A Joint Speed–Slip Ratio Control Method for Rice Transplanters Based on Adaptive Student’s t-Kernel Maximum Correntropy Kalman Filter and Sliding Mode Control
Abstract
1. Introduction
2. Materials and Methods
2.1. Test Platform
2.2. Longitudinal Dynamic Model of the Rice Transplanter
2.3. Parameter Identification Method Based on ASMCKF
2.3.1. System Equations
- (1)
- Discrete state equation
- (2)
- Discrete observation equation
2.3.2. SMCKF
2.3.3. Adaptive Kernel Bandwidth Adjustment Method
2.4. Joint Speed–Slip Ratio Control Method Based on SMC
2.4.1. Speed Controller Based on SMC
2.4.2. Slip Ratio Controller Based on SMC
2.4.3. Control Switching Strategy
2.5. Experimental Design
2.5.1. Comparative Simulation Study of Parameter Identification Algorithms
2.5.2. Field Experiment of Joint Speed–Slip Ratio Control
3. Results and Discussion
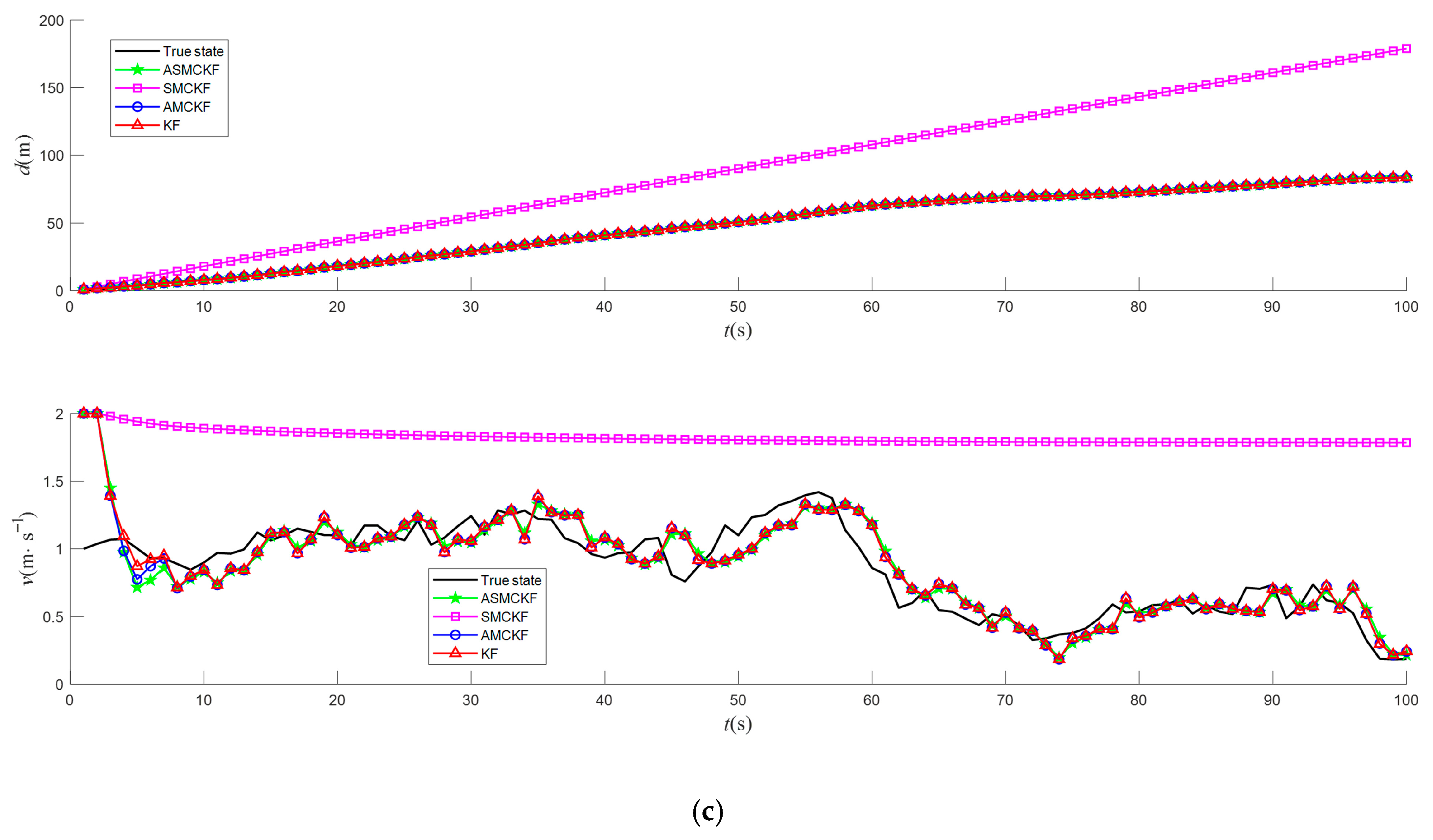
3.1. Results of the Simulation Study
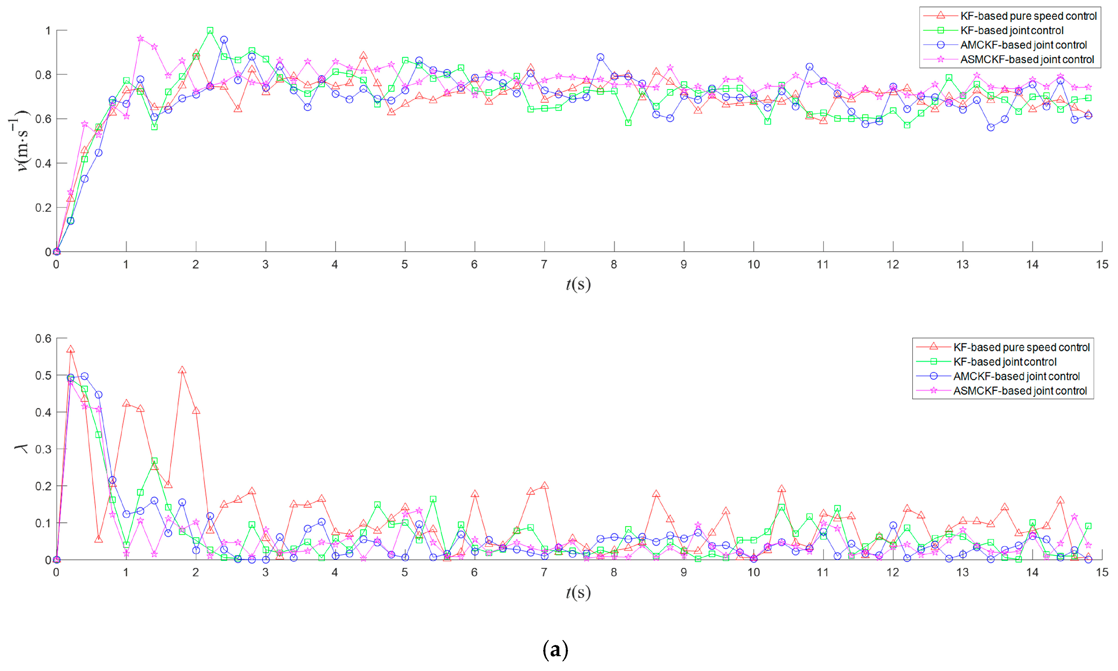
3.2. Results of the Field Experiment
4. Conclusions
- An adaptive Student t-kernel maximum correntropy Kalman filter is employed to identify the speed, wheel speed, traction force, and rolling resistance of the transplanter in real time, where an adaptive kernel bandwidth adjustment method is proposed, which optimizes the kernel bandwidth along the direction of increasing sensitivity of the cost function to state variations, to further improve identification accuracy. It can enhance the robustness of the control system against non-Gaussian heavy-tailed noise in paddy fields.
- A joint speed–slip ratio control method is designed based on SMC, incorporating independent controllers for speed and slip ratio, as well as a control switching strategy between speed control and slip ratio control.
- Simulation results demonstrate that the proposed ASMCKF achieves higher identification accuracy than conventional methods and exhibits stronger robustness when facing non-Gaussian heavy-tailed noise.
- Field experiment results show that the proposed joint speed–slip ratio control method based on ASMCKF and SMC can effectively stabilize the transplanter’s speed while significantly reducing the driving wheel slip ratio and improving slip ratio stability. This advancement directly enhances planting uniformity, which can improve the precision and quality of rice transplanting.
Author Contributions
Funding
Institutional Review Board Statement
Informed Consent Statement
Data Availability Statement
Conflicts of Interest
References
- Yang, H.C.; Xia, K.; Chen, J.; Miao, S.J.; Qiao, Y.F. Impacts of plant spacing configuration on canopy photosynthetic characteristics and yield of rice. Jiangsu Agric. Sci. 2023, 51, 93–98. (In Chinese) [Google Scholar] [CrossRef]
- Yu, G.L.; Liu, X.C.; Zhang, Q.; Feng, D.Q.; Zhao, H.Y.; Li, P.; Gu, M.X. Effects of different plant-to-plant spacing on growth and yield of pot seedling rice. Hybrid Rice 2021, 36, 48–53. (In Chinese) [Google Scholar] [CrossRef]
- Chen, Z.; Liu, J.C.; Zhou, J.D. Field measurement of slip rate of paddy field plant protection machine. J. Hubei Univ. Technol. 2021, 36, 23–25+64. Available online: http://hubeigydxxb.paperonce.org/#/digest?ArticleID=1767 (accessed on 5 July 2024). (In Chinese).
- Guo, N.; Hu, J.T. Variable universe adaptive fuzzy-PID control of traveling speed for rice transplanter. Trans. Chin. Soc. Agric. Mach. 2013, 44, 245–251. (In Chinese) [Google Scholar] [CrossRef]
- He, J.; Zhu, J.; Zhang, Z.; Luo, X.; Gao, Y.; Hu, L. Design and experiment of automatic operation system for rice transplanter. Trans. Chin. Soc. Agric. Mach. 2019, 50, 17–24. (In Chinese) [Google Scholar] [CrossRef]
- Kim, P.S.; Kim, S.Y. An automatic vehicle speed control system with consideration of various uncertainties. In Proceedings of the 2023 International Conference on Artificial Intelligence in Information and Communication (ICAIIC), Bali, Indonesia, 20–23 February 2023; pp. 799–802. [Google Scholar] [CrossRef]
- Horikoshi, K.; Yoshimoto, K.; Yokoyama, T. A novel maximum adhesive force control without vehicle speed sensor. In Proceedings of the 2022 International Power Electronics Conference (IPEC-Himeji 2022-ECCE Asia), Himeji, Japan, 15–19 May 2022; pp. 1873–1877. [Google Scholar] [CrossRef]
- Leng, B.; Xiong, L.; Yu, Z.; Sun, K.; Liu, M. Robust variable structure anti-slip control method of a distributed drive electric vehicle. IEEE Access 2020, 8, 162196–162208. [Google Scholar] [CrossRef]
- Fu, X.; Tang, M.; Sun, L. Adaptive torque control in-wheel-motor driven vehicles based on pavement impact factors. J. Automot. Eng. 2024, 14, 33–48. Available online: http://tougao.ijournals.cn/ch/mobile/m_view_abstract.aspx?file_no=20240104&flag=1 (accessed on 12 April 2025). (In Chinese).
- Liu, S.; Zhang, L.; Zhang, J.; Liu, X.; Wang, J. Traction Control for Electric Vehicles with Dual-Mode Coupling Drive System on Split Ramps. IEEE Trans. Transp. Electrif. 2024, 10, 2632–2642. [Google Scholar] [CrossRef]
- Wang, H.; Hu, Y.; Pi, D.; Wang, J.; Wang, W.; Yan, Y. Research on Longitudinal–Vertical Coordinated Recovery Drive Control for Corner-Modular Distributed Drive Vehicles. IEEE Trans. Transp. Electrif. 2025, 11, 7979–7990. [Google Scholar] [CrossRef]
- Heubaum, M.; Münch, P.; Costantini, G.; Peschke, T.; Görges, D. Slip detection and control for harvesting machines. IFAC-PapersOnLine 2022, 55, 18–23. [Google Scholar] [CrossRef]
- Osinenko, P.V.; Geissler, M.; Herlitzius, T. A method of optimal traction control for farm tractors with feedback of drive torque. Biosyst. Eng. 2015, 129, 20–33. [Google Scholar] [CrossRef]
- Zhang, S.; Wu, Z.B.; Chen, J.; Li, Z.; Zhu, Z.X.; Song, Z.H.; Mao, E.R. Control method of driving wheel slip ratio of high-power tractor for ploughing operation. Trans. Chin. Soc. Agric. Eng. 2020, 36, 47–55. (In Chinese) [Google Scholar] [CrossRef]
- Wang, Q.; Wang, X.D.; Wang, W.; Song, Y.L.; Cui, Y.J. Joint control method based on speed and slip rate switching in plowing operation of wheeled electric tractor equipped with sliding battery pack. Comput. Electron. Agric. 2023, 215, 108426. [Google Scholar] [CrossRef]
- Zhang, S.L.; Xie, B.; Wen, C.K.; Zhao, Y.R.; Du, Y.F.; Zhu, Z.X.; Song, Z.H.; Li, L.M. Intelligent ballast control system with active load-transfer for electric tractors. Biosyst. Eng. 2022, 215, 143–155. [Google Scholar] [CrossRef]
- Moro, S.; Uchida, H.; Kato, K. Evaluation of the work performance of a paddy field weeding robot using disturbance observer. In Robotics in Natural Settings; Cascalho, J.M., Tokhi, M.O., Silva, M.F., Mendes, A., Goher, K., Funk, M., Eds.; Springer: Cham, Switzerland, 2023; Volume 530, pp. 313–324. [Google Scholar] [CrossRef]
- Li, Y.M.; Wu, T.; Xiao, Y.F.; Gong, L.; Liu, C.L. Path planning in continuous adjacent farmlands and robust path tracking control of a rice-seeding robot in paddy field. Comput. Electron. Agric. 2023, 210, 107900. [Google Scholar] [CrossRef]
- Zhao, R.M.; Hu, L.; Luo, X.; Zhang, W.Y.; Chen, G.L.; Huang, H.; Lai, S.Y.; Liu, H.L. Method for estimating vertical kinematic states of working implements based on laser receivers and accelerometers. Biosyst. Eng. 2021, 203, 9–21. [Google Scholar] [CrossRef]
- Alshawi, A.; De Pinto, S.; Stano, P.; van Aalst, S.; Praet, K.; Boulay, E.; Ivone, D.; Gruber, P.; Sorniotti, A. An adaptive unscented Kalman filter for the estimation of the vehicle velocity components, slip angles, and slip ratios in extreme driving manoeuvres. Sensors 2024, 24, 436. [Google Scholar] [CrossRef]
- Haghparast, B.; Salarieh, H.; Pishkenari, H.N.; Abdollahi, T.; Jokar, M.; Ghanipoor, F. A cubature Kalman filter for parameter identification and output-feedback attitude control of liquid-propellant satellites considering fuel sloshing effects. Aerosp. Sci. Technol. 2024, 144, 108813. [Google Scholar] [CrossRef]
- Van, H.T.; Ngoc, D.N.; Trung, D.P.; Duy, P.N. Application of the Unscented Kalman Filter for Tracking a Maneuvering Tank Modeled with a Second-Order Gauss-Markov Process: A Comparative Analysis with the Extended Kalman Filter. J. Aerosp. Technol. Manag. 2025, 17, e0625. [Google Scholar] [CrossRef]
- Izanloo, R.; Fakoorian, S.A.; Yazdi, H.S.; Simon, D. Kalman Filtering Based on the Maximum Correntropy Criterion in the Presence of Non-Gaussian Noise. In Proceedings of the 2016 Annual Conference on Information Science and Systems (CISS), Princeton, NJ, USA, 16–18 March 2016; pp. 500–505. [Google Scholar] [CrossRef]
- Liu, W.; Pokharel, P.P.; Principe, J.C. Correntropy: Properties and Applications in Non-Gaussian Signal Processing. IEEE Trans. Signal Process. 2007, 55, 5286–5298. [Google Scholar] [CrossRef]
- Santamaría, I.; Pokharel, P.P.; Principe, J.C. Generalized Correlation Function: Definition, Properties, and Application to Blind Equalization. IEEE Trans. Signal Process. 2006, 54, 2187–2197. [Google Scholar] [CrossRef]
- Fakoorian, S.; Santamaria-Navarro, A.; Lopez, B.T.; Simon, D.; Aghamohammadi, A.A. Towards Robust State Estimation by Boosting the Maximum Correntropy Criterion Kalman Filter with Adaptive Behaviors. IEEE Robot. Autom. Lett. 2021, 6, 5469–5476. [Google Scholar] [CrossRef]
- Huang, W.; Shan, H.; Xu, J.; Yao, X. Robust Variable Kernel Width for Maximum Correntropy Criterion Algorithm. Signal Process. 2021, 182, 107948. [Google Scholar] [CrossRef]
- Chen, W.Q.; Li, Z.K.; Chen, Z.B.; Sun, Y.W.; Liu, Y.L. Multiple similarity measure-based maximum correntropy criterion Kalman filter with adaptive kernel width for GPS/INS integration navigation. Measurement 2023, 222, 113666. [Google Scholar] [CrossRef]
- Jwo, D.J.; Chen, Y.L.; Cho, T.S.; Biswal, A. A robust GPS navigation filter based on maximum correntropy criterion with adaptive kernel bandwidth. Sensors 2023, 23, 9386. [Google Scholar] [CrossRef]
- Wang, W.H.; Zhao, J.H.; Qu, H.; Chen, B.D. An adaptive kernel width update method of correntropy for channel estimation. Proceedings of 2015 IEEE International Conference on Digital Signal Processing (DSP), Singapore, 21–24 July 2015; pp. 916–920. [Google Scholar] [CrossRef]
- Wang, G.Q.; Zhang, D.S.; Zhu, Z.L.; Yang, C.Y.; Ma, L. Student’s t kernel maximum correntropy Kalman filter and its kernel bandwidth adaptive selection method. Control Decis. 2024, 40, 1541–1550. [Google Scholar] [CrossRef]
- Guidelines for Mechanized Rice Production Technology. Ministry of Agriculture and Rural Affairs of the People’s Republic of China: Beijing, China. 2017. Available online: https://njhs.moa.gov.cn/qcjxhtjxd/201711/t20171102_6297015.htm (accessed on 2 November 2017). (In Chinese)









| Algorithm | Mean Squared Error of | Mean Squared Error of | |
|---|---|---|---|
| 100 | KF | 0.1021 | 0.1194 |
| AMCKF | 0.0973 | 0.1168 | |
| SMCKF | 54,303.7571 | 1.4358 | |
| ASMCKF | 0.0963 | 0.1151 | |
| 150 | KF | 0.1124 | 0.1342 |
| AMCKF | 0.0965 | 0.1259 | |
| SMCKF | 48,366.1904 | 1.3607 | |
| ASMCKF | 0.0905 | 0.1204 | |
| 200 | KF | 0.1689 | 0.1209 |
| AMCKF | 0.1476 | 0.1117 | |
| SMCKF | 69,544.9518 | 1.3261 | |
| ASMCKF | 0.1319 | 0.1053 |
| Control Method | Mean Absolute Error of | Mean of | Standard Deviation of | Proportion of within the Threshold Range (%) | |
|---|---|---|---|---|---|
| 0.7 | KF-based pure speed control | 0.065 | 0.112 | 0.068 | 85.33 |
| KF-based joint control | 0.024 | 0.068 | 0.039 | 76.67 | |
| AMCKF-based joint control | 0.013 | 0.062 | 0.034 | 77.07 | |
| ASMCKF-based joint control | 0.007 | 0.058 | 0.028 | 81.60 | |
| 1.0 | KF-based pure speed control | 0.071 | 0.125 | 0.080 | 82.67 |
| KF-based joint control | 0.028 | 0.081 | 0.042 | 76.53 | |
| AMCKF-based joint control | 0.021 | 0.070 | 0.036 | 77.87 | |
| ASMCKF-based joint control | 0.009 | 0.062 | 0.031 | 78.13 | |
| 1.3 | KF-based pure speed control | 0.083 | 0.136 | 0.105 | 82.40 |
| KF-based joint control | 0.037 | 0.082 | 0.045 | 80.27 | |
| AMCKF-based joint control | 0.025 | 0.073 | 0.039 | 78.80 | |
| ASMCKF-based joint control | 0.013 | 0.064 | 0.034 | 76.80 |
Disclaimer/Publisher’s Note: The statements, opinions and data contained in all publications are solely those of the individual author(s) and contributor(s) and not of MDPI and/or the editor(s). MDPI and/or the editor(s) disclaim responsibility for any injury to people or property resulting from any ideas, methods, instructions or products referred to in the content. |
© 2025 by the authors. Licensee MDPI, Basel, Switzerland. This article is an open access article distributed under the terms and conditions of the Creative Commons Attribution (CC BY) license (https://creativecommons.org/licenses/by/4.0/).
Share and Cite
Ma, Y.; Zhang, B.; Li, Z.; Wu, M.; Shen, T.; Chi, R. A Joint Speed–Slip Ratio Control Method for Rice Transplanters Based on Adaptive Student’s t-Kernel Maximum Correntropy Kalman Filter and Sliding Mode Control. Appl. Sci. 2025, 15, 12608. https://doi.org/10.3390/app152312608
Ma Y, Zhang B, Li Z, Wu M, Shen T, Chi R. A Joint Speed–Slip Ratio Control Method for Rice Transplanters Based on Adaptive Student’s t-Kernel Maximum Correntropy Kalman Filter and Sliding Mode Control. Applied Sciences. 2025; 15(23):12608. https://doi.org/10.3390/app152312608
Chicago/Turabian StyleMa, Yueqi, Bochuan Zhang, Zhimin Li, Mulin Wu, Tong Shen, and Ruijuan Chi. 2025. "A Joint Speed–Slip Ratio Control Method for Rice Transplanters Based on Adaptive Student’s t-Kernel Maximum Correntropy Kalman Filter and Sliding Mode Control" Applied Sciences 15, no. 23: 12608. https://doi.org/10.3390/app152312608
APA StyleMa, Y., Zhang, B., Li, Z., Wu, M., Shen, T., & Chi, R. (2025). A Joint Speed–Slip Ratio Control Method for Rice Transplanters Based on Adaptive Student’s t-Kernel Maximum Correntropy Kalman Filter and Sliding Mode Control. Applied Sciences, 15(23), 12608. https://doi.org/10.3390/app152312608
