Next Article in Journal
Risk Element Interaction with an Emerging Contaminant in Mammals: The Case of Arsenic and Carbamazepine Orally Taken up by Microtus arvalis L. as a Model Organism
Next Article in Special Issue
Mechanical Modeling and Dynamic Characteristics of a Three-Directional Vibration Absorber
Previous Article in Journal
JLMS25 and Jiao-Liao Mandarin Speech Recognition Based on Multi-Dialect Knowledge Transfer
Previous Article in Special Issue
Predicting Lightweight Powders with Useful Sound Absorption Characteristics from Their Specifications
 
 
Font Type:
Arial Georgia Verdana
Font Size:
Aa Aa Aa
Line Spacing:
Column Width:
Background:
Article

Insights on the Influence of the Central-Cut Width of the Box Assembly with Removable Component on Its Dynamical Responses †

Department of Mechanical and Aerospace Engineering, New Mexico State University, Las Cruces, NM 88003, USA
*
Author to whom correspondence should be addressed.
This paper is an expanded version of “Dynamics and nonlinear characterization of BARC systems with varying central cut widths”, was presented at AIAA SciTech Forum 2024, Orlando, FL, USA, 8–12 January 2024.
Appl. Sci. 2025, 15(3), 1671; https://doi.org/10.3390/app15031671
Submission received: 9 January 2025 / Revised: 24 January 2025 / Accepted: 3 February 2025 / Published: 6 February 2025
(This article belongs to the Special Issue Vibration Problems in Engineering Science)

Abstract

This investigation focuses on the dynamical effects caused by varying the central-cut width within the Box Assembly with Removable Component (BARC) system. The central-cut widths included in this study are a 0.5″ cut, a 0.25″ cut, a thin 0.1″ cut, and a structure that did not have a cut at all. Finite element analysis was conducted to determine the mode shapes and natural frequencies of each of the BARC structures. Structural dynamics experiments were run to examine the effects of the central-cut width on the dynamical responses and nonlinear characteristics of the BARC system. Free vibration testing with an impact hammer was carried out to excite the system and extract the dominant frequencies and directions of the significant responses. A pseudorandom vibration test that allows for the qualitative determination of any nonlinear behavior within the system was performed. This type of behavior can include nonlinear softening, nonlinear hardening, and the most common, nonlinear damping due to the presence of several bolted-joint connections and the possible activation of geometric and inertia nonlinearities. To quantitatively investigate the impacts of the central-cut width on the dynamics of the system, swept sinusoidal testing was conducted. It is determined that almost all systems with central cuts demonstrate the presence of nonlinear softening, but at times, nonlinear hardening trends are seen, particularly in the 0.1″ cut and no-cut systems when testing harmonically. Each of the central-cut systems displays nonlinear damping, with the amount of damping generally increasing as the central cut decreases in size. The effect of the central cut of the BARC system on the mode-switching ability of the system is negligible; however, mode switching takes place when comparing the central-cut configurations to the no-cut one. These results show the significance of accurately measuring the central-cut width and how geometric uncertainty may change the dynamical responses and nonlinear properties of the system.

1. Introduction

Many engineering designs incorporate fastening multiple components together using some form of bolted joint. It is common to utilize this class of design because of the benefits they provide. Using a component-based design allows for modularity and a reduction in complexity. However, these components can dynamically interact with one another when they encounter forces in their service environment. Often, it is essential to the success of these missions that these components’ dynamics are understood before implementing them into service. To achieve this understanding, we must simulate model dynamic environments in the laboratory.
Researchers often utilize the traditional techniques of mounting components of interest onto rigid fixtures, meaning that the fixtures are designed in a way that they will not influence the dynamics measured during the testing. This is achieved by ensuring they exhibit no elastic motion in the frequency range to be tested on the component of interest [1]. The connections to these “rigid fixtures” are not characteristic of the components’ service environment, and oftentimes, important aspects, such as coupling, may be ignored during the analysis. To prompt an investigation into this, researchers from Sandia National Laboratories (SNL) and Kansas City National Security Campus introduced the Box Assembly with Removable Component (BARC) to serve as a benchmark structure for investigating boundary condition problems. By introducing a non-rigid fixture to mount a component of interest on, researchers can begin to account for the effects that other bodies might introduce during a component’s service environment. In fields such as aerospace, reducing weight can be critical to an aircraft’s ability to perform. However, certain removal of material may result in a reduction in stiffness and ultimately affect the system’s structural dynamics. The BARC has been tested with many variations in its assembly and dimensions. Researchers have investigated topics including modal analysis, impedance matching, parametric modeling of an optimized fixture, and many more [1,2,3].
These studies have incorporated a critical design alteration, a central cut on the top of the box assembly (BA). The original BARC design, which can be seen in Sandia’s documentation, was labeled as the “uncut” version and includes a BA made from a box beam [4]. This cut introduces a decrease in the rigidity of the system and can be characteristic of engineering decisions that have to be made in aerospace, automotive, and even medical applications where varying widths of the central cut may be necessary to meet certain design requirements. Although some researchers may utilize adhesives to avoid some possible nonlinearities present in the bolted-joint connections of the BARC, our focus is on investigating these nonlinearities and how altering the width of the central cut on the BA affects the number and type of nonlinearities observed, as well as the dynamical properties of the BARC system. Because altering cut widths may be necessary as a continuation to improve and steward designs of the past, it is essential for scientists and engineers alike to understand the effects that altering central-cut widths has on the system’s dynamics and, ultimately, the mission’s success.
Though the focus of this investigation is the nonlinear characteristics of the BARC system with various cut widths, linear behaviors, including the natural properties of the system, will also be characterized. The system can demonstrate linear and nonlinear behaviors/responses based on its output in relation to the input it receives. If there is no correlation between the input and the output, then the behavior of the system can be deemed nonlinear [5,6]. Examples of nonlinearities that can be present in the system are nonlinear softening, nonlinear hardening, and nonlinear damping. Nonlinear softening and hardening differ in relation to the bending curve of the system’s frequency response. For example, if the input excitation increases and the frequency response of the system indicates an increase in resonant frequency, then the system is displaying nonlinear hardening. If the frequency response indicates a decrease in resonant frequency, then nonlinear softening is displayed in the system. Damping refers to the changing amplitude of a system’s motion due to an external force that is a function of velocity [7]. Traditionally, damping is the main root of nonlinearity within a system and is seen to increase as the excitation level increases [8].
Ground vibration testing allows for the determination of these types of nonlinearities present in the system. As aforementioned, the rigidity of the BARC system changed when the central cut was introduced [4]. This allowed for a more flexible system that can better replicate a real-world environment. Previous component testing was conducted on rigid fixtures that did not recreate the service environment of the component being tested [9]. What can be seen in the industry is that most components are fixed to flexible fixtures, such as a CubeSat docking on a larger space system [10]. Therefore, by making the BARC less rigid, the removable component’s dynamics can be analyzed through laboratory testing and mimic the service environments of other complex systems [11,12,13].
Testing complex systems may be difficult due to the different components affecting the overall system’s behavior. A substructuring approach allows experimenters to break down the system into individual components and dynamically characterize their behavior. In doing so, each component can be analyzed, and the behavior of the whole system can be derived from the information found from testing the individual components [14,15]. Our research focused on the fully assembled BARC system, utilizing two main forms of substructuring, namely, frequency-based substructuring and dynamic substructuring. Frequency-based substructuring (FBS) allows a complex structure to be broken down into subcomponents and have them analyzed through the frequency domain and characterize their dynamical properties [16,17,18,19]. This type of substructuring approach can be seen all throughout industry, especially in the automotive world, as discussed in [20]. FBS is used to compare data from the automobile drivetrain and those obtained from finite element models. FBS is implemented in various applications because it allows local behavior to be analyzed faster than if the system were whole. Therefore, if there is a component present that has no effect on the dynamic behavior of the system, it can be dealt with. De Klerk et al. [21] stated that the origin of dynamic substructuring came from domain decomposition or the separation of the problem into its components to find a concurrent solution. A complex system can be analyzed in three distinct ways in dynamic substructuring, namely, the modal, frequency, and physical domains. There is another popular substructuring method, which is known as Lagrange Multiplier Frequency-Based Substructuring (LM FBS). Mahmoudi et al. [22] claim that this method, which is an extension of FBS, yields a more straightforward formulation while still being based on measured frequency-dependent transfer functions. FBS is the most common when experimenting because of the ability to define dynamic properties based on frequency response functions (FRFs) [23]. Our work applied both substructuring methods due to their explained benefits.
There have been previous studies conducted on the BARC system using the same substructuring approach, but no work, to the knowledge of the authors, has been conducted on a BARC system with varying central-cut widths. Contemporary work focused on either a no-cut BARC system or a standard 0.5″ cut width system [1,4,24,25]. Here, this study explored the effects on the BARC system caused by varying central-cut widths. This was accomplished by conducting three types of experimental vibration testing. First, free vibration testing with an impact hammer was conducted to determine the dominant frequencies of the system and the corresponding mode shapes. Next, random and harmonic vibration tests were performed to determine whether any nonlinear behavior could be detected. Finite element analysis (FEA) was conducted and utilized to compare the computationally found natural frequencies with those found experimentally. Additionally, mode switching and variability can be determined [26,27].
It should be mentioned that, in a recent study, Padilla et al. [28] examined the effects of the central cut on the dynamical properties of the box assembly component of the BARC system. The current investigation explores the influence of the central-cut width on the full BARC system, with a particular focus on the coupling effect between the box assembly and the removable component and how it affects the linear and nonlinear dynamical properties of the BARC system. In addition, it should be noted that some preliminary computational and impact testing investigations were conducted and presented at a conference by the authors [29]. These results were built upon in this current work. To begin this study, the system and experimental setup are described, beginning with a breakdown of the BARC system and what systems are being investigated, as indicated in Section 2. This section then explains the experimental setups, beginning with how the computational analysis was conducted and then moving on to the experimental setups of the impact and random/harmonic testing. Once that is completed, Section 3 focuses on the computational analysis, getting into the mode shapes and natural frequencies found through FEA. Section 4 describes the experimental results, starting with impact testing, then moving on to random vibration testing, and concluding with harmonic testing. Conclusions are drawn in Section 5.

2. Description of the Systems Under Investigation and Experimental Setups

The objective of this study is to investigate how changing the central-cut width affects the linear and nonlinear properties of the BARC system. This kind of investigation should be performed in order to determine whether any geometric uncertainty in the design and/or manufacturing of the box assembly’s central cut may influence the overall responses of the system. This investigation was performed by looking at the influence the accelerometers and removable components have on each system’s dynamics. Four total BARC assemblies were considered, beginning with the standard 0.5″ cut BARC, a 0.25″ cut BARC, a 0.1″ cut BARC, and a BARC with a 0” cut, designated as the no-cut system. Each of these assemblies had computational simulations run on them and were also experimented on using impact testing, random testing, and harmonic testing. Each system is shown in Figure 1 as a computer-aided design (CAD) model from Dassault Systèmes SOLIDWORKS.
These CAD models helped aid in the finite element analysis (FEA) performed on each system by using 3DExperience ABAQUS software (3DEXPERIENCE R2023x, Dassault Systèmes). FEA is a powerful tool allowing researchers to determine frequency ranges that should be focused on during experimentation. FEA also gives reliable mode shapes to consider during the testing and post-processing of experimental data. In order to give the best replication of each system, numerical simulations that consider the systems with an accelerometer and without an accelerometer were considered and compared. Three accelerometers weighing 6.3 g each were placed in various locations on the physical BARC systems in locations that are expected to have high oscillating responses from different modes [13,26]. In order to replicate the accelerometers in the FEA, the accelerometers were modeled within the FEA and placed in the same locations as they would be on the physical BARC system during experimental testing. The accelerometers are designated as “top”, “side”, and “RC” and pictured in Figure 2.
FEA was conducted using a frequency-step analysis, restricted in the X-, Y-, and Z-directions (with the coordinate system shown) within the holes of the baseplate of the BARC in both the translational and rotational frames. The bolts on the removable component were modeled using virtual bolts. Virtual bolts mimic the same configuration as the stick configuration, where the contact faces between the C-channel and the top beam and the C-channel and the box assembly are rigidly coupled [13,30]. As Lacayo et al. [30] mentioned, the shared faces between the components are stuck together. When considering an unrestrained case (which this study did not consider), the faces are free to detach from each other since they are not coupled together. By using the stiffer stick configuration, the computationally found natural frequencies tend to be higher than when using the less stiff unrestrained configuration. Stick configuration modeling more accurately represents the conditions expected in the laboratory setting and was therefore used in this work. It should be noted that the modeling of the bolted-joint connection is not in the scope of this study.
After FEA was carried out on the systems under consideration, the BARC structures were assembled for laboratory testing. The joints of the BARC systems were fastened using hex screws in an alternating formation/pattern, as shown in Figure 3. The alternating pattern allows for a better distribution of pressure along the joint. The screws were torqued to a 20-inch-lbs specification into the box assembly, while the bolts attaching the bar to the C-brackets were torqued to a specification of 30 inch-lbs. The BARC system was fixed using four screws at the base of the system in a 5″ by 2″ rectangular pattern, as depicted in Figure 4. Spacers were used between the base of the BARC and the testing fixture to accurately represent the dynamical response of the systems [26].
The first testing that was conducted on the systems was a free vibration test, which is considered to find the dominant frequencies of each system. Each BARC structure was impacted in the Y-direction with a modal impact hammer with a soft blue tip. Selecting the correct tip is crucial for impact testing, as the tip affects the measurements being taken during testing [31]. Each impact test occurred in the same spot, using as close to the same amount of force as possible to account for uncertainties within the experiment. The setup for this test can be found in Figure 5.
Once impact testing was conducted, random vibration testing was then performed on each system. In order to conduct the random testing, a slip-table setup was assembled, as pictured in Figure 6. The BARC system was fixed to the slip-table using four screws at the base in a manner similar to Figure 4. Like impact testing, spacers were used at the base of the BARC between the baseplate and the slip-table. To excite the system, a stinger was used to attach the shaker to the slip-table. Something to keep in mind when using a stinger is that, although the goal of stinger use is to decouple the shaker from the test article, it is not possible to achieve this perfectly. Previous studies have been conducted on minimizing the effects of the stinger, and these variables were considered when conducting experimental testing [32]. Pseudorandom excitation is considered since the interest for this test is in the nonlinear characteristics of the BARC assembly. Unlike other random vibration techniques, pseudorandom excitation does not average out nonlinear responses but does come with the cost of losing accuracy with response frequencies [33]. It should be mentioned that this technique is used to qualitatively explore the dynamics of the systems for the considered frequency range with a particular focus on the first few modes of vibrations. The goal of random testing is to determine trends within the data by taking samples over a wide frequency range. These trends can be more easily viewed by dividing the output response by the input signal. Examples of the trends that are expected include nonlinear hardening, softening, or damping.
After finalizing random vibration testing, harmonic excitation tests were then performed on each assembly. Harmonic testing allows for an ample focus on a narrow set of frequencies to find trends in the experimental data more accurately. After finding the first mode of vibration through previous testing, a frequency range of 7.5 Hz on either side of the peak was tested, for a total of 15 Hz over the course of each experiment. Harmonic testing consisted of an up-sweep utilizing a step size of 0.1 Hz, held for 15 s each step, making sure steady-state responses are accomplished. Due to the length of each test, only the first mode of each assembly is considered. The testing setup for both random and harmonic testing is presented in Figure 6.

3. The Central-Cut Width Influence on the Linear Characteristics of the BARC System: Computational Analysis

To begin the study, finite element analysis was performed on the systems using 3DExperience ABAQUS software. This allowed for a general understanding of the system’s reactions to various excitations and would give a favorable understanding of the initial dynamics of the systems prior to experimentation. In the literature, researchers typically do not consider the influence of the accelerometer within simulations. Takeshita et al. [13] have shown that accelerometers, in fact, do have an influence on the system being tested. Because of this, accelerometers were taken into account when performing computational simulations. Simulated cases both with and without accelerometers were considered to determine the influence that they might have on each BARC system. Table 1 shows the results of the simulations considering cases without accelerometers. It should be noted that the figures in each mode are exaggerated in the simulation and are not what is expected to happen during experimentation. Additional animations are provided in a Supplementary File.
Comparing systems with cuts to one another, there seems to be little to no difference in the mode shapes. But, comparing the cut systems to the no-cut system, more differences can be seen. Mode 2 in the cut systems shows a lot of movement, primarily in the box assembly. This movement is due to the coupling between the removable component and box assembly in the presence of the central cut. Mode 2 of the no-cut system shows more movement in the removable component. Other mode shapes, except mode 4, have similar motions to the cut system, but the no-cut system lacks the flexibility the other systems can reach because it has no cut. Mode 4 of the no-cut system most closely resembles mode 6 of the cut systems, and hence, a switching of modes is obtained due to the effects the central cut has on the coupling between the removable component and the box assembly. These results show the importance the cut has on the system and how having no cut alters the system dramatically.
Table 2 shows the mode shapes of the BARC systems under investigation with accelerometers present. Again, like the no-accelerometer cases, little to no difference in mode shapes can be seen when comparing the cut systems. This again shows how little the actual width of the cut influences the mode shapes of the system. But, again, comparing the cut systems to the no-cut system, it can be observed how the mode shapes change, reiterating the effect the cut has on the system as a whole due to the coupling between the box assembly and the removable component in the presence of the central-cut width.
Comparing Table 1 to Table 2, the effects of the accelerometer can be observed visually. But, when comparing the tables, little to no influence on the mode shapes can be seen. This shows that the accelerometers do not greatly affect the mode shapes of the BARC systems, if at all. After comparing the mode shapes, an analysis of the natural frequencies found through FEA took place. The goal was to determine whether the accelerometers influence the natural frequencies due to the additional mass. The previous literature has shown that the accelerometers do have a notable influence on the system and should not be left out of simulations [13]. Once again, both without- and with-accelerometer cases were considered. In addition to the physical systems being examined, 0.375″ cut and 0.125″ cut cases were explored computationally to help determine trends in the data as well.
The natural frequencies found through FEA simulations both without and with accelerometers are presented in Table 3. First, focusing on the no-accelerometer results, it can be noticed that as the central-cut width decreases from the 0.5″ cut case to the 0.1″ cut case, the natural frequencies found in the system decrease as well. This trend is true across all systems with a cut for each mode. Additionally, the no-cut case is shown to have the highest natural frequencies among all systems. This is expected since it is the most rigid assembly, as it lacks the flexibility a cut would otherwise give to the system. Next, the with-accelerometer cases show that as the cut width decreases, the frequencies also decrease among all modes in all systems. This trend is similar to what was shown in the no-accelerometer cases. Again, as expected, the no-cut case is shown to have the highest natural frequencies among all systems in every mode.
Once both computational simulations were completed, a comparison of the natural frequencies in Table 3 was conducted, comparing the cases where no accelerometers are present on the systems to the cases where three accelerometers are present. It is noted that the presence of the accelerometers reduces the natural frequencies of each system in every mode due to the additional mass they add to the structure. As higher modes were observed, the accelerometers made even more of an impact, decreasing the natural frequency by as much as 14.2%, as seen in mode 5 of the 0.5″ cut case. The system where the accelerometers decreased the frequencies the most is the 0.1″ cut case, decreasing the natural frequencies by an average of 5.12%. This computational investigation shows the importance of introducing the accelerometers into FEA since, in doing so, greater agreement can be observed between the simulated data and what was observed when performing experimentation in the laboratory through various vibratory tests.
From the initial observations made through FEA, the presence of the central cut seems to have little to no effect on the mode shapes of the system, but by comparing the cases in Table 3, the central-cut width obviously induces a linear softening effect when it is decreased. This can be determined by looking at the natural frequencies of each central cut, since as the cut width decreases, the natural frequency of each system decreases as well. The outlier is the no-cut system, but this is expected, since the system is the most rigid, as it lacks the flexibility the other systems have due to the central cut, and hence, it prohibits some coupling between the removable component and the box assembly. It should be noted that for the remainder of the study, only the simulations with accelerometers will be referenced, unless otherwise stated.

4. Central-Cut Width Effects on the Dynamical Characteristics of the BARC System: Experimental Investigations

In order to accurately examine the influence of the central-cut width on the dynamical properties of the BARC system, various vibratory tests were performed. These tests consisted of free vibration impact tests, random vibration tests, and harmonic tests. Each test had its own specific purpose, as previously discussed. This section goes deeper into the results of each study, discussing the possible presence of nonlinearities found in each system and how the central cut affects the BARC system behaviors. These experimental investigations will allow researchers in the future to qualitatively and quantitatively understand how changing the central-cut width may alter the expected results.

4.1. Free Vibration Testing

The free vibration test utilized a modal impact hammer with a soft blue tip. The blue soft tip was chosen since it captures the frequencies necessary for good, high-quality data [30]. The experimental testing was conducted in the same manner for each BARC system under consideration. Measurement points are crucial in impact testing, and in order to keep as many variables as consistent as possible, the same individual would impact the BARC at the same location on each system with the same amount of force as best as they could manage [34]. As mentioned previously, three accelerometers were placed on each BARC system: the RC accelerometer, the side accelerometer, and the top accelerometer, all pictured in Figure 2.

4.1.1. Side Accelerometer

Figure 7 shows the results of impact testing from the side accelerometers among all BARC systems. A comparison is made to the mode shapes found in Table 2 and the natural frequencies found in Table 3. Notice that all first modes in the central-cut systems are very similar to one another. Because of this observation, the response from impact testing in Figure 7 from mode 1 should be highest in the Y-direction. The impact testing results show this to be the case, all with peaks around 95 Hz. Comparing the fundamental frequency in impact testing to its counterpart in Table 3 shows a lower frequency. This is expected, though, since computational simulations consider ideal conditions. In reality, conditions can be as near ideal as possible, but nothing can match the perfection seen in FEA. Thus, dominant frequencies are expected to be lower during experimental testing.
Continuing the examination of the rest of the peaks in Figure 7, it is noted that almost all peaks have the highest response in the Y-direction. This is due to the dominant motion in the Y-direction for the side accelerometer, and also due to the excitation orientation in the Y-direction. In fact, inspecting Table 2 and the animation in the Supplementary File, the results show that nearly all side accelerometers in every mode move in the Y-direction in some capacity. Note that the plots of the no-cut system only reach 800 Hz, whereas mode 6 (according to the FEA) is somewhere near 1073 Hz. It should be mentioned that the impact and other experiments did not consider the sixth mode for the no-cut system.

4.1.2. RC Accelerometer

Figure 8 depicts the results from the impact tests using the accelerometer attached to the RC. Once again, the expectation is that the Y-direction has the highest response in the first mode among all BARC systems under consideration. This can be inferred by looking at the mode shapes from FEA in Table 2 and looking at the movement of the RC accelerometer. Looking at the test results, this is shown to be true. By referencing mode 2 in Table 2, it can be observed that the X-direction should have the highest responses, followed by the Z-direction, in almost all systems. Looking at the experimental testing results, the FEA results are seen to be true. Both the second and third modes have the highest responses in the X-direction among all systems. Table 2 shows that mode 4 has movement primarily in the X-direction when the central cut exists. The results shown here confirm that to be true, since the responses are highest for the fourth mode in the X-direction. Furthermore, mode switching can also be seen here when comparing the no-cut system to the cut systems. The peaks near 450 Hz of the cut systems (likely mode 6) are dominated primarily by the Y- and Z-responses, while the mode near 660 Hz (likely mode 4) of the no-cut system shows peaks very close to one another in all directions, with the Y- and Z-responses being more dominant.
By comparing impact testing to the FEA, the results show great agreement with what was observed in the FEA simulations. For brevity, the top accelerometer is not explored since the results from those tests are relatively similar to what has already been discussed. The RC and side accelerometers will continue to be deeply investigated for the remainder of this study unless otherwise stated.

4.1.3. Free Vibration Testing: Discussions on the Influence of the Central-Cut Width

A comparison of the FEA and impact frequencies is shown in Table 4, giving valuable insight into how all the frequencies compare to one another. Notice that the impact testing data are consistently lower than what was found in the FEA, especially as the frequencies increase. This is because the FEA considers ideal conditions, and, although conditions can be as near ideal as possible, nothing will match the precision of computational analysis. Indeed, the FEA simulations considered the stiffest representation for the boundary conditions and bolted-joint connections. Further work should be conducted on accurately modeling bolted-joint connections, which is not in the scope of this study. It should be mentioned that the idealistic considerations of FEA have been extensively studied by Mottershead et al. [33]. Nonetheless, there is still significant confidence in the results. Some takeaways from this table include that a higher frequency is seen for the no-cut system. This is expected since that is the most rigid system. Further, it can be observed that the 0.25″ cut system shows higher frequencies as compared to the other two cut systems, namely, 0.5″ and 0.1″. This trend will be considered when analyzing data from random vibration testing.
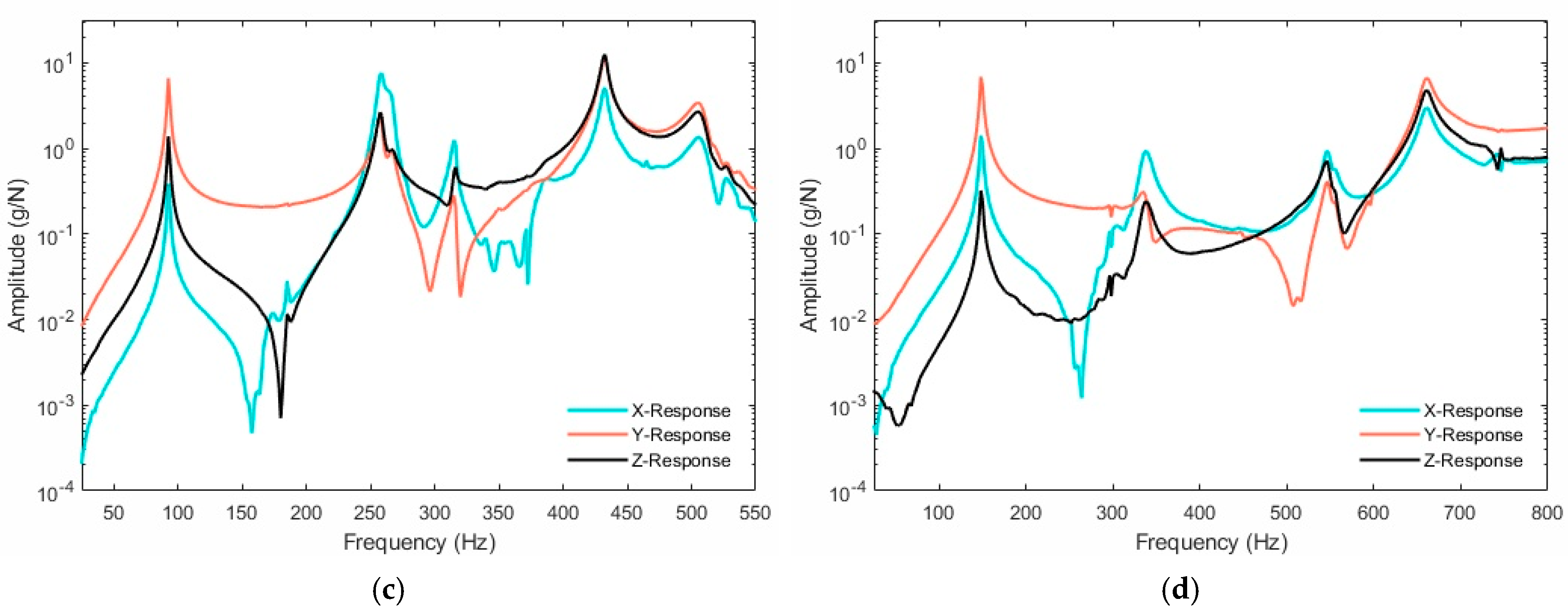
In order to understand the importance of each accelerometer in characterizing the dynamics of the BARC system, a comparison of the locations is shown in Figure 9. This depicts the strength of each response from the respective accelerometer, showing how different responses are stronger at different locations on the BARC system under investigation and how the choice of the location of the accelerometer or measurement is important and may change the characterization of complex coupled systems, such as the BARC system. For example, looking at Figure 9c, there are dominant peaks around 250 Hz and 275 Hz. These peaks are most distinct when looking at the RC accelerometer in the Z-direction. Indeed, the top and side accelerometers are mostly useful for movement in the Y- and X-directions, depending on the mode of vibration. Similar trends are shown for other dominant peaks in the other directional plots. Focusing on the third mode of vibration near 275 Hz, it is clear that the top and RC accelerometers have similar behaviors in the X-direction, as presented in Figure 9a. Indeed, it is clear from the mode shape of this third mode that both accelerometers have similar motion in the X-direction. On the other hand, these top and RC accelerometers do not have similar motion in the Y- and Z-directions near mode 3 due to the coupling between the removable component and the box assembly, as shown in Table 2 and Figure 9b,c. For brevity, only the 0.5″ cut system is shown, since all other BARC systems show similar trends.
A closer look into the impact experimental results is possible by comparing all central-cut systems to one another, as shown in Figure 10. It follows from these plots that the 0.1″ cut system consistently has the lowest frequencies at each dominant peak among all systems, followed by the 0.5″ cut and 0.25″ cut systems, in that order. This trend is correct, except for the second mode, where the 0.5″ cut system has the lowest dominant frequency. This variability may be due to the influence of the central-cut width on the coupling between the second and third modes. The amplitudes of the Y- and Z-direction responses are also different, with the Y-responses typically being higher than those in the Z-direction.

4.2. Random Vibration Testing

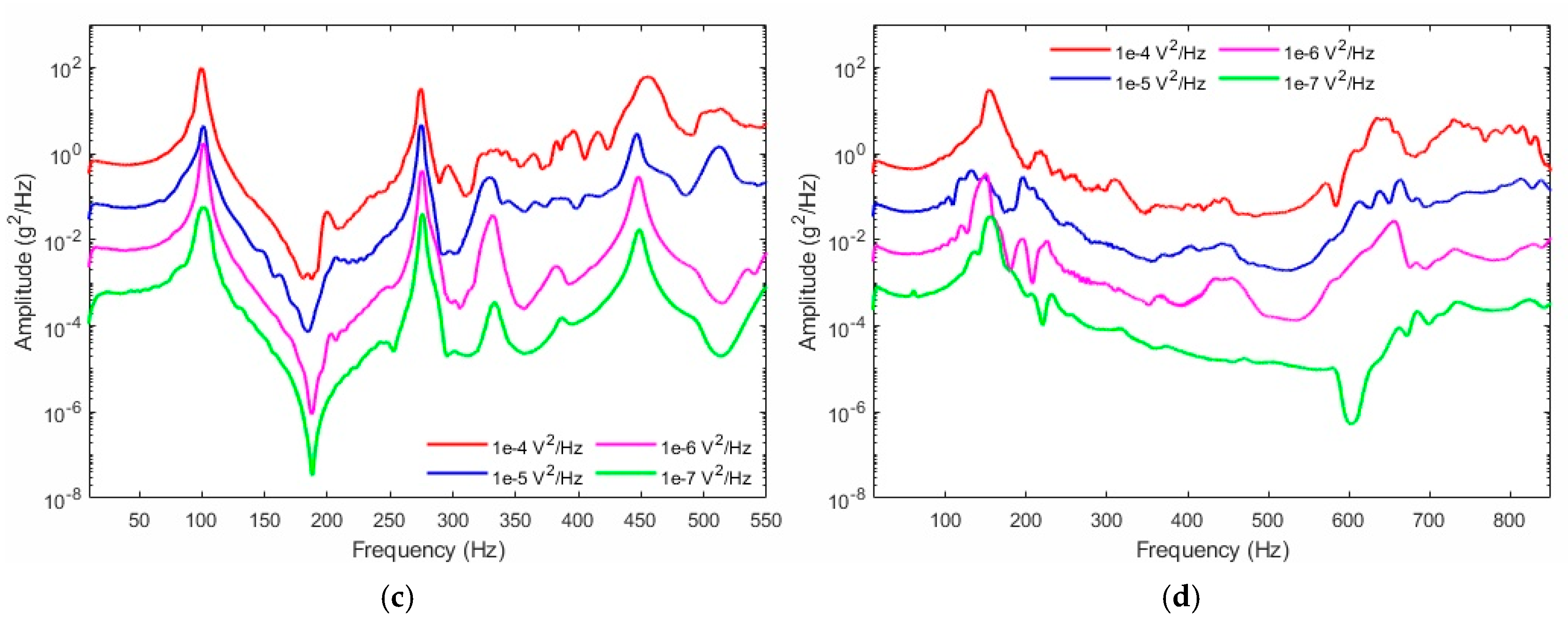
Next, random vibration testing was performed on the individual systems. Random vibration testing allows for a qualitative analysis of the dynamics of these systems. As stated previously, a pseudorandom experimental test is considered since this method is more sensitive to nonlinearities due to the constant amplitude and periodicity in the same testing interval. Additional advantages of pseudorandom testing include that the sample is always periodic in the sample interval, the test is relatively fast, and it takes fewer averages than random testing [35]. The setup for random vibration testing is shown in Figure 6. Input excitation levels of 1 × 10−7, 1 × 10−6, 1 × 10−5, and 1 × 10−4 V2/Hz were considered for this experimental test.

4.2.1. Side Accelerometer

Figure 11 depicts the random vibration testing results taken from the side accelerometer in the Y-direction. It follows from the plotted curves in Figure 9 that an obvious nonlinear trend was obtained in these tests, especially in the first and second peaks. For the central-cut cases, the first peak is near 100 Hz, which matches what is expected in the FEA and the impact tests shown in Figure 7. The mode shapes seen in Table 2 also verify that the response direction is the Y-direction, except for the no-cut case, which shows a higher response in the X-direction than in the Y-direction for the second mode of vibration. As a result, the data for mode 2 are not listed in Table 5, since it is difficult to distinguish using Figure 7d.
By comparing the central-cut width results, trends should be easy to find. A percentage change is found by determining the change in frequency between the lowest excitation (1 × 10−7 V2/Hz) and the highest excitation (1 × 10−4 V2/Hz). For example, the system with the highest nonlinear softening is the 0.5″ cut width, particularly in mode 1, with a nonlinear softening of 4.41% between the fundamental frequencies of the lowest and highest excitations. Further, it should be noticed that as the central-cut width decreases, the nonlinear softening decreases as well. As stated, the 0.5″ cut has the highest nonlinear softening, but the no-cut case has the lowest nonlinear softening, with only a 1.01% decrease in the dominant frequency. This trend cannot be stated for the second mode, where the highest nonlinear softening is for the 0.25″ cut with a 1.12% decrease. Mode 2 for the 0.5″ cut and the 0.1″ cut has percentage decreases of 0.55% and 0.42%, respectively. These are almost linear, compared to the nonlinear softening behaviors seen in the first modes.
Three important notes should be stated here. First, an additional frequency peak is present at around 200 Hz (may be a superharmonic of order 2 for the first mode) for the central case configurations, which can be due to the presence of quadratic nonlinearity in the system. This frequency peak’s amplitude increases when the input excitation level is increased. Second, it should be mentioned that the sixth mode for the central-cut configurations shows the possible presence of nonlinear hardening. Indeed, the resonant frequency is increased by 0.91%, 1.2%, and 1.31% for 0.5″, 0.25″, and 0.1″, respectively, when the input excitation is increased from 1 × 10−7 V2/Hz to 1 × 10−4 V2/Hz. Third, inspecting the plots in Figure 11d and the dominant frequencies tabulated in Table 5, it can be stated that the no-cut configuration may have a nonlinear softening and then nonlinear hardening behavior. Indeed, when the input excitation level is increased, the dominant frequency decreases and then increases. As mentioned earlier, random vibration testing enables qualitative investigations for various modes of vibration, and hence, to precisely determine the type of nonlinearity (softening or/and hardening), quantitative investigations should be performed, as presented in the experimental harmonic testing section. In addition, it should be mentioned that, due to the coupling between the removable component and the box assembly, as well as the complexity of the BARC system, random vibration testing might result in the collection of low-quality data, which may result in a misinterpretation of the results.

4.2.2. RC Accelerometer

As shown in the impact testing results, the RC accelerometer data should be more useful in examining the influence of the central-cut width on the dynamical characteristics of the system due to its capability to clearly detect oscillations in the X- and Z-directions. The plotted curves in Figure 12 show the results from random vibration when four levels of input excitation are considered. Again, it follows from these plots that nonlinear softening is present. As the input excitation increases, the peak frequencies decrease. This is true especially in the lower modes, as seen previously with the side accelerometer, but, in this instance, it is more evident in the higher modes as compared to the Y-direction of the side-accelerometer results. Since the peaks are around 100 Hz, 275 Hz, and 300 Hz (a smaller peak), it is reasonable to assume that these modes are mode 1, mode 2, and mode 3 based on the FEA found in Table 3. Notice that the quality of data in the no-cut case is not as high as it is in the other cut cases. This adds some uncertainty when analyzing the data, and that is seen when looking at the results in Table 6.
An investigation into the Z-direction took place for the RC accelerometer to determine the presence of potential coupling between the box assembly and the removable component, evidence of which has already been observed in the Y-direction section of this study. The random vibration results from the RC accelerometer in the Z-direction are shown in Figure 13. Referring to Table 2 and Table 3, it can be reasonably assumed that the dominant peaks around 100 Hz and 275 Hz are mode 1 and mode 2, since the RC accelerometer moves in the Z-direction and the frequencies found in random testing are similar to those found in the FEA. Table 6 depicts the dominant peaks found from the random vibration testing using the RC accelerometer for mode 1 and mode 2 in the Z-direction. Looking at the dominant peaks from each central-cut width, certain trends are found. Once again, nonlinear softening is present when looking at these results. In fact, nonlinear softening is again the highest in the 0.5″ cut case, similar to what is found in Table 5. Unlike Table 5, the nonlinear softening difference between 0.25″ and 0.1″ is very small, only 0.02%.

4.2.3. Random Vibration Testing: Discussion on the Influence of the Central-Cut Width

Table 7 shows a comparison of results between the random vibration data and the FEA, found by comparing results by looking at the responses from primarily the RC and side accelerometers in the Y- and Z-directions. These data were taken from the lowest input excitation since these data should minimize the nonlinear effects. It follows from the tabulated values in this table that the FEA results are a little higher than those of their random counterparts. Again, this is because FEA considers ideal conditions, and it is impossible to attain these conditions during testing. It should be mentioned that similar trends are observed in both tests. The frequency continues to decrease as the cut width decreases. These trends agree with data previously seen and discussed. Note that mode 2 of the no-cut case is not listed in the table because it is difficult to determine an accurate frequency at this low input excitation level.
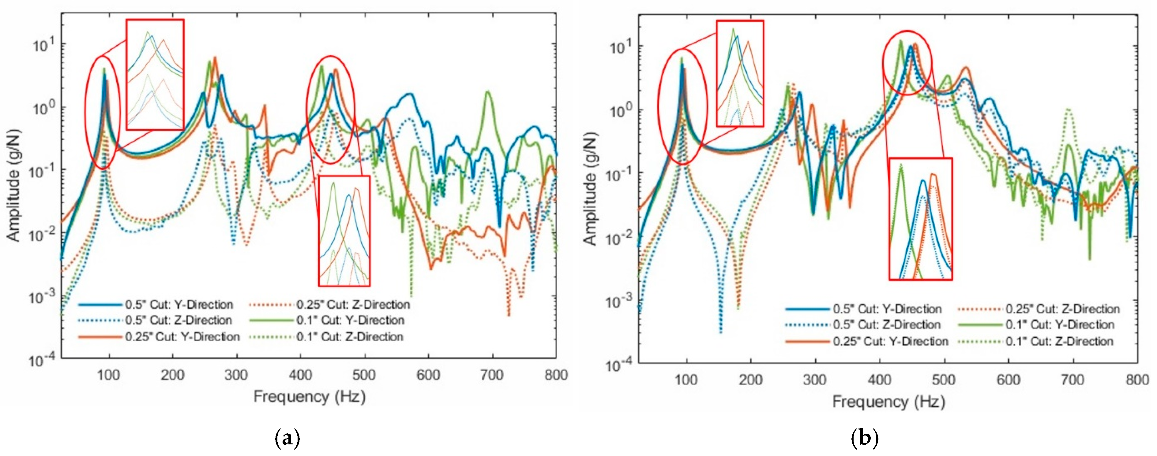
In order to fully understand the influence that the central-cut width has on the dynamics of the BARC system, a comparison between all cut width configurations must take place. Of particular interest is the RC accelerometer, since it displays a lot of motion in all three directions, as shown in Table 2. A comparison of all central-cut width configurations for the side and RC accelerometers can be found in Figure 14 using the results for 1 × 10−4 V2/Hz. This figure will be compared with the impact data to determine the influence of the central-cut width and to determine whether similar trends are seen in relation to peaks at certain modes by comparing the random vibration data to the mode shapes in Table 2. In comparing all systems with cuts, no mode switching is expected for the first six modes of vibration, according to the FEA, which is seen here in the random vibration data. This also agrees with what was seen in the impact data, as shown in Figure 8. Potential mode switching between the non-zero central-cut and no-cut configurations (mode 6 in the non-zero-cut configurations and mode 4 in the no-cut configuration) may occur in the systems, as previously discussed when analyzing the FEA.
Finally, a direct comparison between all central-cut width configurations is presented in Figure 15 using the 1 × 10−4 V2/Hz data from random testing for the side Y-direction, RC Y-direction, and RC Z-direction accelerometers. Trends similar to what was discussed previously are obtained, especially what was found in the tables depicting the frequencies of the dominant peaks (Table 5, Table 6 and Table 7). Especially in the second dominant peak, notice how as the central-cut width decreases from the 0.5″ cut case, the frequency decreases. In addition, it follows from the plots in Figure 15 that the 0.1″ cut system has the highest amplitude, while the 0.5″ cut system has the lowest amplitude when looking at the second dominant peak. This trend is similar for other accelerometers and directions, so for brevity, they are not discussed. One important note to mention is the difference seen between the impact and random testing results. This difference concerns the dominant frequencies for the various central-cut configurations and the non-monotonic trend in the variation in the dominant frequency with respect to the central-cut width seen in the impact testing results. The other difference is the higher values of dominant frequencies that were obtained during random testing compared to impact testing. These differences may be due to the usage of a slip-table and stinger setup for random vibration testing, and hence, some additional stiffness may be added to the BARC systems, which may have a direct influence on the coupling between the removable component and the box assembly.

4.3. Harmonic Vibration Testing

After the completion of random vibration testing, a quantitative investigation into the first mode took place to further understand the possible presence of nonlinear behaviors. This investigation was completed using harmonic testing, which gives a deeper and clearer picture of what is going on with each system at a set frequency range. The setup for this test can be found in Figure 6. The focus of harmonic testing will be on the first mode of vibration for all BARC systems under consideration. This is because the first mode gives the clearest results in all tests performed so far and is the easiest to activate with the setup shown in Figure 6. Similar quantitative experimental testing can be conducted for higher modes of vibration. It should be mentioned that the first vibratory mode for all systems is primarily in the Y-direction, so they are easier to activate and study.
The central-cut width systems were studied in a range of 92.5 Hz to 107.5 Hz, for a total range of 15 Hz. Each assembly was excited at four different input excitation levels, including 50 mV, 100 mV, 125 mV, and 150 mV, using step-sine frequency analysis, with each step being 0.1 Hz and with the frequency being held at that step for 15 s to achieve a steady-state response. This means that each test would take approximately 37.5 min. Once again, as previously established, the side and RC accelerometers were investigated using the experimental data collected from all directions to find the presence of nonlinear trends, including nonlinear hardening, softening, and damping, as well as to establish a coupling trend between the box assembly and the removable component. Something else to look for is the nonlinear softening cut trend that has been seen previously, especially as discussed for random vibration testing.

4.3.1. Side Accelerometer

The first investigation that will be discussed is the frequency response function (FRF) plots from the side accelerometer in the Y-direction. The goal is to determine the possible presence of nonlinear behaviors, including nonlinear softening and nonlinear damping, which can be scarcely seen here. It follows from the plotted frequency response curves in Figure 16 that nonlinear softening is observed for all BARC systems with non-zero central-cut widths under consideration. The strongest nonlinear softening can be seen in the 0.25″ central-cut system, since the dominant peaks shift to the left as excitation increases. This is further displayed in Table 8, showing a percentage change of 0.60% between the lowest excitation and the highest excitation. Interestingly, nonlinear hardening is shown in the smaller central-cut width configuration, depicted by the negative sign in Table 8. The 0.1″ cut system shows a nonlinear hardening of 0.30%, and the no-cut system has a nonlinear hardening of 0.84%. Further comparison between the other accelerometers and response directions will be investigated to determine whether similar trends are experimentally observed.
A comparison of all central-cut width configurations using the Y-direction of the side accelerometer at 50 mV and 150 mV can be found in Figure 17. It should be noticed that the 0.5″ cut width shows higher frequencies between both the 50 mV and 150 mV excitations when compared to the other central-cut cases. The trend depicting the 0.1″ cut system to have frequencies between 0.5″ and 0.25″ shown here can also be seen above in Figure 15a from the random vibration data. This shows good agreement between the two testing methods.

4.3.2. RC Accelerometer

Next, the effects of the central-cut width on the BARC system’s dynamics are studied, with a particular focus on the RC accelerometer data. The first direction that is examined for the RC accelerometer is the Y-direction. These results will be closely compared to what was found in the random vibration data shown in Figure 12, with the goal of finding similar nonlinear trends, such as the nonlinear softening seen in each system. Again, only the first dominant peak will be investigated for this harmonic vibration study.
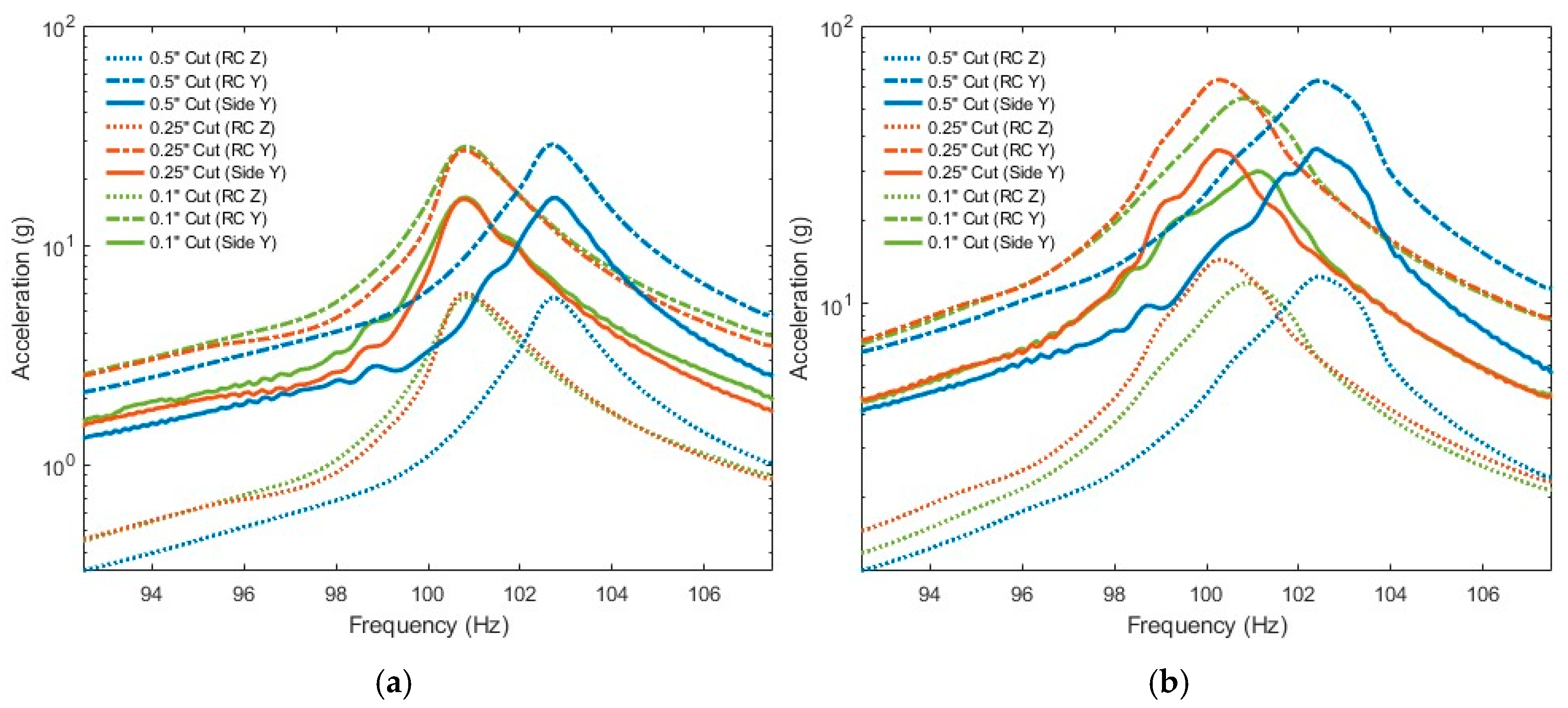
Figure 18 depicts the results from the RC accelerometer Y-direction. Inspecting the plotted frequency response curves in this figure, it can be concluded that similar trends to the side-accelerometer Y-direction results are observed. It should be mentioned that the quality of the experimental data is much better in the Y-direction of the RC accelerometer compared to the side-accelerometer counterpart. Concerning the 0.5″ and 0.25″ configurations, it is clear from the plots in Figure 18a,b that nonlinear softening is present. This data can be more easily seen in Table 9, depicting the actual frequencies of each dominant peak associated with each system. Again, notice that the nonlinear softening decreases as the cut width decreases. This was a trend seen previously in Table 8. Focusing on the 0.1″ central-cut system, the resonant frequencies seem to almost experience nonlinear hardening but revert to 100.8 Hz. Again, the system with the most nonlinear softening is the 0.5″ cut system, while the system with the most nonlinear hardening is the no-cut system. It should be mentioned that the side accelerometer has more oscillations in the Y-direction, and hence, the activation of nonlinearity should be more significant.
To truly determine how the central-cut width configurations compare to each other, a side-by-side comparison is shown in Figure 19 for the RC accelerometer in the Y-direction. Compare this to Figure 15b, where a similar comparison is shown for the random vibration data. Again, the 0.1″ cut data are between the 0.5″ and 0.25″ data, especially at the higher 150 mV excitation. It follows from the plots in Figure 19 that uncertainty in the estimation of the central-cut width may result in a change in the dynamics of the BARC system from resonant frequency regions, amplitudes of oscillations, nonlinear characteristics, etc.

4.3.3. Harmonic Vibration Testing: Discussion on the Influence of the Central-Cut Width

The harmonic vibration testing results show an overall nonlinear softening behavior throughout the 0.5″ and 0.25″ central-cut width systems, with a maximum nonlinear softening seen in the 0.25″ cut system, having a percentage change of 0.60% in the Y-direction of both the RC and side accelerometers. Interestingly, nonlinear hardening is strongly observed in the no-cut systems.
After investigating all these accelerometers near the fundamental mode of vibration, a comparison between them takes place in Figure 20. It follows from the plotted frequency response functions in this figure that the RC accelerometer in the Y-direction has the highest amplitude for any accelerometer analyzed, followed by the side accelerometer in the Y-direction, with the RC accelerometer in the Z-direction having the lowest oscillating amplitudes. This shows that there is a majority of movement in the Y-direction for the first mode, as already examined in both the FEA and the impact data.
Figure 21 shows the results of harmonic testing from the side and RC accelerometers in the Y-direction and the RC accelerometer in the Z-direction for the 0.5″ cut system, using data from the 150 mV excitation test. Notice the various amplitudes at each excitation frequency. At resonance (~102.4 Hz), the amplitude is highest for the system. The amplitudes before and after resonance (~102 and ~102.8, respectively) are lower than what was seen at resonance. Additionally, it should be noted that there is a difference in amplitude at the same frequency between accelerometers. The RC accelerometer experiences much higher oscillations in the Y-direction than the side accelerometer, and the RC accelerometer in the Z-direction shows the lowest amplitudes, matching what was discussed when comparing each of these in Figure 20.
From the harmonic testing results carried out in this investigation, it should be noted that the resonant amplitude of the output/input is varied when the input excitation is increased, which indicates the presence of nonlinear damping in these BARC structures. Indeed, for a linear system, the output/input or transmissibility should be constant. The graphs of output/input are omitted for the sake of brevity. On the other hand, a quantitative analysis to find the quality factors for the systems under investigation was conducted. The quality factor provides a comprehensive understanding of the nonlinear damping in each system. The results are displayed in Figure 22 and depict the quality factors found from the first mode using the RC accelerometer in the Y-direction. The results presented in Figure 22 show that the Q-factor has an overall decreasing trend as the input excitation level is increased. This result indicates that nonlinear damping is present in each system, especially the no-cut system, with a monotonic increase in damping (a decrease in the Q-factor). It should be mentioned that the resonant frequency is only varied by a small percentage, as indicated in Table 9, and hence, the effective damping in the system should have a similar trend to the inverse of the quality factor. The presence of these nonlinearities (nonlinear damping/softening/hardening) should be related to the presence of (1) bolted-joint connections (i) in the boundary conditions, (ii) between the box assembly and the removable component, and (iii) in the removable component connections; (2) large deformation in the removable component or/and box assembly depending on the mode of vibration and the location of the accelerometer and, hence, the possible activation of geometric and inertia nonlinearities.

5. Conclusions

There has been very limited research in the literature into the effects that altering the central-cut width of the BARC would have on the dynamics of the system. This study investigated how changing this central-cut width influences the dynamical characteristics of the assembly using computational and experimental techniques. Finite element analysis was performed to determine the mode shapes and natural frequencies of each system. These mode shapes and natural frequencies were compared to the results of impact testing performed on the system to characterize the dominant peaks that were seen during experimentation. Random and harmonic vibration tests were then performed to further investigate the potential existence of nonlinearities, such as nonlinear softening and hardening. It was found that as the central-cut width decreased, near the first mode of vibration, the nonlinear softening within the system could switch to a nonlinear hardening behavior for the same level of input excitation. The harmonic testing results demonstrated that the nonlinear softening or hardening behavior was different among central-cut width configurations. Typically, the 0.5″ and 0.25″ cut cases showed nonlinear softening, while the 0.1″ and no-cut cases depicted nonlinear hardening. Nonlinear damping was seen in all central-cut cases and was found to increase as the central-cut width decreased. The computational and experimental results of this investigation showed the importance of the central-cut width on the dynamical properties of the BARC system. This includes the linear and nonlinear characteristics and the coupling between different modes due to the presence of the central-cut. Some uncertainties in this study can come from bolt preload conditions, experimental setups and measurements, and variances in machining and material properties. It should be noted that this work did not focus on modeling the bolted-joint conditions, but instead attempted to address this by conducting several tests for repeatability. In future work, a deeper investigation can be performed on the influence of the central-cut on higher modes and the influence of scalability and boundary conditions, with consideration of closed-loop stepped sine control to ensure the robustness of this study.

Supplementary Materials

The following supporting information can be downloaded at: https://www.mdpi.com/article/10.3390/app15031671/s1.

Author Contributions

Conceptualization, A.A.; methodology, C.P., A.F., J.M., E.G. and A.A.; software, C.P., A.F., J.M. and E.G.; validation, C.P.; formal analysis, C.P., A.F. and A.A.; investigation, C.P., A.F., J.M., E.G. and A.A.; resources, A.A.; data curation, C.P.; writing—original draft, C.P.; writing—review and editing, A.F., J.M., E.G. and A.A.; visualization, C.P., A.F., J.M., E.G. and A.A.; supervision, A.A.; project administration, A.A.; funding acquisition, A.A. All authors have read and agreed to the published version of the manuscript.

Funding

This research was funded by the Los Alamos National Laboratory.

Institutional Review Board Statement

Not applicable.

Informed Consent Statement

Not applicable.

Data Availability Statement

The original contributions presented in this study are included in the article/Supplementary Material. Further inquiries can be directed to the corresponding author.

Acknowledgments

The authors would like to acknowledge the financial support from the Los Alamos National Laboratory (LANL). A special thanks to Thomas Burton, Jorge Perez, Sevren Jackson, Devin Binns, Daniel Rhodes, and Kyle Girven for their assistance and fruitful discussions.

Conflicts of Interest

The authors declare no conflicts of interest.

References

  1. Schoenherr, T.F. Designing an Optimized Fixture for the BARC Hardware Using a Parameterized Model (No. SAND2019-12838C); Sandia National Lab (SNL-NM): Albuquerque, NM, USA, 2019. [Google Scholar]
  2. Bari, N.A.; Serrano, M.; Shenouda, S.M.; Taylor, S.; Schultze, J.; Flynn, G. Quantifying joint uncertainties for hybrid system vibration testing. In Dynamic Substructures, Volume 4: Proceedings of the 38th IMAC, A Conference and Exposition on Structural Dynamics, Houston, TX, USA, 10–13 February 2020; Springer International Publishing: Berlin/Heidelberg, Germany, 2021; pp. 131–138. [Google Scholar]
  3. Musella, U.; Blanco, M.A.; Mastrodicasa, D.; Monco, G.; Emilio, D.L.; Simone, M.; Peeters, B.; Mucchi, E.; Guillaume, P. Combining test and simulation to tackle the challenges derived from boundary conditions mismatches in environmental testing. In Sensors and Instrumentation, Aircraft/Aerospace, Energy Harvesting & Dynamic Environments Testing, Volume 7: Proceedings of the 37th IMAC, A Conference and Exposition on Structural Dynamics, Orlando, FL, USA, 28–31 January 2019; Springer International Publishing: Berlin/Heidelberg, Germany, 2020; pp. 259–269. [Google Scholar]
  4. Rohe, D.P. Modal Data for the BARC Challenge Problem Test Report (No. SAND-2018-0640R); Sandia National Lab (SNL-NM): Albuquerque, NM, USA, 2018. [Google Scholar]
  5. Lion, P.M. Rapid identification of linear and nonlinear systems. AIAA J. 1967, 5, 1835–1842. [Google Scholar] [CrossRef]
  6. Baur, U.; Benner, P.; Feng, L. Model order reduction for linear and nonlinear systems: A system-theoretic perspective. Arch. Comput. Methods Eng. 2014, 21, 331–358. [Google Scholar] [CrossRef]
  7. Nayfeh, A.H.; Mook, D.T. Nonlinear Oscillations; John Wiley & Sons: Hoboken, NJ, USA, 2008. [Google Scholar]
  8. Elliott, S.J.; Tehrani, M.G.; Langley, R.S. Nonlinear damping and quasi-linear modelling. Philos. Trans. R. Soc. A Math. Phys. Eng. Sci. 2015, 373, 20140402. [Google Scholar] [CrossRef] [PubMed]
  9. Varoto, P.S. Issues in laboratory simulation of field vibration data: Experimental results on a typical structure. In Sensors and Instrumentation, Aircraft/Aerospace, Energy Harvesting & Dynamic Environments Testing, Volume 7: Proceedings of the 37th IMAC, A Conference and Exposition on Structural Dynamics, Orlando, FL, USA, 28–31 January 2019; Springer International Publishing: Berlin/Heidelberg, Germany, 2020; pp. 347–354. [Google Scholar]
  10. Schoenherr, T.F.; Clark, B.W.; Coffin, P. Improve Replication of in-Service Mechanical Environments (No. SAND2018-10187); Sandia National Lab (SNL-NM): Albuquerque, NM, USA, 2018. [Google Scholar]
  11. Braun, S.; Ewins, D.J.; Rao, S.S. Encyclopedia of vibration: Volumes 1, 2, and 3. Appl. Mech. Rev. 2002, 55, B45. [Google Scholar] [CrossRef]
  12. Keightley, W.O. Vibration Tests of Structures. Doctoral Dissertation, California Institute of Technology, Pasadena, CA, USA, 1964. [Google Scholar]
  13. Takeshita, A.; Madrid, J.; Granillo, E.; Abdelkefi, A. Insights on the impacts of accelerometer location on the dynamics and characteristics of complex structures. Sensors 2023, 23, 9830. [Google Scholar] [CrossRef] [PubMed]
  14. He, R. Airborne Path Frequency Based Substructuring Method and Its Applications. Master Thesis, University of Kentucky, Lexington, KY, USA, 2015. [Google Scholar]
  15. Dilworth, B.J.; Karlicek, A.; Thibault, L. An approach to component testing: An analytical study. In Sensors and Instrumentation, Aircraft/Aerospace, Energy Harvesting & Dynamic Environments Testing, Volume 7: Proceedings of the 37th IMAC, A Conference and Exposition on Structural Dynamics, Orlando, FL, USA, 28–31 January 2019; Springer International Publishing: Berlin/Heidelberg, Germany, 2020; pp. 341–345. [Google Scholar]
  16. de Klerk, D.; Rixen, D.J.; de Jong, J. The frequency based substructuring (FBS) method reformulated according to the dual domain decomposition method. In Proceedings of the 24th International Modal Analysis Conference, A Conference on Structural Dynamics, St. Louis, MO, USA, 30 January–2 February 2006; pp. 1–14. [Google Scholar]
  17. Drozg, A.; Čepon, G.; Boltežar, M. Full-degrees-of-freedom frequency based substructuring. Mech. Syst. Signal Process. 2018, 98, 570–579. [Google Scholar] [CrossRef]
  18. Law, M.; Ihlenfeldt, S. A frequency-based substructuring approach to efficiently model position-dependent dynamics in machine tools. Proc. Inst. Mech. Eng. Part K J. Multi-Body Dyn. 2015, 229, 304–317. [Google Scholar] [CrossRef]
  19. Maierhofer, J.; Mahmoudi, A.E.; Rixen, D.J. Development of a low cost automatic modal hammer for applications in substructuring. In Dynamic Substructures, Volume 4: Proceedings of the 37th IMAC, A Conference and Exposition on Structural Dynamics, Orlando, FL, USA, 28–31 January 2019; Springer International Publishing: Berlin/Heidelberg, Germany, 2020; pp. 77–86. [Google Scholar]
  20. Wagner, P.; Hülsmann, A.P.; Van der Seijs, M. Application of dynamic substructuring in NVH design of electric drivetrains. In Proceedings of the ISMA2020 including USD2020—International Conference on Noise and Vibration Engineering, Leuven, Belgium, 7–9 September 2020; pp. 7–9. [Google Scholar]
  21. De Klerk, D.; Rixen, D.J.; Voormeeren, S.N. General framework for dynamic substructuring: History, review and classification of techniques. AIAA J. 2008, 46, 1169–1181. [Google Scholar] [CrossRef]
  22. Mahmoudi, A.E.; Rixen, D.J.; Meyer, C.H. Comparison of different approaches to include connection elements into frequency-based substructuring. Exp. Tech. 2020, 44, 425–433. [Google Scholar] [CrossRef]
  23. Čepon, G.; Drozg, A.; Boltežar, M. Introduction of line contact in frequency-based substructuring process using measured rotational degrees of freedom. J. Phys. Conf. Ser. 2019, 1264, 012025. [Google Scholar] [CrossRef]
  24. Rohe, D.P.; Smith, S.; Brake, M.R.; DeClerck, J.; Blanco, M.A.; Schoenherr, T.F.; Skousen, T.J. Testing summary for the box assembly with removable component structure. In Sensors and Instrumentation, Aircraft/Aerospace, Energy Harvesting & Dynamic Environments Testing, Volume 7: Proceedings of the 37th IMAC, A Conference and Exposition on Structural Dynamics, Orlando, FL, USA, 28–31 January 2019; Springer International Publishing: Berlin/Heidelberg, Germany, 2020; pp. 167–177. [Google Scholar]
  25. Soine, D.E.; Jones, R.J.; Harvie, J.M.; Skousen, T.J.; Schoenherr, T.F. Designing hardware for the boundary condition round robin challenge. In Topics in Modal Analysis & Testing, Volume 9: Proceedings of the 36th IMAC, A Conference and Exposition on Structural Dynamics, Orlando, FL, USA, 12–15 February 2018; Springer International Publishing: Berlin/Heidelberg, Germany, 2019; pp. 119–126. [Google Scholar]
  26. Takeshita, A.; Sedillo, H.; Jankowski, K.; Barba, J.; Bouma, A.; Billingsley, E.; Abdelkefi, A. Effects of test fixture connections and interference of the BARC structure on its dynamical responses. Int. J. Mech. Sci. 2022, 221, 107186. [Google Scholar] [CrossRef]
  27. Cooper, S.B.; DiMaio, D.; Ewins, D.J. Integration of system identification and finite element modelling of nonlinear vibrating structures. Mech. Syst. Signal Process. 2018, 102, 401–430. [Google Scholar] [CrossRef]
  28. Padilla, C.; Flores, A.; Granillo, E.; Madrid, J.; Abdelkefi, A. Effects of central cut width on the dynamical characteristics of box assembly structure. Appl. Sci. 2025, 15, 417. [Google Scholar] [CrossRef]
  29. Padilla, C.L.; Madrid, J.M.; Granillo, E.C.; Flores, A.; Abdelkefi, A. Dynamics and nonlinear characterization of BARC systems with varying central cut widths. In Proceedings of the AIAA SCITECH 2024 Forum, Orlando, FL, USA, 8–12 January, 2024; p. 2442. [Google Scholar]
  30. Lacayo, R.; Pesaresi, L.; Groß, J.; Fochler, D.; Armand, J.; Salles, L.; Schwingshackl, C.; Allen, M.; Brake, M. Nonlinear modeling of structures with bolted joints: A comparison of two approaches based on a time-domain and frequency-domain solver. Mech. Syst. Signal Process. 2019, 114, 413–438. [Google Scholar] [CrossRef]
  31. Avitabile, P. Should I Always Use a Hard Tip for Impact Testing? Modal Analysis-Back to Basics, Experimental Techniques published by Society for Experimental Mechanics. 1998. Available online: https://mpihome.com/files/pdf/modal_analysis_pdf/oct98.pdf (accessed on 2 February 2025).
  32. Cloutier, D.; Avitabile, P.; Bono, R.; Peres, M. Shaker/stinger effects on measured frequency response functions. In Proceedings of the 27th International Modal Analysis Conference, Orlando, FL, USA, 9–12 February 2009; Volume 122. [Google Scholar]
  33. Mottershead, J.E.; Friswell, M.I. Model updating in structural dynamics: A survey. J. Sound Vib. 1993, 167, 347–375. [Google Scholar] [CrossRef]
  34. De Klerk, D.; Visser, R. Characterization of measurement errors in experimental frequency based substructuring. In Proceedings of the ISMA 2010 Including USD2010, Leuven, Belgium, 20–22 September 2010; pp. 1881–1890. [Google Scholar]
  35. Allemang, R.; Avitabile, P. (Eds.) Handbook of Experimental Structural Dynamics; Springer Nature: Berlin/Heidelberg, Germany, 2022. [Google Scholar]
Figure 1. Computer-aided design (CAD) models of each BARC system: (a) 0.5″ cut, (b) 0.25″ cut, (c) 0.1″ cut, and (d) no cut.
Figure 1. Computer-aided design (CAD) models of each BARC system: (a) 0.5″ cut, (b) 0.25″ cut, (c) 0.1″ cut, and (d) no cut.
Applsci 15 01671 g001
Figure 2. Accelerometers’ locations on the BARC system.
Figure 2. Accelerometers’ locations on the BARC system.
Applsci 15 01671 g002
Figure 3. Alternating screw pattern for the removable component.
Figure 3. Alternating screw pattern for the removable component.
Applsci 15 01671 g003
Figure 4. BARC base hole pattern.
Figure 4. BARC base hole pattern.
Applsci 15 01671 g004
Figure 5. The impact testing setup for the BARC system.
Figure 5. The impact testing setup for the BARC system.
Applsci 15 01671 g005
Figure 6. Random vibration and harmonic vibration testing setup utilizing a slip-table setup for testing of the BARC system.
Figure 6. Random vibration and harmonic vibration testing setup utilizing a slip-table setup for testing of the BARC system.
Applsci 15 01671 g006
Figure 7. Impact testing results from the side accelerometer: (a) 0.5″ cut, (b) 0.25″ cut, (c) 0.1″ cut, and (d) no-cut BARC systems.
Figure 7. Impact testing results from the side accelerometer: (a) 0.5″ cut, (b) 0.25″ cut, (c) 0.1″ cut, and (d) no-cut BARC systems.
Applsci 15 01671 g007aApplsci 15 01671 g007b
Figure 8. Impact testing results from the RC accelerometer: (a) 0.5″ cut, (b) 0.25″ cut, (c) 0.1″ cut, and (d) no-cut BARC systems.
Figure 8. Impact testing results from the RC accelerometer: (a) 0.5″ cut, (b) 0.25″ cut, (c) 0.1″ cut, and (d) no-cut BARC systems.
Applsci 15 01671 g008aApplsci 15 01671 g008b
Figure 9. Impact vibration testing comparing (a) X-direction, (b) Y-direction, and (c) Z-direction responses from different accelerometers for the 0.5″ cut BARC system.
Figure 9. Impact vibration testing comparing (a) X-direction, (b) Y-direction, and (c) Z-direction responses from different accelerometers for the 0.5″ cut BARC system.
Applsci 15 01671 g009
Figure 10. A comparison of impact results using (a) the side accelerometer and (b) the RC accelerometer.
Figure 10. A comparison of impact results using (a) the side accelerometer and (b) the RC accelerometer.
Applsci 15 01671 g010
Figure 11. Random vibration results from the Y-direction of the side accelerometer: (a) 0.5″ cut, (b) 0.25″ cut, (c) 0.1″ cut, and (d) no-cut BARC systems.
Figure 11. Random vibration results from the Y-direction of the side accelerometer: (a) 0.5″ cut, (b) 0.25″ cut, (c) 0.1″ cut, and (d) no-cut BARC systems.
Applsci 15 01671 g011aApplsci 15 01671 g011b
Figure 12. Random vibration results from the RC accelerometer in the Y-direction: (a) 0.5″ cut, (b) 0.25″ cut, (c) 0.1″ cut, and (d) no-cut BARC systems.
Figure 12. Random vibration results from the RC accelerometer in the Y-direction: (a) 0.5″ cut, (b) 0.25″ cut, (c) 0.1″ cut, and (d) no-cut BARC systems.
Applsci 15 01671 g012
Figure 13. Random vibration results using the RC accelerometer in the Z-direction: (a) 0.5″ cut, (b) 0.25″ cut, (c) 0.1″ cut, and (d) no-cut BARC systems.
Figure 13. Random vibration results using the RC accelerometer in the Z-direction: (a) 0.5″ cut, (b) 0.25″ cut, (c) 0.1″ cut, and (d) no-cut BARC systems.
Applsci 15 01671 g013
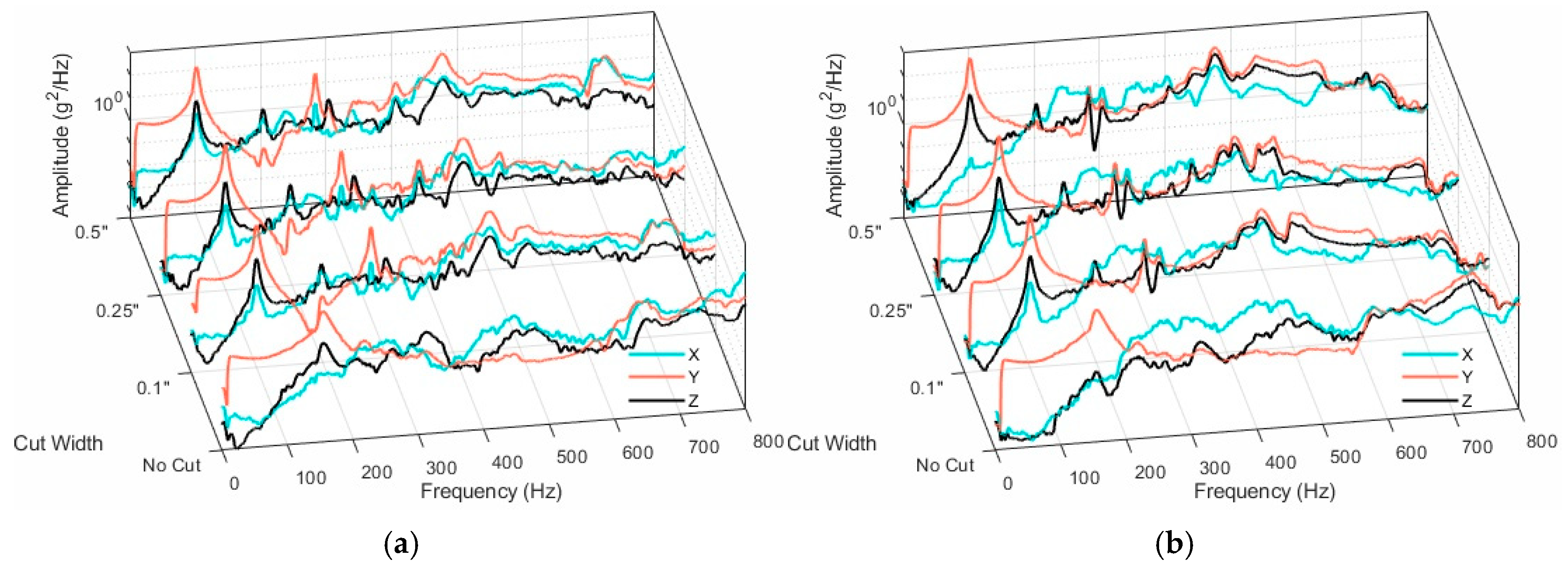
Figure 14. A 3-D comparison of all cut widths for the (a) side and (b) RC accelerometers using data from the 1 × 10−4 V2/Hz excitation.
Figure 14. A 3-D comparison of all cut widths for the (a) side and (b) RC accelerometers using data from the 1 × 10−4 V2/Hz excitation.
Applsci 15 01671 g014
Figure 15. A comparison of BARC central-cut width configurations using random vibration testing from the (a) side Y, (b) RC Y, and (c) RC Z accelerometers at 1 × 10−4 V2/Hz excitation.
Figure 15. A comparison of BARC central-cut width configurations using random vibration testing from the (a) side Y, (b) RC Y, and (c) RC Z accelerometers at 1 × 10−4 V2/Hz excitation.
Applsci 15 01671 g015
Figure 16. Harmonic vibration results from the Y-direction of the side accelerometer: (a) 0.5″ cut, (b) 0.25″ cut, (c) 0.1″ cut, and (d) no-cut BARC systems.
Figure 16. Harmonic vibration results from the Y-direction of the side accelerometer: (a) 0.5″ cut, (b) 0.25″ cut, (c) 0.1″ cut, and (d) no-cut BARC systems.
Applsci 15 01671 g016
Figure 17. A comparison of central-cut width configurations using the side accelerometer in the Y-direction for the 50 mV and 150 mV input excitation levels.
Figure 17. A comparison of central-cut width configurations using the side accelerometer in the Y-direction for the 50 mV and 150 mV input excitation levels.
Applsci 15 01671 g017
Figure 18. Harmonic vibration results from the RC Y-direction accelerometer from the (a) 0.5″ cut, (b) 0.25″ cut, (c) 0.1″ cut, and (d) no-cut BARC systems.
Figure 18. Harmonic vibration results from the RC Y-direction accelerometer from the (a) 0.5″ cut, (b) 0.25″ cut, (c) 0.1″ cut, and (d) no-cut BARC systems.
Applsci 15 01671 g018
Figure 19. A comparison of central-cut width configurations using the RC accelerometer in the Y-direction for the 50 mV and 150 mV input levels of excitation.
Figure 19. A comparison of central-cut width configurations using the RC accelerometer in the Y-direction for the 50 mV and 150 mV input levels of excitation.
Applsci 15 01671 g019
Figure 20. A comparison using the Y-direction data from the side and RC accelerometers and Z-direction data from the RC accelerometer using the (a) 50 mV and (b) 150 mV harmonic excitation data.
Figure 20. A comparison using the Y-direction data from the side and RC accelerometers and Z-direction data from the RC accelerometer using the (a) 50 mV and (b) 150 mV harmonic excitation data.
Applsci 15 01671 g020
Figure 21. Time histories found around resonance from harmonic testing for the 0.5″ cut configuration with 150 mV excitation for the (a) side accelerometer and (b) RC accelerometer in the Y-direction and (c) RC accelerometer in the Z-direction.
Figure 21. Time histories found around resonance from harmonic testing for the 0.5″ cut configuration with 150 mV excitation for the (a) side accelerometer and (b) RC accelerometer in the Y-direction and (c) RC accelerometer in the Z-direction.
Applsci 15 01671 g021
Figure 22. Q-Factor plot for the RC accelerometer in the Y-direction.
Figure 22. Q-Factor plot for the RC accelerometer in the Y-direction.
Applsci 15 01671 g022
Table 1. Mode shapes of BARC systems without accelerometers.
Table 1. Mode shapes of BARC systems without accelerometers.
Applsci 15 01671 i0010.5″ Cut0.25″ Cut0.1″ CutNo Cut
Mode 1Applsci 15 01671 i002Applsci 15 01671 i003Applsci 15 01671 i004Applsci 15 01671 i005
Mode 2Applsci 15 01671 i006Applsci 15 01671 i007Applsci 15 01671 i008Applsci 15 01671 i009
Mode 3Applsci 15 01671 i010Applsci 15 01671 i011Applsci 15 01671 i012Applsci 15 01671 i013
Mode 4Applsci 15 01671 i014Applsci 15 01671 i015Applsci 15 01671 i016Applsci 15 01671 i017
Mode 5Applsci 15 01671 i018Applsci 15 01671 i019Applsci 15 01671 i020Applsci 15 01671 i021
Mode 6Applsci 15 01671 i022Applsci 15 01671 i023Applsci 15 01671 i024Applsci 15 01671 i025
Table 2. Mode shapes of BARC systems in the presence of accelerometers.
Table 2. Mode shapes of BARC systems in the presence of accelerometers.
Applsci 15 01671 i0260.5″ Cut0.25″ Cut0.1″ CutNo Cut
Mode 1Applsci 15 01671 i027Applsci 15 01671 i028Applsci 15 01671 i029Applsci 15 01671 i030
Mode 2Applsci 15 01671 i031Applsci 15 01671 i032Applsci 15 01671 i033Applsci 15 01671 i034
Mode 3Applsci 15 01671 i035Applsci 15 01671 i036Applsci 15 01671 i037Applsci 15 01671 i038
Mode 4Applsci 15 01671 i039Applsci 15 01671 i040Applsci 15 01671 i041Applsci 15 01671 i042
Mode 5Applsci 15 01671 i043Applsci 15 01671 i044Applsci 15 01671 i045Applsci 15 01671 i046
Mode 6Applsci 15 01671 i047Applsci 15 01671 i048Applsci 15 01671 i049Applsci 15 01671 i050
Table 3. Natural frequencies of BARC systems without accelerometers and with accelerometers found through FEA. * Only computationally determined, no experimentation performed.
Table 3. Natural frequencies of BARC systems without accelerometers and with accelerometers found through FEA. * Only computationally determined, no experimentation performed.
0.5″ Cut* 0.375″ Cut0.25″ Cut* 0.125″ Cut0.1″ CutNo Cut
Accelw/ow/w/ow/w/ow/w/ow/w/ow/w/ow/
Mode 1109.31106.89108.58106.37107.94105.63107.20104.93106.97104.7168.94165.29
Mode 2297.51290.87295.69289.34293.97287.58292.06285.71291.54284.38444.69395.39
Mode 3348.08331.63342.44327.22337.04322.34331.35317.34330.0314.27670.77649.25
Mode 4387.36379.11379.19371.78371.34364.30363.58356.97361.91353.82749.49728.92
Mode 5500.98450.47498.27446.98495.72443.71493.36440.83492.70438.09865.83846.72
Mode 6525.11511.62516.03502.85507.03493.46497.57483.86495.45480.921103.01073.2
Avg. % decrease4.79%4.69%4.75%4.75%5.12%4.82%
Table 4. A comparison of dominant frequencies found using FEA and impact testing.
Table 4. A comparison of dominant frequencies found using FEA and impact testing.
0.5″ Cut0.25″ Cut0.1″ CutNo Cut
ImpactFEAImpactFEAImpactFEAImpactFEA
Mode 193.75106.8996.875105.6392.5104.7148.03165.29
Mode 2248.44290.87265.63287.58257.5284.38337.99395.39
Mode 3275.0331.63293.75322.34266.25314.27544.0649.25
Mode 4328.13379.11343.75364.3315.0353.89660.04728.92
Mode 5398.44450.47390.63443.72386.25438.09742.97846.72
Mode 6448.44511.62453.13493.46431.25480.92-1073.2
Table 5. Dominant peaks found from mode 1 and mode 2 of the side accelerometer through random vibration testing in the Y-direction.
Table 5. Dominant peaks found from mode 1 and mode 2 of the side accelerometer through random vibration testing in the Y-direction.
0.5″ Cut (Hz)0.25″ Cut (Hz)0.1″ Cut (Hz)No Cut (Hz)
Mode 1Mode 2Mode 1Mode 2Mode 1Mode 2Mode 1
1 × 10−7 V2/Hz106.25285.156101.562279.297101.172275.781155.078
1 × 10−6 V2/Hz104.297284.766101.172278.516101.562275.391149.609
1 × 10−5 V2/Hz103.125283.98499.609277.344101.172274.609148.047
1 × 10−4 V2/Hz101.562283.59498.828276.17299.609274.609153.516
% Change4.41%0.55%2.69%1.12%1.54%0.42%1.01%
Table 6. Dominant peaks found from mode 1 and mode 2 of the RC accelerometer through random vibration testing in the Z-direction.
Table 6. Dominant peaks found from mode 1 and mode 2 of the RC accelerometer through random vibration testing in the Z-direction.
0.5″ Cut (Hz)0.25″ Cut (Hz)0.1″ Cut (Hz)No Cut (Hz)
Mode 1Mode 2Mode 1Mode 2Mode 1Mode 2Mode 1
1 × 10−7 V2/Hz106.641284.766101.562278.906102.344275.781154.688
1 × 10−6 V2/Hz104.297284.375101.172278.125101.562275.391150.0
1 × 10−5 V2/Hz103.125283.59499.609276.953100.781274.219153.516
1 × 10−4 V2/Hz101.172281.64199.219275.0100.0273.828153.906
% Change5.13%1.10%2.31%1.40%2.29%0.71%0.51%
Table 7. Comparative study between FEA and random vibration testing using excitation of 1 × 10−7 V2/Hz.
Table 7. Comparative study between FEA and random vibration testing using excitation of 1 × 10−7 V2/Hz.
0.5″ Cut0.25″ Cut0.1″ CutNo Cut
RandomFEARandomFEARandomFEARandomFEA
Mode 1106.25106.89101.56105.63101.17106.89155.08165.29
Mode 2285.16290.87279.3287.58275.781290.87-395.39
Mode 3304.69331.63300.39322.34286.72331.63591.8649.25
Mode 4373.438379.11346.48364.3333.98379.11728.125728.92
Mode 5398.438450.47406.25443.72386.33450.47834.766846.72
Mode 6471.875511.62455.86493.46448.05511.62-1073.2
Table 8. Resonant frequencies found from mode 1 through harmonic vibration testing using the side accelerometer in the Y-direction.
Table 8. Resonant frequencies found from mode 1 through harmonic vibration testing using the side accelerometer in the Y-direction.
0.5″ Cut (Hz)0.25″ Cut (Hz)0.1″ Cut (Hz)No Cut (Hz)
50 mV102.7100.8100.8155.3
100 mV102.6100.5100.9156.4
125 mV102.5100.4101156.5
150 mV102.4100.2101.1156.6
% Change0.29%0.60%−0.30%−0.84%
Table 9. Dominant frequencies found from mode 1 through harmonic vibration testing using the RC accelerometer in the Y-direction.
Table 9. Dominant frequencies found from mode 1 through harmonic vibration testing using the RC accelerometer in the Y-direction.
0.5″ Cut (Hz)0.25″ Cut (Hz)0.1″ Cut (Hz)No Cut (Hz)
50 mV102.7100.8100.8155.2
100 mV102.6100.51011556.4
125 mV102.5100.4101156
150 mV102.4100.2100.8156.1
% Change0.29%0.60%0.00%−0.58%
Disclaimer/Publisher’s Note: The statements, opinions and data contained in all publications are solely those of the individual author(s) and contributor(s) and not of MDPI and/or the editor(s). MDPI and/or the editor(s) disclaim responsibility for any injury to people or property resulting from any ideas, methods, instructions or products referred to in the content.

Share and Cite

MDPI and ACS Style

Padilla, C.; Flores, A.; Madrid, J.; Granillo, E.; Abdelkefi, A. Insights on the Influence of the Central-Cut Width of the Box Assembly with Removable Component on Its Dynamical Responses. Appl. Sci. 2025, 15, 1671. https://doi.org/10.3390/app15031671

AMA Style

Padilla C, Flores A, Madrid J, Granillo E, Abdelkefi A. Insights on the Influence of the Central-Cut Width of the Box Assembly with Removable Component on Its Dynamical Responses. Applied Sciences. 2025; 15(3):1671. https://doi.org/10.3390/app15031671

Chicago/Turabian Style

Padilla, Christopher, Antonio Flores, Jonah Madrid, Ezekiel Granillo, and Abdessattar Abdelkefi. 2025. "Insights on the Influence of the Central-Cut Width of the Box Assembly with Removable Component on Its Dynamical Responses" Applied Sciences 15, no. 3: 1671. https://doi.org/10.3390/app15031671

APA Style

Padilla, C., Flores, A., Madrid, J., Granillo, E., & Abdelkefi, A. (2025). Insights on the Influence of the Central-Cut Width of the Box Assembly with Removable Component on Its Dynamical Responses. Applied Sciences, 15(3), 1671. https://doi.org/10.3390/app15031671

Note that from the first issue of 2016, this journal uses article numbers instead of page numbers. See further details here.

Article Metrics

Back to TopTop