Entry Status Matters: A Case Study on Running Performance Profiles of Starters and Substitutes in the Initial 15 Min of Professional Football Matches
Abstract
1. Introduction
2. Materials and Methods
2.1. Participants
2.2. Experimental Design
2.3. Statistical Analysis
3. Results
3.1. Comparison of the Different Periods When Participating as Starters vs. as Substitutes
3.2. Comparison of the Different Periods When Participating as Starters vs. as Substitutes
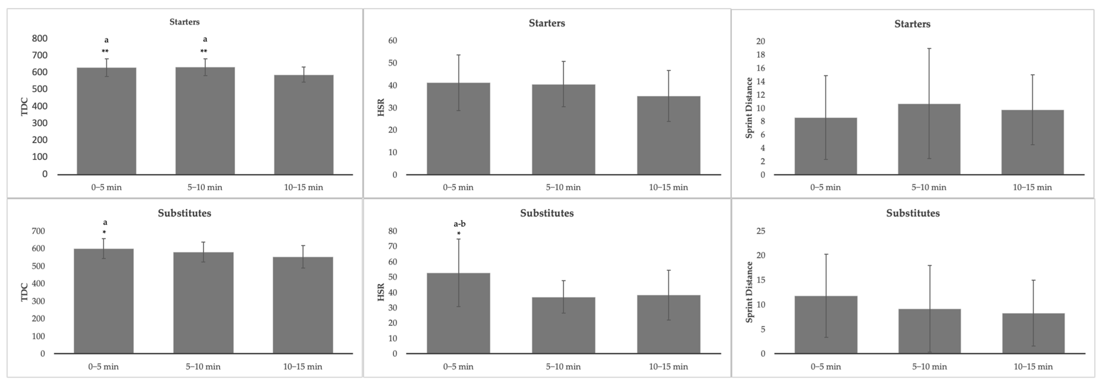
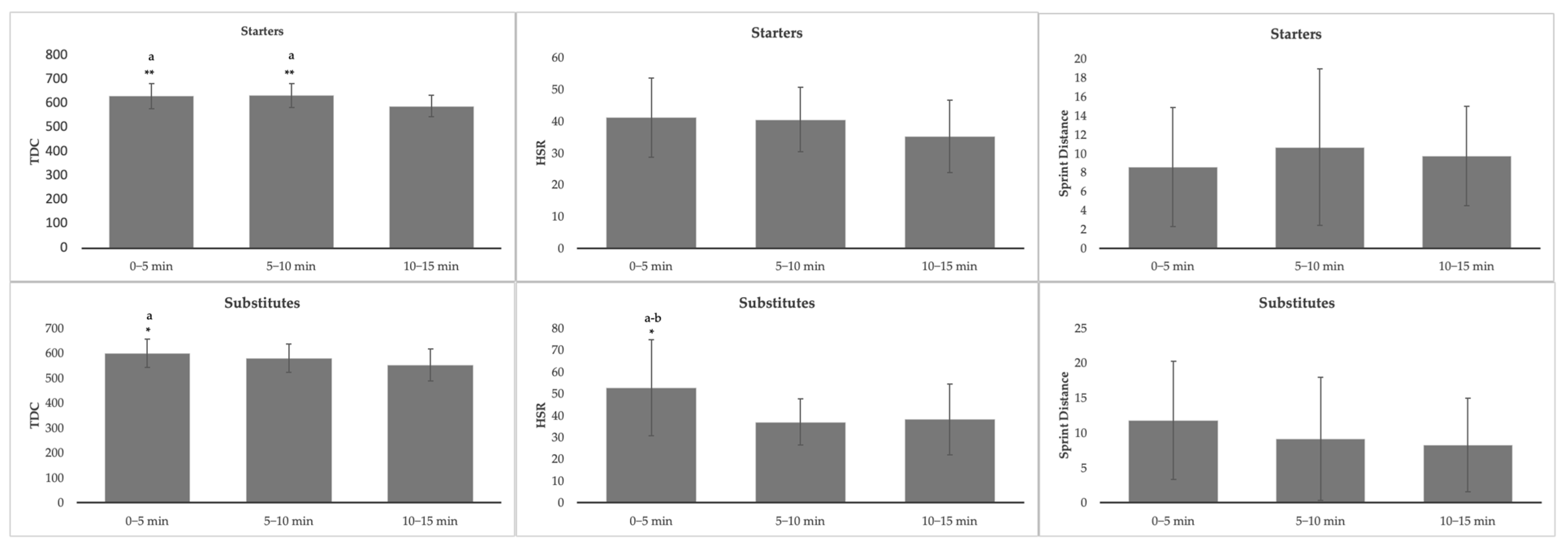
3.3. Formatting Comparison of Progression Across Three 5-Min Periods in Starters and Substitutes
4. Discussion
5. Conclusions
Author Contributions
Funding
Institutional Review Board Statement
Informed Consent Statement
Data Availability Statement
Conflicts of Interest
References
- Dolci, F.; Hart, N.H.; Kilding, A.E.; Chivers, P.; Piggott, B.; Spiteri, T. Physical and Energetic Demand of Soccer: A Brief Review. Strength Cond. J. 2020, 42, 70–77. [Google Scholar] [CrossRef]
- Faude, O.; Koch, T.; Meyer, T. Straight Sprinting Is the Most Frequent Action in Goal Situations in Professional Football. J. Sports Sci. 2012, 30, 625–631. [Google Scholar] [CrossRef] [PubMed]
- Asián Clemente, J.A.; Asín Izquierdo, I.; Mueriarte, D.; Beltrán Garrido, J.V.; Galiano De La Rocha, C. External Load of Soccer Players in the Moments before and after a Goal. Retos 2025, 67, 337–348. [Google Scholar] [CrossRef]
- Sinulingga, A.R.; Slaidiņš, K.; Salajeva, A.; Liepa, A.; Pontaga, I. Effect of Integrative Balance and Plyometric Training on Balance, Ankle Mobility, and Jump Performance in Youth Football Players: A Randomized Controlled Trial. Phys. Act. Health 2025, 9, 146–160. [Google Scholar] [CrossRef]
- Barnes, C.; Archer, D.; Hogg, B.; Bush, M.; Bradley, P. The Evolution of Physical and Technical Performance Parameters in the English Premier League. Int. J. Sports Med. 2014, 35, 1095–1100. [Google Scholar] [CrossRef]
- Mohr, M.; Krustrup, P.; Bangsbo, J. Match Performance of High-Standard Soccer Players with Special Reference to Development of Fatigue. J. Sports Sci. 2003, 21, 519–528. [Google Scholar] [CrossRef]
- Waldron, M.; Highton, J. Fatigue and Pacing in High-Intensity Intermittent Team Sport: An Update. Sports Med. 2014, 44, 1645–1658. [Google Scholar] [CrossRef] [PubMed]
- Rampinini, E.; Coutts, A.; Castagna, C.; Sassi, R.; Impellizzeri, F. Variation in Top Level Soccer Match Performance. Int. J. Sports Med. 2007, 28, 1018–1024. [Google Scholar] [CrossRef] [PubMed]
- Fransson, D.; Krustrup, P.; Mohr, M. Running Intensity Fluctuations Indicate Temporary Performance Decrement in Top-Class Football. Sci. Med. Footb. 2017, 1, 10–17. [Google Scholar] [CrossRef]
- Mohr, M.; Krustrup, P.; Andersson, H.; Kirkendal, D.; Bangsbo, J. Match Activities of Elite Women Soccer Players at Different Performance Levels. J. Strength Cond. Res. 2008, 22, 341–349. [Google Scholar] [CrossRef]
- Linke, D.; Link, D.; Weber, H.; Lames, M. Decline in Match Running Performance in Football Is Affected by an Increase in Game Interruptions. J. Sports Sci. Med. 2018, 17, 662–667. [Google Scholar]
- Mohr, M.; Mujika, I.; Santisteban, J.; Randers, M.B.; Bischoff, R.; Solano, R.; Hewitt, A.; Zubillaga, A.; Peltola, E.; Krustrup, P. Examination of Fatigue Development in Elite Soccer in a Hot Environment: A Multi-experimental Approach. Scand. J. Med. Sci. Sports 2010, 20, 125–132. [Google Scholar] [CrossRef]
- Bradley, P.S.; Noakes, T.D. Match Running Performance Fluctuations in Elite Soccer: Indicative of Fatigue, Pacing or Situational Influences? J. Sports Sci. 2013, 31, 1627–1638. [Google Scholar] [CrossRef]
- Sydney, M.; Ball, N.; Mara, J.K.; Chapman, D.; Wollin, M. Substitute Running Outputs in Elite Youth Male Soccer Players:Less Peak but Greater Relative Running Outputs. Biol. Sport 2023, 40, 241–248. [Google Scholar] [CrossRef]
- Bradley, P.S.; Sheldon, W.; Wooster, B.; Olsen, P.; Boanas, P.; Krustrup, P. High-Intensity Running in English FA Premier League Soccer Matches. J. Sports Sci. 2009, 27, 159–168. [Google Scholar] [CrossRef] [PubMed]
- Weston, M.; Batterham, A.M.; Castagna, C.; Portas, M.D.; Barnes, C.; Harley, J.; Lovell, R.J. Reduction in Physical Match Performance at the Start of the Second Half in Elite Soccer. Int. J. Sports Physiol. Perform. 2011, 6, 174–182. [Google Scholar] [CrossRef] [PubMed]
- Zois, J.; Bishop, D.; Fairweather, I.; Ball, K.; Aughey, R. High-Intensity Re-Warm-Ups Enhance Soccer Performance. Int. J. Sports Med. 2013, 34, 800–805. [Google Scholar] [CrossRef] [PubMed]
- Rennie, G.; Chesson, L.; Weaving, D.; Jones, B. The Effects of Rule Changes in Football-Code Team Sports: A Systematic Review. Sci. Med. Footb. 2025, 9, 199–212. [Google Scholar] [CrossRef]
- Bradley, P.S.; Lago-Peñas, C.; Rey, E. Evaluation of the Match Performances of Substitution Players in Elite Soccer. Int. J. Sports Physiol. Perform. 2014, 9, 415–424. [Google Scholar] [CrossRef]
- Hills, S.P.; Barrett, S.; Hobbs, M.; Barwood, M.J.; Radcliffe, J.N.; Cooke, C.B.; Russell, M. Modifying the Pre-Pitch Entry Practices of Professional Soccer Substitutes May Contribute towards Improved Movement-Related Performance Indicators on Match-Day: A Case Study. PLoS ONE 2020, 15, e0232611. [Google Scholar] [CrossRef]
- Bagattini, G.; Asian-Clemente, J.; Ferrini, M.; Garrone, M.; Suarez-Arrones, L. The Effect of the Number of Substitutions on Running Activity in Professional Football Matches: An Observational Study from the Swiss Super League. Appl. Sci. 2025, 15, 4328. [Google Scholar] [CrossRef]
- García-Aliaga, A.; Martín-Castellanos, A.; Marquina Nieto, M.; Muriarte Solana, D.; Resta, R.; López Del Campo, R.; Mon-López, D.; Refoyo, I. Effect of Increasing the Number of Substitutions on Physical Performance during Periods of Congested Fixtures in Football. Sports 2023, 11, 25. [Google Scholar] [CrossRef]
- Liu, H.; Wang, L.; Huang, G.; Zhang, H.; Mao, W. Activity Profiles of Full-match and Substitution Players in the 2018 FIFA World Cup. Eur. J. Sport Sci. 2020, 20, 599–605. [Google Scholar] [CrossRef]
- Carling, C.; Espié, V.; Le Gall, F.; Bloomfield, J.; Jullien, H. Work-Rate of Substitutes in Elite Soccer: A Preliminary Study. J. Sci. Med. Sport 2010, 13, 253–255. [Google Scholar] [CrossRef]
- Bradley, P.S.; Carling, C.; Archer, D.; Roberts, J.; Dodds, A.; Di Mascio, M.; Paul, D.; Gomez Diaz, A.; Peart, D.; Krustrup, P. The Effect of Playing Formation on High-Intensity Running and Technical Profiles in English FA Premier League Soccer Matches. J. Sports Sci. 2011, 29, 821–830. [Google Scholar] [CrossRef] [PubMed]
- Winter, E.M.; Maughan, R.J. Requirements for Ethics Approvals. J. Sports Sci. 2009, 27, 985. [Google Scholar] [CrossRef]
- Hoppe, M.W.; Baumgart, C.; Polglaze, T.; Freiwald, J. Validity and Reliability of GPS and LPS for Measuring Distances Covered and Sprint Mechanical Properties in Team Sports. PLoS ONE 2018, 13, e0192708. [Google Scholar] [CrossRef]
- Edholm, P.; Krustrup, P.; Randers, M.B. Half-time Re-warm up Increases Performance Capacity in Male Elite Soccer Players. Scand. J. Med. Sci. Sports 2015, 25, e40–e49. [Google Scholar] [CrossRef]
- Hills, S.P.; Barrett, S.; Feltbower, R.G.; Barwood, M.J.; Radcliffe, J.N.; Cooke, C.B.; Kilduff, L.P.; Cook, C.J.; Russell, M. A Match-Day Analysis of the Movement Profiles of Substitutes from a Professional Soccer Club before and after Pitch-Entry. PLoS ONE 2019, 14, e0211563. [Google Scholar] [CrossRef] [PubMed]
- Mugglestone, C.; Morris, J.; Saunders, B.; Sunderland, C. Half-Time and High-Speed Running in the Second Half of Soccer. Int. J. Sports Med. 2012, 34, 514–519. [Google Scholar] [CrossRef] [PubMed]
- Rey, E.; Kalén, A.; Lorenzo-Martínez, M.; López-Del Campo, R.; Nevado-Garrosa, F.; Lago-Peñas, C. Elite Soccer Players Do Not Cover Less Distance in the Second Half of the Matches When Game Interruptions Are Considered. J. Strength Cond. Res. 2024, 38, 709–713. [Google Scholar] [CrossRef]
- Asian-Clemente, J.; Suarez-Arrones, L.; Requena, B.; Santalla, A. Influence of Tactical Behaviour on Running Performance in the Three Most Successful Soccer Teams During the Competitive Season of the Spanish First Division. J. Hum. Kinet. 2022, 82, 135–144. [Google Scholar] [CrossRef]
- Plakias, S.; Michailidis, Y. Factors Affecting the Running Performance of Soccer Teams in the Turkish Super League. Sports 2024, 12, 196. [Google Scholar] [CrossRef] [PubMed]
- Altmann, S.; Forcher, L.; Woll, A.; Härtel, S. Effective Playing Time Affects Physical Match Performance in Soccer: An Analysis According to Playing Position. Biol. Sport 2023, 40, 967–973. [Google Scholar] [CrossRef] [PubMed]
- Reilly, T.; Drust, B.; Clarke, N. Muscle Fatigue during Football Match-Play. Sports Med. 2008, 38, 357–367. [Google Scholar] [CrossRef] [PubMed]
- Reche-Soto, P.; Rojas-Valverde, D.; Bastida-Castillo, A.; Gómez-Carmona, C.D.; Rico-González, M.; Palucci Vieira, L.H.; Paolo Ardigò, L.; Pino-Ortega, J. Using Ultra-Wide Band to Analyze Soccer Performance through Load Indicators during a Full Season: A Comparison between Starters and Non-Starters. Appl. Sci. 2022, 12, 12675. [Google Scholar] [CrossRef]
- Modric, T.; Versic, S.; Alexe, D.I.; Gilic, B.; Mihai, I.; Drid, P.; Radulovic, N.; Saavedra, J.M.; Menjibar, R.B. Decline in Running Performance in Highest-Level Soccer: Analysis of the UEFA Champions League Matches. Biology 2022, 11, 1441. [Google Scholar] [CrossRef]
- Di Mascio, M.; Bradley, P.S. Evaluation of the Most Intense High-Intensity Running Period in English FA Premier League Soccer Matches. J. Strength Cond. Res. 2013, 27, 909–915. [Google Scholar] [CrossRef]
- Slimani, M.; Nikolaidis, P.T. Anthropometric and Physiological Characteristics of Male Soccer Players According to Their Competitive Level, Playing Position and Age Group: A Systematic Review. J. Sports Med. Phys. Fitness 2018, 59, 141–163. [Google Scholar] [CrossRef]
- Toselli, S.; Mauro, M.; Grigoletto, A.; Cataldi, S.; Benedetti, L.; Nanni, G.; Di Miceli, R.; Aiello, P.; Gallamini, D.; Fischetti, F.; et al. Assessment of Body Composition and Physical Performance of Young Soccer Players: Differences According to the Competitive Level. Biology 2022, 11, 823. [Google Scholar] [CrossRef]
- Ferraz, R.M.P.; Van Den Tillaar, R.; Pereira, A.; Marques, M.C. The Effect of Fatigue and Duration Knowledge of Exercise on Kicking Performance in Soccer Players. J. Sport Health Sci. 2019, 8, 567–573. [Google Scholar] [CrossRef] [PubMed]


| Running Performance | Period (min) | Starters (m) | Substitutes (m) | p Value | d |
|---|---|---|---|---|---|
| TDC | 0–15 | 1851.3 ± 138.9 | 1728.1 ± 126.9 | 0.00 | −0.84 |
| 0–5 | 631.1 ± 52.1 | 598.7 ± 56.1 | 0.08 | −0.59 | |
| 5–10 | 633.8 ± 50.2 | 578.9 ± 55.9 | 0.01 | −1.04 | |
| 10–15 | 589.6 ± 44.1 | 551.4 ± 64.3 | 0.00 | −0.83 | |
| HSR | 0–15 | 116.8 ± 28.9 | 127.5 ± 35.1 | 0.12 | 0.35 |
| 0–5 | 41.1 ± 12.5 | 52.5 ± 22 | 0.07 | 0.87 | |
| 5–10 | 40.5 ± 10.2 | 36.9 ± 10.5 | 0.19 | −0.33 | |
| 10–15 | 35.2 ± 11.4 | 38.1 ± 16.2 | 0.47 | 0.25 | |
| Sprint Distance | 0–15 | 28.9 ± 14 | 28.3 ± 18.4 | 0.91 | 0.04 |
| 0–5 | 8.6 ± 6.3 | 11.7 ± 8.5 | 0.19 | 0.48 | |
| 5–10 | 10.7 ± 8.3 | 9.1 ± 8.8 | 0.52 | −0.18 | |
| 10–15 | 9.8 ± 5.3 | 8.2 ± 6.7 | 0.36 | −0.27 |
| Running Performance | 0–5 (min) | 5–10 (min) | 10–15 (min) | 0–5 vs. 5–10 (min) | 0–5 vs. 10–15 (min) | 5–10 vs. 10–15 (min) | ||||
|---|---|---|---|---|---|---|---|---|---|---|
| p Value | d | p Value | d | p Value | d | |||||
| Starters | TDC | 631.1 ± 52.1 | 633.8 ± 50.2 | 589.6 ± 44.1 | 0.74 | 0.05 | 0.00 | −0.76 | 0.00 | −0.81 |
| HSR | 41.1 ± 12.5 | 40.5 ± 10.2 | 35.2 ± 11.4 | 0.80 | −0.05 | 0.12 | −0.45 | 0.09 | −0.40 | |
| Sprint Distance | 8.6 ± 6.3 | 10.7 ± 8.3 | 9.75 ± 5.3 | 0.30 | 0.32 | 0.58 | 0.18 | 0.67 | −0.14 | |
| Substitutes | TDC | 598.6 ± 56.1 | 578.94 ± 55.9 | 551.2 ± 64.3 | 0.24 | −0.33 | 0.02 | −0.80 | 0.13 | −0.47 |
| HSR | 52.5 ± 22 | 36.9 ± 10.5 | 38.1 ± 16.2 | 0.02 | −0.67 | 0.02 | −0.62 | 0.74 | 0.05 | |
| Sprint Distance | 11.7 ± 8.5 | 9.1 ± 8.8 | 8.2 ± 6.7 | 0.28 | −0.30 | 0.1 | −0.39 | 0.67 | −0.10 | |
Disclaimer/Publisher’s Note: The statements, opinions and data contained in all publications are solely those of the individual author(s) and contributor(s) and not of MDPI and/or the editor(s). MDPI and/or the editor(s) disclaim responsibility for any injury to people or property resulting from any ideas, methods, instructions or products referred to in the content. |
© 2025 by the authors. Licensee MDPI, Basel, Switzerland. This article is an open access article distributed under the terms and conditions of the Creative Commons Attribution (CC BY) license (https://creativecommons.org/licenses/by/4.0/).
Share and Cite
Bagattini, G.; Suarez-Arrones, L.; Ferrini, M.; Asian-Clemente, J. Entry Status Matters: A Case Study on Running Performance Profiles of Starters and Substitutes in the Initial 15 Min of Professional Football Matches. Appl. Sci. 2025, 15, 12473. https://doi.org/10.3390/app152312473
Bagattini G, Suarez-Arrones L, Ferrini M, Asian-Clemente J. Entry Status Matters: A Case Study on Running Performance Profiles of Starters and Substitutes in the Initial 15 Min of Professional Football Matches. Applied Sciences. 2025; 15(23):12473. https://doi.org/10.3390/app152312473
Chicago/Turabian StyleBagattini, Gabriele, Luis Suarez-Arrones, Manuele Ferrini, and Jose Asian-Clemente. 2025. "Entry Status Matters: A Case Study on Running Performance Profiles of Starters and Substitutes in the Initial 15 Min of Professional Football Matches" Applied Sciences 15, no. 23: 12473. https://doi.org/10.3390/app152312473
APA StyleBagattini, G., Suarez-Arrones, L., Ferrini, M., & Asian-Clemente, J. (2025). Entry Status Matters: A Case Study on Running Performance Profiles of Starters and Substitutes in the Initial 15 Min of Professional Football Matches. Applied Sciences, 15(23), 12473. https://doi.org/10.3390/app152312473

