Next Article in Journal
Fault Prediction Method Towards Rolling Element Bearing Based on Digital Twin and Deep Transfer Learning
Previous Article in Journal
A Phase Map for Vertical Upflow of Slightly Cohesive Geldart A Powders Focused on High Solids Mass Flux
 
 
Font Type:
Arial Georgia Verdana
Font Size:
Aa Aa Aa
Line Spacing:
Column Width:
Background:
Article

Thermal Management of Unmanned Aerial Vehicle Power Systems Using Ducted Forced Convection and Computational Fluid Dynamic Validation

by
Eleftherios Nikolaou
1,*,
Spyridon Kilimtzidis
1,*,
Efthymios Giannaros
1,†,
Vaios Lappas
2,† and
Vassilis Kostopoulos
1,†
1
Applied Mechanics Laboratory, Mechanical Engineering and Aeronautics Department, University of Patras, Rio Campus, 26500 Patras, Greece
2
Department of Aerospace Science and Technology, National and Kapodistrian University of Athens, 10679 Athens, Greece
*
Authors to whom correspondence should be addressed.
These authors contributed equally to this work.
Appl. Sci. 2025, 15(23), 12508; https://doi.org/10.3390/app152312508 (registering DOI)
Submission received: 3 November 2025 / Revised: 18 November 2025 / Accepted: 24 November 2025 / Published: 25 November 2025
(This article belongs to the Special Issue Design and Aerodynamic Analysis of Aircraft)

Abstract

The increasing power density of Unmanned Aerial Vehicles (UAVs) has intensified the need for the efficient thermal management of their propulsion and electronic subsystems. This paper presents a systematic multi-fidelity methodology for the design and validation of a ducted forced convection cooling system for a Class-I mini-UAV. The approach combines analytical sizing and computational fluid dynamic (CFD) analyses. In the preliminary design phase, a surrogate-based optimization (SBO) framework was implemented to determine the optimal geometric characteristics of a NACA-type inlet duct, enabling the efficient exploration of the design space using a limited number of CFD simulations. SBO employed a Kriging surrogate model trained on a Design of Experiments (DoE) dataset to capture nonlinear interactions between duct geometry and performance metrics such as pressure recovery, total-pressure loss, and outlet flow uniformity. The optimized configuration was then refined and validated through detailed external and internal CFD studies under representative flight conditions. The optimized NACA duct configuration achieved an average increase of 10.5% in volume flow rate (VFR) and a 9.5% reduction in velocity distortion while maintaining a drag penalty below 1% compared to the benchmark Frick’s NACA duct. The presented methodology demonstrates that the early integration of surrogate-based optimization in UAV inlet design can significantly improve aerodynamic and thermal performance.

1. Introduction

The rapid growth of Unmanned Aerial Vehicles (UAVs) for civilian, commercial, and defense applications has led to increasing demands on their propulsion and electronic subsystems. Modern UAVs employ high-power-density electric motors, Electronic Speed Controllers (ESCs), and Power Conditioning and Distribution Units (PCDUs), all of which generate significant amounts of heat during operation. The effective thermal management of these components is therefore a critical enabler for ensuring performance, safety, and reliability [1].
Inadequate cooling may lead to overheating, resulting in efficiency losses, accelerated material degradation, or even catastrophic failure. For small- to medium-scale UAVs, where compact integration and weight minimization are paramount, traditional liquid-cooling solutions are often impractical. Instead, designers typically rely on forced convection using ambient air captured through strategically placed inlets and ducts [2]. The design of such systems must balance multiple trade-offs: thermal safety margins, aerodynamic drag penalties, weight limitations, and manufacturability constraints.
The underlying theory of component cooling is governed by classical heat transfer principles, with conduction transferring heat from electronics and motors to heat sinks and convection dissipating this heat into the external airflow [3]. Analytical methods can be used in early design stages to estimate mass flow requirements and duct cross-sectional areas. These calculations often assume idealized flow conditions, providing conservative estimates that guide initial CAD layouts. However, they cannot capture three-dimensional flow phenomena such as boundary-layer separation, vortex shedding, or duct–airframe aerodynamic interactions.
Recent studies have shown that computational fluid dynamics (CFD) is a powerful tool for the design and verification of UAV thermal management systems. External CFD analyses can predict the effective volume flow rates through ducts under different flight conditions, while internal CFD analyses can resolve velocity distributions around sensitive components such as heat sinks and motors. By combining analytical sizing with CFD verification, designers can ensure that both theoretical requirements and practical aerodynamic effects are accounted for.
Recent journal research on inlet–duct design for UAVs and aircraft emphasizes the complex trade-offs among aerodynamic efficiency, flow uniformity, structural integrity, and system integration. Papadopoulos et al. [4] presented one of the earliest dedicated UAV S-duct studies, showing how curvature and length strongly affect pressure recovery and separation, identifying an optimal “Gerlach-type” profile that balances compactness and low losses. Lim et al. [5] expanded this by coupling aerodynamic and structural considerations, demonstrating that carbon–epoxy composite ducts can meet both strength and weight requirements for small aircraft while maintaining aerodynamic performance. Gil-Prieto et al. [6] analyzed unsteady flow and dynamic distortion phenomena inside S-ducts, highlighting how secondary flow and swirl at the engine face degrade compressor stability—key issues for embedded UAV intakes. Modern computational work, such as Jia et al. [7], applied shape optimization and parametric CFD studies to refine S-duct geometry, showing that the careful adjustment of offset, curvature, and cross-sectional area ratios can minimize distortion without length penalties. Complementing this, Ren et al. [8] provided experimental evidence that double-bend or compact ducts—common in stealthy or embedded UAV configurations—introduce significant swirl and pressure loss challenges, which can be mitigated through contour optimization or flow control inserts. He et al. [9] demonstrated multi-objective optimization that jointly considers aerodynamic and electromagnetic (stealth) performance, reflecting the trend toward integrated design requirements for modern UAVs. Complementing these aerodynamic perspectives, Pignier et al. [10] investigated a NACA-type submerged inlet using Detached Eddy Simulation and the Ffowcs Williams–Hawkings acoustic analogy, identifying the lip edges and vortex wakes as primary noise sources, with tonal noise dominating at high inlet velocities and broadband noise at lower ratios. Their findings reinforced that surface dipoles, rather than volume sources, drive low-Mach inlet acoustics. Together, these studies converge on the view that optimal UAV and aircraft inlet/duct performance demands a multidisciplinary approach, integrating aerodynamic, aeroacoustic, structural, and stealth considerations—especially for compact or embedded engine configurations where S-duct and submerged inlets are the most prevalent. Recently, Ren et al. (2024) conducted a wind tunnel investigation of a double-90° bend S-duct for UAVs, analyzing both overall aerodynamic performance and internal swirl flow characteristics under representative inlet conditions. Their results highlight how high curvature and non-uniform inlet conditions significantly increase swirl intensity and instability, thereby affecting the duct’s pressure recovery and distortion levels [8]. In a recent study, Siliang et al. (2024) performed an aerodynamic optimization of the main duct body structure of a coaxial rotor UAV using parametric CAD, CFD analysis, and response surface modeling to refine duct geometry for improved lift duct airflow and reduced drag [11]. Moreover, Hu et al. conducted a multi-objective aerodynamic–stealth optimization of an S-duct, using reduced-dimension design variables and a co-Kriging surrogate model. Their study improved pressure recovery and reduced flow distortion while simultaneously lowering radar cross-section, demonstrating the effectiveness of surrogate-assisted inlet optimization [12].
Despite the extensive research on S-duct aerodynamics, embedded inlets, and UAV cooling flows, most existing studies focus on either aerodynamic performance or structural/aeroacoustic aspects in isolation and typically assume engine-driven mass flow demands rather than low-Reynolds forced convection requirements for electronic cooling. Furthermore, the majority of shape optimization approaches target propulsion inlets, not compact thermal management ducts integrated into small UAV fuselages. As a result, there is still a gap in systematic design methodologies that couple analytical thermal sizing, CFD-based aerodynamic assessment, and surrogate-assisted optimization within a unified workflow tailored to small UAV cooling systems. To address this gap, we propose an integrated methodology that combines analytical conceptual sizing, surrogate-based optimization (SBO), and high-fidelity CFD validation for the design of compact NACA-type cooling inlets. This staged process enables the efficient exploration of the geometric design space, the identification of performance-optimal configurations with minimal CFD cost, and robust verification under representative flight conditions.
This project, which serves as the case study for this work, follows a staged design methodology for the duct system of a Class-I mini-UAV developed by the Applied Mechanics Laboratory of the University of Patras [13]. First, a conceptual-level cooling system was developed using analytical calculations of duct cross-sections and airflow velocities under natural convection assumptions, with safety margins applied to account for uncertainties. During the second stage of the design methodology, an SBO framework [14,15] was employed in the preliminary phase to determine the optimal geometric characteristics of the NACA-type duct to be used in subsequent detailed design and CFD analyses. The use of SBO at this stage allowed for the efficient exploration of the design space while minimizing the number of high-fidelity simulations required [16,17,18,19,20]. A Design of Experiments (DoE) approach was used to systematically vary key geometric parameters—including ramp angle, divergence wall angle, length-to-depth ratio, and the width-to-length ratio—and generate a representative dataset of CFD results. These data were used to construct surrogate models based on Kriging interpolation techniques, which provided accurate predictive relationships between geometry variables and performance metrics such as pressure recovery, total-pressure loss, and exit flow uniformity. The resulting response surfaces enabled a rapid single-objective optimization process to identify candidate configurations that balance aerodynamic efficiency with thermal mass flow requirements. The selected geometry from this stage formed the baseline for the subsequent detailed design and CFD validation phases, ensuring that downstream analysis was focused on a high-potential region of the design space.
Finally, a detailed design was implemented in CAD with forced convection ducts, validated through high-fidelity external and internal CFD simulations. Refined CFD studies were conducted to assess robustness under representative flight conditions, including climb and loiter phases.
The main objectives of this paper are therefore the following:
1.
To describe the evolution of the UAV cooling system from conceptual analytical design to detailed forced convection implementation.
2.
To present analytical and CFD results for the cooling of the motor, ESC, and PCDU.
3.
To demonstrate that the final cooling architecture satisfies all operational thermal requirements while accounting for aerodynamic effects such as angle of attack (AoA) sensitivity.

2. Materials and Methods

2.1. Aircraft Specifications

The initial step involves defining the characteristics of the aircraft to be analyzed (Figure 1). These design characteristics were based on an electric propulsion UAV developed by the Applied Mechanics Laboratory of the University of Patras, Patras, Greece. Under NATO’s classification system for UAVs, this aircraft is designated as a Class-I Mini UAS. Table 1 summarizes the key UAV parameters used in this study.
A typical UAV mission is considered for the aircraft, namely a climb, a cruise, and a loiter phase. The specified velocities for these stages were calculated using analytical methods and are presented in the following Table 2.
Figure 2 illustrates the conceptual internal layout of the UAV, showing the placement of the components, which act as heat sinks (HSs), thus requiring cooling airflow from the ducts. This configuration served as the basis for the subsequent duct design process, ensuring that the air inlet positioning and flow routing were aligned with the thermal and spatial requirements of the UAV’s internal architecture.

2.2. Cooling System Design Methodology

2.2.1. Conceptual Cooling System Design

Theoretical Background
The thermal management of electronic and propulsion components in UAVs relies primarily on convection heat transfer, with conduction transferring heat from the component body to the external surface (heat sink or housing) and convection dissipating this heat into the surrounding airflow.
For forced convection over a body, the heat transfer rate is given by the following:
Q = h A s ( T s T )
where Q = heat dissipated [W]; h = convective heat transfer coefficient [W/m2K]; As = heat transfer surface area [m2]; Ts = surface temperature of component [°C]; T = free-stream air temperature [°C].
The convective coefficient h is related to dimensionless parameters:
N u = h L c k
where N u is the Nusselt number, L c is the characteristic length, and k is the thermal conductivity of air.
For cross-flow over a cylinder (motor geometry), empirical correlations are used:
N u = C R e m P r n
with the Reynolds number and Prandtl number defined as follows:
R e = U L c ν , P r = ν ρ C p k
where U is the average airflow velocity [m/s], ν is the kinematic viscosity of air [m2/s], ρ is air density [kg/m3], and Cp is the specific heat of air [J/kgK].
The volume and mass flow rates required for cooling are obtained by applying an energy balance to the control volume:
Q = m ˙ C p ( T o u t T i n )
m ˙ = ρ V = ρ A c h U
where m ˙ is the mass flow rate [kg/s], V is the volume flow rate [m3/s], and Ach is the flow channel cross-sectional area [m2].
From these equations, the minimum duct areas and velocities can be determined for each component.

2.2.2. Preliminary Cooling System Design

In the preliminary design stage, two types of air inlets—a NACA duct and a simple rectangular duct—were implemented on the external surface of the UAV. For the NACA-type inlet, two configurations were considered: Frick’s NACA duct and an SBO-optimized NACA duct, specifically designed and refined in this study through surrogate-based optimization. All inlets were designed to maintain equal inlet areas, as determined during the conceptual design stage, ensuring a consistent basis for aerodynamic and thermal comparison. The three configurations were analyzed using high-fidelity CFD simulations to evaluate their volume flow rate (VFR) and the corresponding incremental drag coefficient ( Δ C D ) introduced by each duct. This comparative analysis aimed to identify the most suitable inlet geometry for the specific aerodynamic and thermal management requirements of the UAV design.
NACA Duct Theory and Design Methodology
A NACA duct, also known as a NACA submerged inlet, was developed by the U.S. National Advisory Committee for Aeronautics (NACA) in the 1940s as a low-drag device for drawing air into a vehicle [21]. Unlike protruding scoops, which disrupt external flow and introduce significant parasitic drag, a NACA duct is flush-mounted to the vehicle surface. Its geometry employs a shallow ramp with gently diverging sidewalls, creating counter-rotating vortices that energize the boundary layer and improve flow capture.
Operating Principle
The key to the NACA duct’s performance lies in its ability to ingest air from above the boundary layer. The diverging sidewalls generate vortices that entrain high-energy air into the duct, overcoming the naturally low velocity of the near-wall region. This vortex action reduces flow separation, increases mass flow capture, and allows the duct to achieve relatively high pressure recovery compared to simple slots or flush holes.
Governing Parameters
The primary geometric and flow parameters that define the performance of a NACA duct are as follows:
  • Ramp angle ( θ ): Typically 5 ° 7 ° . Angles larger than 10 ° tend to cause flow separation, while very shallow angles reduce penetration into the boundary layer.
  • Length-to-depth ratio ( L / d ): A value of approximately 7:1 is often cited as optimal for gradual pressure recovery.
  • Sidewall divergence angle: Around 7 ° 10 ° per side, sufficient to generate strong vortices without inducing separation.
  • Width-to-length ratio (W/L): Empirically effective in the range 0.1–0.2.
  • Placement: The duct must be located in a region of a thin boundary layer, free from upstream disturbances such as protuberances or surface discontinuities. Performance degrades substantially if the duct is positioned downstream of antennas, joints, or canopy edges.
Performance Metrics
The effectiveness of a NACA duct is typically characterized by the following:
  • Pressure recovery coefficient (Cp): The ratio of static pressure recovered at the duct entrance to the free-stream dynamic pressure. Well-designed NACA ducts achieve Cp = 0.6–0.9.
  • Mass flow ratio ( m ˙ / m ˙ ideal ): The ratio of actual mass flow to the ideal captured mass flow. NACA ducts generally achieve 60–80% of the ideal intake capacity.
Design Methodology
A practical methodology for designing a NACA duct follows these steps:
  • Define requirements: Determine the required mass flow rate m ˙ r e q for cooling or combustion, based on thermal loads and allowable temperature rise:
    m ˙ r e q = Q C p Δ T
    where Q is the heat load, C p is the specific heat capacity of air, and Δ T is the allowable temperature rise.
  • Estimate inlet area: Relate required mass flow to duct area using free-stream conditions and an assumed capture efficiency η :
    m ˙ r e q = ρ A e f f U η
    where ρ is air density, U is free-stream velocity, and η typically lies between 0.6 and 0.8 for NACA ducts.
  • Select geometry: Choose the ramp angle, divergence angle, and length-to-depth ratio within the recommended ranges. Define duct length L from aspect ratio constraints; then compute width W from the required area.
  • Integrate into CAD: Place the duct in regions of a thin, stable boundary layer. Avoid proximity to surface-mounted equipment or flow disturbances.
  • Validate with CFD or testing: Because NACA ducts are highly sensitive to local flow conditions and angle of attack (AoA), validation through computational fluid dynamics or wind tunnel testing is essential. Adjustments to ramp angle or divergence angle may be required if flow separation or reduced intake is observed.

2.2.3. Detailed Cooling System Design

In the detailed design phase, the geometry selected from the preliminary stage was refined and integrated into the complete UAV assembly. The focus of this stage was on ensuring aerodynamic compatibility, manufacturability, and thermal effectiveness within the constraints of the UAV’s fuselage layout. The internal ducting system was modeled in greater detail, incorporating flow guides, heat sinks, and mounting interfaces for the propulsion and electronic components to ensure efficient airflow distribution and minimal pressure losses. High-fidelity external and internal CFD simulations were conducted to evaluate the coupled aerodynamic and thermal performance of the complete system under representative flight conditions. These analyses assessed the volume flow rate (VFR) through the cooling channels, the local velocity distribution around critical components, and the incremental drag contribution of the duct system. The results of this phase guided minor geometric refinements aimed at improving flow uniformity and mitigating localized recirculation regions, leading to the final validated duct configuration for integration into the UAV prototype.

2.3. High-Fidelity CFD Aerodynamics

A detailed numerical investigation of the baseline UAV aerodynamic performance was previously conducted in [17], where a high-fidelity CFD model was developed based on the UAV’s external geometry to evaluate various winglet configurations. Simulations were performed in ANSYS Fluent 2025 R1 using the Reynolds-Averaged Navier–Stokes (RANS) equations with the Spalart–Allmaras turbulence model under steady, incompressible flow conditions. The computational setup, including domain size, boundary conditions, and mesh parameters, was validated through a mesh independence study, ensuring reliable aerodynamic coefficient predictions across various angles of attack.

3. Results

3.1. Conceptual Design Stage

3.1.1. Motor Cooling Calculations (First Iteration)

The propulsion motor was modeled as a cylindrical body of d = 70 mm and L = 65 mm, with a heat dissipation of Q = 36.8 W under full electrical load (460 W input, 92% efficiency).
Assumptions:
  • Inlet air temperature: T i n = 55   ° C (post-ESC heating).
  • Outlet air temperature: T o u t = 60   ° C.
  • Maximum allowable motor surface temperature: T s 92   ° C.
Step 1—Mass flow rate:
m ˙ = Q C p ( T o u t T i n )
Step 2—Volume flow rate:
V = m ˙ ρ
Step 3—Required channel area:
A m i n = V U
Step 4—Surface temperature check:
Reynolds number:
R e = U L c ν 4
Nusselt number:
N u = 0.3 R e 0.6 P r 0.33
Convective coefficient:
h = N u · k L c
Surface temperature:
T s = T + Q h A s

3.1.2. ESC and PCDU Cooling Calculations

Using the same methodology applied for the motor cooling calculations, the required mass flow rate, channel cross-sectional area, and inlet area were also determined for the Electronic Speed Controller (ESC) and the Power Conditioning and Distribution Unit (PCDU). These calculations were based on the cooling airflow requirements derived from the heat loads associated with each component’s heat sinks, ensuring adequate thermal management across all critical onboard systems.
  • ESC characteristics and results:
  • Heat dissipation: Q = 11 W (with safety factor).
  • Inlet air temperature: 50   ° C.
  • Outlet air temperature: 55   ° C.
Selected channel area for ESC (10% margin): 566 mm2.
  • PCDU heat loads
  • Heat sink 1: 37.4 W → requires 8 m/s.
  • Heat sink 2: 6.6 W → requires 1.5 m/s.
  • Heat sink 3: 5.5 W → requires 0.5 m/s.
  • Channel areas:
  • HS1: 902 mm2 (selected 992 mm2).
  • HS2: 1769 mm2 (selected 1946 mm2).
  • HS3: 5307 mm2 (selected 5837 mm2).
All selected areas included a +10% safety margin.

3.1.3. Summary of Conceptual Results

  • Motor cooling (first iteration) required ≥13 m/s velocity and a 610 mm2 channel area; the refined second iteration allowed for ≥12 m/s and a 1659 mm2 channel area.
  • ESC cooling was satisfied by a 566 mm2 channel area at 14 m/s.
  • PCDU cooling was ensured through three separate duct streams sized between 992 and 5837 mm2.
  • Outlet area margins (30% or more) reduced pressure losses and improve flow stability.
  • The inlet areas for each duct were calculated to be equal to 500 mm2, 431 mm2, and 531 mm2, as can be seen in Figure 3.
These results confirmed that the initial geometry constraints could accommodate the calculated duct areas, supporting the transition to detailed CAD-based design and subsequent CFD validation.

3.2. Preliminary Design Stage

NACA Duct Optimization for Specific Purposes

For this specific study, NACA duct optimization was conducted to determine the most efficient configuration for the UAV’s cooling system. Following the first two steps of the design methodology—the conceptual design of the inlets based on the required mass flow rate and inlet area—the process proceeded to the third step, which involved selecting the geometrical characteristics of the NACA duct to be implemented on this UAV.
An SBO (surrogate-based optimization) framework was developed and employed to identify the optimal geometric parameters of the NACA duct, namely the ramp angle, divergence angle, length-to-depth ratio (L/D), and width-to-length ratio (W/L). The surrogate model employed in the SBO procedure was validated using Leave-One-Out (LOO) Cross-Validation. The complete LOO formulation and the corresponding error metrics (RMSE, relative RMSE, and predictive R-squared) are reported in Appendix A. The optimization framework directly coupled the SBO algorithm with high-fidelity aerodynamic simulations performed through computational fluid dynamics (CFD), ensuring an accurate evaluation of duct performance across the design space.
The objective function of the optimization was defined to maximize the volume flow rate (VFR) through the duct, subject to a constraint on minimizing the drag increase induced by the duct’s presence on the UAV’s external surface. This balance ensures both efficient airflow capture and aerodynamic integrity of the overall design.
The lower and upper bounds for each geometric parameter considered in the optimization process are presented below:
  • Ramp angle:  4 ° 9 ° .
  • Divergence wall angle:  6 ° 12 ° .
  • Length-to-depth ratio:  7–15.
  • Width-to-length ratio:  0.2 0.35 .
The SBO sample size was defined as 40, corresponding to 10 times the number of design variables, following established recommendations in the literature (Forrester et al. [15]). A total of 30 infill points—equivalent to 75% of the initial sample size—were subsequently generated to improve the accuracy of the surrogate model and refine the search for the optimal configuration.
Table 3 presents the geometric parameter values of the 30 infill points evaluated during the SBO process, while Table 4 summarizes the corresponding VFR and drag difference results obtained from the CFD simulations for each configuration. The optimized NACA duct geometry identified through this framework is illustrated in Figure 4, representing the configuration that achieved the maximum VFR while maintaining a minimal drag penalty.
The selected optimized NACA duct geometry obtained from the SBO framework was subsequently implemented for the three inlet areas defined during the conceptual design phase and integrated into the UAV model, as shown in Figure 5. High-fidelity aerodynamic simulations were then conducted using computational fluid dynamics (CFD) to analyze the external airflow around the UAV. In these simulations, the inlet areas were defined as pressure outlet boundary conditions to extract the volume flow rate (VFR) through each duct.
In addition to the optimized NACA ducts, two alternative configurations were evaluated for comparison: NACA ducts designed according to Frick’s geometric formulation [21] and simple rectangular ducts of equivalent inlet area. Frick’s NACA duct, originally developed and validated by Frick et al. in a series of NASA experimental studies, is considered a benchmark configuration for low-profile, submerged inlets operating in subsonic flow regimes. Its well-documented aerodynamic characteristics, including pressure recovery and drag behavior, make it a reliable standard for evaluating alternative duct designs in both aircraft and UAV applications. The rectangular duct, on the other hand, was included as a baseline non-optimized configuration representing a simple, manufacturable inlet geometry with no curvature or contouring features. These comparative simulations enabled an assessment of the relative aerodynamic efficiency and flow capture performance of each configuration. Table 5 presents the dimensions of each duct according to Frick’s geometric characteristics of NACA ducts, while Table 6 presents the divergence wall coordinates for the NACA ducts.
NACA ducts, according to Frick’s geometrical characteristics, can be seen installed on the UAV in Figure 6, while the installed normal rectangular ducts can be seen in Figure 7.
The results of the drag coefficient ( C D ) calculation for each duct configuration installed on the UAV, evaluated across a range of flight velocities, are presented in Figure 8. In addition, the corresponding lift-to-drag ratios ( L / D ) for each configuration are also shown, providing a comparative assessment of the overall aerodynamic performance of the UAV for the optimized NACA duct, the standard NACA duct based on Frick’s geometry, and the simple rectangular duct design.
Table 7 and Table 8 present the differences in the drag coefficient ( Δ C D ) and lift-to-drag ratio ( Δ L / D ), respectively, between the clean UAV configuration (without ducts) and the three duct configurations—namely, the optimized NACA duct, the standard NACA duct (Frick’s geometry), and the rectangular duct. These comparisons provide a quantitative assessment of the aerodynamic impact of each duct design on the overall performance and efficiency of the UAV.
The results of the CFD analyses for the volume flow rate and aerodynamic performance of each duct configuration are presented in Figure 9, Figure 10, Figure 11, Figure 12, Figure 13. Specifically, Figure 9 illustrates the volume flow rate (VFR) obtained for each duct type and configuration across a range of flight velocities, while Figure 10 and Figure 11 present the differences between the two NACA duct types according to the velocity contours on their inlet, and streamlines of the airflow around them. Figure 12 presents the variation of the VFR for each duct and configuration as a function of both the angle of attack (AoA) and velocity, providing insight into the ducts’ sensitivity to different flight conditions. Finally, Figure 13 shows the drag coefficient of the UAV for each duct configuration at various angles of attack and flight velocities, enabling a comparative evaluation of the aerodynamic penalties associated with each design.
Figure 9 indicates that the Frick NACA duct configuration is less effective than the other two configurations in terms of volume flow rate performance. Furthermore, the results show that the SBO-optimized NACA duct provides superior airflow capture on the upper surface of the UAV (duct-1), demonstrating its effectiveness in that location. Conversely, for the ducts positioned on the lower surface of the UAV, the rectangular duct configuration achieves higher volume flow rates compared to both NACA duct designs, suggesting that the rectangular inlet geometry performs more efficiently under the local flow conditions on the lower fuselage.
Figure 10 and Figure 11 illustrate the velocity contours at the inlet and the corresponding velocity streamlines for the SBO-optimized NACA duct and Frick’s NACA duct, respectively, at an angle of attack of 0 ° . Frick’s NACA duct exhibits a larger separation vortex near the downstream edge of the inlet, which results in greater flow distortion and energy loss within the boundary layer. In contrast, the SBO-optimized duct shows a smoother and more confined vortex, indicating a smoother acceleration of the incoming flow toward the throat region. This improvement reduces local velocity deficits and enhances the overall volume flow rate (VFR) at the duct exit. The velocity contours confirm this behavior, showing higher and more uniform inlet velocities for the SBO-optimized configuration compared with Frick’s baseline geometry.
Figure 12 shows trends similar to those observed in Figure 9, confirming the comparative performance of the different duct configurations. Additionally, due to the vortex created by the change in the angle of attack (AoA), the volume flow rate (VFR) for duct-1 (located on the upper surface of the UAV) decreases as the AoA increases from 2 ° to 6 ° for each type of duct. However, it then starts to rise again because the vortex then becomes beneficial to the airflow near the inlet for greater angles of attack. Throughout this variation, the SBO-optimized NACA duct consistently demonstrates the highest airflow efficiency, maintaining superior VFR values compared to both the Frick NACA duct and rectangular duct configurations.
Figure 13, which presents the drag coefficient ( C D ) of the UAV for each duct configuration across various angles of attack (AoAs), reveals distinct performance trends. It can be observed that the rectangular duct configuration exhibits the lowest drag among all configurations at low angles of attack ( 0 ° 4 ° ). However, as the AoA increases from 4 ° to 10 ° , the NACA duct configurations become aerodynamically more efficient, demonstrating lower drag coefficients compared to the rectangular design. Within this higher AoA range, the Frick NACA duct shows the best drag performance, achieving the lowest overall drag coefficient among the evaluated configurations.

3.3. Detailed Design Stage

3.3.1. First Iteration

For the detailed design of the UAV’s air duct system, a NACA duct with the geometric characteristics obtained from the preliminary design optimization study, as demonstrated earlier, was incorporated on the upper surface of the fuselage to provide airflow for heat sinks 2 and 3. This configuration was selected based on its favorable aerodynamic performance, offering efficient airflow capture and pressure recovery across a range of flight velocities and angles of attack. These characteristics were confirmed through CFD external flow analyses performed during the preliminary design phase, which demonstrated that the NACA duct ensured consistent airflow delivery to the associated heat sinks under representative flight conditions.
A simple air duct was installed on the lower surface of the fuselage to cool heat sink 1. This configuration was chosen for its superior airflow behavior along the lower fuselage, as well as its ability to maintain adequate cooling performance while introducing minimal additional aerodynamic drag, particularly at a zero-degree angle of attack.
For the motor cooling system, an additional simple air duct was installed on the upper surface of the fuselage. This configuration was primarily determined by the internal design constraints and the spatial arrangement of the UAV’s components, which limited the available options for duct placement. As a result of these internal layout considerations, the ESC was positioned on the lower surface of the fuselage, allowing its heat sink to be directly exposed to the external airflow. This approach eliminated the need for an internal ducted cooling system for the ESC while still ensuring adequate convective heat dissipation during flight.
Overall, these air duct configurations were selected to balance aerodynamic efficiency, cooling effectiveness, and structural integration, ensuring optimal thermal management performance while maintaining the UAV’s external aerodynamic integrity. Figure 14 shows the final duct selection and positioning of the external surfaces of the UAV.
Figure 15 presents the results of the VFR for each duct configuration across various flight velocities and angles of attack (AoAs). These results correspond to the duct geometries selected during the detailed design phase and provide a comparative assessment of their aerodynamic and cooling performance under different operating conditions.
Subsequently, the interior of the UAV was modeled as a fluid domain for the internal flow CFD analysis. The air duct inlets were defined as mass flow inlet boundary conditions, with the average mass flow rates corresponding to those obtained from the external aerodynamic analysis of the UAV. This ensured consistency between the external and internal flow simulations. The outlets were set as pressure outlet boundaries, allowing the airflow to exit the system freely while maintaining realistic pressure gradients throughout the internal domain.
The computational mesh was generated using a poly-hexcore meshing strategy, which combines hexahedral cells in the core regions with polyhedral transition layers near complex geometries. This approach provided an optimal balance between numerical accuracy and computational efficiency. Fine near-wall refinements were applied around the heat sinks, air ducts, and motor housing, ensuring a dimensionless wall distance ( Y + ) of approximately 1 to accurately resolve the boundary layer without relying on wall functions, as can be seen in Figure 16.
The simulations were performed using the steady-state Reynolds-Averaged Navier–Stokes (RANS) equations with the k ϵ SST turbulence model, chosen for its capability to predict adverse pressure gradients, flow separation, and near-wall turbulence behavior in internal aerodynamic applications. Air was modeled as an incompressible fluid under standard atmospheric conditions, given the moderate flow velocities involved. The analysis focused on evaluating the airflow distribution, velocity profiles, and temperature gradients around the PCDU heat sinks and the motor, providing insights into the cooling efficiency and overall thermal management performance of the UAV’s internal design.
The results of the internal CFD analysis are presented in Figure 17, Figure 18, Figure 19 and Figure 20 which show the velocity field contours around the three PCDU heat sinks and the motor. As observed, the airflow around the PCDU heat sinks is sufficient to ensure adequate cooling performance, meeting the thermal management requirements established during the preliminary design phase. However, the airflow around the motor does not achieve the required minimum velocity of 13 m/s, as defined in the earlier design calculations. This deficiency is primarily attributed to the complexity of the internal geometry and component arrangement, which restricts the airflow from the forward inlets from effectively reaching the motor compartment. Consequently, the airflow streams from the front ducts do not adequately merge with the flow from inlet 3, preventing the desired flow conditions predicted in the conceptual design phase from being achieved in the current internal layout.

3.3.2. Second Iteration

The internal CFD results of the first iteration indicate that, while the PCDU cooling system performs efficiently, the motor cooling configuration requires further optimization. The insufficient airflow in the motor region is likely caused by flow separation, recirculation zones, and limited flow communication between the forward inlets and the aft motor compartment. To address these issues, several design modifications can be considered.
First, the geometry and placement of the air ducts could be adjusted to provide a more direct airflow path toward the motor. Introducing internal flow guides or diverters may help to redirect and accelerate the airflow, improving the local velocity field in the motor zone. Additionally, increasing the inlet area of duct-3 or optimizing its internal curvature could enhance pressure recovery and mass flow delivery to the motor. If structural constraints allow, the repositioning of the motor air inlet closer to regions of higher external dynamic pressure could also improve cooling performance.
Therefore, for the second design iteration, two additional rectangular ducts were implemented on the rear section of the UAV (as can be seen in Figure 21). Each of these ducts had an inlet area equal to half the area of duct-3 and was positioned to enhance the airflow rate and velocity in the motor region. This modification aimed to improve the cooling performance by increasing the mass flow availability and reducing flow stagnation around the motor compartment.
Additionally, a flow guide was installed above heat sink 3 of the PCDU to optimize the local airflow distribution in that region. This modification was introduced because, in the previous configuration, the air velocity around heat sink 3 was within the acceptable limits but close to the lower performance threshold, indicating a limited cooling margin. The addition of the flow guide was intended to direct and stabilize the airflow, thereby improving cooling efficiency and ensuring more uniform thermal performance across all heat sinks.
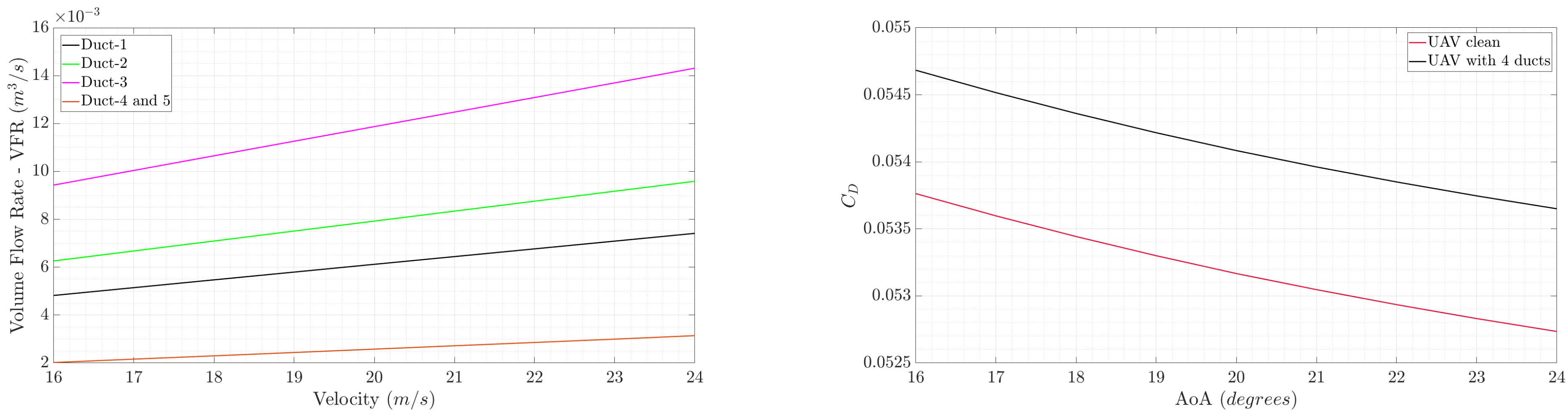
Figure 22 presents the volume flow rate (VFR) results for all four ducts across a range of flight velocities, along with the drag coefficient difference between the UAV equipped with the four ducts and the clean configuration (without ducts on the external surface), while Figure 23 illustrates the variation in the VFR for each duct across a range of flight velocities and angles of attack (AoAs), providing a detailed overview of the ducts’ performance under different aerodynamic conditions.
The minimum volume flow rates (VFRs) obtained from the second external CFD simulation (Figure 23) were used as boundary conditions for the second internal flow analysis of each duct configuration. The corresponding results are presented in Figure 24, Figure 25 and Figure 26. From these results, it was observed that, even under minimum VFR conditions, the airflow distribution around the PCDU heat sinks and the motor successfully met the required cooling airflow levels established during the conceptual design phase. This indicates that the design modifications—including the addition of the rear rectangular ducts and the flow guide above heat sink 3—effectively improved the internal airflow performance and ensured that the thermal management requirements of the UAV were satisfied.

4. Discussion and Conclusions

The present study proposes a comprehensive, multi-fidelity methodology for the thermal management of UAV propulsion and electronic subsystems through ducted forced convection. Beginning with analytical estimations, progressing through surrogate-based optimization, and concluding with high-fidelity CFD validation, the approach successfully demonstrated how aerodynamic efficiency and cooling performance can be jointly achieved in a compact UAV platform.
The conceptual design stage provided the fundamental mass flow and area requirements for the motor, ESC, and PCDU cooling channels, establishing realistic design constraints. These analytical calculations ensured that the overall cooling architecture was dimensionally feasible and aerodynamically integrable within the UAV’s fuselage geometry.
During the preliminary design phase, the surrogate-based optimization (SBO) framework played a pivotal role in refining the geometry of the NACA-type inlet ducts. By coupling Kriging surrogate models with high-fidelity CFD data, SBO enabled the efficient exploration of the geometric design space with significantly reduced computational cost compared to exhaustive CFD-based optimization. The optimized configuration achieved an improved volume flow rate while maintaining negligible drag penalties (below 1%), demonstrating the effectiveness of surrogate modeling for early-stage aerodynamic design. The SBO framework thus provided a balanced trade-off between mass flow performance and aerodynamic efficiency, serving as a reliable foundation for the subsequent detailed design phase.
External CFD analyses confirmed that the SBO-optimized NACA ducts outperformed both standard Frick geometries and equivalent-area rectangular ducts on the UAV’s upper surface, where boundary-layer effects are more pronounced. The optimized ducts maintained superior volume flow rates across a range of flight velocities and angles of attack (achieving an average increase of 10.5% in VFR and a 9.5% reduction in velocity distortion while maintaining a drag penalty below 1% compared to the benchmark Frick’s NACA duct), ensuring consistent air supply to the internal cooling channels. On the lower fuselage, rectangular ducts exhibited marginally higher flow capture due to local pressure distributions, validating the importance of surface placement and the local flow environment in duct selection.
Internal CFD analyses revealed that the first detailed configuration achieved satisfactory cooling performance for the PCDU but required further optimization for the motor region, where limited flow communication led to velocity deficits. The second design iteration, incorporating additional rear ducts and a flow guide above the PCDU heat sink, successfully addressed these limitations by improving local flow uniformity and ensuring that all components received adequate airflow. The revised configuration met all thermal management criteria derived from the conceptual design phase.
Overall, the results demonstrate that integrating surrogate-based optimization in the early design stages significantly enhances the design efficiency and effectiveness of UAV inlet systems. The combination of analytical sizing, SBO-driven geometry refinement, and CFD-based validation constitutes a robust, multi-level design process that balances thermal, aerodynamic, and structural considerations.
Despite these promising results, several limitations of this study should be acknowledged. All CFD analyses were performed under steady-state and uniform inflow conditions, without accounting for unsteady aerodynamic phenomena or flight dynamics, which may influence inlet performance under real operating conditions. Internal component modeling was simplified by prescribing uniform heat fluxes and neglecting detailed conjugate heat transfer effects between the solid and fluid domains. Furthermore, the surrogate-based optimization framework, while efficient, relies on the density and representativeness of the Design of Experiments (DoE) dataset; therefore, highly nonlinear interactions beyond the sampled design space may not be fully captured. Additionally, due to the highly detailed and application-specific geometry of the UAV’s internal cooling layout, a direct comparative analysis with the existing literature is not feasible. Finally, the computational cost associated with both the high-fidelity CFD simulations and the surrogate model training limited the number of design iterations explored.
Future work will focus on the experimental validation of the optimized duct configurations through wind tunnel and thermal chamber testing to further verify the CFD predictions. Additionally, extending the SBO framework to include multi-fidelity modeling and thermal–aerodynamic co-optimization could enable a more accurate prediction of component temperatures and dynamic performance during transient flight conditions.

Author Contributions

Conceptualization, E.N., E.G. and S.K.; methodology, E.N., E.G. and S.K.; software, E.N. and S.K.; validation, E.N. and S.K.; formal analysis, E.N. and S.K.; investigation, E.N. and S.K.; resources, E.N. and S.K.; data curation, E.N. and S.K.; writing—original draft preparation, E.N. and S.K.; writing—review and editing, E.N. and S.K.; visualization, E.N. and S.K.; supervision, S.K., V.L. and V.K.; project administration, E.N., S.K., V.L. and V.K. All authors have read and agreed to the published version of the manuscript.

Funding

This research received no external funding.

Institutional Review Board Statement

Not applicable.

Informed Consent Statement

Not applicable.

Data Availability Statement

The raw data supporting the conclusions of this article will be made available by the authors on request.

Conflicts of Interest

The authors declare no conflicts of interest.

Abbreviations

The following abbreviations are used in this manuscript:
A o A Angle of Attack
A S L Above Sea Level
C F D Computational Fluid Dynamics
D o E Design of Experiments
E S C Electronic Speed Controller
F E M Finite Element Method
F V M Finite Volume Method
M A C Mean Aerodynamic Chord
M S E Mean Squared Error
P C D U Power Conditioning and Distribution Unit
R A N S Reynolds-Averaged Navier–Stokes
S B O Surrogate-Based Optimization
S L Sea Level
U A V Unmanned Aerial Vehicle
V F R Volume Flow Rate

Appendix A. Surrogate Model Validation

The Kriging surrogate model used in the surrogate-based optimization (SBO) framework was assessed using Leave-One-Out Cross-Validation (LOO-CV). For a dataset { ( x i , y i ) } i = 1 n , each LOO realization excludes one sample x i from the training set, refits the model on the remaining n 1 samples, and predicts the response at the left-out point. Denoting the LOO prediction by y ^ i LOO , the LOO residual is
e i = y i y ^ i LOO , i = 1 , , n .
The LOO Root Mean Squared Error (RMSE) is defined as
RMSE LOO = 1 n i = 1 n e i 2 .
To provide a scale-independent measure of accuracy, a relative LOO RMSE is also reported, normalized by the mean absolute value of the response:
rRMSE LOO = 100 × RMSE LOO 1 n i = 1 n | y i | [ % ] .
The predictive coefficient of determination (LOO R 2 ) is computed as
R LOO 2 = 1 SS res SS tot = 1 i = 1 n y i y ^ i LOO 2 i = 1 n y i y ¯ 2 ,
where y ¯ = 1 n i = 1 n y i is the sample mean, SS res is the residual sum of squares, and SS tot is the total sum of squares.
In this study, the Kriging surrogate used for the optimization of the NACA duct geometry achieved
RMSE LOO = 9.39 × 10 5 , rRMSE LOO = 1.39 % , R LOO 2 = 0.632 .
The response values used to train the surrogate lie in a narrow range of approximately 6−7 × 10−3. In this context, the RMSE LOO of 9.39 × 10 5 corresponds to an average prediction error of about 1 2 % of the response magnitude, as reflected by the low rRMSE LOO value (1.39%). This indicates that, in absolute terms, the surrogate reproduces the CFD responses with good accuracy across the sampled design space.
The predictive coefficient of determination R LOO 2 = 0.632 is moderate, but this should be interpreted in light of the low variance of the response. When the true response varies only weakly over the design space, even small absolute discrepancies between y i and y ^ i LOO represent a non-negligible fraction of SS tot , which naturally reduces R LOO 2 despite a small RMSE. In other words, the surrogate model errors are small in magnitude but comparable to the limited spread of the CFD data, which leads to a conservative (lower) R LOO 2 value.
For the purposes of surrogate-based optimization, the combination of low RMSE LOO and rRMSE LOO indicates that the Kriging model is sufficiently accurate to (i) capture the relative trends in the objective function over the design space and (ii) reliably discriminate between competing NACA duct configurations. Therefore, the surrogate can be considered adequate as a screening and interpolation tool within the SBO framework, while final design decisions are confirmed using high-fidelity CFD analyses on the candidate optimal configurations.

References

  1. Bejan, A. Convection Heat Transfer, 4th ed.; John Wiley & Sons: Hoboken, NJ, USA, 2013. [Google Scholar] [CrossRef]
  2. Welty, J.; Wicks, C.E.; Wilson, R.E.; Rorrer, G.L. Fundamentals of Momentum, Heatmass-Transfer, 5th ed.; John Wiley & Sons: Hoboken, NJ, USA, 2007; p. 729. [Google Scholar] [CrossRef]
  3. Incropera, F.; DeWitt, D.; Bergman, T.; Lavine, A. Fundamentals of Heat and Mass Transfer; John Wiley & Sons: Hoboken, NJ, USA, 2007. [Google Scholar]
  4. Papadopoulos, F.; Valakos, I.; Nikolos, I. Design of an S-duct intake for UAV applications. Aircr. Eng. Aerosp. Technol. 2012, 84, 439–456. [Google Scholar] [CrossRef]
  5. Lim, S.; Choi, W.; Park, H. A Study on Design of S-Duct Structures and Air Intake for Small Aircraft Applied to High Strength Carbon–Epoxy Composite Materials. Materials 2022, 15, 3001. [Google Scholar] [CrossRef] [PubMed]
  6. Gil-Prieto, D.; Zachos, P.K.; MacManus, D.G.; McLelland, G. Unsteady characteristics of S-duct intake flow distortion. Aerosp. Sci. Technol. 2019, 84, 938–952. [Google Scholar] [CrossRef]
  7. Jia, W.; Li, G.; Liu, T.; Kong, Q.; Ding, S. Numerical Analysis of the Effect of S-Shaped Duct Key Geometry Parameters on the Inlet Distortion of Distributed Ducted Fans. Aerospace 2025, 12, 316. [Google Scholar] [CrossRef]
  8. Ren, J.; Wu, Z.; Tan, H.; Li, D.; Zhou, Y. Experimental investigation of the aerodynamics of a UAV inlet with double 90° bends. Aerosp. Sci. Technol. 2024, 154, 109502. [Google Scholar] [CrossRef]
  9. He, Y.B.; Yang, Q.Z.; Shi, Y.Q.; Gao, X.; Yang, H.C. Multi-objective optimization design of S-shaped inlet with internal bump. Aerosp. Sci. Technol. 2022, 130, 107901. [Google Scholar] [CrossRef]
  10. Pignier, N.J.; O’Reilly, C.J.; Boij, S. Aerodynamic and aeroacoustic analyses of a submerged air inlet in a low-Mach-number flow. Comput. Fluids 2016, 133, 15–31. [Google Scholar] [CrossRef]
  11. Du, S.; Zha, Y.; Zhao, Q. Aerodynamic Optimization Design of Duct Body Structure for Coaxial Rotor Unmanned Aerial Vehicles. Int. J. Aerosp. Eng. 2024, 2024, 2295279. [Google Scholar] [CrossRef]
  12. Hu, D.; Jia, G.; Yang, X.; Guo, Z. Aerodynamic–Stealth Optimization of an S-Shaped Inlet Based on Co-Kriging and Parameter Dimensionality Reduction. Aerospace 2025, 12, 990. [Google Scholar] [CrossRef]
  13. Nikolaou, E.; Karatzas, E.; Kilimtzidis, S.; Kostopoulos, V. Winglet Design for Class I Mini UAV—Aerodynamic and Performance Optimization. Eng. Proc. 2025, 90, 111. [Google Scholar] [CrossRef]
  14. Forrester, A.I.; Sóbester, A.; Keane, A.J. Multi-fidelity optimization via surrogate modelling. Proc. R. Soc. A Math. Phys. Eng. Sci. 2007, 463, 3251–3269. [Google Scholar] [CrossRef]
  15. Forrester, A.I.J.; Sóbester, A.; Keane, A.J. Engineering Design via Surrogate Modelling; Wiley: Hoboken, NJ, USA, 2008. [Google Scholar] [CrossRef]
  16. Nikolaou, E.; Kilimtzidis, S.; Kostopoulos, V. Multi-Fidelity Surrogate-Assisted Aerodynamic Optimization of Aircraft Wings. Aerospace 2025, 12, 359. [Google Scholar] [CrossRef]
  17. Nikolaou, E.; Kilimtzidis, S.; Kostopoulos, V. Winglet Design for Aerodynamic and Performance Optimization of UAVs via Surrogate Modeling. Aerospace 2025, 12, 36. [Google Scholar] [CrossRef]
  18. Kilimtzidis, S.; Kostopoulos, V. Static Aeroelastic Optimization of High-Aspect-Ratio Composite Aircraft Wings via Surrogate Modeling. Aerospace 2023, 10, 251. [Google Scholar] [CrossRef]
  19. Kontogiannis, S.G.; Savill, M.A. A generalized methodology for multidisciplinary design optimization using surrogate modelling and multifidelity analysis. Optim. Eng. 2020, 21, 723–759. [Google Scholar] [CrossRef]
  20. Martins, J.R.; Lambe, A.B. Multidisciplinary Design Optimization: A Survey of Architectures. AIAA J. 2021, 51, 2049–2075. [Google Scholar] [CrossRef]
  21. Frick, C.; Davis, W.F.W.; Randall, L.; Mossman, E.A. An Experimental Investigation of NACA Submerged-Duct Entrances; Technical Report; NASA Ames Research Center NACA-MR-A5E23: Washington, DC, USA, 1945. [Google Scholar]
Figure 1. Baseline UAV configuration.
Figure 1. Baseline UAV configuration.
Applsci 15 12508 g001
Figure 2. Conceptual interior design, showing heat sinks (HSs) and boundary conditions.
Figure 2. Conceptual interior design, showing heat sinks (HSs) and boundary conditions.
Applsci 15 12508 g002
Figure 3. The required areas and airflows obtained from the conceptual design.
Figure 3. The required areas and airflows obtained from the conceptual design.
Applsci 15 12508 g003
Figure 4. Optimized geometrical characteristics for the NACA duct.
Figure 4. Optimized geometrical characteristics for the NACA duct.
Applsci 15 12508 g004
Figure 5. Optimized NACA ducts installed.
Figure 5. Optimized NACA ducts installed.
Applsci 15 12508 g005
Figure 6. Frick’s NACA ducts installed.
Figure 6. Frick’s NACA ducts installed.
Applsci 15 12508 g006
Figure 7. Normal ducts installed.
Figure 7. Normal ducts installed.
Applsci 15 12508 g007
Figure 8. Aerodynamic coeff. for various duct designs.
Figure 8. Aerodynamic coeff. for various duct designs.
Applsci 15 12508 g008
Figure 9. VFR vs. velocity for duct-1 (a), duct-2 (b), and duct-3 (c).
Figure 9. VFR vs. velocity for duct-1 (a), duct-2 (b), and duct-3 (c).
Applsci 15 12508 g009
Figure 10. Velocity contour and streamlines of SBO NACA duct.
Figure 10. Velocity contour and streamlines of SBO NACA duct.
Applsci 15 12508 g010
Figure 11. Velocity contour and streamlines of Frick’s NACA duct.
Figure 11. Velocity contour and streamlines of Frick’s NACA duct.
Applsci 15 12508 g011
Figure 12. VFR vs. AoA for duct-1 (a), duct-2 (b), and duct-3 (c).
Figure 12. VFR vs. AoA for duct-1 (a), duct-2 (b), and duct-3 (c).
Applsci 15 12508 g012
Figure 13. CD vs. velocities of each duct design for 2 ° A o A (a), 6 ° A o A (b), 8 ° A o A (c), and 10 ° A o A (d).
Figure 13. CD vs. velocities of each duct design for 2 ° A o A (a), 6 ° A o A (b), 8 ° A o A (c), and 10 ° A o A (d).
Applsci 15 12508 g013
Figure 14. Final duct selection.
Figure 14. Final duct selection.
Applsci 15 12508 g014
Figure 15. VFR vs. velocities for each duct (a) and VFR vs. AoA for duct-1 (b), VFR vs. AoA for duct-2 (c), and dVFR vs. AoA for duct-3 (d).
Figure 15. VFR vs. velocities for each duct (a) and VFR vs. AoA for duct-1 (b), VFR vs. AoA for duct-2 (c), and dVFR vs. AoA for duct-3 (d).
Applsci 15 12508 g015
Figure 16. Interior mesh and Y-plus allocation.
Figure 16. Interior mesh and Y-plus allocation.
Applsci 15 12508 g016
Figure 17. Velocity over heat sink 2—1st iteration.
Figure 17. Velocity over heat sink 2—1st iteration.
Applsci 15 12508 g017
Figure 18. Velocity over heat sink 3—1st iteration.
Figure 18. Velocity over heat sink 3—1st iteration.
Applsci 15 12508 g018
Figure 19. Velocity over heat sink 1—1st iteration.
Figure 19. Velocity over heat sink 1—1st iteration.
Applsci 15 12508 g019
Figure 20. Velocity over motor—1st iteration.
Figure 20. Velocity over motor—1st iteration.
Applsci 15 12508 g020
Figure 21. Additional ducts of the 2nd internal iteration.
Figure 21. Additional ducts of the 2nd internal iteration.
Applsci 15 12508 g021
Figure 22. Volume flow rate for each duct and drag coefficient comparison from clean UAV for various velocities.
Figure 22. Volume flow rate for each duct and drag coefficient comparison from clean UAV for various velocities.
Applsci 15 12508 g022
Figure 23. VFR vs. AoA for duct-1 (a), duct-2 (b), duct-3 (c), and duct-4 (d).
Figure 23. VFR vs. AoA for duct-1 (a), duct-2 (b), duct-3 (c), and duct-4 (d).
Applsci 15 12508 g023
Figure 24. Velocity over heat sink 1—2nd iteration.
Figure 24. Velocity over heat sink 1—2nd iteration.
Applsci 15 12508 g024
Figure 25. Velocity over heat sinks 2 and 3—2nd iteration.
Figure 25. Velocity over heat sinks 2 and 3—2nd iteration.
Applsci 15 12508 g025
Figure 26. Velocity over motor—2nd iteration.
Figure 26. Velocity over motor—2nd iteration.
Applsci 15 12508 g026
Table 1. Characteristics of UAV.
Table 1. Characteristics of UAV.
CharacteristicSymbolValue
Take-off weight (kg) W T O 14.3
Wing area (m2) S r e f 0.6
Wingspan (m) b w 2.3
UAV length (m)l1.6
Wing aspect ratioAR8.8
Wing taper ratio λ 0.5
Table 2. UAV’s main velocities.
Table 2. UAV’s main velocities.
Flight PhaseVelocity, m/s
Climb19.2
Cruise23.7
Loiter21.3
Table 3. Geometric characteristics of 30 infill points of NACA duct.
Table 3. Geometric characteristics of 30 infill points of NACA duct.
Infill θ ϕ L / d W / L
14.0617.21611.3440.323
24.03611.9997.0000.200
34.0036.0007.0000.219
48.99911.99915.0000.280
58.97712.0007.0000.286
69.00012.00015.0000.350
74.0006.00015.0000.256
84.0006.0007.0000.267
99.0009.57315.0000.247
104.00011.9987.0000.342
119.0006.00012.4700.206
124.00011.99811.6640.248
139.0006.00315.0000.242
149.00011.99415.0000.305
157.72912.00013.5630.233
169.0006.00011.2420.350
177.75012.00015.0000.242
189.00012.00015.0000.226
198.99812.00015.0000.200
207.73612.00015.0000.200
214.00012.00015.0000.350
229.00012.00013.9960.200
238.99912.0007.0000.200
244.00012.00014.9990.200
258.72812.00015.0000.200
266.3316.00015.0000.350
276.6116.00015.0000.200
287.1386.0007.0000.200
297.02312.00011.5010.320
305.54311.99611.0000.200
Table 4. Results for 30 infill points.
Table 4. Results for 30 infill points.
Infill VFR Δ C D
1−0.0066261.27%
2−0.0067351.30%
3−0.0065032.14%
4−0.0069591.28%
5−0.0066591.68%
6−0.0067811.27%
7−0.0066870.96%
8−0.0064062.24%
9−0.0069581.02%
10−0.0064571.86%
11−0.0068711.30%
12−0.0067640.86%
13−0.0068881.31%
14−0.0069141.30%
15−0.0070021.07%
16−0.0066911.74%
17−0.0070161.08%
18−0.0070571.22%
19−0.0070871.21%
20−0.0070621.13%
21−0.0065781.02%
22−0.0070721.19%
23−0.0067571.44%
24−0.0067430.72%
25−0.0071021.16%
26−0.0066851.44%
27−0.0068941.07%
28−0.0066621.91%
29−0.0068001.32%
30−0.0068010.95%
Table 5. Main dimensions of Frick’s duct [21].
Table 5. Main dimensions of Frick’s duct [21].
Depth, dLength, LWidth, WRamp Angle, d
- 11 . 31 · d 4 . 00 · d 7 °
10.65 mm120.45 mm42.60 mm 7 °
11.20 mm126.67 mm44.80 mm 7 °
11.75 mm132.89 mm47.00 mm 7 °
Table 6. Divergence wall coordinates [21].
Table 6. Divergence wall coordinates [21].
Length Ratio, x / L Width Ratio, y / W
00.5
0.10.497
0.20.457
0.30.382
0.40.307
0.50.233
0.60.195
0.70.157
0.80.118
0.90.08
10.042
Table 7. Drag coefficient differences from clean UAV.
Table 7. Drag coefficient differences from clean UAV.
Velocity (m/s) C D clean C D SBO opt . C D Frick s C D Normal
160.0537630.71%0.68%0.43%
170.0535970.71%0.68%0.43%
180.0534430.71%0.68%0.43%
190.0533000.70%0.69%0.43%
200.0531670.71%0.69%0.43%
210.0530470.70%0.69%0.42%
220.0529350.70%0.68%0.42%
230.0528310.71%0.68%0.42%
240.0527350.70%0.68%0.42%
Table 8. Lift-to-drag ratio differences from clean UAV.
Table 8. Lift-to-drag ratio differences from clean UAV.
Velocity (m/s) C D clean C D SBO opt . C D Frick s C D Normal
1615.624−0.90%−0.84%−0.65%
1715.698−0.90%−0.84%−0.64%
1815.768−0.90%−0.84%−0.64%
1915.833−0.90%−0.84%−0.64%
2015.894−0.90%−0.84%−0.63%
2115.950−0.90%−0.84%−0.63%
2216.004−0.90%−0.84%−0.62%
2316.053−0.90%−0.84%−0.62%
2416.099−0.90%−0.84%−0.62%
Disclaimer/Publisher’s Note: The statements, opinions and data contained in all publications are solely those of the individual author(s) and contributor(s) and not of MDPI and/or the editor(s). MDPI and/or the editor(s) disclaim responsibility for any injury to people or property resulting from any ideas, methods, instructions or products referred to in the content.

Share and Cite

MDPI and ACS Style

Nikolaou, E.; Kilimtzidis, S.; Giannaros, E.; Lappas, V.; Kostopoulos, V. Thermal Management of Unmanned Aerial Vehicle Power Systems Using Ducted Forced Convection and Computational Fluid Dynamic Validation. Appl. Sci. 2025, 15, 12508. https://doi.org/10.3390/app152312508

AMA Style

Nikolaou E, Kilimtzidis S, Giannaros E, Lappas V, Kostopoulos V. Thermal Management of Unmanned Aerial Vehicle Power Systems Using Ducted Forced Convection and Computational Fluid Dynamic Validation. Applied Sciences. 2025; 15(23):12508. https://doi.org/10.3390/app152312508

Chicago/Turabian Style

Nikolaou, Eleftherios, Spyridon Kilimtzidis, Efthymios Giannaros, Vaios Lappas, and Vassilis Kostopoulos. 2025. "Thermal Management of Unmanned Aerial Vehicle Power Systems Using Ducted Forced Convection and Computational Fluid Dynamic Validation" Applied Sciences 15, no. 23: 12508. https://doi.org/10.3390/app152312508

APA Style

Nikolaou, E., Kilimtzidis, S., Giannaros, E., Lappas, V., & Kostopoulos, V. (2025). Thermal Management of Unmanned Aerial Vehicle Power Systems Using Ducted Forced Convection and Computational Fluid Dynamic Validation. Applied Sciences, 15(23), 12508. https://doi.org/10.3390/app152312508

Note that from the first issue of 2016, this journal uses article numbers instead of page numbers. See further details here.

Article Metrics

Back to TopTop