Experimental Study on Dynamic Characteristics of Cemented Tailings Backfill Under Different Tailings Gradation
Abstract
1. Introduction
2. Materials and Methods
2.1. Experimental Materials
2.1.1. Tailings
2.1.2. Cementing Material
2.2. Sample Preparation
2.3. Experimental Methods
2.3.1. Dynamic Characteristics Test
2.3.2. Microstructure Characteristics Test
3. Results and Discussion
3.1. Deformation Characteristics of CTB
3.1.1. Post-Peak Characteristics of Stress–Strain Curve
3.1.2. Effect of TG on Stress–Strain Curve
3.2. Evolution of Peak Strength of CTB
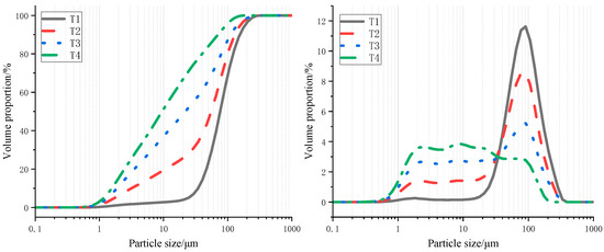
3.2.1. Determination of TG Characteristic Parameters
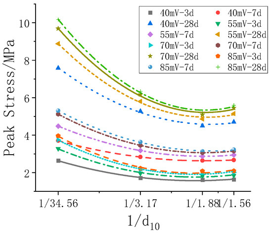
3.2.2. Effect of TG on Peak Strength
3.2.3. Effect of Curing Age and Impact Amplitude on Peak Strength
3.2.4. Peak Strength Prediction Model Based on TG
3.3. CTB Failure Mode
3.4. Microstructure Analysis
3.4.1. Hydration Mechanism of CTB
3.4.2. Effect of TG on Microstructure
4. Conclusions
- (1)
- The post-peak stages of dynamic stress–strain curves are divided into three types, namely, “stress drop” type, “post-peak plasticity” type, and “post-peak ductility” type.
- (2)
- There is a highly significant correlation between the CTB tailings gradation and the peak strength under dynamic load, when the characteristic parameter of tailings gradation is d10. With the increase in reciprocal characteristic parameters, the peak strength of the sample first decreases and then increases. The peak strength prediction model of the CTB is constructed based on the tailings gradation.
- (3)
- The change in tailings gradation leads to three failure modes of CTB: tensile failure, composite failure, and shear failure. As the tailing changes from T1 to T2 to T3 to T4, the failure mode of CTB gradually changes from composite failure and shear failure to tensile failure and composite failure. In the early stage of maintenance, tailings gradation has more significant influence on the failure mode of CTB.
- (4)
- The gradation of tailings significantly affects the pore structure and hydration products of the backfill body. The Aft of the backfill body of T1 and T2 is abundant, and the C-S-H gel forms a three-dimensional network covering the surface of the particles. The coarse particles constitute the framework, and the pores are large, while the fine particles adhere to the surface. When the tailings are T3, Aft decreases, and the C-S-H gel exists in the form of a network and flocculent together. Both coarse and fine particles jointly form the framework, and there are many pores with small diameters. When the tailings are T4, the C-S-H gel is mainly flocculent, and no obvious Aft is observed. The fine particles form the framework, and the coarse particles are isolated and do not contact each other.
Author Contributions
Funding
Institutional Review Board Statement
Informed Consent Statement
Data Availability Statement
Conflicts of Interest
References
- Liu, J.; Li, G.; Yang, S.; Huang, J. Prediction Models for Evaluating the Strength of Cemented Paste Backfill: A Comparative Study. Minerals 2020, 10, 1041. [Google Scholar] [CrossRef]
- Amin, S.; Abbas, T.; Murat, K. A New Yield Surface for Cemented Paste Backfill Based on the Modified Structured Cam-Clay. Minerals 2025, 15, 4. [Google Scholar]
- Xue, G.; Yilmaz, E.; Song, W.; Cao, S. Compressive Strength Characteristics of Cemented Tailings Backfill with Alkali-Activated Slag. Appl. Sci. 2018, 8, 1537. [Google Scholar] [CrossRef]
- Zhao, Y.; Yang, R.; Zuo, J.; Liu, Z.; Wang, W. Dynamic response characteristics of backfill under blasting disturbance simulated through a three-dimensional model. Constr. Build. Mater. 2024, 443, 137685. [Google Scholar] [CrossRef]
- Sun, Q.; Li, B.; Tian, S.; Cai, C.; Xia, Y. Creep properties of geopolymer cemented coal gangue-fly ash backfill under dynamic disturbance. Constr. Build. Mater. 2018, 191, 644–654. [Google Scholar] [CrossRef]
- Gan, D.; Sun, H.; Xue, Z.; Liu, Z.; Yang, X. Damage evolution and strength prediction model of soda residue modified cemented tailings backfill under uniaxial compression. Constr. Build. Mater. 2023, 408, 133709. [Google Scholar] [CrossRef]
- Francisco, C.S.; Li, M.; Li, B.; Deon, M.G. Study of Slope Stability of the Mining Wall in an Open-Pit Coal Mine by the Paste Cut-and-Backfill Method. Appl. Sci. 2024, 14, 6141. [Google Scholar] [CrossRef]
- Yao, Y.; Naggar, M.; Zhang, J.; Xu, J.; Yang, J.; Li, M. Dynamic mechanical properties of coal-based solid waste cemented backfill material. J. Build. Eng. 2024, 988, 111347. [Google Scholar] [CrossRef]
- Xu, Z.; Bao, S.; Guo, L. Experiment investigation on dynamic failure characteristics of water-saturated frozen cement mortar with transfixion joint under confining pressure. Appl. Sci. 2022, 12, 4396. [Google Scholar] [CrossRef]
- Liu, Z.; Gan, D.; Sun, H.; Xue, Z.; Zhang, Y. Dynamic impact performance of cemented tailings backfill in a water-bearing environment: Coupling effects and damage characteristics. Soil Dyn. Earthq. Eng. 2025, 191, 109249. [Google Scholar] [CrossRef]
- Zheng, D.; Song, W.; Cao, S.; Li, J. Dynamical mechanical properties and microstructure characteristics of cemented tailings backfill considering coupled strain rates and confining pressures effects. Constr. Build. Mater. 2022, 320, 126321. [Google Scholar] [CrossRef]
- Lyu, H.; Chen, Y.; Pu, H.; Ju, F.; Zhang, K.; Li, Q.; Wu, P. Dynamic properties and fragmentation mechanism of cemented tailings backfill with various particle size distributions of aggregates. Constr. Build. Mater. 2023, 366, 130084. [Google Scholar] [CrossRef]
- Xu, W.; Li, Q.; Liu, B. Coupled effect of curing temperature and age on compressive behavior, microstructure and ultrasonic properties of cemented tailings backfill. Constr. Build. Mater. 2020, 237, 117738. [Google Scholar] [CrossRef]
- Sari, M.; Erol, Y.; Tugrul, K. Long-term ageing characteristics of cemented paste backfill: Usability of sand as a partial substitute of hazardous tailings. J. Clean. Prod. 2023, 401, 136723. [Google Scholar] [CrossRef]
- Zhao, K.; Lai, Y.; He, Z.; Liu, W.; Zhao, R.; Wang, Y.; Tian, X.; Nie, J. Study on energy dissipation and acoustic emission characteristics of fiber tailings cemented backfill with different ash-sand ratios. Process Saf. Environ. Prot. 2023, 174, 983–996. [Google Scholar] [CrossRef]
- Tang, R.; Zhao, B.; Xin, J.; Sun, J.; Xu, B.; Tian, C.; Ning, J.; Li, L.; Shao, X.; Ren, W. Multisolid waste collaborative production of aeolian sand-red mud-fly ash cemented paste backfill. Case Stud. Constr. Mat. 2024, 20, e02843. [Google Scholar] [CrossRef]
- Jiang, G.; Wu, A.; Li, H.; Wang, Y.; Wang, H. Long-term strength performance of sulfur tailings filling and its affecting factors. J. Cent. South Univ. 2018, 49, 1504–1510. [Google Scholar]
- Guo, J.; Qiang, H.; Wang, X.; Huang, F.; Zhang, M.; Yan, H.; Zhang, X. Experimental study and application of factors affecting the strength of high sulfur tailings cemented backfill. J. Univ. Arch. Technol. 2019, 51, 859–864. [Google Scholar]
- Sun, X.; Zhao, L.; Xing, J.; Qiu, J.; Li, H. Preparation of Binding Materials for Backfilling with Alkali Activated Blast Furnace Slag and Fly Ash. Metal Mine 2016, 11, 189–192. [Google Scholar]
- Wang, Z.; Wu, A.; Wang, S.; Zhao, Y. From performance to mechanism: Analysis of controlling strength attenuation of high-sulfur lead-zinc tailings cemented paste backfill. Miner. Eng. 2025, 225, 109233. [Google Scholar] [CrossRef]
- Liu, S.; Gu, H.; Yang, K.; Guo, J.; Wu, K.; Guo, L.; Yang, Z.; Xu, L. Preparation activated tailings by pH swing process: Towards yielding cemented tailings backfill and in-situ CO2 mineralization. Cement Concrete Comp. 2024, 154, 105767. [Google Scholar] [CrossRef]
- Huang, J.; Wu, C.; Huang, N.; Deng, L.; Zhu, D. Utilization of waste rock from a low-carbon perspective: Mechanical performance analysis of waste rock-cemented tailings backfill. J. CO2 Util. 2025, 94, 103058. [Google Scholar] [CrossRef]
- Zhang, C.; Guo, J.; Song, W.; Abbas, T.; Wang, X.; Xia, W. Simulation of hydration reactions and microstructural characteristics of cemented tailings backfill under temperature effects. J. Build. Eng. 2025, 470, 140573. [Google Scholar] [CrossRef]
- Zou, S.; Gao, Y.; Zhou, Y.; Sun, H.; Yang, Z.; Yang, C.; Chai, J.; Qian, L. Mechanical properties of organic-inorganic hybrid fiber reinforced cemented tailings backfill considering energy evolution and damage fracture characteristics. J. Mater. Res. Technol. 2025, 35, 4614–4633. [Google Scholar] [CrossRef]
- GB/T 50145-2007; Standard for Engineering Classification of Soil. Available online: https://www.chinesestandard.net/PDF/English.aspx/GBT50145-2007 (accessed on 26 November 2025).
- GB/T 50081-2019; Standard for Test Methods of Concrete Physical and Mechanical Properties. Available online: https://www.chinesestandard.net/PDF.aspx/GBT50081-2019 (accessed on 26 November 2025).
- Xue, G.; Erol, Y.; Feng, G.; Cao, S.; Sun, L. Reinforcement effect of polypropylene fiber on dynamic properties of cemented tailings backfill under SHPB impact loading. Constr. Build. Mater. 2021, 279, 122417. [Google Scholar] [CrossRef]
- Cao, S.; Erol, Y.; Song, W. Dynamic response of cement-tailings matrix composites under SHPB compression load. Constr. Build. Mater. 2018, 186, 892–903. [Google Scholar] [CrossRef]
- Hou, Y.; Yin, S.; Yang, S.; Chen, X.; Du, H. Mechanical properties, damage evolution and energy dissipation of cemented tailings backfill under impact loading. J. Build. Eng. 2023, 66, 105912. [Google Scholar] [CrossRef]
- Yin, S.; Yan, Z.; Chen, X.; Yan, R.; Chen, D.; Chen, J.; Li, G. Active roof-contact: The future development of cemented paste backfill. Constr. Build. Mater. 2023, 370, 130657. [Google Scholar] [CrossRef]



















| Type | SiO2 | Al2O3 | K2O | Na2O | CaO | Fe2O3 | MgO | Other |
|---|---|---|---|---|---|---|---|---|
| Content/wt% | 71.64 | 15.2 | 4.65 | 3.44 | 2.38 | 1.2 | 0.5 | 0.99 |
| Control Variable | Independent Variable | Parameter | Peak Strength |
|---|---|---|---|
| Curing age Impact amplitude | C<19μm | Correlation | −0.743 |
| Significance (bilateral) | 0.000 | ||
| Degree of freedom | 44 | ||
| C19~37μm | Correlation | −0.799 | |
| Significance (bilateral) | 0.000 | ||
| Freedom degree | 44 | ||
| C37~74μm | Correlation | 0.734 | |
| Significance (bilateral) | 0.000 | ||
| Freedom degree | 44 | ||
| d10 | Correlation | 0.857 | |
| Significance (bilateral) | 0.000 | ||
| Freedom degree | 44 | ||
| d50 | Correlation | 0.744 | |
| Significance (bilateral) | 0.000 | ||
| Freedom degree | 44 | ||
| d90 | Correlation | 0.616 | |
| Significance (bilateral) | 0.000 | ||
| Freedom degree | 44 | ||
| D[4,3] | Correlation | 0.755 | |
| Significance (bilateral) | 0.000 | ||
| Freedom degree | 44 | ||
| Cu | Correlation | −0.652 | |
| Significance (bilateral) | 0.000 | ||
| Freedom degree | 44 | ||
| Cc | Correlation | −0.023 | |
| Significance (bilateral) | 0.880 | ||
| Freedom degree | 44 |
| C19~37μm | d10 | D[4,3] | ||
|---|---|---|---|---|
| C19~37μm | Correlation | 1.000 | −0.900 | −0.990 |
| Significance (bilateral) | - | 0.000 | 0.000 | |
| Freedom degree | 36 | 36 | 36 | |
| d10 | Correlation | −0.900 | 1.000 | 0.834 |
| Significance (bilateral) | 0.000 | - | 0.000 | |
| Freedom degree | 36 | 143 | 36 | |
| D[4,3] | Correlation | −0.990 | 0.834 | 1.000 |
| Significance (bilateral) | 0.000 | 0.000 | - | |
| Freedom degree | 36 | 36 | 143 |
| Impact Amplitude | Curing Age | Fitting Formula | R2 |
|---|---|---|---|
| 40 mV | 3 d | 0.989 | |
| 40 mV | 7 d | 0.999 | |
| 40 mV | 28 d | 0.992 | |
| 55 mV | 3 d | 0.984 | |
| 55 mV | 7 d | 0.999 | |
| 55 mV | 28 d | 0.994 | |
| 70 mV | 3 d | 0.983 | |
| 70 mV | 7 d | 0.999 | |
| 70 mV | 28 d | 0.995 | |
| 80 mV | 3 d | 0.983 | |
| 80 mV | 7 d | 0.998 | |
| 80 mV | 28 d | 0.996 |
Disclaimer/Publisher’s Note: The statements, opinions and data contained in all publications are solely those of the individual author(s) and contributor(s) and not of MDPI and/or the editor(s). MDPI and/or the editor(s) disclaim responsibility for any injury to people or property resulting from any ideas, methods, instructions or products referred to in the content. |
© 2025 by the authors. Licensee MDPI, Basel, Switzerland. This article is an open access article distributed under the terms and conditions of the Creative Commons Attribution (CC BY) license (https://creativecommons.org/licenses/by/4.0/).
Share and Cite
Gan, D.; Li, H.; Liu, Z. Experimental Study on Dynamic Characteristics of Cemented Tailings Backfill Under Different Tailings Gradation. Appl. Sci. 2025, 15, 12778. https://doi.org/10.3390/app152312778
Gan D, Li H, Liu Z. Experimental Study on Dynamic Characteristics of Cemented Tailings Backfill Under Different Tailings Gradation. Applied Sciences. 2025; 15(23):12778. https://doi.org/10.3390/app152312778
Chicago/Turabian StyleGan, Deqing, Hongbao Li, and Zhiyi Liu. 2025. "Experimental Study on Dynamic Characteristics of Cemented Tailings Backfill Under Different Tailings Gradation" Applied Sciences 15, no. 23: 12778. https://doi.org/10.3390/app152312778
APA StyleGan, D., Li, H., & Liu, Z. (2025). Experimental Study on Dynamic Characteristics of Cemented Tailings Backfill Under Different Tailings Gradation. Applied Sciences, 15(23), 12778. https://doi.org/10.3390/app152312778
