Pore Structure Analysis of Growing Media Using X-Ray Microcomputed Tomography
Abstract
1. Introduction
2. Materials and Methods
2.1. Laboratory Experiment
2.1.1. The Studied Growing Media
2.1.2. Water Retention Curve
2.2. Image Experiment
2.2.1. Sample Packing for Scanning
2.2.2. X-Ray Microcomputed Tomography Scanning
2.2.3. Image Processing and Analysis
2.3. Representative Elementary Volume (REV)
2.4. Pore Structure and WRC
2.5. Hydraulic Conductivity Calculations
3. Results and Discussion
3.1. Analysis of REV
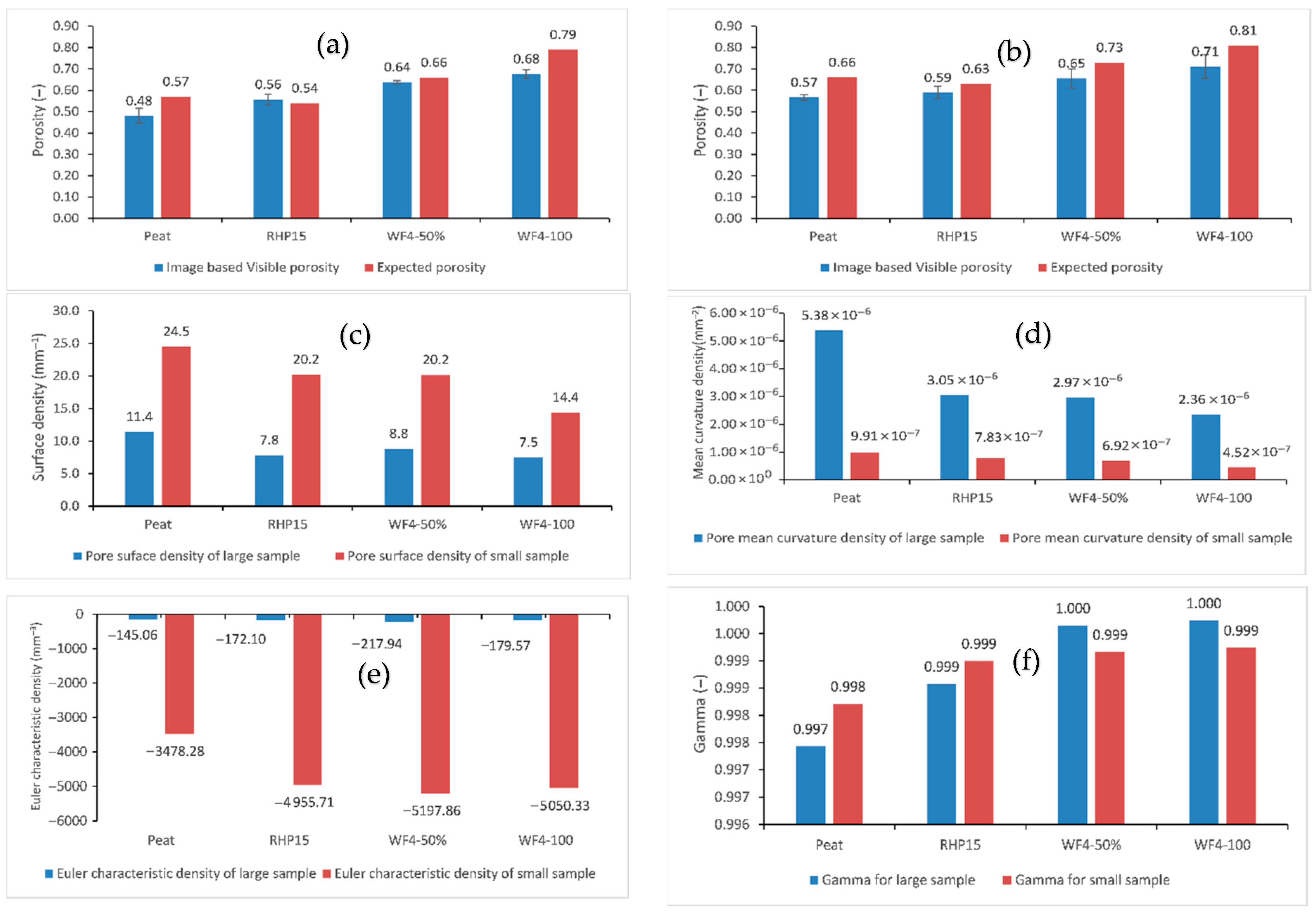
3.2. Pore Structure Measures
3.3. Water Retention Curve
3.4. Estimation of Saturated Hydraulic Conductivity
5. Conclusions
Author Contributions
Funding
Institutional Review Board Statement
Informed Consent Statement
Data Availability Statement
Conflicts of Interest
References
- Helliwell, J.R.; Sturrock, C.J.; Grayling, K.M.; Tracy, S.R.; Flavel, R.J.; Young, I.M.; Whalley, W.R.; Mooney, S.J. Applications of X-ray computed tomography for examining biophysical interactions and structural development in soil systems: A review. Eur. J. Soil Sci. 2013, 64, 279–297. [Google Scholar] [CrossRef]
- Zong, Y.; Yu, X.; Zhu, M.; Lu, S. Characterizing soil pore structure using nitrogen adsorption, mercury intrusion porosimetry, and synchrotron-radiation-based X-ray computed microtomography techniques. J. Soils Sediments 2015, 15, 302–312. [Google Scholar] [CrossRef]
- Vogel, H.-J.; Weller, U.; Schlüter, S. Quantification of soil structure based on Minkowski functions. Comput. Geosci. 2010, 36, 1236–1245. [Google Scholar] [CrossRef]
- Soracco, C.G.; Villarreal, R.; Melani, E.M.; Oderiz, J.A.; Salazar, M.P.; Otero, M.F.; Irizar, A.B.; Lozano, L.A. Hydraulic conductivity and pore connectivity. Effects of conventional and no-till systems determined using a simple laboratory device. Geoderma 2019, 337, 1236–1244. [Google Scholar] [CrossRef]
- Deepagoda, T.C.; Chen Lopez, J.C.; Møldrup, P.; de Jonge, L.W.; Tuller, M. Integral parameters for characterizing water, energy, and aeration properties of soilless plant growth media. J. Hydrol. 2013, 502, 120–127. [Google Scholar] [CrossRef]
- Fussy, A.; Papenbrock, J. An overview of soil and soilless cultivation techniques—Chances, challenges and the neglected question of sustainability. Plants 2022, 11, 1153. [Google Scholar] [CrossRef] [PubMed]
- Carlile, W.R.; Cattivello, C.; Zaccheo, P. Organic growing media: Constituents and properties. Vadose Zone J. 2015, 14, 1–13. [Google Scholar] [CrossRef]
- Kormanek, M.; Małek, S.; Banach, J.; Durło, G. Effect of changing substrate density and water application method on substrate physical properties and container-grown seedling growth. Forests 2023, 14, 1490. [Google Scholar] [CrossRef]
- Müller, K.; Katuwal, S.; Young, I.; McLeod, M.; Moldrup, P.; de Jonge, L.W.; Clothier, B. Characterising and linking X-ray CT derived macroporosity parameters to infiltration in soils with contrasting structures. Geoderma 2018, 313, 82–91. [Google Scholar] [CrossRef]
- Gong, L.; Nie, L.; Xu, Y.; Ji, X.; Liu, B. Characterization of Micro-Scale Pore Structure and Permeability Simulation of Peat Soil Based on 2D/3D X-ray Computed Tomography Images. Eurasian Soil Sc. 2022, 55, 790–801. [Google Scholar] [CrossRef]
- DIN 19683; Methods of Soil Investigations for Agricultural Engineering—Physical Laboratory Tests-Part9: Determination of the Saturated Hydraulic Water Conductivity in the Cylindrical Core-Cutter. German Institute for Standardization: Berlin, Germany, 1998.
- DIN EN 13041; Soil Improvers and Growing Media-Determination of Physical Properties-Dry Bulk Density, Air Volume, Water Volume, Shrinkage Value and Total Pore Space. CEN-CENELEC Mnagaement Centre: Brussels, Belgium, 2011.
- DIN EN ISO 11274; Soil Quality—Determination of the Water-Retention Characteristic—Laboratory Methods. International Organization for Standardization: Geneva, Switzerland, 2019.
- Muhammed, H.H.; Anlauf, R.; Daum, D. Estimation of Hydraulic Properties of Growing Media from Numerical Inversion of Mini Disk Infiltrometer Data. Hydrology 2025, 12, 100. [Google Scholar] [CrossRef]
- Muhammed, H.H.; Schumm, L.; Anlauf, R.; Reineke, T.; Daum, D. Validity of a Centrifuge-Based Method for Determining the Water Retention Curve of Growing Media. Horticulturae 2024, 10, 1255. [Google Scholar] [CrossRef]
- Kuka, K.; Illerhaus, B.; Fox, C.A.; Joschko, M. X-ray computed microtomography for the study of the soil–root relationship in grassland soils. Vadose Zone J. 2013, 12, 1–10. [Google Scholar] [CrossRef]
- Kuka, K.; Joschko, M. Grassland management intensity determines root development, soil structure, and their interrelationship: Results of a regional study of Leptosols in the Swabian Alps. Grassl. Res. 2024, 3, 171–186. [Google Scholar] [CrossRef]
- Fomin, D.S.; Yudina, A.V.; Romanenko, K.A.; Abrosimov, K.N.; Karsanina, M.V.; Gerke, K.M. Soil pore structure dynamics under steady-state wetting-drying cycle. Geoderma 2023, 432, 116401. [Google Scholar] [CrossRef]
- Houston, A.N.; Otten, W.; Falconer, R.; Monga, O.; Baveye, P.C.; Hapca, S.M. Quantification of the pore size distribution of soils: Assessment of existing software using tomographic and synthetic 3D images. Geoderma 2017, 299, 73–82. [Google Scholar] [CrossRef]
- Peters, A.; Hohenbrink, T.L.; Iden, S.C.; Durner, W. A simple model to predict hydraulic conductivity in medium to dry soil from the water retention curve. Water Resour. Res. 2021, 57, e2020WR029211. [Google Scholar] [CrossRef]
- Pires, L.F.; Auler, A.C.; Roque, W.L.; Mooney, S.J. X-ray microtomography analysis of soil pore structure dynamics under wetting and drying cycles. Geoderma 2020, 362, 114103. [Google Scholar] [CrossRef]
- Rijfkogel, L.S.; Ghanbarian, B.; Hu, Q.; Liu, H.-H. Clarifying pore diameter, pore width, and their relationship through pressure measurements: A critical study. Mar. Pet. Geol. 2019, 107, 142–148. [Google Scholar] [CrossRef]
- Zhang, Y.; Yang, Z.; Wang, F.; Zhang, X. Comparison of soil tortuosity calculated by different methods. Geoderma 2021, 402, 115358. [Google Scholar] [CrossRef]
- Munkholm, L.J.; Heck, R.J.; Deen, B. Soil pore characteristics assessed from X-ray micro-CT derived images and correlations to soil friability. Geoderma 2012, 181–182, 22–29. [Google Scholar] [CrossRef]
- Ju, X.; Jia, Y.; Li, T.; Gao, L.; Gan, M. Morphology and multifractal characteristics of soil pores and their functional implication. Catena 2021, 196, 104822. [Google Scholar] [CrossRef]
- Torre, I.G.; Losada, J.C.; Heck, R.J.; Tarquis, A.M. Multifractal analysis of 3D images of tillage soil. Geoderma 2018, 311, 167–174. [Google Scholar] [CrossRef]
- Sun, X.; She, D.; Sanz, E.; Martín-Sotoca, J.J.; Tarquis, A.M.; Gao, L. Multifractal analysis on CT soil images: Fluctuation analysis versus mass distribution. Chaos Solitons Fractals 2023, 176, 114080. [Google Scholar] [CrossRef]
- Mady, A.Y.; Shein, E.V.; Abrosimov, K.N.; Skvortsova, E. X-ray computed tomography: Validation of the effect of pore size and its connectivity on saturated hydraulic conductivity. Soil Environ. 2021, 40, 1. [Google Scholar] [CrossRef]
- Borges, J.A.R.; Pires, L.F.; am Cássaro, F.; Roque, W.L.; Heck, R.J.; Rosa, J.A.; Wolf, F.G. X-ray microtomography analysis of representative elementary volume (REV) of soil morphological and geometrical properties. Soil Tillage Res. 2018, 182, 112–122. [Google Scholar] [CrossRef]
- Gaspareto, J.V.; de Oliveira, J.A.T.; Andrade, E.; Pires, L.F. Representative Elementary Volume as a Function of Land Uses and Soil Processes Based on 3D Pore System Analysis. Agriculture 2023, 13, 736. [Google Scholar] [CrossRef]
- Koestel, J.; Larsbo, M.; Jarvis, N. Scale and REV analyses for porosity and pore connectivity measures in undisturbed soil. Geoderma 2020, 366, 114206. [Google Scholar] [CrossRef]
- Turunen, M.; Hyväluoma, J.; Heikkinen, J.; Keskinen, R.; Kaseva, J.; Koestel, J.; Rasa, K. Quantifying Physical Properties of Three Sphagnum-Based Growing Media as Affected by Drying–Wetting Cycles. Vadose Zone J. 2019, 18, 190033. [Google Scholar] [CrossRef]
- Quinton, W.L.; Elliot, T.; Price, J.S.; Rezanezhad, F.; Heck, R. Measuring physical and hydraulic properties of peat from X-ray tomography. Geoderma 2009, 153, 269–277. [Google Scholar] [CrossRef]
- VDLUFA. Methods Book I “Soil Analysis” (1st–6th Supplement Delivery), 4th ed.; VDLUFA-Verlag: Darmstadt, Germany, 1991. [Google Scholar]
- DIN EN 13039; Soil Improvers and Growing Media—Determination of Organic Content and Ash. German Version. Deutsches Institut für Normung: Beuth, Berlin, 2009.
- Kemper, W.D.; Rosenau, R.C. Aggregate stability and size distribution. In Methods of Soil Analysis: Part 1 Physical and Mineralogical Methods; American Society of Agronomy: Madison, WI, USA, 1986; Volume 5, pp. 425–442. [Google Scholar] [CrossRef]
- van Genuchten, M.T. A closed-form equation for predicting the hydraulic conductivity of unsaturated soils. Soil Sci. Soc. Am. J. 1980, 44, 892–898. [Google Scholar] [CrossRef]
- Virtanen, P.; Gommers, R.; Oliphant, T.E.; Haberland, M.; Reddy, T.; Cournapeau, D.; Burovski, E.; Peterson, P.; Weckesser, W.; Bright, J.; et al. SciPy 1.0: Fundamental algorithms for scientific computing in Python. Nat. Methods 2020, 17, 261–272. [Google Scholar] [CrossRef] [PubMed]
- van der Walt, S.; Schönberger, J.L.; Nunez-Iglesias, J.; Boulogne, F.; Warner, J.D.; Yager, N.; Gouillart, E.; Yu, T. scikit-image: Image processing in Python. PeerJ 2014, 2, e453. [Google Scholar] [CrossRef] [PubMed]
- Harris, C.R.; Millman, K.J.; van der Walt, S.J.; Gommers, R.; Virtanen, P.; Cournapeau, D.; Wieser, E.; Taylor, J.; Berg, S.; Smith, N.J.; et al. Array programming with NumPy. Nature 2020, 585, 357–362. [Google Scholar] [CrossRef]
- Gostick, J.T.; Khan, Z.A.; Tranter, T.G.; Kok, M.; Agnaou, M.; Sadeghi, M.; Jervis, R. PoreSpy: A python toolkit for quantitative analysis of porous media images. J. Open Source Softw. 2019, 4, 1296. [Google Scholar] [CrossRef]
- Gostick, J.; Aghighi, M.; Hinebaugh, J.; Tranter, T.; Hoeh, M.A.; Day, H.; Spellacy, B.; Sharqawy, M.H.; Bazylak, A.; Burns, A. OpenPNM: A pore network modeling package. Comput. Sci. Eng. 2016, 18, 60–74. [Google Scholar] [CrossRef]
- Kettridge, N.; Binley, A. Characterization of peat structure using X-ray computed tomography and its control on the ebullition of biogenic gas bubbles. J. Geophys. Res. Biogeosci. 2011, 116, G1. [Google Scholar] [CrossRef]
- San José Martínez, F.; Martín, L.; García-Gutiérrez, C. Minkowski functionals of connected soil porosity as indicators of soil tillage and depth. Front. Environ. Sci. 2018, 6, 55. [Google Scholar] [CrossRef]
- Piccoli, I.; Dal Ferro, N.; Delmas, P.J.; Squartini, A.; Morari, F. Contrast-enhanced repacked soil cores as a proxy for soil organic matter spatial arrangement. Soil Res. 2019, 57, 535–545. [Google Scholar] [CrossRef]
- Enríquez-León, A.J.; de Souza, T.D.; Aragão, F.T.S.; Braz, D.; Pereira, A.M.B.; Nogueira, L.P. Determination of the air void content of asphalt concrete mixtures using artificial intelligence techniques to segment micro-CT images. Int. J. Pavement Eng. 2022, 23, 3973–3982. [Google Scholar] [CrossRef]
- van Eijnatten, M.; Koivisto, J.; Karhu, K.; Forouzanfar, T.; Wolff, J. The impact of manual threshold selection in medical additive manufacturing. Int. J. Comput. Assist. Radiol. Surg. 2017, 12, 607–615. [Google Scholar] [CrossRef]
- Gaspareto, J.V.; Andrade, E.; Pires, L.F. Representative Elementary Volume in Agricultural Soils: Effects of Image Resolution and Tillage Practices on Pore Structure. Soil Adv. 2025, 4, 100081. [Google Scholar] [CrossRef]
- Hunter, J.D. Matplotlib: A 2D graphics environment. Comput. Sci. Eng. 2007, 9, 90–95. [Google Scholar] [CrossRef]
- Gohlke, C. Cgohlke/Tifffile, v2025.6.11; Zenodo: Geneva, Switzerland, 2025. [Google Scholar]
- Mafi, M.; Martin, H.; Cabrerizo, M.; Andrian, J.; Barreto, A.; Adjouadi, M. A comprehensive survey on impulse and Gaussian denoising filters for digital images. Signal Process. 2019, 157, 236–260. [Google Scholar] [CrossRef]
- Costanza-Robinson, M.S.; Estabrook, B.D.; Fouhey, D.F. Representative elementary volume estimation for porosity, moisture saturation, and air-water interfacial areas in unsaturated porous media: Data quality implications. Water Resour. Res. 2011, 47, 7. [Google Scholar] [CrossRef]
- Nordahl, K.; Ringrose, P.S. Identifying the representative elementary volume for permeability in heterolithic deposits using numerical rock models. Math. Geosci. 2008, 40, 753–771. [Google Scholar] [CrossRef]
- Wu, M.; Wu, J.; Wu, J.; Hu, B.X. A new criterion for determining the representative elementary volume of translucent porous media and inner contaminant. Hydrol. Earth Syst. Sci. Discuss. 2020, 2020, 5903–5917. [Google Scholar] [CrossRef]
- Borges, J.A.R.; Pires, L.F.; Belmont Pereira, A. Computed tomography to estimate the representative elementary area for soil porosity measurements. Sci. World J. 2012, 2012, 526380. [Google Scholar] [CrossRef] [PubMed]
- Zhang, D.; Zhang, R.; Chen, S.; Soll, W.E. Pore scale study of flow in porous media: Scale dependency, REV, and statistical REV. Geophys. Res. Lett. 2000, 27, 1195–1198. [Google Scholar] [CrossRef]
- Osher, S.; Sethian, J.A. Fronts propagating with curvature-dependent speed: Algorithms based on Hamilton-Jacobi formulations. J. Comput. Phys. 1988, 79, 12–49. [Google Scholar] [CrossRef]
- Sethian, J.A. Level Set Methods and Fast Marching Methods; Cambridge UP: Cambridge, UK, 1999. [Google Scholar]
- Pabst, W.; Gregorová, E. Characterization of Particles and Particle Systems. Available online: https://old.vscht.cz/sil/keramika/Characterization_of_particles/CPPS%20_English%20version_.pdf (accessed on 13 August 2025).
- Renard, P.; Allard, D. Connectivity metrics for subsurface flow and transport. Adv. Water Resour. 2013, 51, 168–196. [Google Scholar] [CrossRef]
- Koestel, J.; Schlueter, S. Quantification of the structure evolution in a garden soil over the course of two years. Geoderma 2019, 338, 597–609. [Google Scholar] [CrossRef]
- Nishiyama, N.; Yokoyama, T. Permeability of porous media: Role of the critical pore size. J. Geophys. Res. Solid Earth 2017, 122, 6955–6971. [Google Scholar] [CrossRef]
- Hillel, D. Introduction to Environmental Soil Physics; Elsevier Academic Press: Amsterdam, The Netherlands, 2004; Volume 56, p. 5. [Google Scholar]
- Bouix, S.; Siddiqi, K. Divergence-Based Medial Surfaces; Springer: Berlin/Heidelberg, Germany, 2000. [Google Scholar] [CrossRef]
- Patzek, T.W.; Silin, D.B. Shape factor and hydraulic conductance in noncircular capillaries: I. One-phase creeping flow. J. Colloid Interface Sci. 2001, 236, 295–304. [Google Scholar] [CrossRef] [PubMed]
- Kalnin, T.G.; Ivonin, D.A.; Abrosimov, K.N.; Grachev, E.A.; Sorokina, N.V. Analysis of Tomographic Images of the Soil Pore Space Structure by Integral Geometry Methods. Eurasian Soil Sc. 2021, 54, 1400–1409. [Google Scholar] [CrossRef]
- Köhne, J.M.; Schlüter, S.; Vogel, H.-J. Predicting Solute Transport in Structured Soil Using Pore Network Models. Vadose Zone J. 2011, 10, 1082–1096. [Google Scholar] [CrossRef]
- Valvatne, P.H.; Blunt, M.J. Predictive pore-scale modeling of two-phase flow in mixed wet media. Water Resour. Res. 2004, 40, 7. [Google Scholar] [CrossRef]
- Meira Cassaro, F.A.; Posadas Durand, A.N.; Gimenez, D.; Pedro Vaz, C.M. Pore-Size Distributions of Soils Derived using a Geometrical Approach and Multiple Resolution MicroCT Images. Soil Sci. Soc. Amer J. 2017, 81, 468–476. [Google Scholar] [CrossRef]
- Beckers, E.; Plougonven, E.; Gigot, N.; Léonard, A.; Roisin, C.; Brostaux, Y.; Degré, A. Coupling X-ray microtomography and macroscopic soil measurements: A method to enhance near-saturation functions? Hydrol. Earth Syst. Sci. 2014, 18, 1805–1817. [Google Scholar] [CrossRef]
- Ojeda-Magaña, B.; Quintanilla-Domínguez, J.; Ruelas, R.; Tarquis, A.M.; Gómez-Barba, L.; Andina, D. Identification of pore spaces in 3D CT soil images using PFCM partitional clustering. Geoderma 2014, 217, 90–101. [Google Scholar] [CrossRef]
- Wildenschild, D.; Sheppard, A.P. X-ray imaging and analysis techniques for quantifying pore-scale structure and processes in subsurface porous medium systems. Adv. Water Resour. 2013, 51, 217–246. [Google Scholar] [CrossRef]
- Houston, A.N.; Schmidt, S.; Tarquis, A.M.; Otten, W.; Baveye, P.C.; Hapca, S.M. Effect of scanning and image reconstruction settings in X-ray computed microtomography on quality and segmentation of 3D soil images. Geoderma 2013, 207, 154–165. [Google Scholar] [CrossRef]
- Smet, S.; Plougonven, E.; Leonard, A.; Degré, A.; Beckers, E. X-ray µCT: How soil pore space description can be altered by image processing. Vadose Zone J. 2018, 17, 1. [Google Scholar] [CrossRef]
- Rezanezhad, F.; Price, J.S.; Craig, J.R. The effects of dual porosity on transport and retardation in peat: A laboratory experiment. Can. J. Soil Sci. 2012, 92, 723–732. [Google Scholar] [CrossRef]
- Prodanović, M.; Lindquist, W.B.; Seright, R.S. 3D image-based characterization of fluid displacement in a Berea core. Adv. Water Resour. 2007, 30, 214–226. [Google Scholar] [CrossRef]
- Or, D.; Smets, B.F.; Wraith, J.M.; Dechesne, A.; Friedman, S.P. Physical constraints affecting bacterial habitats and activity in unsaturated porous media–a review. Adv. Water Resour. 2007, 30, 1505–1527. [Google Scholar] [CrossRef]
- Menon, M.; Jia, X.; Lair, G.J.; Faraj, P.H.; Blaud, A. Analysing the impact of compaction of soil aggregates using X-ray microtomography and water flow simulations. Soil Tillage Res. 2015, 150, 147–157. [Google Scholar] [CrossRef]
- Fukumasu, J.; Jarvis, N.; Koestel, J.; Larsbo, M. Links between soil pore structure, water flow and solute transport in the topsoil of an arable field: Does soil organic carbon matter? Geoderma 2024, 449, 117001. [Google Scholar] [CrossRef]
- Du, Y.; Guo, S.; Wang, R.; Song, X.; Ju, X. Soil pore structure mediates the effects of soil oxygen on the dynamics of greenhouse gases during wetting–drying phases. Sci. Total Environ. 2023, 895, 165192. [Google Scholar] [CrossRef]
- Armstrong, R.T.; McClure, J.E.; Robins, V.; Liu, Z.; Arns, C.H.; Schlüter, S.; Berg, S. Porous media characterization using Minkowski functionals: Theories, applications and future directions. Transp. Porous Media 2019, 130, 305–335. [Google Scholar] [CrossRef]
- Arthur, E.; Moldrup, P.; Schjønning, P.; de Jonge, L.W. Water retention, gas transport, and pore network complexity during short-term regeneration of soil structure. Soil Sci. Soc. Amer J. 2013, 77, 1965–1976. [Google Scholar] [CrossRef]
- Peth, S.; Horn, R.; Beckmann, F.; Donath, T.; Fischer, J.; Smucker, A.J. Three-dimensional quantification of intra-aggregate pore-space features using synchrotron-radiation-based microtomography. Soil Sci. Soc. Amer J. 2008, 72, 897–907. [Google Scholar] [CrossRef]
- Hou, X.; Qi, S.; Liu, F. Soil water retention and pore characteristics of intact loess buried at different depths. Sustainability 2023, 15, 14890. [Google Scholar] [CrossRef]
- Blunt, M.J.; Bijeljic, B.; Dong, H.; Gharbi, O.; Iglauer, S.; Mostaghimi, P.; Paluszny, A.; Pentland, C. Pore-scale imaging and modelling. Adv. Water Resour. 2013, 51, 197–216. [Google Scholar] [CrossRef]
- Baveye, P.C.; Laba, M.; Otten, W.; Bouckaert, L.; Sterpaio, P.D.; Goswami, R.R.; Grinev, D.; Houston, A.; Hu, Y.; Liu, J. Observer-dependent variability of the thresholding step in the quantitative analysis of soil images and X-ray microtomography data. Geoderma 2010, 157, 51–63. [Google Scholar] [CrossRef]
- Gackiewicz, B.; Lamorski, K.; Sławiński, C.; Hsu, S.-Y.; Chang, L.-C. An intercomparison of the pore network to the Navier–Stokes modeling approach applied for saturated conductivity estimation from X-ray CT images. Sci. Rep. 2021, 11, 5859. [Google Scholar] [CrossRef]
- Xiong, Q.; Baychev, T.G.; Jivkov, A.P. Review of pore network modelling of porous media: Experimental characterisations, network constructions and applications to reactive transport. J. Contam. Hydrol. 2016, 192, 101–117. [Google Scholar] [CrossRef]
- Devi, A.; Chandel, A.; Shankar, V. Modelling hydraulic conductivity of porous media using machine learning techniques. J. Hydroinform. 2025, 27, 381–405. [Google Scholar] [CrossRef]
- Foroughi, S.; Shojaei, M.J.; Lane, N.; Rashid, B.; Lakshtanov, D.; Ning, Y.; Zapata, Y.; Bijeljic, B.; Blunt, M.J. A framework for multiphase pore-scale modeling based on micro-CT imaging. Transp. Porous Media 2025, 152, 18. [Google Scholar] [CrossRef]
- Song, R.; Wang, Y.; Liu, J.; Cui, M.; Lei, Y. Comparative analysis on pore-scale permeability prediction on micro-CT images of rock using numerical and empirical approaches. Energy Sci. Eng. 2019, 7, 2842–2854. [Google Scholar] [CrossRef]
- Callow, B.; Falcon-Suarez, I.; Marin-Moreno, H.; Bull, J.M.; Ahmed, S. Optimal X-ray micro-CT image based methods for porosity and permeability quantification in heterogeneous sandstones. Geophys. J. Int. 2020, 223, 1210–1229. [Google Scholar] [CrossRef]













| Substrate | pH | EC | Organic Matter | Particle Density | MWD * | Pore Volume | Bulk Density | Ksat ** |
|---|---|---|---|---|---|---|---|---|
| - | [dS·m−1] | [% mas] | [g·cm−3] | [mm] | [cm3·cm−3] | [g·cm−3] | [cm·s−1] | |
| Peat | 3.2 | 0.05 | 96.40 | 1.57 | 1.18 | 0.935 | 0.101 | 0.0406 |
| RHP15 | 5.9 | 0.29 | 65.09 | 1.81 | 4.93 | 0.924 | 0.137 | 0.0447 |
| WF4-50 | 3.9 | 0.13 | 98.03 | 1.66 | 1.19 | 0.925 | 0.104 | 0.2286 |
| WF4-100 | 4.3 | 0.16 | 99.40 | 1.55 | 1.30 | 0.942 | 0.091 | 0.5624 |
| Samples | Peat | RHP15 | WF4-50 | WF4-100 |
|---|---|---|---|---|
| Large sample | 75 | 55 | 80 | 85 |
| Small sample | 85 | 53 | 95 | 110 |
| Criteria | Peat | RHP15 | WF4-50 | WF4-100 |
|---|---|---|---|---|
| Large samples 3D division in µm | ||||
| sREV (CV < 0.1) | - | 30,000 | - | ≥8000 |
| dREV | 9000–13,000 | 9000–13,000 | 10,000–16,000 | 8000–10,000 |
| Both criteria fulfilled | no | no | no | yes |
| REV | - | - | - | 10,000 |
| Large samples 2D division in µm | ||||
| sRev (CV < 0.1) | ≥2000 | ≥2000 | ≥2000 | ≥2000 |
| dREV | 13,000–21,000 | 13,000–21,000 | 13,000–21,000 | 13,000–21,000 |
| Both criteria fulfilled | yes | yes | yes | Yes |
| REV | 21,000 | 21,000 | 21,000 | 21,000 |
| Small samples 3D division in µm | ||||
| sRev (CV < 0.1) | - | 9000 | 4000 | 4000 |
| dREV | 4000–9000 | 3000–4000 | 3000–6000 | 2000–3000 |
| Both criteria fulfilled | no | no | yes | no |
| REV | - | - | 4000 | - |
| Small samples 2D division in µm | ||||
| sRev (CV < 0.1) | ≥500 | ≥3000 | ≥500 | ≥500 |
| dREV | 3000–6000 | 3000–6000 | 3000–6000 | 3000–6000 |
| Both criteria fulfilled | yes | yes | yes | Yes |
| REV | 6000 | 6000 | 6000 | 6000 |
Disclaimer/Publisher’s Note: The statements, opinions and data contained in all publications are solely those of the individual author(s) and contributor(s) and not of MDPI and/or the editor(s). MDPI and/or the editor(s) disclaim responsibility for any injury to people or property resulting from any ideas, methods, instructions or products referred to in the content. |
© 2025 by the authors. Licensee MDPI, Basel, Switzerland. This article is an open access article distributed under the terms and conditions of the Creative Commons Attribution (CC BY) license (https://creativecommons.org/licenses/by/4.0/).
Share and Cite
Muhammed, H.H.; Anlauf, R.; Daum, D.; Schmitt Rahner, M.; Kuka, K. Pore Structure Analysis of Growing Media Using X-Ray Microcomputed Tomography. Appl. Sci. 2025, 15, 11886. https://doi.org/10.3390/app152211886
Muhammed HH, Anlauf R, Daum D, Schmitt Rahner M, Kuka K. Pore Structure Analysis of Growing Media Using X-Ray Microcomputed Tomography. Applied Sciences. 2025; 15(22):11886. https://doi.org/10.3390/app152211886
Chicago/Turabian StyleMuhammed, Hadi Hamaaziz, Ruediger Anlauf, Diemo Daum, Mayka Schmitt Rahner, and Katrin Kuka. 2025. "Pore Structure Analysis of Growing Media Using X-Ray Microcomputed Tomography" Applied Sciences 15, no. 22: 11886. https://doi.org/10.3390/app152211886
APA StyleMuhammed, H. H., Anlauf, R., Daum, D., Schmitt Rahner, M., & Kuka, K. (2025). Pore Structure Analysis of Growing Media Using X-Ray Microcomputed Tomography. Applied Sciences, 15(22), 11886. https://doi.org/10.3390/app152211886

