Next Article in Journal
Fostering Teachers’ Digital Competence in AI-Supported Learning Environments: Implications for Interactive Teaching and Student Achievement
Previous Article in Journal
Effect of Different Biostimulant Application Forms on Some Geometrical and Mechanical Properties of Soybean Seeds
 
 
Font Type:
Arial Georgia Verdana
Font Size:
Aa Aa Aa
Line Spacing:
Column Width:
Background:
Article

Stress–Strain–Strength Behavior of Hydraulic Asphalt Concrete at Different Bitumen Grades

1
PowerChina Chengdu Engineering Corporation Limited, Chengdu 610072, China
2
College of Water Resources and Civil Engineering, Xinjiang Agricultural University, Urumqi 830052, China
3
Technical Research Center of Xinjiang Hydro-Geotechnical and Structural Engineering, Urumqi 830052, China
*
Author to whom correspondence should be addressed.
Appl. Sci. 2025, 15(23), 12596; https://doi.org/10.3390/app152312596
Submission received: 26 October 2025 / Revised: 20 November 2025 / Accepted: 24 November 2025 / Published: 27 November 2025
(This article belongs to the Section Civil Engineering)

Abstract

The stress–strain–strength behavior of hydraulic asphalt concrete is critical to the safety of the high asphalt concrete core. To study the effect of bitumen grade on the stress–strain–strength behavior of hydraulic asphalt concrete, uniaxial compression tests, direct tension tests, bending tests, and triaxial compression tests were conducted. The variation patterns of mechanical performance indicators and stress–strain curves of hydraulic asphalt concrete with bitumen grades A70, A90, and A110 were analyzed. The elastic modulus expression of asphalt concrete based on nonlinear failure criteria were proposed. Considering potential issues associated with asphalt concrete core, the selection of bitumen grades was discussed. The results indicate that increasing the bitumen grade enhances the tensile, compressive, bending, and shear deformation properties of hydraulic asphalt concrete, and makes it exhibit more pronounced ductile behavior. However, the strength and modulus decrease. The use of higher-grade bitumen reduces the dilatancy of hydraulic asphalt concrete. As the bitumen grade increases, the nonlinear property of the shear strength of hydraulic asphalt concrete becomes more significant. An elastic modulus expression based on nonlinear failure criterion accurately describes the deviatoric stress–axial strain relationship for hydraulic asphalt concrete of different bitumen grades. When the strength of hydraulic asphalt concrete meets these requirements, it is advisable to select higher-grade bitumen to enhance the safety of the core.

1. Introduction

Hydraulic asphalt concrete, with its excellent impermeability and deformation properties, is widely used as the impermeable core in embankment dams [1,2,3,4,5]. This dam type is referred to as an asphalt core embankment dam (ACED). By 2010, 120 ACEDs had been constructed, and by 2020, the number had reached approximately 250 [6]. Currently, ACEDs are becoming more advanced in terms of their construction; high dams are built under adverse geological conditions, such as deep overburden. The asphalt concrete core is the important impermeable structure of an ACED. The stress–strain–strength behavior of asphalt concrete is critical to the safety of the core and is determined by the asphalt concrete mix proportions. Asphalt concrete is formed by mixing coarse aggregate, fine aggregate, filler, and bitumen in specific proportions, with bitumen being a key raw material. Investigating the influence of bitumen grades on the stress–strain–strength behavior of asphalt concrete is crucial for designing reliable asphalt concrete.
The bitumen grade reflects the degree of softness and viscosity of the bitumen, which is an important factor affecting its performance. A higher bitumen grade corresponds to lower strength, equivalent modulus and viscosity, while its ductility increases. Through comparative studies with 70# bitumen, Tong et al. [7,8] found that 30# hard-bitumen exhibits superior high-temperature deformation resistance and excellent water stability. Song et al. [9] systematically evaluated the high-temperature rheological performance of 30#, 50#, and 70# asphalts under various conditions. The results demonstrate that 30# low-grade hard asphalt exhibits significantly greater resistance to permanent deformation under high-temperature conditions compared with 50# and 70# asphalts, as primarily evidenced by high-temperature rutting tests. As an essential raw material for asphalt concrete, the grade of asphalt significantly influences the mechanical properties of the concrete. Qasrawi and Asix [10] found that asphalt mixtures prepared with low-grade asphalt exhibit higher rebound modulus and skid resistance, but their water stability decreases. Hafeez et al. [11] investigated the effects of aggregate gradation fineness, filler type, and bitumen grade on the fatigue performance of asphalt mixtures. Asphalt mixtures prepared with higher-grade bitumen and fine-graded aggregates exhibited greater fatigue life than those made with lower-grade asphalt and coarse-graded aggregates. Junaid et al. [12] found that asphalt mixtures prepared with low-grade asphalt exhibited significantly improved rutting resistance compared to those made with high-grade asphalt. Zhong et al. [13] investigated the bending performance of asphalt concrete using grades ranging from 50# to 160#. They concluded that when bending strength requirements are met, higher-grade bitumen should be prioritized.
The width of the core from the dam crest to the bottom typically ranges between 0.5 and 1.2 m. The core can be regarded as a thin slab constrained by transition material on both sides and by the valley bedrock. The optimal performance of asphalt concrete used in asphalt concrete cores depends on load and environmental conditions. For example, cores in seismic zones or on compressible foundations require higher adaptability to deformation [14], while cores for high or ultra-high dams require higher compressive, shear, and tensile strength [15,16,17]. Moreover, the upstream surfaces of the cores are subjected to water pressure. Whether hydraulic fracturing occurs in the cores is critical to their safety. In general, asphalt concrete has an extremely low porosity (design requirement less than 3%), and hydraulic fracturing will not occur in the cores [18]. However, under conditions such as intense seismic vibrations, significant differential settlement during construction and operation, or poor construction quality, the cores may undergo excessive deformation. This results in cracks appearing on the asphalt core surfaces or the formation of large voids within the cores, and thus the cores may undergo hydraulic fracturing under water pressure [19]. Enhancing the adaptable deformation capacity of the cores can reduce or prevent the occurrence of surface cracks or excessive internal porosity, thereby eliminating the risk of hydraulic fracturing. Therefore, to ensure the safety of the impervious core, the strength and deformation properties of the asphalt concrete are the focus of research. Feng et al. [20] investigated the stress–strain–strength characteristics of asphalt concrete through triaxial compression tests and triaxial creep tests conducted at different temperatures and strain rates. The results indicated that under high temperatures or extremely low strain rates, the shear strength of asphalt concrete was very low. Only after a certain amount of deformation occurred did the aggregate form a dense skeleton, leading to an increase in shear strength. Ning et al. [21] conducted detailed analyses of the deformation field within asphalt concrete using triaxial compression tests at 5 °C and 20 °C, combined with computed tomography (CT) scanning and digital volume correlation (DVC) techniques. These studies confirmed the volumetric deformation characteristics of asphalt concrete during shear deformation, specifically exhibiting shear contraction followed by shear expansion. Zhang et al. [22] investigated the influence of shear testing methods on the shear stress–strain–strength characteristics of asphalt concrete through triaxial shear tests, inclined plane shear tests, modified inclined plane shear tests, and direct shear tests. Ning et al. [23,24,25] investigated the compressive and tensile properties of asphalt concrete under varying temperature and strain rate conditions, proposing empirical equations relating tensile and compressive performance indices to temperature and strain rate. Zhang et al. [26] supplemented Ning’s research findings [23,24,25], proposing a simplified method that can be used to determine stress–strain–strength parameters for asphalt concrete. Dong et al. [27] adopted the discrete element method (DEM) method to investigate the effects of temperature and strain rate on the damage pattern, crack evolution, and particle displacement development of recycled aggregate hydraulic asphalt concrete during tensile deformation. He et al. [28] investigated the effect of temperature on the bending properties of asphalt concrete with a maximum aggregate size of 31.5 mm through a series of bending tests.
Previous studies on how bitumen grade affects asphalt concrete performance have primarily focused on highway pavements. Research on the influence of bitumen grade on the strength and deformation properties of asphalt concrete used in the core remains limited. Furthermore, the selection of bitumen grade for asphalt concrete core warrants further investigation. Based on this, hydraulic asphalt concrete is prepared using bitumen grades A70, A90, and A110. At specific temperatures, uniaxial compression, direct tension, bending, and triaxial compression tests are conducted to determine the mechanical properties and stress–strain curves of asphalt concrete with different bitumen grades. The influence of bitumen grade on the stress–strain–strength behavior of asphalt concrete is analyzed. Finally, the selection of bitumen grades for asphalt concrete is discussed in relation to various situations encountered by the core.

2. Materials and Methods

2.1. Materials

The aggregates used in this study were sourced from an alkaline aggregate field at an asphalt concrete core project in Tibet, China. The coarse aggregate, fine aggregate, and filler were obtained by crushing and screening the aggregate. The properties of the coarse aggregate, fine aggregate, and filler, are listed in Table 1. The bitumen used in this study were Karamay A70, A90, and A110, produced by Karamay, Xinjiang, China. The basic properties of this bitumen are shown in Table 2. The aggregate gradation and bitumen content used in this study were taken from the design mix of the asphalt concrete core of an existing ACED project. To study the effect of bitumen grade, the aggregate gradation and bitumen content were kept constant, while only the bitumen grade (A70, A90, A110) was varied. The mix proportions of asphalt concrete used in this study are listed in Table 3.

2.2. Methods

2.2.1. Direct Tension Test

Direct tension tests were conducted to obtain the tensile strength and corresponding tensile strain, tensile modulus, and tensile stress–strain curves for asphalt concrete of different bitumen grades. The asphalt mixture was poured into the mold and was compacted using the tamping method to prepare prismatic specimens with length, width, and height of 300 mm, 300 mm, and 40 mm, respectively. After the specimen has cooled, they were machined using a cutting machine into specimens of 220 mm × 40 mm × 40 mm (length × height × width). A universal testing machine with temperature control was used for tension testing. Both ends of each specimen were attached to a device with one flat end and the other equipped with hooks. At the start of the test, the hooks at both ends of the device were connected to the fixed fixture at the bottom of the universal testing machine and to the displacement-controlled device at the top, respectively. The test loading rate was set to 2.2 mm/min. The tensile strain corresponding to the tensile strength was defined as the axial strain at the point of maximum stress in the stress–strain curve. The test was stopped when the load showed a sustained decrease.

2.2.2. Uniaxial Compression Test

Uniaxial compression tests were conducted to determine the compression strength and corresponding compression strain, compression modulus, and compression stress–strain curves for asphalt concrete of different bitumen grades. A cylindrical specimen with a diameter of 100 mm and a height of 100 mm was prepared using the compaction method. The universal testing machine was used to apply a fixed displacement rate along the height of the specimen at 1 mm/min. The compressive strain corresponding to the compressive strength was defined as the axial strain at the point of maximum stress in the stress–strain curve. The test was stopped when the load showed a sustained decrease.

2.2.3. Bending Test

Bending tests were conducted to determine the bending strength and corresponding bending strain, bending modulus, and bending stress–strain curves for asphalt concrete of different bitumen grades. The specimen preparation method for the bending test was essentially the same as that for the direct tension test. First, prismatic specimens of identical dimensions were prepared. Then, the prismatic specimens were cut into test specimens with length × height × width dimensions of 250 mm × 40 mm × 35 mm. The universal testing machine was used to apply a fixed displacement rate of 1.67 mm/min along the height direction at the midpoint of the specimen. The bending strain corresponding to the bending strength was defined as the axial strain at the point of maximum stress in the stress–strain curve. The test was stopped when the load showed a sustained decrease.

2.2.4. Triaxial Compression Test

The shear strength, shear deformation properties, and dilatancy of asphalt concrete with different bitumen grades were investigated through triaxial compression tests. Specimens for triaxial compression tests of asphalt concrete were prepared by the compaction method. Specimen dimensions were ϕ150 mm × 300 mm. The test loading rate was set at 0.3 mm/min. The test confining pressures were set at 300, 600, 900, 1200, 1500, 2000, 2500, and 3000 kPa. The testing equipment utilized a large-scale multifunctional dynamic and static triaxial testing machine, jointly developed by Xinjiang Agricultural University (Urumqi, Xinjiang, China) and Xi’an Langjie Testing Equipment Corporation Limited (Xi’an, Shaanxi, China). This testing equipment had a maximum axial static load capacity of 2000 kN, a maximum confining pressure of 5 MPa, and an axial displacement range of 400 mm. During the test, the pressure chamber was wrapped with copper pipes, and the temperature was controlled using circulating water within the copper pipes. The temperature deviation was ±0.5 °C. Data were collected every 60 s during the test. The test was stopped when the axial strain of the specimen reached 20% [29].
Direct tension tests, uniaxial compression tests, bending tests, and triaxial compression tests were conducted according to the test code [29]. The test temperature was set to 8.6 °C, representing the multi-year average temperature of the region where a specific ACED was located. Prior to testing, the specimen was placed in a constant-temperature chamber maintained at the same temperature for 12 h. The load applied to the specimen during the test and its corresponding displacement were recorded by the data acquisition system. For each bitumen grade, three replicate tests were conducted on the asphalt concrete in direct tension tests, uniaxial compression tests, and bending tests. In triaxial compression testing, asphalt concrete of each bitumen grade underwent two duplicate tests at each confining pressure level. The corresponding average values of the test results were taken for each performance indicator.
Figure 1 shows the universal testing machine used for the direct tension tests, uniaxial compression tests, and bending tests, as well as the equipment used for the triaxial compression tests. Table 4 presents the detailed test scheme in this study.

3. Results and Analysis

3.1. Analysis of Direct Tension Test Results

The tensile modulus, tensile strength, and corresponding tensile strain of asphalt concrete specimens, are shown in Figure 2a. The bitumen grade increased from A70 to A110, resulting in changes in the tensile modulus, tensile strength, and corresponding tensile strain of the asphalt concrete specimens. These values shifted from 73.7 MPa, 0.88 MPa, and 1.91% to 39.7 MPa, 0.41 MPa, and 2.39%, respectively. Specifically, tensile strength and tensile modulus decreased by 53.4% and 46.1%, respectively, while tensile strain increased by 25.1%. The stress–strain curve of the specimen under tensile loading is shown in Figure 2b. As tensile strain increased, the tensile stress of asphalt concrete specimens with different bitumen grades initially exhibited a linear variation. Subsequently, the gradient of tensile stress change gradually diminished, resulting in nonlinear tensile stress behavior. The bitumen grade significantly influences the post-peak behavior of the tensile stress–strain curve in specimens. As the bitumen grade increased, the tensile stress–strain curve gradually transitioned from strain-softening to strain-hardening, exhibiting more obvious ductility behavior. The test results indicate that under tension loading condition, increasing the bitumen grade enhances the tensile deformation properties and ductile behavior of asphalt concrete, but reduces its tensile strength and modulus.

3.2. Analysis of Uniaxial Compression Test Results

The results for the compressive modulus, compressive strength, and corresponding compressive strain of asphalt concrete specimens, are shown in Figure 3a. As the bitumen grade increased from A70 to A110, the compressive modulus, compressive strength, and corresponding compressive strain of asphalt concrete specimens shifted from 146.6 MPa, 3.28 MPa, and 5.79% to 68.9 MPa, 2.20 MPa, and 7.06%, respectively. Specifically, the compressive modulus and compressive strength decreased by 32.9% and 53.0%, respectively, while the compressive strain corresponding to compressive strength increased by 21.9%. The compressive stress–strain curve of the specimen is shown in Figure 3b. The compressive stress–strain curves of asphalt concrete with different bitumen grades all underwent four distinct stages: compressive consolidation, elastic deformation, yield, and failure. Taking the test results of the asphalt concrete with asphalt grade A110 as an example, four stages are clearly marked in Figure 3b. During the initial stage, asphalt concrete specimens exhibit high porosity and are easily compressible, resulting in slow stress growth. As the specimen compresses to a certain extent, the aggregate gradually bears the external load, and the pores become difficult to compress, leading to accelerated stress growth. This phenomenon results in a concave compressive stress curve. As the bitumen grade increased, the concave compressive stress–strain curve of the asphalt concrete became more obvious. During the elastic deformation stage, the stress–strain curve of asphalt concrete exhibited a linear variation pattern, with its slope increasing as the bitumen grade decreased. During the yield stage, the compressive stress–strain curves of asphalt concrete with different bitumen grades all exhibit strain-hardening behavior. During the failure stage, the stress gradually decreases with increasing strain, whereas for higher bitumen grades, the stress remains nearly constant with increasing strain, demonstrating pronounced ductile behavior.
The test results indicate that under compression loading conditions, increasing the bitumen grade enhances compressive deformation capacity and improves the ductile behavior of asphalt concrete, but simultaneously reduces its compressive strength and modulus.

3.3. Analysis of Bending Test Results

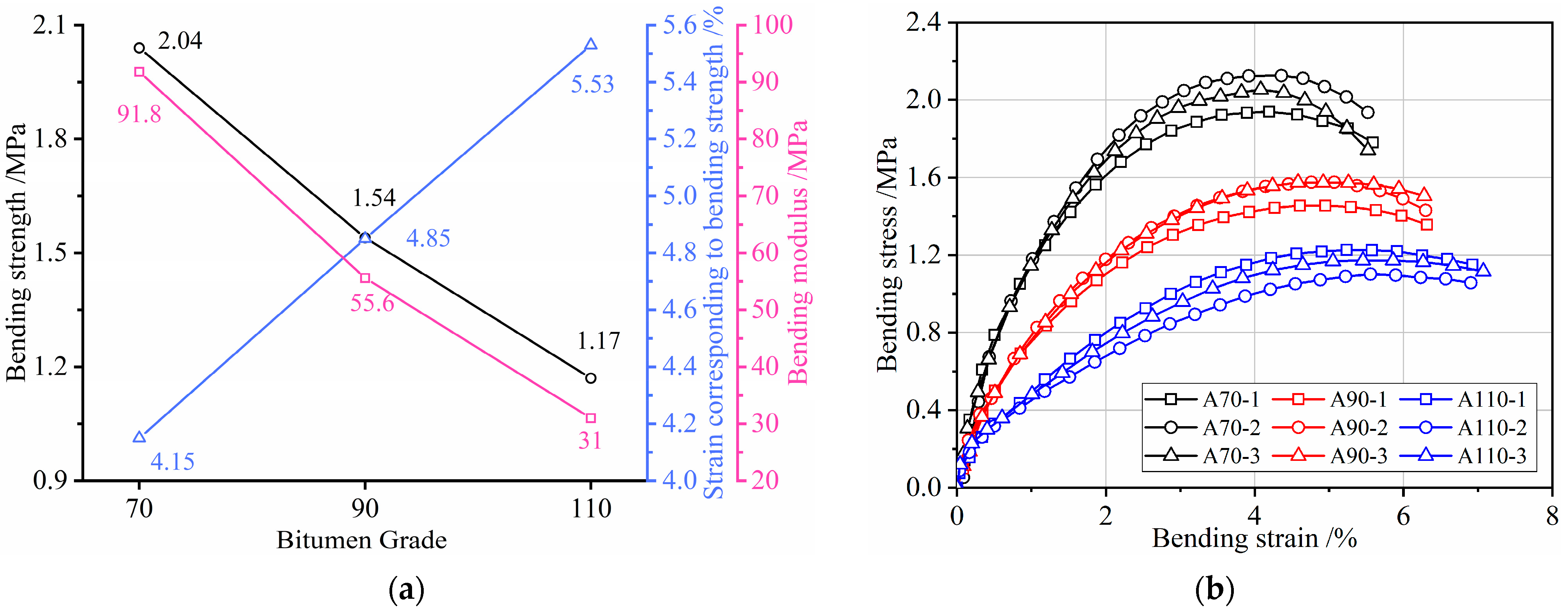
The results for the bending modulus, bending strength, and corresponding bending strain of asphalt concrete specimens are shown in Figure 4a. When the bitumen grade was increased from A70 to A110, the bending modulus, bending strength, and corresponding bending strain of asphalt concrete changed from 91.8 MPa, 2.04 MPa, and 4.15% to 31 MPa, 1.17 MPa, and 5.53%, respectively. Among these values, the bending strength and bending modulus of elasticity decreased by 42.6% and 66.2%, respectively, while the bending strain corresponding to the bending strength increased by 33.3%. The bending stress–strain curve of the specimen under bending conditions is given in Figure 4b. After reaching the maximum bending stress, the asphalt concrete specimen exhibited softening. The softening of asphalt concrete gradually diminished with increasing bitumen grade, thereby exhibiting more obvious ductile behavior. The test results indicate that under bending deformation conditions, increasing the bitumen grade enhances the bending deformation capacity of asphalt concrete and improves its ductile behavior, but simultaneously reduces its bending strength and modulus.

3.4. Analysis of Triaxial Compression Test Results

The shear strength and shear deformation behavior of asphalt concrete with different bitumen grades under triaxial compression were investigated through triaxial compression tests. Negative volumetric strain indicates volume contraction of the asphalt concrete. Positive volumetric strain indicates volume expansion of the asphalt concrete. Typical test results were analyzed. Figure 5 presents the deviatoric stress and volumetric strain curves for asphalt concrete of different bitumen grades under confining pressures of 300, 900, 2000, and 3000 kPa. As shown in Figure 4, with increasing bitumen grade, the maximum deviatoric stress of asphalt concrete gradually decreased, while the axial strain corresponding to the maximum deviatoric stress gradually increased. For example, under 300 kPa confining pressure, when the bitumen grade changed from A70 to A110, the maximum deviatoric stress (failure shear stress) of the asphalt concrete decreased from 1903 kPa to 1513 kPa, representing a 20.5% reduction, as shown in Figure 6. The axial strain corresponding to the maximum deviatoric stress increased from 10.1% to 14.7%, reflecting a 39.6% increase. The type of deviatoric stress–strain curve is significantly influenced by bitumen grade. As the bitumen grade increases, the deviatoric stress–strain curve of asphalt concrete transitions from a strain-softening curve to a strain-hardening curve. For example, under the test confining pressure, the deviatoric stress curves of asphalt concrete with bitumen grade of A110 showed no distinct peaks and all exhibited strain-hardening behavior. However, at a confining pressure of 300 kPa, the deviatoric stress curves of asphalt concrete with a bitumen grade of A70 displayed a relatively significant peak and exhibited strain-softening behavior. The results above indicate that as the bitumen grade increases, the ductility and shear deformation properties of asphalt concrete improve, but the deviatoric stress at failure decreases.
Under different confining pressure conditions, the volumetric strain curves of asphalt concrete with varying bitumen grades initially exhibited parabolic changes before gradually transitioning to linear behavior. As the bitumen grade increased, the slope of the linear change segment progressively decreased. The influence of bitumen grade on the dilatancy of asphalt concrete is quite significant. As the bitumen grade increased, the maximum strain gradually decreased, and the dilatancy of the asphalt concrete diminished. For example, under 300 kPa confining pressure, as the asphalt grade increases from A70 to A110, the volumetric dilation strain of the asphalt concrete corresponding to 20% axial strain decreases from 3.22% to 2.77%, as shown in Figure 7.
Figure 8 shows the Mohr stress circle and shear strength curve for asphalt concrete with a bitumen grade of A70, A90, and A110. The shear failure condition of asphalt concrete based on the Mohr–Coulomb strength theory, is presented in Equation (1). As shown in Figure 8, the shear strength of asphalt concrete did not fully conform to the Mohr–Coulomb strength theory. At low confining pressures, the failure shear stress calculated using Equation (1) closely matched the actual failure shear stress of asphalt concrete. As confining pressure increased, the discrepancy between theoretical calculations and actual results gradually increased, with theoretical values consistently exceeding the actual values. This leads to an overestimation for shear strength of asphalt concretes under higher confining pressure conditions. By adopting nonlinear indicators instead of linear ones, the shear failure conditions of asphalt concrete were derived, as shown in Equations (2) and (3). The results from Equation (2) showed good agreement with the actual failure shear stress of asphalt concrete, as illustrated in Figure 8. The shear strength of asphalt concrete with different bitumen grades also followed this trend.
( σ 1 σ 3 ) f = 2 · c · cos ϕ + 2 · σ 3 · sin ϕ 1 sin ϕ
where ( σ 1 σ 3 ) f is the deviatoric stress at material failure, σ 3 is the confining pressure, c is the cohesion, and ϕ is the internal friction angle.
( σ 1 σ 3 ) f = 2 · σ 3 · sin ϕ 1 sin ϕ
ϕ = ϕ 0 Δ   ϕ   log 10 ( σ 3 / p a )  
where ϕ 0 is the internal friction angle of a material at one atmosphere of pressure, Δ ϕ is the rate of change in the angle of internal friction with increasing confining pressure, and p a is the atmospheric pressure, taken as 101.3 kPa in this study.
Table 5 presents the test results for the failure shear stress ( σ 1 σ 3 ) f of asphalt concrete with different bitumen grades, along with the calculated results from Equation (1) and their relative errors. Table 6 presents the calculated results from Equation (2) and their relative errors compared with the test results. As the bitumen grade increased, the relative error between the calculated results from Equation (1) and the test results gradually became larger. For example, under 3000 kPa confining pressure, as the bitumen grade increased from A70 to A110, the relative error changed from 29.74% to 51.19%. The results indicate that as the bitumen grade increases, the deviation of the shear strength variation pattern of asphalt concrete from linear behavior gradually increases, with its nonlinear characteristics becoming more pronounced. Meanwhile, at higher confining pressures, the relative error of the results calculated by Equation (2) is significantly reduced compared to those obtained from Equation (1). The results indicate that Equation (2) can more accurately capture the shear strength nonlinear characteristics of the asphalt concrete.
The E-B model is a nonlinear elastic model [30]. The model uses elastic modulus E t to describe the relationship between the deviatoric stress and axial strain and uses the volume modulus B t to describe the relationship between the volumetric strain and axial strain. Based on the research findings, Equation (1) was replaced with Equation (2) to construct an expression for the elastic modulus that accurately reflected the nonlinear characteristics of asphalt concrete, as shown in Equation (4). The volume modulus B t is shown in Equation (5).
E t = d σ 1 σ 3 d ε a = K · p a · σ 3 p a n 1 R f σ 1 σ 3 1 sin ϕ 2 · σ 3 · sin ϕ
where E t is the elastic modulus, σ 1 is the major principal stress, σ 3 is the confining pressure, σ 1 σ 3 is the deviatoric stress, ε a is the axial strain, R f is the failure ratio, K is the modulus number, and n is the modulus exponent.
B t = d σ 1 σ 3 d ε a = K b · p a · σ 3 p a m
where B t is the volume modulus, K b is the bulk modulus number, and m is the bulk modulus exponent.
The modified E-B model was embedded as a subroutine in ABAQUS 2016, and this software was used to simulate the stress–strain relationship of asphalt concrete under triaxial compression conditions. Figure 9 shows the finite element model and boundary conditions. The finite element model is a cylinder with a diameter of 100 mm and a height of 200 mm. The normal displacement is constrained at the bottom surface of the model, while the tangential displacements are constrained at the center node of the bottom surface. Apply displacement to the top of the specimen for loading. Figure 10 presents the simulation results of modified E-B model with different shear failure conditions. The elastic modulus expressions formulated using nonlinear failure criteria accurately described the deviatoric stress–axial strain relationship for asphalt concrete of different bitumen grades under both low and high confining pressure conditions.

4. Discussion

To ensure the safety of the asphalt concrete core, the asphalt concrete must possess favorable strength and deformation properties. The results of this study indicated that the use of higher-grade bitumen enhances the compressive, tensile, bending, and shear deformation properties of asphalt concrete, enabling it to exhibit more noticeable ductile behavior. This enables the asphalt concrete core to exhibit good deformation performance. The cores in seismic zones or on compressible foundations require higher adaptability to deformation [14]. Under such conditions, high-grade asphalt should be selected as the raw material for the asphalt concrete core. The cores for high or ultra-high dams require higher shear and tensile strength [16,17]. Under such conditions, when the strength of hydraulic asphalt concrete meets the design requirements for the cores of high dams, it is recommended to select higher-grade bitumen to raise the deformation threshold at which the cores fail under various load conditions.
Asphalt concrete is a viscoelastic material exhibiting strong dependence on temperature and time (strain rate). At higher strain rates, asphalt concrete exhibits noticeable dilatancy. In the current hydraulic asphalt concrete test code, triaxial tests on asphalt concrete have generally been conducted at a rate of 0.03%/min to 0.1%/min [29]. Under these test conditions, if asphalt concrete exhibits significant dilatancy, its proportion must be adjusted to reduce its inherent dilatancy [14,31]. The results of the triaxial shear permeability test indicated that during shear deformation, asphalt concrete underwent volumetric expansion due to dilatancy. Cracks formed within the material and progressively widened as shear deformation increased, ultimately creating flow pathways that caused leakage in the asphalt concrete [32]. Meanwhile, physical model test results indicated that asphalt concrete with high porosity due to dilatancy may induce hydraulic fracturing under the combined effects of local tensile stress and hydrostatic pressure [33]. At high strain rates, noticeable dilatancy occurring in asphalt concrete adversely affects its impermeability. The previous work’s results for the triaxial shear permeability tests show that under the same confining pressure, the asphalt concrete specimens with higher-grade asphalt exhibit larger axial strain at the point of impermeability failure compared to those with lower-grade asphalt. This indicates that the higher the asphalt grade, the better the impermeability safety of the asphalt concrete [32]. Therefore, the use of higher-grade bitumen in the design of asphalt concrete for the core can be beneficial in enhancing the impermeability safety of the core.
The behavior of asphalt concrete can be simulated by using constitutive models [1,2,14,31,34]. The model parameters of the asphalt concrete were determined through triaxial tests. A suitable constitutive model must accurately reflect the mechanical properties of the asphalt concrete. In actual engineering, the strain rate of the core is very small. Triaxial creep testing is applicable to asphalt concrete used in the core. The stress–strain–time–temperature creep model proposed by Wang can accurately reflect the behavior of the asphalt concrete core [35]. In the mixed proportion design of asphalt concrete, the strain rate in triaxial compression tests is relatively high. In this study, at a higher strain rate, the results indicated that as confining pressure increases, the failure conditions of asphalt concrete with different bitumen grades exhibited pronounced nonlinearity, failing to fully conform to the Mohr–Coulomb theory. Moreover, the higher the bitumen grade, the greater the degree of nonlinearity. In the background of ACEDs developing toward high dams/ultra-high dams, high stress issues become highlighted. The modified E-B model, established using an expression for elastic modulus based on a nonlinear failure criterion, can reflect the nonlinear stress behavior of asphalt concrete. This can provide a basis for designing a reasonable asphalt concrete mix proportion.

5. Conclusions

The direct tensile tests, uniaxial compression test, bending tests, and triaxial compression tests were conducted in this study to investigate the influence of asphalt grade on the stress–strain–strength behavior of hydraulic asphalt concrete. Based on the triaxial test results of asphalt concrete with different asphalt grades, the elastic modulus expression in the E-B model was modified. Finally, based on the test results, the selection of asphalt grade for practical asphalt concrete core was discussed. The following conclusions were obtained:
  • Under these loading conditions, the use of high-grade bitumen comprehensively enhances the deformation capacity and ductile behavior of hydraulic asphalt concrete, although it reduces its inherent strength. When the strength of hydraulic asphalt concrete meets design requirements, selecting a higher bitumen grade is advisable to increase the deformation threshold at which the core fails under various load types.
  • The volumetric strain curves of hydraulic asphalt concrete at different bitumen grades initially exhibit parabolic variation before gradually transitioning to linear behavior. The slope of the linear segment diminishes as the bitumen grade increases. The use of higher-grade bitumen in hydraulic asphalt concrete reduces its dilatancy, which benefits the impermeability safety of the core.
  • As confining pressure increases, the shear strength of hydraulic asphalt concrete with different bitumen grades exhibits pronounced nonlinear behavior. Moreover, with increasing bitumen grade, the nonlinear characteristics of shear strength become more significant. The expression for the elastic modulus, formulated using nonlinear failure criteria, accurately describes the deviatoric stress–axial strain relationship of hydraulic asphalt concrete across different bitumen grades.
All tests in this study were conducted under multi-year average temperature of 8.6 °C, and therefore the potential effects of extreme temperatures that may occur during the service life of the asphalt concrete core have not been addressed. This represents a limitation in terms of assessing the engineering applicability of the results. Future research will systematically conduct a full set of laboratory tests under two boundary conditions, namely, extreme low temperature (−10 °C) and extreme high temperature (35 °C), to comprehensively evaluate the asphalt concrete used in the core.

Author Contributions

Conceptualization, X.Y.; methodology, X.Y.; software, X.Y.; formal analysis, X.Y.; investigation, Z.Y. and C.R.; resources, Z.Y. and C.R.; data curation, Z.Y. and C.R.; writing—original draft preparation, X.Y.; writing—review and editing, J.H.; visualization, J.H.; supervision, J.H.; project administration, J.H.; funding acquisition, X.Y. and J.H. All authors have read and agreed to the published version of the manuscript.

Funding

This research was supported by the Key Research and Development Program of the Tibet Autonomous Region (Grant No. XZ202201ZY0017G), National Natural Science Foundation of China (Grant No. 52469025), and the “Tianshan Talent” Science and Technology Innovation Leading Talent Program Project of the Autonomous Region (Grant No. 2024TSYCLJ0017).

Institutional Review Board Statement

Not applicable.

Informed Consent Statement

Not applicable.

Data Availability Statement

Data will be made available upon request.

Conflicts of Interest

Authors Xing Yang and Congyong Ran were employed by the company PowerChina Chengdu Engineering Corporation Limited. The remaining authors declare that the research was conducted in the absence of any commercial or financial relationships that could be construed as a potential conflict of interest.

References

  1. Qiu, T.; Wang, W.; Höeg, K.; Feng, S.; Zhao, R. 3D analysis of the 174-m high Quxue asphalt-core rockfill dam in a narrow canyon. Soils Found. 2021, 61, 1645–1659. [Google Scholar] [CrossRef]
  2. Yu, X.; Kong, X.; Zou, D.; Zhou, Y.; Hu, Z. Linear elastic and plastic-damage analyses of a concrete cut-off wall constructed in deep overburden. Comput. Geotech. 2015, 69, 462–473. [Google Scholar] [CrossRef]
  3. Khalaj, O.; Ayati Ahmadi, A.; Abedin Nejad, S.; Mašek, B.; Štadler, C.; Skála, J. Evaluation of the effect of varying the angle of asphaltic concrete core on the behavior of the Meijaran Rockfill Dam. Coatings 2022, 12, 720. [Google Scholar] [CrossRef]
  4. Wen, L.; Yang, Y.; Li, Y.; Liu, Y. Effect of Valley Topography on the Behavior of Asphalt Concrete Core Walls in Earthen Dams. Int. J. Geomech. 2024, 24, 04024165. [Google Scholar] [CrossRef]
  5. Wang, W.; Höeg, K.; Zhang, Y. Design and performance of the Yele asphalt-core rockfill dam. Can. Geotech. J. 2010, 47, 1365–1381. [Google Scholar] [CrossRef]
  6. ICOLD. Asphalt Concrete Cores for Embankment Dams; Bulletin 179; International Commission on Large Dams (ICOLD): Paris, France, 2018. [Google Scholar]
  7. Tong, Y.; Shen, B.; Liu, J.; Zhao, J. Characterization of hard-grade asphalt using entropy analysis. Pet. Sci. Technol. 2017, 35, 703–709. [Google Scholar] [CrossRef]
  8. Tong, Y.; Shen, B.; Liu, J.; Yao, Z.; Fang, W. Preparation and evaluation of 30# hard grade asphalt. Pet. Sci. Technol. 2017, 35, 436–442. [Google Scholar] [CrossRef]
  9. Song, L.; Xie, X.; Tu, P.; Fan, J.; Gao, J. Study on Aging Mechanism and High-Temperature Rheological Properties of Low-Grade Hard Asphalt. Materials 2023, 16, 5641. [Google Scholar] [CrossRef]
  10. Qasrawi, H.; Asi, I. Effect of bitumen grade on hot asphalt mixes properties prepared using recycled coarse concrete aggregate. Constr. Build. Mater. 2016, 121, 18–24. [Google Scholar] [CrossRef]
  11. Hafeez, I.; Kamal, M.A.; Mirza, M.W.; Barkatullah; Bilal, S. Laboratory fatigue performance evaluation of different field laid asphalt mixtures. Constr. Build. Mater. 2013, 44, 792–797. [Google Scholar] [CrossRef]
  12. Junaid, M.; Irfan, M.; Ahmed, S.; Ali, Y. Effect of binder grade on performance parameters of asphaltic concrete paving mixtures. Int. J. Pavement Res. Technol. 2018, 11, 435–444. [Google Scholar] [CrossRef]
  13. Zhong, L.; Tong, S.; Li, G. Influence of asphalt grade on flexural performance of asphalt concrete as an impervious core in embankment dam. J. Yangtze River Sci. Res. Inst. 2018, 35, 116–118. (In Chinese) [Google Scholar]
  14. Höeg, K.; Wang, W. Asphalt Core Embankment Dams; CRC Press: Boca Raton, FL, USA, 2025; pp. 22–28. [Google Scholar]
  15. Cao, W.; Wen, L.; Li, Y.; Liu, Y.; Si, Z.; Wu, L. Influence of difference in deformation modulus between asphalt concrete core and transition layer on core behavior and difference threshold determination. Comput. Geotech. 2024, 169, 106186. [Google Scholar] [CrossRef]
  16. Gao, J.; Dang, F.; Ma, Z.; Xue, Y.; Ren, J. Improvement methods for reduction of the high stress of ultra-high asphalt concrete core dams. Appl. Sci. 2019, 9, 4618. [Google Scholar] [CrossRef]
  17. Gao, J.; Dang, F.; Ma, Z. Investigation for the key technologies of ultra-high asphalt concrete core rockfill dams. Soils Found. 2019, 59, 1740–1757. [Google Scholar] [CrossRef]
  18. Zhang, Y.; Wang, W.; Zhu, Y. Investigation on conditions of hydraulic fracturing for asphalt concrete used as impervious core in dams. Constr. Build. Mater. 2015, 93, 775–781. [Google Scholar] [CrossRef]
  19. Zhu, Y.; Zhang, Y.; Wang, W.; Feng, S. Could Hydraulic fracturing take place for asphalt core in embankment dams through possible cracks in the core? Appl. Sci. 2023, 13, 1523. [Google Scholar] [CrossRef]
  20. Feng, S.; Wang, W.; Hu, K.; Höeg, K. Stress-strain-strength behavior of asphalt core in embankment dams during construction. Constr. Build. Mater. 2020, 259, 119706. [Google Scholar] [CrossRef]
  21. Ning, Z.; Liu, Y.; Wang, W.; Dong, J.; Meng, X.; Wang, Q. Crack propagation and non-uniform deformation analysis in hydraulic asphalt concrete: Insights from X-ray CT scanning and digital volume correlation. Constr. Build. Mater. 2024, 411, 134704. [Google Scholar] [CrossRef]
  22. Zhang, Y.; Feng, S.; Wang, W.; Zhu, Y. Effects of test-specimen boundary conditions on the interpretation of stress-strain results for hydraulic asphalt concrete. Arab. J. Sci. Eng. 2025, 50, 8011–8025. [Google Scholar] [CrossRef]
  23. Ning, Z.; Liu, Y.; Wang, W. Compressive behavior of hydraulic asphalt concrete under different temperatures and strain rates. J. Mater. Civ. Eng. 2021, 33, 04021013. [Google Scholar] [CrossRef]
  24. Ning, Z.; Liu, Y.; Wang, W. Experimental study on compressive properties and impermeability of hydraulic asphalt concrete under different temperatures. J. Hydraul. Eng. 2020, 51, 527–535. (In Chinese) [Google Scholar]
  25. Ning, Z.; Liu, Y.; Wang, W.; Dong, J.; Meng, X. Experimental study on effect of temperature on direct tensile behavior of hydraulic asphalt concrete at different strain rates. J. Mater. Civ. Eng. 2022, 34, 04022143. [Google Scholar] [CrossRef]
  26. Zhang, Y.; Zhu, Y.; Wang, W.; Ning, Z.; Feng, S.; Höeg, K. Compressive and tensile stress–strain-strength behavior of asphalt concrete at different temperatures and strain rates. Constr. Build. Mater. 2021, 311, 125362. [Google Scholar] [CrossRef]
  27. Dong, J.; Ding, Y.; Liu, Y.; Ning, Z.; Qi, Y. Tensile test and discrete element study on recycled aggregate hydraulic asphalt concrete. Constr. Build. Mater. 2024, 450, 138538. [Google Scholar] [CrossRef]
  28. He, J.; Lu, J.; Liu, L.; Yang, W.; Chen, P.; Ding, X. Bending performance evaluation of large grain hydraulic asphalt concrete based on the coefficient of variation. KSCE J. Civ. Eng. 2024, 28, 3420–3429. [Google Scholar] [CrossRef]
  29. DL/T 5362-2018; Test Code for Hydraulic Bitumen Concrete. China Electric Power Press: Beijing, China, 2018. (In Chinese)
  30. Duncan, J.M.; Chang, C.Y. Nonlinear analysis of stress and strain in soils. J. Soil Mech. Found. Div. ASCE 1970, 96, 1629–1653. [Google Scholar] [CrossRef]
  31. Wang, W.; Høeg, K. Simplified material model for analysis of asphalt core in embankment dams. Constr. Build. Mater. 2016, 126, 199–207. [Google Scholar] [CrossRef]
  32. He, J.; Li, H.; Yang, W.; Liu, L. Permeability study of asphalt concrete in core wall under shear large deformation conditions. J. Hydraul. Eng. 2024, 55, 686–697. (In Chinese) [Google Scholar]
  33. Wang, Z.; Hao, J.; Yang, J.; Cao, Y.; Li, X.; Liu, S. Experimental study on hydraulic fracturing of high asphalt concrete core rock-fill dam. Appl. Sci. 2019, 9, 2285. [Google Scholar] [CrossRef]
  34. Li, Y.; Li, Y.; Wen, L.; Li, W.; Zhang, Y.; Bu, P.; Sun, X. A hybrid approach combining UD and GA-CV-SVM to evaluate shear performance in high asphalt concrete core. Comput. Geotech. 2024, 176, 106812. [Google Scholar] [CrossRef]
  35. Wang, W. 2024. A material stress-strain-time-temperature creep model for the analysis of asphalt cores in embankment dams. Appl. Sci. 2024, 14, 3399. [Google Scholar] [CrossRef]
Figure 1. Testing equipment: (a) Universal testing machine and (b) large-scale multifunctional dynamic and static triaxial testing machine.
Figure 1. Testing equipment: (a) Universal testing machine and (b) large-scale multifunctional dynamic and static triaxial testing machine.
Applsci 15 12596 g001
Figure 2. Tensile test results for asphalt concrete of different bitumen grades. (a) Tensile test results vary with bitumen grade; (b) tensile stress–strain curve.
Figure 2. Tensile test results for asphalt concrete of different bitumen grades. (a) Tensile test results vary with bitumen grade; (b) tensile stress–strain curve.
Applsci 15 12596 g002
Figure 3. Uniaxial compressive test results for asphalt concrete of different bitumen grades. (a) Compressive test results vary with bitumen grade; (b) compressive stress–strain curve.
Figure 3. Uniaxial compressive test results for asphalt concrete of different bitumen grades. (a) Compressive test results vary with bitumen grade; (b) compressive stress–strain curve.
Applsci 15 12596 g003
Figure 4. Bending test results for asphalt concrete of different bitumen grades. (a) Bending test results vary with bitumen grade; (b) bending stress–strain curve.
Figure 4. Bending test results for asphalt concrete of different bitumen grades. (a) Bending test results vary with bitumen grade; (b) bending stress–strain curve.
Applsci 15 12596 g004
Figure 5. Stress–strain curves of asphalt concrete for different bitumen grades under various confining pressures. (a) Confining pressure of 300 kPa; (b) confining pressure of 900 kPa; (c) confining pressure of 2000 kPa; and (d) confining pressure of 3000 kPa.
Figure 5. Stress–strain curves of asphalt concrete for different bitumen grades under various confining pressures. (a) Confining pressure of 300 kPa; (b) confining pressure of 900 kPa; (c) confining pressure of 2000 kPa; and (d) confining pressure of 3000 kPa.
Applsci 15 12596 g005
Figure 6. Maximum deviatoric stress of asphalt concrete with different bitumen grades under varying confining pressures.
Figure 6. Maximum deviatoric stress of asphalt concrete with different bitumen grades under varying confining pressures.
Applsci 15 12596 g006
Figure 7. Maximum volumetric strain of asphalt concrete with different bitumen grades under varying confining pressures.
Figure 7. Maximum volumetric strain of asphalt concrete with different bitumen grades under varying confining pressures.
Applsci 15 12596 g007
Figure 8. Mohr stress circle and shear strength curve for asphalt concrete with different bitumen grades. (a) Bitumen grade of A70; (b) bitumen grade of A90; and (c) bitumen grade of A110.
Figure 8. Mohr stress circle and shear strength curve for asphalt concrete with different bitumen grades. (a) Bitumen grade of A70; (b) bitumen grade of A90; and (c) bitumen grade of A110.
Applsci 15 12596 g008
Figure 9. Finite element model and boundary conditions for triaxial compression test.
Figure 9. Finite element model and boundary conditions for triaxial compression test.
Applsci 15 12596 g009
Figure 10. Simulation results of asphalt concrete shear stress under different shear failure conditions for various bitumen grades. (a) Bitumen grade of A70; (b) bitumen grade of A90; and (c) bitumen grade of A110.
Figure 10. Simulation results of asphalt concrete shear stress under different shear failure conditions for various bitumen grades. (a) Bitumen grade of A70; (b) bitumen grade of A90; and (c) bitumen grade of A110.
Applsci 15 12596 g010aApplsci 15 12596 g010b
Table 1. Properties of mineral materials.
Table 1. Properties of mineral materials.
Test PropertiesSieve Size (mm)
Coarse AggregateFine AggregateFiller
9.5–194.75–9.52.36–4.750.075–2.360–0.075
Density (g/cm3)2.712.712.722.732.73
Water Absorption (%)0.500.640.720.93
Mud content (%)0.00.00.01.1
Adhesion to asphalt4
Durability (%)2.82.5
Hydrophilicity coefficient0.76
Moisture content (%)0.18
Table 2. Properties of bitumen.
Table 2. Properties of bitumen.
Test PropertiesKaramay A70 Karamay A90 Karamay A110
Density (g/cm3)0.9790.9830.981
Penetration (100 g, 5 s, 25 °C) (0.1 mm)66.586.4103.8
Ductility (5 cm/min, 10 °C) (cm)55.0>100>100
Softening point (°C)53.050.447.9
TFOTLoss by mass (%)−0.06−0.08−0.11
Residual penetration (%)83.382.083.3
Residual ductility (cm)15.132.858.1
Table 3. Mix proportions of asphalt concretes.
Table 3. Mix proportions of asphalt concretes.
Sieve Size (mm)Bitumen
Coarse AggregateFine AggregateFiller
9.5–194.75–9.52.36–4.750.075–2.360–0.075
Mix proportion (%)23.918.215.930.012.07.5
Note: The proportion of bitumen is the ratio of the mass of bitumen to the total mass of aggregate of all sieve size.
Table 4. Test scheme.
Table 4. Test scheme.
Test TypeBitumen GradeTemperature
(°C)
Loading Rate
(mm/min)
Confining Pressure
(kPa)
Direct tension testA70, A90, A1108.62.2-
Uniaxial compression test1.0-
Bending test1.67-
Triaxial compression test0.3300, 600, 900, 1200
1500, 2000, 2500, 3000
Table 5. Test results and calculated values by Equation (1) for maximum shear stress of asphalt concrete at different bitumen grades.
Table 5. Test results and calculated values by Equation (1) for maximum shear stress of asphalt concrete at different bitumen grades.
Confining Pressure
σ3 (kPa)
A70A90A110
( σ 1 σ 3 ) f (kPa)Relative Error (%) ( σ 1 σ 3 ) f (kPa)Relative Error (%) ( σ 1 σ 3 ) f (kPa)Relative Error (%)
Test ResultsCalculated Results
Equation (1)
Test ResultsCalculated Results
Equation (1)
Test ResultsCalculated Results
Equation (1)
3001903.11948.42.381652.71681.11.721515.21594.05.20
6002460.12463.20.122156.42158.40.092062.82065.40.13
9002922.32977.91.902592.62635.71.672448.42536.73.60
12003432.43492.61.753002.83113.13.672825.83008.06.45
15003752.64007.36.793394.43590.45.773130.53479.311.14
20004141.44865.217.483788.74386.015.773424.74264.824.53
25004631.85723.123.564137.85181.525.223662.35050.337.90
30005072.46580.929.744486.35977.133.233860.15835.951.19
Table 6. Test results and calculated values by Equation (2) for maximum shear stress of asphalt concrete at different bitumen grades.
Table 6. Test results and calculated values by Equation (2) for maximum shear stress of asphalt concrete at different bitumen grades.
Confining Pressure
σ3 (kPa)
A70A90A110
( σ 1 σ 3 ) f (kPa)Relative Error (%) ( σ 1 σ 3 ) f (kPa)Relative Error (%) ( σ 1 σ 3 ) f (kPa)Relative Error (%)
Test ResultsCalculated Results
Equation (2)
Test ResultsCalculated Results
Equation (2)
Test ResultsCalculated Results
Equation (2)
3001903.11948.40.851652.71681.11.391515.21594.02.89
6002460.12463.24.642156.42158.45.272062.82065.42.30
9002922.32977.95.372592.62635.75.062448.42536.73.19
12003432.43492.61.943002.83113.13.172825.83008.01.47
15003752.64007.32.913394.43590.40.723130.53479.30.86
20004141.44865.25.693788.74386.02.183424.74264.84.00
25004631.85723.13.894137.85181.52.683662.35050.36.35
30005072.46580.92.284486.35977.11.893860.15835.98.17
Disclaimer/Publisher’s Note: The statements, opinions and data contained in all publications are solely those of the individual author(s) and contributor(s) and not of MDPI and/or the editor(s). MDPI and/or the editor(s) disclaim responsibility for any injury to people or property resulting from any ideas, methods, instructions or products referred to in the content.

Share and Cite

MDPI and ACS Style

Yang, X.; Yang, Z.; Ran, C.; He, J. Stress–Strain–Strength Behavior of Hydraulic Asphalt Concrete at Different Bitumen Grades. Appl. Sci. 2025, 15, 12596. https://doi.org/10.3390/app152312596

AMA Style

Yang X, Yang Z, Ran C, He J. Stress–Strain–Strength Behavior of Hydraulic Asphalt Concrete at Different Bitumen Grades. Applied Sciences. 2025; 15(23):12596. https://doi.org/10.3390/app152312596

Chicago/Turabian Style

Yang, Xing, Zhihao Yang, Congyong Ran, and Jianxin He. 2025. "Stress–Strain–Strength Behavior of Hydraulic Asphalt Concrete at Different Bitumen Grades" Applied Sciences 15, no. 23: 12596. https://doi.org/10.3390/app152312596

APA Style

Yang, X., Yang, Z., Ran, C., & He, J. (2025). Stress–Strain–Strength Behavior of Hydraulic Asphalt Concrete at Different Bitumen Grades. Applied Sciences, 15(23), 12596. https://doi.org/10.3390/app152312596

Note that from the first issue of 2016, this journal uses article numbers instead of page numbers. See further details here.

Article Metrics

Back to TopTop