its mean range is between 0.5033 (BioMat) and 0.6485 (Model IV). The standard deviation shows that the degree of fluctuation of each model in different experiments is different. For example, the standard deviation of Model III is 0.1269, which fluctuates greatly, while the standard deviation of Model II is 0.0392, which is relatively stable. The mean of RMSE indicator is between 8.3952 (Model IV) and 11.5938 (Model I). The standard deviation reflects the fluctuation of the prediction error of each model. For example, the standard deviation of TCN is 1.9643, and the error fluctuation is obvious. The mean of R² indicator is between 0.3216 (LSTM) and 0.5470 (Model IV). The standard deviation reflects the stability difference of the model fitting effect on the data. For example, the standard deviation of BioMat is 0.1331, and the fitting stability is poor. In general, through the comprehensive comparison of various indicators, it can be seen that the MAE model (Model IV) surpasses other models in all evaluation indicators and shows better performance and stability. These minimal differences underscore a critical insight: Under specific challenges such as small sample sizes and high noise levels, which are characteristic of biological signal sequences, the prediction accuracy of time series models tends to be very similar. This phenomenon is corroborated by the data presented in Table 7, highlighting the resilience of these models under stringent test conditions. Moreover, according to Table 6, Table 6 shows the results of ablation studies on five subjects using Models I, II, III, and IV, focusing on the performance improvement of the MAE model (i.e., Model IV), especially when combined with HFMESLoss. From the perspective of VAF indicators, its mean gradually increased from 0.5423 (Model I) to 0.6478 (Model IV). The standard deviation shows the fluctuation of each model on different subjects. The standard deviation of Model III is 0.0635, which is relatively large, while the standard deviation of Model I is 0.0311, which is relatively stable. The mean of RMSE indicators dropped from 12.089 (Model I) to 9.7957 (Model IV), reflecting that the model prediction error gradually decreased. Among them, the standard deviation of Model I is 3.1087, which is relatively large, indicating that its error fluctuates significantly. The mean of R² indicators increased from 0.4075 (Model I) to 0.5359 (Model IV), indicating that the model fits the data better and better. The standard deviations of each model reflect the difference in fitting stability. Model IV performs best in all evaluation indicators, which fully proves that it has significant performance advantages over the traditional Transformer model (Model I) and other model variants. the innovative application of our proposed HTFLoss in conjunction with the Transformer model (Model I) has demonstrably amplified the performance metrics of the Transformer in the context of this study. This suggests that the HTFLoss, by prioritizing frequency domain errors, adapts the model to more effectively capture rapid changes in joint dynamics—an aspect critical in biomechanical applications. The MAE model, specifically adapted for the Transformer framework, further refines performance metrics, indicating that the model’s architecture benefits significantly from modifications tailored to the specifics of biomechanical signal processing. Notably, the integration of the MAE model with HTFLoss (Model IV) markedly elevates the experimental outcomes across all considered metrics, as evidenced in Table 5, Table 6 and Table 7. This comprehensive enhancement suggests a synergetic effect between the MAE’s architectural innovations and the targeted error sensitivity of the HTFLoss.
In assessing the performance of different models, as illustrated in Figure 6, Model IV demonstrates significant advantages across several key metrics. Initially, in Figure 6a, Model IV’s VAF is notably higher than that of other models, indicating its effective capture of dynamic physiological signals, which is crucial for accurately simulating biomechanical processes. Further observations in Figure 6b reveal that Model IV maintains a consistently lower error rate in RMSE compared to other models. This capability of Model IV to significantly reduce deviations from actual values is particularly important for applications requiring precise control, such as biomechanical simulations and prosthetic control. In Figure 6c, Model IV exhibits superior performance in the R² metric. A higher R² value confirms that the model can reliably replicate joint behavior in real-world conditions, enhancing confidence in using this model for dynamic and real-time applications. This performance not only highlights the finesse of Model IV in handling temporal dependencies and effectively integrating multi-dimensional data inputs within its architectural design but also emphasizes its potential applications in fields such as biomechanics research, rehabilitation medicine, and human-machine interaction. These findings provide valuable insights into the development of joint dynamics prediction models in the biomechanics field, where accuracy and reliability are crucial for achieving high-quality therapeutic outcomes and adaptability to users.
Table 7 shows that innovations in many aspects provide strong support for the excellent performance of Model IV. In terms of data input and feature processing, sEMG signals, joint angles and their combinations are integrated into the adaptive weight module as three input branches. The deep separable convolution combined with the MLP adaptive module can dynamically assign weights to specific branches. This innovation greatly enhances the efficiency of feature utilization. Compared with the traditional feature extraction methods of LSTM and TCN, it allows the model to learn the key features of different types of data more targeted, thereby improving the learning effect of the model. SFT, which is based on the Transformer architecture, replaces the traditional attention mechanism with MLP and changes the traditional encoder-decoder format. This improvement not only reduces the computational burden, but also retains the ability to recognize complex relationships in the data, effectively improving the efficiency and prediction accuracy of the model. However, the LSTM calculation process is complex and is prone to gradient problems when processing long sequences; although TCN has high computational efficiency, it is insufficient in capturing complex time dependencies. This architectural innovation of Model IV just makes up for the shortcomings of traditional models. In terms of loss function design, the introduction of a new Hybrid Time–Frequency Loss (HTFLoss) function can better integrate time domain and frequency domain information, enhance the structure of obvious joint torque features, and make the prediction of transition states smoother. This innovation significantly improves the prediction quality and the model’s ability to respond to dynamic changes, making Model IV perform better when processing complex time series data. The performance of Model IV surpasses LSTM and TCN, not only due to the balance between time series feature extraction and computational efficiency in architectural design, but also inseparable from innovations in data input processing, architectural improvements, and loss function design. These in-depth analyses help us better understand the underlying reasons for this performance improvement and provide valuable references for further model improvement and application.
Additionally, to avoid overfitting between predicted and actual values, this study also explores the inherent variability in joint moment generation during physical activities. Human muscle force during repetitive actions varies depending on energy expenditure, leading to differences in joint moments even during identical movements [48,49].
However, due to data incompleteness and limitations in noise handling, we are unable to test across additional modalities. Under different modalities, more drastic variations in biological signals could occur, and it is uncertain whether our model can handle modalities beyond running. Moreover, as the model is designed for specific tasks, adapting it for other biological signal predictions would require adjusting parameters and weight distributions appropriately.
Given the limited dataset, the model’s ability to generalize across larger and more diverse populations remains uncertain. Human biological signals exhibit significant inter-individual variability, such as differences in anatomy, movement patterns, and physiological responses. This inherent variability introduces challenges for the model, which is trained on a small sample size and may struggle to generalize to the broader population. Deep learning models typically require large, diverse datasets to learn robust features that capture the variability across different subjects. Without such comprehensive data, the model’s performance could be heavily biased toward the specific characteristics of the five participants in the current dataset. To improve the model’s predictive power and generalization capabilities, it would be essential to expand the dataset, incorporating a more varied group of individuals that reflect different biological profiles and signal characteristics. This would not only help improve the model’s accuracy in predicting biological signals for a wider population but also enhance its adaptability to various tasks beyond the current scope, such as predicting signals from other modalities or individuals with different movement patterns. Therefore, a larger and more diverse dataset is crucial for advancing the model’s applicability in real-world scenarios.

5.2. Conclutions

In this study, we introduced the MAE model, specifically designed for predicting hip flexion joint moments using biological signals such as sEMG signals and joint angles. Central to our model is the Adaptive Weight Module, which integrates sEMG signals, joint angles, and their combinations as three input branches. This module employs a deep separable convolution combined with a Multi-Layer Perceptron (MLP) to dynamically allocate weights to specific branches, optimizing the processing of small-sample data and enhancing the model’s ability to efficiently capture local features essential for accurate motion prediction.
In addition, we proposed the SFT Module, based on a streamlined Transformer architecture, to improve the efficiency of time-series feature extraction. By replacing the traditional attention mechanism with an MLP and eliminating the decoder component, the SFT module reduces the computational burden while preserving the model’s ability to recognize complex relationships within the data. This architectural modification not only enhances the model’s efficiency but also makes it particularly suitable for training with small batch sizes, improving long-term prediction accuracy.
A key innovation in our approach is the integration of the Hybrid Time-Frequency Loss (HTFLoss) function. This loss function helps the model better integrate time-domain and frequency-domain information, refining the prediction of joint moments and improving the model’s sensitivity to rapid biomechanical changes, which are critical for accurate dynamic joint moment predictions. The HTFLoss effectively fine-tunes the model’s focus on joint moment characteristics, ensuring smoother and more precise transition state predictions.
To evaluate the effectiveness of our proposed MAE model, we conducted experimental validations using a public dataset of five subjects performing treadmill activities. The results demonstrated superior performance across key metrics, including VAF, RMSE, and R², showcasing the MAE model’s substantial improvements over traditional models such as LSTM and TCN. These findings confirm the model’s ability to manage long-term dependencies and small-sample data, further highlighting its robust generalization across different speeds and its potential application in complex biomechanical scenarios.
In conclusion, the MAE model offers a comprehensive approach for predicting joint moments, particularly in the context of biomechanics, rehabilitation, and human-machine interaction. Its ability to efficiently process biological signals, capture temporal nuances, and adapt to real-world challenges with limited data underscores its potential for broader applications in clinical and industrial settings.

Author Contributions

Conceptualization, B.X.; Methodology, B.X. and J.L.; Software, B.X., J.L. and W.N.; Validation, B.X., J.L., W.N., Z.S. and S.H.; Formal analysis, B.X. and J.L.; Investigation, B.X.; Resources, B.X., J.L., W.N., Z.S. and S.H.; Data curation, B.X. and J.L.; Writing – original draft, B.X., J.L. and S.H.; Writing – review and editing, B.X., J.L. and S.H.; Visualization, S.H.; Supervision, J.L., W.N., Z.S. and S.H.; Project administration, B.X. and S.H.; Funding acquisition, B.X. and W.N. All authors have read and agreed to the published version of the manuscript.

Funding

This research was funded by the Regional Development Project in Fujian Province (2024H4004, 2024Y3002). And this research was funded by the Central Guidance on Local Science and Technology Development Program (2023L3030).

Data Availability Statement

The dataset provided in this article is not easy to obtain because the data needs to be downsampled or preprocessed according to the research situation.

Conflicts of Interest

Author Wenshu Ni was employed by the company State Grid Fujian Electric Power Co., Ltd. Author Zhikang Su was employed by the company Fujian Zhikangyun Medical Technology Co., Ltd. The remaining authors declare that the research was conducted in the absence of any commercial or financial relationships that could be construed as a potential conflict of interest.

References

  1. Riener, R.; Edrich, T. Identification of passive elastic joint moments in the lower extremities. J. Biomech. 1999, 32, 539–544. [Google Scholar] [CrossRef] [PubMed]
  2. Vaughan, C.L. Are joint torques the Holy Grail of human gait analysis? Hum. Mov. Sci. 1996, 15, 423–443. [Google Scholar] [CrossRef]
  3. Edrich, T.; Riener, R.; Quintern, J. Analysis of passive elastic joint moment in paraplegics. IEEE Trans. Biomed. Eng. 2000, 47, 1058–1065. [Google Scholar] [CrossRef] [PubMed]
  4. Ruas, C.V.; Pinto, R.S.; Haff, G.G.; Lima, C.D.; Pinto, M.D.; Brown, L.E. Alternative methods of determining hamstrings-to-quadriceps ratios: A comprehensive review. Sport. Med.-Open 2019, 5, 1–14. [Google Scholar] [CrossRef] [PubMed]
  5. Schache, A.G.; Baker, R. On the expression of joint moments during gait. Gait Posture 2007, 25, 440–452. [Google Scholar] [CrossRef] [PubMed]
  6. Moisio, K.C.; Sumner, D.R.; Shott, S.; Hurwitz, D.E. Normalization of joint moments during gait: A comparison of two techniques. J. Biomech. 2003, 36, 599–603. [Google Scholar] [CrossRef]
  7. Latash, M.L.; Zatsiorsky, V.M. Joint stiffness: Myth or reality? Hum. Mov. Sci. 1993, 12, 653–692. [Google Scholar] [CrossRef]
  8. Buchanan, T.S.; Lloyd, D.G.; Manal, K.; Besier, T.F. Neuromusculoskeletal modeling: Estimation of muscle forces and joint moments and movements from measurements of neural command. J. Appl. Biomech. 2004, 20, 367–395. [Google Scholar] [CrossRef] [PubMed]
  9. Nasr, A.; Bell, S.; Whittaker, R.L.; Dickerson, C.R.; McPhee, J. Robust machine learning mapping of sEMG signals to future actuator commands in biomechatronic devices. J. Bionic Eng. 2024, 21, 270–287. [Google Scholar] [CrossRef]
  10. Xiong, D.; Zhang, D.; Zhao, X.; Zhao, Y. Deep learning for EMG-based human-machine interaction: A review. IEEE/CAA J. Autom. Sin. 2021, 8, 512–533. [Google Scholar] [CrossRef]
  11. Le-Duc, T.; Nguyen-Xuan, H.; Lee, J. Sequential motion optimization with short-term adaptive moment estimation for deep learning problems. Eng. Appl. Artif. Intell. 2024, 129, 107593. [Google Scholar] [CrossRef]
  12. Foroutannia, A.; Akbarzadeh-T, M.R.; Akbarzadeh, A. A deep learning strategy for EMG-based joint position prediction in hip exoskeleton assistive robots. Biomed. Signal Process. Control 2022, 75, 103557. [Google Scholar] [CrossRef]
  13. Nuesslein, C.P.; Young, A.J. A Deep Learning Framework for End-to-End Control of Powered Prostheses. IEEE Robot. Autom. Lett. 2024, 9, 3988–3994. [Google Scholar] [CrossRef]
  14. Lobo, P.; Morais, P.; Murray, P.; Vilaça, J.L. Trends and Innovations in Wearable Technology for Motor Rehabilitation, Prediction, and Monitoring: A Comprehensive Review. Sensors 2024, 24, 7973. [Google Scholar] [CrossRef]
  15. Xiang, L.; Gu, Y.; Gao, Z.; Yu, P.; Shim, V.; Wang, A.; Fernandez, J. Integrating an LSTM framework for predicting ankle joint biomechanics during gait using inertial sensors. Comput. Biol. Med. 2024, 170, 108016. [Google Scholar] [CrossRef] [PubMed]
  16. Scherpereel, K.L.; Molinaro, D.D.; Shepherd, M.K.; Inan, O.T.; Young, A.J. Improving Biological Joint Moment Estimation During Real-World Tasks with EMG and Instrumented Insoles. IEEE Trans. Biomed. Eng. 2024, 71, 2718–2727. [Google Scholar] [CrossRef] [PubMed]
  17. Xiong, B.; Zeng, N.; Li, Y.; Du, M.; Huang, M.; Shi, W.; Mao, G.; Yang, Y. Determining the online measurable input variables in human joint moment intelligent prediction based on the hill muscle model. Sensors 2020, 20, 1185. [Google Scholar] [CrossRef]
  18. Xiong, B.; Zeng, N.; Li, H.; Yang, Y.; Li, Y.; Huang, M.; Shi, W.; Du, M.; Zhang, Y. Intelligent prediction of human lower extremity joint moment: An artificial neural network approach. IEEE Access 2019, 7, 29973–29980. [Google Scholar] [CrossRef]
  19. Xiong, B.; Chang, Y.; Zeng, N.; Niu, Y.; Zeng, H.; Li, H.; Mao, G.; Xu, Y. TranSEMG: A Trans-Scale Hybrid Model for High-Accurate Hip Joint Moment Prediction. IEEE Trans. Instrum. Meas. 2024, 73, 2516011. [Google Scholar] [CrossRef]
  20. Shepherd, M.K.; Molinaro, D.D.; Sawicki, G.S.; Young, A.J. Deep learning enables exoboot control to augment variable-speed walking. IEEE Robot. Autom. Lett. 2022, 7, 3571–3577. [Google Scholar] [CrossRef]
  21. Kang, I.; Molinaro, D.D.; Duggal, S.; Chen, Y.; Kunapuli, P.; Young, A.J. Real-time gait phase estimation for robotic hip exoskeleton control during multimodal locomotion. IEEE Robot. Autom. Lett. 2021, 6, 3491–3497. [Google Scholar] [CrossRef] [PubMed]
  22. Hossain, M.S.B.; Guo, Z.; Choi, H. Estimation of Hip, Knee, and Ankle Joint Moment Using a Single IMU Sensor on Foot Via Deep Learning. In Proceedings of the 2022 IEEE/ACM Conference on Connected Health: Applications, Systems and Engineering Technologies (CHASE), Arlington, VA, USA, 17–19 November 2022; pp. 25–33. [Google Scholar]
  23. Kolaghassi, R.; Marcelli, G.; Sirlantzis, K. Deep learning models for stable gait prediction applied to exoskeleton reference trajectories for children with cerebral palsy. IEEE Access 2023, 11, 31962–31976. [Google Scholar] [CrossRef]
  24. Hathcock, D.; Sheehy, J.; Weisenberger, C.; Ilker, E.; Hinczewski, M. Noise Filtering and Prediction in Biological Signaling Networks. IEEE Trans. Mol. Biol. Multi-Scale Commun. 2016, 2, 16–30. [Google Scholar] [CrossRef]
  25. Tsimring, L. Noise in biology. Rep. Prog. Phys. 2014, 77, 026601. [Google Scholar] [CrossRef]
  26. Qin, Y.; Yan, Y.; Ji, H.; Wang, Y. Recursive Correlative Statistical Analysis Method With Sliding Windows for Incipient Fault Detection. IEEE Trans. Ind. Electron. 2021, 69, 4185–4194. [Google Scholar] [CrossRef]
  27. Yang, Z.; Arakawa, H. A double sliding-window method for baseline correction and noise estimation for Raman spectra of microplastics. Mar. Pollut. Bull. 2023, 190, 114887. [Google Scholar] [CrossRef] [PubMed]
  28. Wu, H.; Yao, Z.; Wang, J.; Long, M. MotionRNN: A flexible model for video prediction with spacetime-varying motions. In Proceedings of the IEEE/CVF Conference on Computer Vision and Pattern Recognition, Nashville, TN, USA, 20–25 June 2021; pp. 15435–15444. [Google Scholar]
  29. Ezati, M.; Ghannadi, B.; McPhee, J. A review of simulation methods for human movement dynamics with emphasis on gait. Multibody Syst. Dyn. 2019, 47, 265–292. [Google Scholar] [CrossRef]
  30. Gordon, A.; Ridgway, E. Calcium transients and relaxation in single muscle fibers. Eur. J. Cardiol. 1978, 7, 27–34. [Google Scholar]
  31. Kumar, R.; Muthukrishnan, S.P.; Kumar, L.; Roy, S. Predicting Multi-Joint Kinematics of the Upper Limb from EMG Signals Across Varied Loads with a Physics-Informed Neural Network. arXiv 2023, arXiv:2312.09418. [Google Scholar]
  32. Zhang, S.; Lu, J.; Huo, W.; Yu, N.; Han, J. Estimation of knee joint movement using single-channel sEMG signals with a feature-guided convolutional neural network. Front. Robot. 2022, 16, 978014. [Google Scholar] [CrossRef]
  33. Kim, H.; Park, H.; Lee, S.; Kim, D. Joint torque estimation using semg and deep neural network. J. Electr. Eng. Technol. 2020, 15, 2287–2298. [Google Scholar] [CrossRef]
  34. Li, G.; Zeng, M.; Xu, L.; Huang, P.; He, Y.; Xia, H. Robust Model Predictive Control of a Lower Limb Exoskeleton Robot with Suspension Gravity-Assist Using Deep Neural Network. In Proceedings of the 2023 IEEE International Conference on Development and Learning (ICDL), Macau, China, 9–11 November 2023; pp. 73–78. [Google Scholar]
  35. Ruderman, M.; Iwasaki, M. Control of nonlinear elastic joint robots using feed-forward torque decoupling. IFAC-PapersOnLine 2015, 48, 137–142. [Google Scholar] [CrossRef]
  36. Li, S.; Zhang, L.; Meng, Q.; Yu, H. A Real-Time Control Method for Upper Limb Exoskeleton Based on Active Torque Prediction Model. Bioengineering 2023, 10, 1441. [Google Scholar] [CrossRef] [PubMed]
  37. Tresch, M.C.; Jarc, A. The case for and against muscle synergies. Curr. Opin. Neurobiol. 2009, 19, 601–607. [Google Scholar] [CrossRef] [PubMed]
  38. Khan, Z.Y.; Niu, Z. CNN with depthwise separable convolutions and combined kernels for rating prediction. Expert Syst. Appl. 2021, 170, 114528. [Google Scholar] [CrossRef]
  39. Wang, Z.; Bovik, A.C. Mean squared error: Love it or leave it? A new look at signal fidelity measures. IEEE Signal Process. Mag. 2009, 26, 98–117. [Google Scholar] [CrossRef]
  40. Wu, W.; Saul, K.R.; Huang, H.H. Using Reinforcement Learning to Estimate Human Joint Moments From Electromyography or Joint Kinematics: An Alternative Solution to Musculoskeletal-Based Biomechanics. J. Biomech. Eng. 2021, 143, 044502. [Google Scholar] [CrossRef]
  41. Camargo, J.; Ramanathan, A.; Flanagan, W.; Young, A. A comprehensive, open-source dataset of lower limb biomechanics in multiple conditions of stairs, ramps, and level-ground ambulation and transitions. J. Biomech. 2021, 119, 110320. [Google Scholar] [CrossRef]
  42. Meyer, A.J.; Patten, C.; Fregly, B.J. Lower extremity EMG-driven modeling of walking with automated adjustment of musculoskeletal geometry. PLoS ONE 2017, 12, e0179698. [Google Scholar] [CrossRef]
  43. Vaswani, A.; Shazeer, N.; Parmar, N.; Uszkoreit, J.; Jones, L.; Gomez, A.N.; Kaiser, Ł.; Polosukhin, I. Attention is all you need. In Proceedings of the Advances in Neural Information Processing Systems 30, Long Beach, CA, USA, 4–9 December 2017. [Google Scholar]
  44. Sung, J.; Han, S.; Park, H.; Cho, H.M.; Hwang, S.; Park, J.W.; Youn, I. Prediction of lower extremity multi-joint angles during overground walking by using a single IMU with a low frequency based on an LSTM recurrent neural network. Sensors 2021, 22, 53. [Google Scholar] [CrossRef] [PubMed]
  45. Molinaro, D.D.; Kang, I.; Camargo, J.; Gombolay, M.C.; Young, A.J. Subject-independent, biological hip moment estimation during multimodal overground ambulation using deep learning. IEEE Trans. Med Robot. Bionics 2022, 4, 219–229. [Google Scholar] [CrossRef]
  46. Sharifi-Renani, M.; Mahoor, M.H.; Clary, C.W. BioMAT: An Open-Source Biomechanics Multi-Activity Transformer for Joint Kinematic Predictions Using Wearable Sensors. Sensors 2023, 23, 5778. [Google Scholar] [CrossRef] [PubMed]
  47. Kang, I.; Molinaro, D.D.; Choi, G.; Camargo, J.; Young, A.J. Subject-independent continuous locomotion mode classification for robotic hip exoskeleton applications. IEEE Trans. Biomed. Eng. 2022, 69, 3234–3242. [Google Scholar] [CrossRef]
  48. Nozaki, D.; Nakazawa, K.; Akai, M. Uncertainty of knee joint muscle activity during knee joint torque exertion: The significance of controlling adjacent joint torque. J. Appl. Physiol. 2005, 99, 1093–1103. [Google Scholar] [CrossRef]
  49. Goetschius, J.; Hart, J. Knee-Extension Torque Variability and Subjective Knee Function in Patients with a History of Anterior Cruciate Ligament Reconstruction. J. Athl. Train. 2016, 51, 22–27. [Google Scholar] [CrossRef]
Figure 1. (a) The input and output for a single prediction within 300 ms, where the input consists of the previous 300 ms of sEMG signals and two joint angles, and the output is the joint moments for the subsequent 300 ms. (b) The flowchart from the first prediction to the last prediction throughout an entire training task, as shown in the figure, where the yellow section represents the input time window and the blue section represents the output time window.
Figure 1. (a) The input and output for a single prediction within 300 ms, where the input consists of the previous 300 ms of sEMG signals and two joint angles, and the output is the joint moments for the subsequent 300 ms. (b) The flowchart from the first prediction to the last prediction throughout an entire training task, as shown in the figure, where the yellow section represents the input time window and the blue section represents the output time window.
Applsci 15 01678 g001
Figure 2. Schematic diagram of the MAE model.
Figure 2. Schematic diagram of the MAE model.
Applsci 15 01678 g002
Figure 3. The diagram of the adaptive model illustrates the processing of three input channels through Depthwise Separable Convolutions (DSC) and Multilayer Perceptrons (MLP). Initially, each channel undergoes convolution with 60 1D filters of size 3, followed by convolution with 60 1D filters of size 1. The outputs from these convolutions are then merged and passed through a three-layer MLP, each layer containing 60 neurons. Finally, adaptive weights are generated as the output of this processing pipeline.
Figure 3. The diagram of the adaptive model illustrates the processing of three input channels through Depthwise Separable Convolutions (DSC) and Multilayer Perceptrons (MLP). Initially, each channel undergoes convolution with 60 1D filters of size 3, followed by convolution with 60 1D filters of size 1. The outputs from these convolutions are then merged and passed through a three-layer MLP, each layer containing 60 neurons. Finally, adaptive weights are generated as the output of this processing pipeline.
Applsci 15 01678 g003
Figure 4. The diagram of the SFT model illustrates the replacement of the traditional attention mechanism with a Multilayer Perceptron (MLP). Initially, the MLP is used to extract features from the input. To mitigate overfitting, dropout is applied to randomly discard a subset of weights. Subsequently, Layer Normalization (LN) is performed to regularize the model. This process is then repeated, and the final output is the adaptive weights of the SFT model.
Figure 4. The diagram of the SFT model illustrates the replacement of the traditional attention mechanism with a Multilayer Perceptron (MLP). Initially, the MLP is used to extract features from the input. To mitigate overfitting, dropout is applied to randomly discard a subset of weights. Subsequently, Layer Normalization (LN) is performed to regularize the model. This process is then repeated, and the final output is the adaptive weights of the SFT model.
Applsci 15 01678 g004
Figure 5. Prediction results of the MAE model for six test sets of subject Subject 4, where the blue line represents the moments calculated by the inverse dynamics method, and the red line represents the estimates from our model.
Figure 5. Prediction results of the MAE model for six test sets of subject Subject 4, where the blue line represents the moments calculated by the inverse dynamics method, and the red line represents the estimates from our model.
Applsci 15 01678 g005
Figure 6. In figures (ac), the green annotations represent the average metrics obtained from the newly developed MAE model integrated with HTFLoss (Model IV). It is evident that in figure (a), Model IV achieves the highest VAF value. In figure (b), Model IV exhibits the lowest RMSE value. In figure (c), Model IV achieves the highest R² value. These figures illustrate the superior predictive performance of the model developed in this study. (a) Distribution of VAF across all test results for all subjects and models, represented as a box plot. (b) Distribution of RMSE across all test results for all subjects and models, represented as a box plot. (c) Distribution of R² across all test results for all subjects and models, represented as a box plot.
Figure 6. In figures (ac), the green annotations represent the average metrics obtained from the newly developed MAE model integrated with HTFLoss (Model IV). It is evident that in figure (a), Model IV achieves the highest VAF value. In figure (b), Model IV exhibits the lowest RMSE value. In figure (c), Model IV achieves the highest R² value. These figures illustrate the superior predictive performance of the model developed in this study. (a) Distribution of VAF across all test results for all subjects and models, represented as a box plot. (b) Distribution of RMSE across all test results for all subjects and models, represented as a box plot. (c) Distribution of R² across all test results for all subjects and models, represented as a box plot.
Applsci 15 01678 g006
Table 1. Physical characteristic information of each subject.
Table 1. Physical characteristic information of each subject.
Subject IDAgeGenderHeight (cm)Mass (kg)
Subject 121Female16363.5
Subject 222Man17583.9
Subject 324Man17486.2
Subject 422Female15258.4
Subject 520Female16555.8
Table 2. Speed conditions of the individuals in the training and test sets on the treadmill.
Table 2. Speed conditions of the individuals in the training and test sets on the treadmill.
All Subject
Training Set(0.50 m/s, 1.30 m/s, 1.70 m/s, 0.90 m/s)
Test Set 1(0.55 m/s, 1.35 m/s, 1.75 m/s, 0.95 m/s)
Test Set 2(0.60 m/s, 1.40 m/s, 1.80 m/s, 1.00 m/s)
Test Set 3(0.65 m/s, 1.45 m/s, 1.85 m/s, 1.05 m/s)
Test Set 4(0.70 m/s, 1.50 m/s, 1.90 m/s, 1.10 m/s)
Test Set 5(0.75 m/s, 1.55 m/s, 1.95 m/s, 1.15 m/s)
Test Set 6(0.80 m/s, 1.60 m/s, 2.00 m/s, 1.20 m/s)
Table 3. Detailed input and output specifications of biological signals in the model.
Table 3. Detailed input and output specifications of biological signals in the model.
Model ComponentBiological Signals
InputHip adduction joint angles
Hip flexion joint angles
Gluteus medius
Semitendinosus
Biceps femoris
Rectus femoris
OutputHip flexion joint moment
Table 4. This table displays the performance of the MAE model with HTFLoss, evaluated using metrics VAF, RMSE, and R² across six test sets for each of the five subjects. The mean values and standard deviations of these metrics are presented to highlight the model’s consistency and accuracy in interpreting biological signals from diverse testing scenarios.
Table 4. This table displays the performance of the MAE model with HTFLoss, evaluated using metrics VAF, RMSE, and R² across six test sets for each of the five subjects. The mean values and standard deviations of these metrics are presented to highlight the model’s consistency and accuracy in interpreting biological signals from diverse testing scenarios.
SubjectVAFRMSE
Subject 1 0.5782 ± 0.1317 8.4471 ± 0.7599 0.4347 ± 0.1873
Subject 2 0.7025 ± 0.0661 12.9176 ± 2.3302 0.6095 ± 0.0799
Subject 3 0.6095 ± 0.0629 11.6581 ± 0.8800 0.4661 ± 0.0784
Subject 4 0.7003 ± 0.1548 7.5606 ± 0.7454 0.6223 ± 0.1873
Subject 5 0.6485 ± 0.0607 8.3952 ± 1.7500 0.5470 ± 0.0847
Table 5. The performance metrics—VAF, RMSE, and R²—for seven different models trained using the initial treadmill data from Subject 5. The models include LSTM, TCN, BioMat, Model I, Model II, Model III, and Model IV. The average values and standard deviations of these metrics, documented for six subsequent experiments, demonstrate that the MAE model (Model IV) surpassed all other models in performance across all evaluated metrics.
Table 5. The performance metrics—VAF, RMSE, and R²—for seven different models trained using the initial treadmill data from Subject 5. The models include LSTM, TCN, BioMat, Model I, Model II, Model III, and Model IV. The average values and standard deviations of these metrics, documented for six subsequent experiments, demonstrate that the MAE model (Model IV) surpassed all other models in performance across all evaluated metrics.
ModelVAFRMSE
LSTM 0.5257 ± 0.0609 10.2672 ± 1.6786 0.3216 ± 0.0963
TCN 0.5069 ± 0.0447 10.5900 ± 1.9643 0.3640 ± 0.0756
BioMat 0.5033 ± 0.0825 10.4791 ± 1.6053 0.3255 ± 0.1331
Model I 0.5101 ± 0.0430 11.5938 ± 1.8149 0.3436 ± 0.0700
Model II 0.5764 ± 0.0392 10.6148 ± 1.6914 0.4653 ± 0.0676
Model III 0.5251 ± 0.1269 9.1864 ± 1.7192 0.3800 ± 0.1662
Model IV 0 . 6485 ± 0 . 0607 8 . 3952 ± 1 . 7500 0 . 5470 ± 0 . 0847
Table 6. The outcomes of ablation studies conducted on five subjects using Models I, II, III, and IV. It particularly emphasizes the performance enhancements observed in the MAE model, especially when augmented with HFMESLoss. The results demonstrate how the MAE model, referred to as Model IV, significantly outperforms the traditional Transformer model (Model I) and other model variants across all evaluation metrics.
Table 6. The outcomes of ablation studies conducted on five subjects using Models I, II, III, and IV. It particularly emphasizes the performance enhancements observed in the MAE model, especially when augmented with HFMESLoss. The results demonstrate how the MAE model, referred to as Model IV, significantly outperforms the traditional Transformer model (Model I) and other model variants across all evaluation metrics.
ModelVAFRMSE
Model I 0.5423 ± 0.0311 12.089 ± 3.1087 0.4075 ± 0.0444
Model II 0.5996 ± 0.0514 11.3454 ± 2.4639 0.4745 ± 0.0643
Model III 0.6074 ± 0.0635 10.4601 ± 2.6492 0.4719 ± 0.0794
Model IV 0 . 6478 ± 0 . 0549 9 . 7957 ± 2 . 3446 0 . 5359 ± 0 . 0838
Table 7. This table shows how the MAE model (Model IV) surpasses other models such as LSTM, TCN, and BioMat in predicting biological signals, across all performance metrics.
Table 7. This table shows how the MAE model (Model IV) surpasses other models such as LSTM, TCN, and BioMat in predicting biological signals, across all performance metrics.
ModelVAFRMSE
LSTM 0.5142 ± 0.0517 12.7595 ± 3.1162 0.3472 ± 0.0667
TCN 0.5818 ± 0.0591 12.0837 ± 3.2476 0.4108 ± 0.1004
BioMat 0.5398 ± 0.0915 11.641 ± 2.5968 0.4151 ± 0.085
Model IV 0 . 6478 ± 0 . 0549 9 . 7957 ± 2 . 3446 0 . 5359 ± 0 . 0838
Disclaimer/Publisher’s Note: The statements, opinions and data contained in all publications are solely those of the individual author(s) and contributor(s) and not of MDPI and/or the editor(s). MDPI and/or the editor(s) disclaim responsibility for any injury to people or property resulting from any ideas, methods, instructions or products referred to in the content.

Share and Cite

MDPI and ACS Style

Xiong, B.; Lou, J.; Ni, W.; Su, Z.; Huang, S. A Multi-Branch Adaptive Model with Hybrid Time—Frequency Loss to the Enhanced Joint Moment Prediction of Prosthetic Control and Human Motion Applications. Appl. Sci. 2025, 15, 1678. https://doi.org/10.3390/app15041678

AMA Style

Xiong B, Lou J, Ni W, Su Z, Huang S. A Multi-Branch Adaptive Model with Hybrid Time—Frequency Loss to the Enhanced Joint Moment Prediction of Prosthetic Control and Human Motion Applications. Applied Sciences. 2025; 15(4):1678. https://doi.org/10.3390/app15041678

Chicago/Turabian Style

Xiong, Baoping, Jie Lou, Wenshu Ni, Zhikang Su, and Shan Huang. 2025. "A Multi-Branch Adaptive Model with Hybrid Time—Frequency Loss to the Enhanced Joint Moment Prediction of Prosthetic Control and Human Motion Applications" Applied Sciences 15, no. 4: 1678. https://doi.org/10.3390/app15041678

APA Style

Xiong, B., Lou, J., Ni, W., Su, Z., & Huang, S. (2025). A Multi-Branch Adaptive Model with Hybrid Time—Frequency Loss to the Enhanced Joint Moment Prediction of Prosthetic Control and Human Motion Applications. Applied Sciences, 15(4), 1678. https://doi.org/10.3390/app15041678

Note that from the first issue of 2016, this journal uses article numbers instead of page numbers. See further details here.

Article Metrics

Back to TopTop