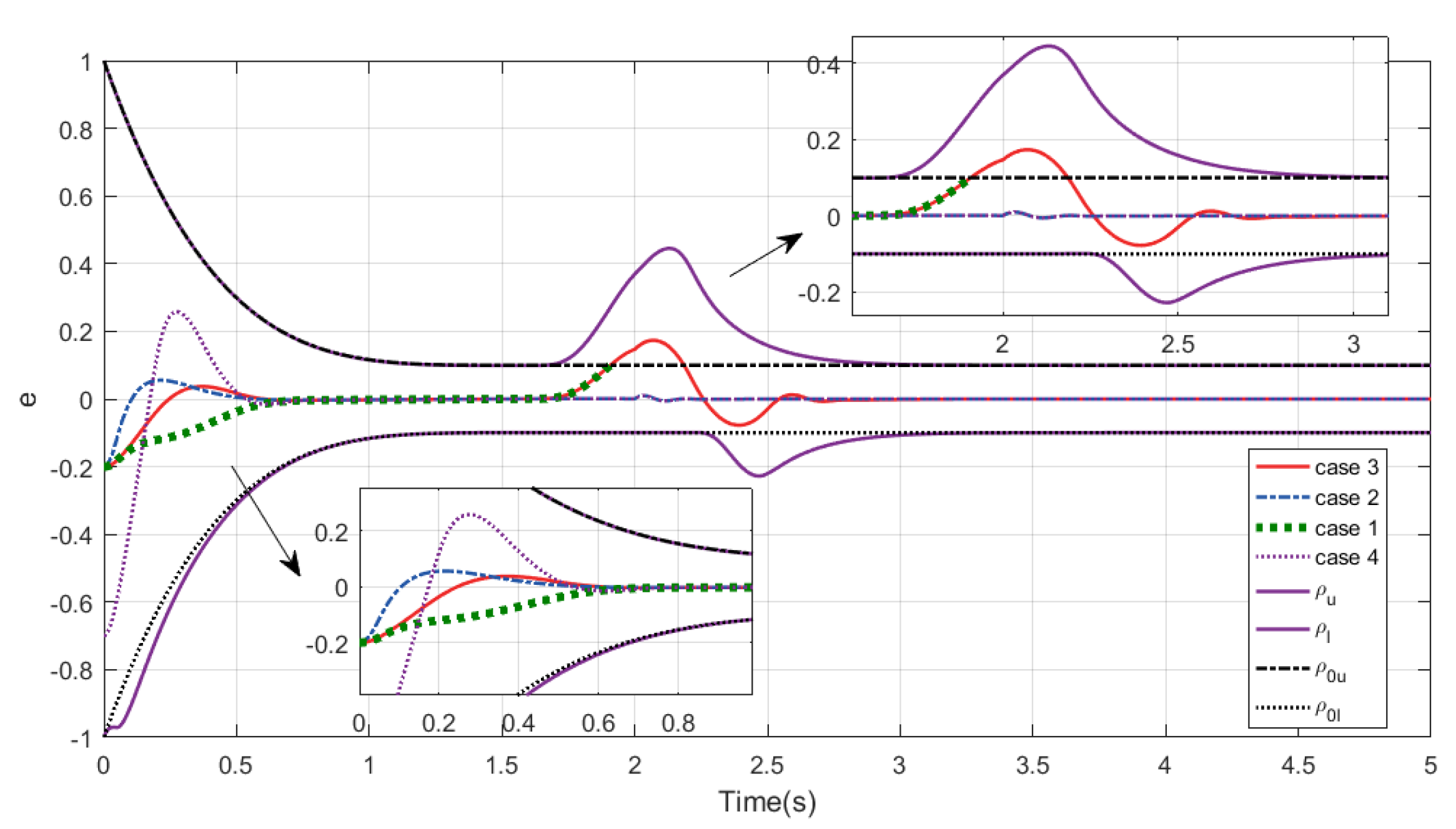
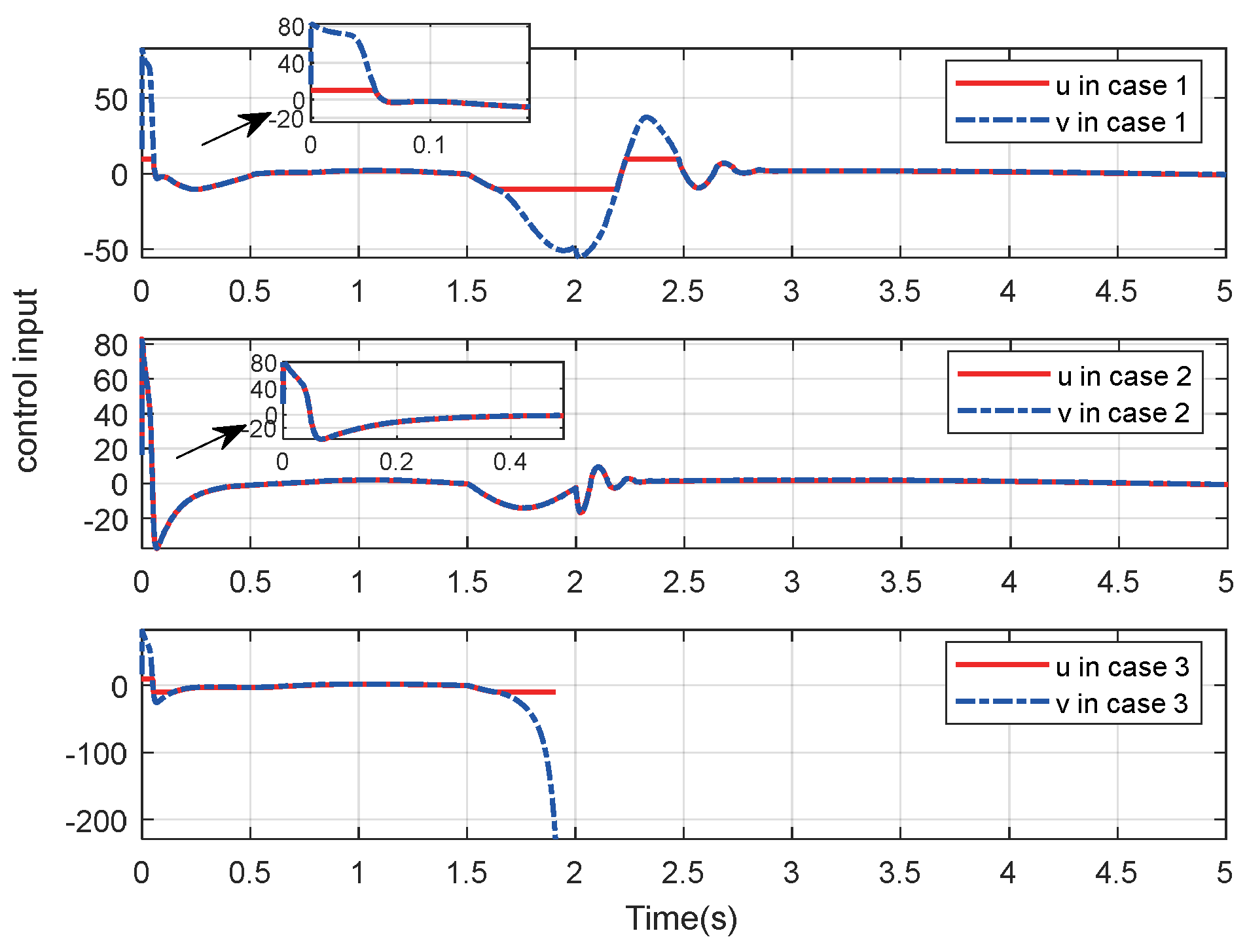
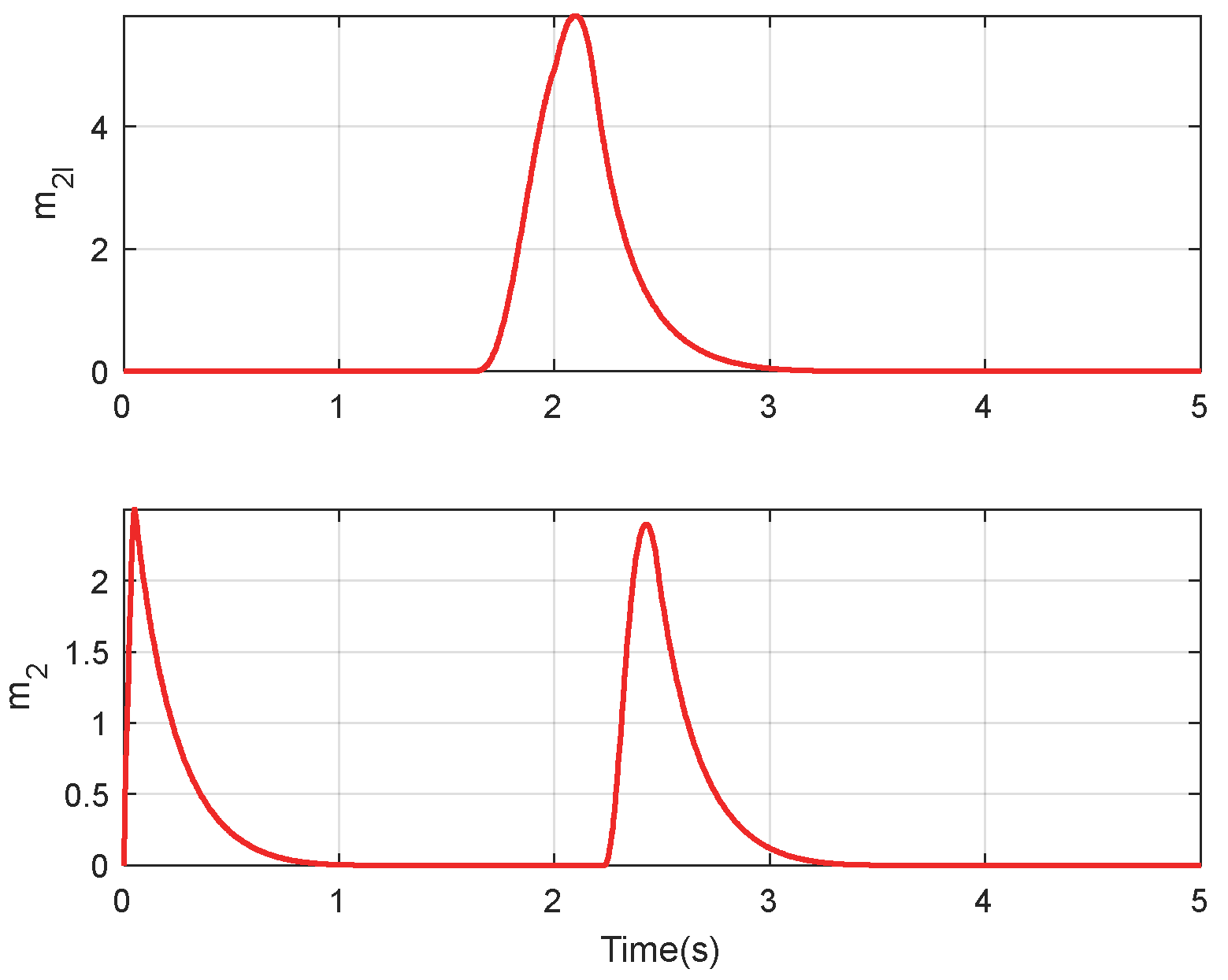
A Robust Predefined Performance Controller for Reusable Launch Vehicles Under Mismatched Disturbance and Input Saturation
Abstract
Share and Cite
Guo, D.; Wang, M.; Cheng, J.; Zhang, Y.; Cui, N. A Robust Predefined Performance Controller for Reusable Launch Vehicles Under Mismatched Disturbance and Input Saturation. Appl. Sci. 2025, 15, 12251. https://doi.org/10.3390/app152212251
Guo D, Wang M, Cheng J, Zhang Y, Cui N. A Robust Predefined Performance Controller for Reusable Launch Vehicles Under Mismatched Disturbance and Input Saturation. Applied Sciences. 2025; 15(22):12251. https://doi.org/10.3390/app152212251
Chicago/Turabian StyleGuo, Dongzi, Mingze Wang, Jie Cheng, Yuhao Zhang, and Naigang Cui. 2025. "A Robust Predefined Performance Controller for Reusable Launch Vehicles Under Mismatched Disturbance and Input Saturation" Applied Sciences 15, no. 22: 12251. https://doi.org/10.3390/app152212251
APA StyleGuo, D., Wang, M., Cheng, J., Zhang, Y., & Cui, N. (2025). A Robust Predefined Performance Controller for Reusable Launch Vehicles Under Mismatched Disturbance and Input Saturation. Applied Sciences, 15(22), 12251. https://doi.org/10.3390/app152212251
