Next Article in Journal
Transparent Digital Governance: A Blockchain-Based Workflow Audit Application
Next Article in Special Issue
The Use of Myocardial Work in Athletes: A Novel Approach to Assess Cardiac Adaptations and Differentiate Physiological Remodeling from Pathology
Previous Article in Journal
A Digital Testing Framework for Design Improvements of Three-Piece Alloy Wheels Through Finite Element Analysis
Previous Article in Special Issue
Direction-Dependent Limb Asymmetries in Female Lateral Jumps: A Ground Reaction Force and Knee Torque Study
 
 
Font Type:
Arial Georgia Verdana
Font Size:
Aa Aa Aa
Line Spacing:
Column Width:
Background:
Article

Characterization of the Profile of Hyrox© Athletes

by
Paula Villarroel López
1,
Aarón Agudo-Ortega
2,3 and
Daniel Juárez Santos-García
1,*
1
Sports Training Laboratory, Faculty of Sport Sciences, University of Castilla-La Mancha, 45071 Toledo, Castilla–La Mancha, Spain
2
AExPH, Facultad de Ciencias Biomédicas y de la Salud, Universidad Alfonso X el Sabio (UAX), Avenida de la Universidad, 1, 28691 Villanueva de la Cañada, Madrid, Spain
3
Facultad de Ciencias de la Salud, Universidad Internacional de La Rioja, Avenida de la Paz, 137, 26006 Logroño, La Rioja, Spain
*
Author to whom correspondence should be addressed.
Appl. Sci. 2025, 15(21), 11693; https://doi.org/10.3390/app152111693
Submission received: 25 June 2025 / Revised: 27 October 2025 / Accepted: 28 October 2025 / Published: 1 November 2025
(This article belongs to the Special Issue Research of Sports Medicine and Health Care: Second Edition)

Abstract

Hyrox© is a hybrid competition that is gaining prominence in the competitive field due to its physical demanding nature and broad appeal to athletes from various backgrounds. Understanding athlete profiles and performance determinants in these events is essential to optimize training and recovery strategies. Objectives: This study aimed to examine and describe the profile of athletes participating in Hyrox© competitions, focusing on variables related to their sports background, training habits, recovery strategies, physical capacities, and motivational aspects. Methods: A descriptive analysis was conducted using an ad hoc questionnaire fulfilled by 80 active Hyrox© athletes. The questionnaire addressed aspects such as training frequency and structure, previous athletic experience, strength and endurance levels, recovery practices, and personal goals. Results: The findings revealed a predominantly male athlete profile with high physical demands and prior experience in functional or endurance-based sports. Participants generally exhibited well-developed strength and endurance capacities. However, recovery strategies were often unstructured or insufficient, potentially compromising performance and increasing injury risk. Conclusions: Athletes competing in Hyrox© share characteristics with those in other high-intensity or hybrid modalities, including strong aerobic and anaerobic capacities. Nonetheless, a gap remains in the implementation of structured recovery protocols. These results highlight the need to incorporate comprehensive recovery strategies alongside physical preparation to optimize performance and athlete longevity in hybrid events.

1. Introduction

Hyrox© is an emerging hybrid indoor competition characterized by a standardized structure, which has facilitated its rapid international expansion. This event consists of eight 1-kilometer running segments, each followed by a functional workout station. These stations include the SkiErg, sled push, sled pull, burpee broad jumps, RowErg, farmer’s carry, sandbag lunges, and wall balls [1].
This sequence requires that athletes alternate between sustained cardiovascular efforts and high-intensity functional tasks, combining elements of strength, endurance, and metabolic efficiency. Such competitions necessitate tailored methodologies to enhance specific physiological demands.
Within this framework, High-Intensity Functional Training (HIFT) has emerged as an effective approach method strategy for improving overall performance [2]. HIFT involves the execution of natural movement patterns- such as squats, lifts, carries, and throws- at high intensities with brief recovery times. Several studies have demonstrated that this training modality not only enhances cardiovascular capacity and muscular endurance, but also increases muscular strength and power, contributing to greater metabolic flexibility, defined as the body’s capacity to efficiently utilize various energy substrates during exercise [3,4].
Green, Williams [5] demonstrated that individuals who engage in HIFT exhibit unique physiological and anthropometric profiles compared to traditional endurance or strength athletes, suggesting its distinctive role in developing comprehensive fitness attributes. These findings support the recent research in acute physiological responses and the main determinants of performance associated with Hyrox©, emphasizing the specialized and multifaceted nature of this competition [6]. Thus, metabolic flexibility is essential for success in hybrid sports, which alternate between aerobic and anaerobic efforts. Moreover, appropriate periodization and manipulation of variables such as intensity, volume, and recovery time are crucial to optimize outcomes and prevent overtraining [6]. This evolution in training and competition has led not only to new forms of physical conditioning but also the need for novel methods to asses both physiological capacity and mental resilience within competitive fitness environments [1]. This approach has driven the development of strategies considering the concurrent training, which combines strength and endurance exercises within the same program or session [7,8]. Concurrent training has been widely studied in the field of sports performance for its potential to develop multiple physical capacities simultaneously. Several studies have demonstrated its efficacy in optimizing physiological adaptations, although they also point out variability in individual responses [2,9]. Nonetheless, interference effect may arise, hindering the development of certain physical abilities. This phenomenon, known as the interference effect, was first demonstrated by Hickson [4], who found that concurrent strength and endurance training can compromise strength gains compared to strength training alone.
The observed variability in individual responses to hybrid programs [10], underscoring the necessity of personalized training approaches and meticulous planning to maximize the benefits of concurrent training. Despite the growing interest in this type of testing, there is little empirical characterization of the training and recovery profiles of Hyrox© athletes. The current literature on this discipline remains limited, and no validated instruments exist to systematically assess key aspects such as training frequency, previous experience, perception of recovery or motivational factors.
Hyrox© represents a unique competitive format compared to other hybrid sports such as CrossFit© or obstacle course racing. Unlike CrossFit©, where the specific events remain unknown until the competition begins, Hyrox© follows a standardized and closed structure that is identical across all events worldwide. This predictability allows athletes to design and periodize their training with precision, targeting the exact sequence of running and functional strength-based tasks they will face in competition. Consequently, Hyrox© offers a distinctive model for studying performance determinants in hybrid sports, as it enables controlled training adaptations to repeated, measurable demands. Considering this gap, the main objective of this study is to analyze and describe the profile of athletes participating in Hyrox© competitions, focusing on variables related to prior experience, training habits, recovery strategies, physical capacities and motivational components.

2. Materials and Methods

2.1. Participants

Eighty Hyrox© athletes-22 females (27.5%) and 58 males (72.5%)-with a mean age of 37.51 ± 8.26 years voluntarily participated by completing a customized questionnaire. Athletes’ characteristics are presented in Table 1.

2.2. Desing

A descriptive analysis was conducted using online questionnaires to investigate the profile of Hyrox© athletes. It should be noted that a non-probabilistic convenience sampling strategy was used, primarily relying on voluntary participation through social networks and specialized training groups. The questionnaire was specifically designed to evaluate the demographic characteristics, training habits, physiological performance and experience in related disciplines of participants in Hyrox© competitions.

2.3. Procedures

In order to respond to the objective of the study, a tool titled Hyrox© Athlete Profile Questionnaire was developed and designed. The questionnaire is included as supplementary material. The development process consisted in three phases: (1) initial design of the structure and formulation of the questions; (2) validation by a panel of experts using the Delphi method; and (3) distribution of the questionnaire through social networks.
Phase 1: Initial design. The questionnaire was developed based on an extensive literature review of disciplines such as High-Intensity Functional Training (HIFT), CrossFit©, and endurance sports. This review allowed to identify the key dimensions needed to characterize athletes in Hyrox©.
These key dimensions include: (1) Demographics and previous exercise experience questions (questions 1–6) to determine athletes’ age, gender, and previous sports disciplines, in order to identify their athletic background and general experience in functional or endurance competitions; (2) Training load and frequency questions (questions 7–15) to quantify weekly training volume, frequency of double sessions, training duration, and the proportion of strength vs. endurance training;
(3) Recovery and rest questions (questions 16–20) to compute sleep habits, types of rest (active/passive), and use of recovery strategies (e.g., cryotherapy, massage, stretching, etc.); (4) Performance and specific physical capabilities questions (questions 21–27) to evaluate maximum strength parameters, anaerobic endurance, sled load capacity, number of burpees per minute, and 1 km run speed; and (5) Psychological factors and progress evaluation questions (questions 28–30) to explore athletes’ subjective perception of progress, motivation level, and emotional experiences during competition.
Phase 2: Questionnaire validation. To ensure content validity and clarity, the Delphi method was applied- a structured expert consensus technique particularly valuable in emerging or underexplored research areas such as Hyrox© [11]. Experts were selected based on strict inclusion criteria to ensure the validity and relevance of the Delphi process. Specifically, experts were required to (a) hold a degree in Sport Sciences, (b) be recognized specialists in sports performance with at least two articles published in indexed scientific journals, and (c) have completed a doctoral thesis or be in the final year of completing their doctoral studies. The experts panel comprised 7 specialists in sports performance, with standard Delphi practice, which recommends 7 to 30 experts to ensure representative insights. Delphi validation process involved two rounds: (1) First round: The questionnaire was presented to the experts, who evaluated the relevance, clarity, and alignment with the study objectives of each item on a 10-point Likert scale. Experts were also encouraged to propose rewording, adding new items, or eliminating redundant or unclear questions; (2) second round: All suggested modifications were incorporated, and the revised version of the questionnaire was returned to the same panel for re-evaluation, seeking consensus on the final wording of each item. This phase confirmed the internal consistency of the instrument, its alignment with study goals, and its practical applicability.
Phase 3: Distribution of the questionnaire via social networks. After validation, the questionnaire was distributed through social networks and specific groups related to Hyrox© and related disciplines using Microsoft Forms.
A non-probabilistic convenience sampling strategy was employed, targeting active athletes engaged in Hyrox©, related disciplines such as CrossFit© or obstacle racing. Distribution channels included social media platforms (Instagram, Facebook, X) as well as functional training communities, public and private groups of athletes and coaches and direct outreach at gyms specialized in Hyrox© and functional training.
This research adhered to the ethical guidelines approved by the Social Research Ethics Committee of the University of Castilla-La Mancha (CEIS-2024-85784).

2.4. Statistical Analysis

The data analysis was conducted in two stages: (1) Data organization in Microsoft Excel. Data was exported directly from Microsoft Forms. A matrix was created, with rows representing participants and columns representing questionnaire items. The dataset was reviewed to correct missing values, formatting inconsistencies and duplicates. Open-ended responses were standardized (e.g., units of measurement), though no formal categorization was applied; and (2) Statistical processing in SPSS.
Cleaned data were imported into IBM SPSS v. 28.0 Statistics for descriptive analysis. For categorical variables, absolute frequencies and percentages were calculated. For quantitative variables, arithmetic means and standard deviations were computed to assess central tendency and dispersion.

3. Results

Participants reported an average of 22.4 ± 11.7 months of experience in the Hyrox© discipline, with values ranging from 3 to 48 months. Regarding the number of completed competitions, the mean was 5.5 ± 5.04 events, with a maximum of 24 competitions reported. Additionally, 45 respondents (56%) indicated prior participation in similar events, such as obstacle course races, CrossFit© events, or functional fitness challenges. This information reflects a profile of athletes with substantial prior experience in physically and functionally demanding sports, suggesting a high level of adaptation to the Hyrox© competition format.
To illustrate the best recorded times in Hyrox© competitions and the Roxzone segment, a comparative graph was created (Figure 1). It presents the average total competition time (1:11:15 ± 13:26 min) and the mean duration spent in the functional Roxzone area (5:02 ± 2:00 min). These metrics provide insights into efficiency and effort regulation during functional segments, which are key determinants of overall performance.
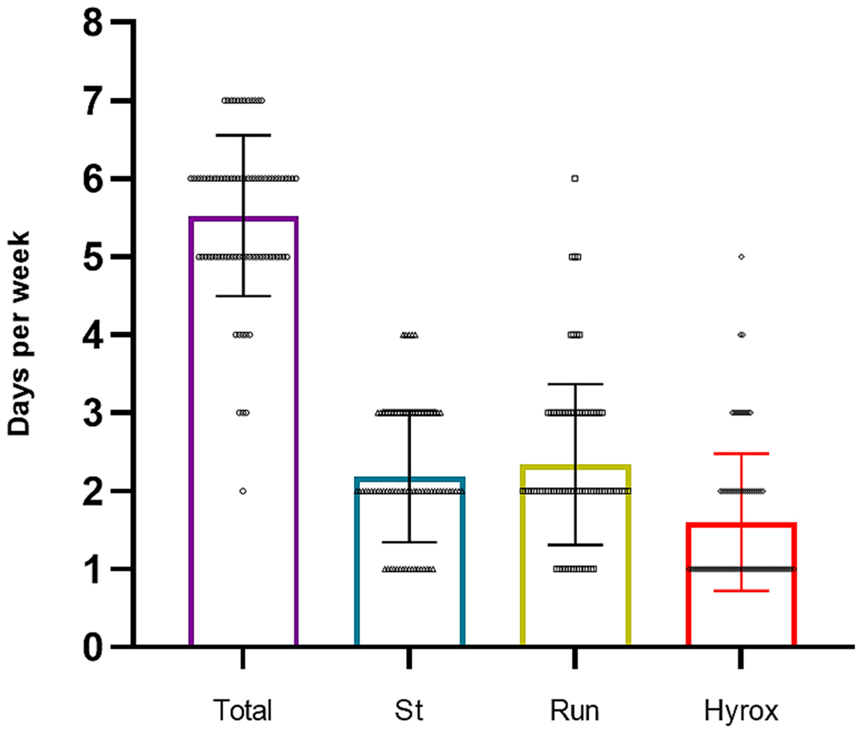
Regarding weekly training frequency, the data indicated a mean of 5.5 ± 1.03 days per week, reflecting a high level of commitment and training volume consistent with the physical demands of the Hyrox© discipline, and suggesting training routines aimed to optimizing performance.
A total of 44 participants (55%) reported performing more than one training session on at least one day per week. Among those, the frequency of double sessions ranged from 2 to 4 times per week. In terms of total daily training duration (including warm-up and cool-down), most participants reported sessions lengths of 1.5 to 2 h, followed by those training between 1 and 1.5 h. These results indicate a high overall training volume, often exceeding two hours per day, especially in cases of double sessions.
A graph was included to depict the weekly distribution of training sessions, categorized by type: strength, running, and competition simulations (Figure 2). This visualization allows for the identification of predominant training patterns and the balance between trained capacities.
Concerning rest days, 55 athletes (68.8%) reported engaging in active recovery. The most common activities were walking (51.3%), light cycling (18.8%), stretching (16.3%), and gentle swimming (13.8%). These findings highlight a preference for low intensity regenerative activities that support recovery while maintaining physical activity levels. The average sleep duration was reported as 7.1 ± 0.8 h per day.
Regarding recovery strategies, 33 participants (41.3%) stated that they did not follow any structured post-training protocol. Among the remaining participants, commonly adopted strategies included stretching, massage, and cryotherapy.
Subjective perception of recovery capacity between efforts was rated at an average of 3.7 out of 5. In terms of injury occurrence, 45 participants (56.3%) reported no injuries associated with Hyrox© training or competition. Among those who did experience injuries, the most common frequent types were overuse injuries, tendinopathies, and joint discomfort. Regarding maximal strength, 36 athletes (45%) reported bench pressing loads greater than 100% of their body weight, and 35 athletes (43.8%) reached between 1.0 and 1.5 times their body weight in full squats.
For functional performance indicators, participants performed an average of 18 burpees per minute and pushed an average load of 192.16 kg in the sled exercise. In the Farmer Carry test, carried loads ranged between 60% and 80% of body weight. Participants generally expressed predominantly positive emotions about competition, although they also reported pressure and performance-related anxiety. As for their goals, respondents indicated both performance-related objectives and personal motivations, including enjoyment and a sense of community. Finally, when evaluating their competitive progress, the majority rated their development between 4 and 5, reflecting a positive self-assessment progress since initiating Hyrox© training.

4. Discussion

Data collected in this study provide a detailed insight not only into the physical performance of Hyrox© athletes, but also into the supporting practices and the potential misalignments between training load, recovery and subjective perception.
This comprehensive approach enables a broader reflection beyond performance metrics, facilitating an analysis of the sustainability of the hybrid functional training model to which participants are subjected.
Firstly, although athletes report outstanding competition times (average = 1:11:15) and one-kilometer race sections (2:52 min), these outcomes are achieved within the context of a highly demanding training regimen -more than five days per week on average, including double sessions-with only moderately high perceived recovery (3.7 out of 5).
Particularly noteworthy is the fact that more than 40% of athletes do not implement any formal post-training recovery strategy, despite being subjected to substantial functional and cardiovascular workloads. These findings, coupled with the high prevalence of active rest and the scarce presence of advanced recovery tools (such as HRV monitoring, pressotherapy or neuromuscular recovery), highlight a gap between the physiological demands of the sport and the recovery protocols in place.
Research on endurance athletes (e.g., runners or cyclists) demonstrates that the most commonly used and considered most effective recovery strategies include hydration, nutrition, sleep, and rest, followed by techniques such as stretching, massage, foam rolling, and active recovery. In these sports, top ranking competitors tend to implement a significantly higher number of these strategies (around 10 on average) compared to lower performing counterparts [12].
Addleman, Lackey [13] noted the growing prevalence of heart rate variability (HRV) as a monitoring tool for training oversight, particularly within endurance and strength-based disciplines such as CrossFit©. Daily HRV tracking facilitates dynamic training load adjustments based on the athlete’s recovery status, thereby mitigating the risk of maladaptation or overtraining. Moreover, in elite and team sports athletes, such as football players, elevated resting HRV values have been positively correlated with key performance and recovery indicators such as VO2max, neuromuscular coordination, and sleep quality [14]. The lack of structure recovery protocols in over 40% of athletes represent a critical limitation within such a physically demanding discipline. Recent evidence highlights the efficacy of HRV monitoring in tailoring training loads and enhancing recovery in high-intensity disciplines [15].
With regard to injury incidence, although more than half of participants did not report injury, those who did identified issues related to overload, tendinopathies, and joint discomfort.
These findings are consistent with existing literature on other high-intensity functional disciplines such as CrossFit©, where injury prevalence over four years has averaged approximately 30%, affecting the shoulder, lower back, and knees [16].
Additionally, sex- and age-related differences in injury patterns have been observed, with females showing greater susceptibility to lower extremity injuries, and males to shoulder-related issues [17]. The high levels of strength and endurance observed among participants align with profiles reported in prior epidemiological studies on functional training, reinforcing the importance of structured programming. Prospective studies have estimated injury rates of up to 18.9 injuries per 1000 training hours in CrossFit© [18], supporting the need of progressive load management [19].
Although motivation was not the primary focus of this research, participants reported a broad spectrum of goals, ranging from performance-driven objectives to personal enjoyment.
While few studies have specifically examined motivational profiles in Hyrox© athletes, research in functional training environments-such as the CrossFit© gym model- has underscored the significance of social capital and community belonging as key factors of exercise adherence and potentially enhanced performance outcomes [20].
A notable gap in longitudinal research evaluating the adaptive and psychological evolution of Hyrox© athletes over time.
While short-term responses have been documented in CrossFit© cohorts (up to 12 weeks), more complex longitudinal studies utilizing multilevel modeling are necessary to assess sustained performance trajectories and cumulative injury risks [21]. Several studies [22,23] suggest that the relationship between high performance and recovery may be more closely related to individual experience and tolerance threshold than to the implementation of scientifically structured recovery protocols.
Additionally, data on maximal strength and functional endurance- such as high percentages of athletes exceeding 100% of their body weight in bench press and reaching up to 1.5 times in squat- indicate a solid physical preparation, but also expose them to significant cumulative stress. The loads used in tests such as the sled or the Farmer’s Carry test over 30 m indicate a level of osteoarticular demand that, if not properly managed, could lead to overuse injuries and repetitive stress syndromes, as reported by some of the athletes.
Another important dimension is the emotional and motivational component of the competition. While participants predominantly reported positive experiences during testing, some also expressed psychological pressure related to improving scores, qualifying for elite events or surpassing previous personal bests.
Finally, the diversity of athletes’ objectives- ranging from enjoyment and social interaction to elite performance aspirations, highlights the necessity for individualized training and recovery approaches, taking into account each athlete profile, experience, age and motivational drivers [24].
The findings of this study can also be interpreted in light of broader frameworks within sports science. For example, the observed imbalance between training load and recovery practices resonates with the concepts outlined in the load–recovery balance model, which highlights the risk of maladaptation when recovery strategies are insufficient relative to training demands. Recent evidence among elite endurance athletes shows that recovery practices such as adequate sleep, nutrition, and active rest are the most frequently used and considered essential for maintaining performance and preventing overtraining [25]. Similarly, the variability in individual responses observed among participants reflects principles of the concurrent training interference effect, a well-documented phenomenon in which combining strength and endurance training within the same program may attenuate maximal strength gains depending on the sequencing and frequency of stimuli [2]. These perspectives reinforce the need for individualized and well-periodized programming to optimize performance in hybrid athletes.
By situating the results within these established theoretical models, this study contributes to a deeper understanding of how hybrid sports such as Hyrox© challenge both physiological adaptation and long-term athlete sustainability.
Given the exponential growth of the Hyrox© format and the limited availability of specific empirical research, future studies should focus on longitudinal analyses of the physiological, psychological, and injury profiles of Hyrox© athletes throughout competitive seasons, evaluate the effectiveness of different recovery protocols to improve performance and prevent injuries, perform biomechanical and internal load assessments during competitions and simulated sessions to optimize training design and reduce the risk of overuse, explore sex- and age-related differences, considering that the studied population to date has predominantly focused on adult male athletes, in order to better understand adaptations in female and master athletes, investigate psychological interventions aimed at motivation, emotional regulation, and the management of competitive pressure, and develop predictive performance models incorporating physiological, training, and psychological variables to enable more individualized preparation strategies.
Although this study provides relevant insights into the profile of Hyrox© athletes, some limitations must be acknowledged. First, the results were presented jointly for men and women. While the literature describes sex-specific physiological and recovery differences, the present study did not perform separate analyses due to the limited sample size, which restricts the possibility of making robust comparisons. This aspect should be addressed in future studies with larger and more balanced samples. Second, the sample was heterogeneous in terms of training and recovery methods, which makes it difficult to extract precise conclusions regarding optimal workload and adequate recovery conditions. Most participants appeared to be amateur practitioners, lacking systematic professional or medical supervision, which also conditions the findings. While this approach facilitated access to active Hyrox© athletes, it may limit the representativeness of the sample and restrict the generalizability of the findings to broader athlete populations. Finally, the retrospective design of the study does not allow for assessment of the evolution of parameters over time or the potential cumulative health effects after years of practice. Therefore, future research should adopt prospective and longitudinal designs that integrate training load control, recovery strategies, and medical supervision, as well as explore differences across sex and experience levels when feasible.

5. Conclusions

This study described the general profile of athletes participating in Hyrox© competitions, characterized by high weekly training demands, backgrounds in functional or endurance disciplines, and elevated performance levels in specific event tests. However, limited implementation of structured recovery strategies and the presence of load-related discomfort were identified, highlighting the need to incorporate recovery protocols and training monitoring.
The findings of this study reveal that Hyrox© athletes are characterized by high weekly training volumes (an average of 5.5 sessions per week, often including double sessions), solid backgrounds in functional or endurance disciplines, and well-developed strength and endurance capacities. However, the data also indicate that more than 40% of athletes do not follow structured recovery protocols, and that a considerable proportion report minor overload-related discomforts, underscoring a potential imbalance between training load and recovery management. Consequently, future studies should adopt a prospective and longitudinal approach, with particular emphasis on training load control, validated recovery protocols, and the influence of medical and coaching support on athletes’ performance and health development across several seasons and even after discontinuing participation. When larger and more balanced cohorts are available, sex-specific analyses should also be considered.

Supplementary Materials

The following supporting information can be downloaded at: https://www.mdpi.com/article/10.3390/app152111693/s1.

Author Contributions

Conceptualization, P.V.L. and D.J.S.-G.; methodology, P.V.L. and D.J.S.-G.; formal analysis, P.V.L., A.A.-O. and D.J.S.-G.; data curation, P.V.L.; writing—original draft preparation, P.V.L.; writing—review and editing, P.V.L., A.A.-O. and D.J.S.-G.; supervision, A.A.-O. and D.J.S.-G. All authors have read and agreed to the published version of the manuscript.

Funding

This research received no external funding.

Data Availability Statement

The data that support the findings of this study are available from the corresponding author upon reasonable request.

Conflicts of Interest

The authors declare no conflict of interest.

References

  1. HYROX. The Fitness Race [Web Page]. HYROX; 2024 [Official Website of HYROX Fitness Competitions]. Available online: https://hyrox.com/ (accessed on 14 May 2025).
  2. Wilson, J.M.; Marin, P.J.; Rhea, M.R.; Wilson, S.M.; Loenneke, J.P.; Anderson, J.C. Concurrent training: A meta-analysis examining interference of aerobic and resistance exercises. J. Strength Cond. Res. 2012, 26, 2293–2307. [Google Scholar] [CrossRef]
  3. Brito, M.A.; Fernandes, J.R.; de Carvalho, P.H.B.; Brito, C.J.; Aedo-Munoz, E.; Soto, D.A.S.; Miarka, B. Acute Effect of a Cross-Training Benchmark on Psychophysiological Factors of Cross-Training According to Performance. Sport Mont 2023, 21, 9–15. [Google Scholar] [CrossRef]
  4. Hickson, R.C. Interference of strength development by simultaneously training for strength and endurance. Eur. J. Appl. Physiol. Occup. Physiol. 1980, 45, 255–263. [Google Scholar] [CrossRef]
  5. Green, E.S.; Williams, E.R.; Feito, Y.; Jenkins, N.T. Physiological and Anthropometric Differences Among Endurance, Strength, and High-Intensity Functional Training Participants: A Cross-Sectional Study. Res. Q. Exerc. Sport 2023, 94, 131–142. [Google Scholar] [CrossRef]
  6. Brandt, T.; Ebel, C.; Lebahn, C.; Schmidt, A. Acute physiological responses and performance determinants in Hyrox(©)—A new running-focused high intensity functional fitness trend. Front. Physiol. 2025, 16, 1519240. [Google Scholar] [CrossRef]
  7. Schlegel, P. CrossFit® Training Strategies from the Perspective of Concurrent Training: A Systematic Review. J. Sports Sci. Med. 2020, 19, 670–680. [Google Scholar]
  8. Coffey, V.G.; Hawley, J.A. Concurrent exercise training: Do opposites distract? J. Physiol. 2017, 595, 2883–2896. [Google Scholar] [CrossRef] [PubMed]
  9. Gao, J.; Yu, L. Effects of concurrent training sequence on VO(2max) and lower limb strength performance: A systematic review and meta-analysis. Front. Physiol. 2023, 14, 1072679. [Google Scholar]
  10. Jones, T.W.; Howatson, G.; Russell, M.; French, D.N. Performance and neuromuscular adaptations following differing ratios of concurrent strength and endurance training. J. Strength. Cond. Res. 2013, 27, 3342–3351. [Google Scholar] [CrossRef]
  11. López-Gómez, E. El método Delphi en la investigación actual en educación: Una revisión teórica y metodológica. Educ. XX1 2018, 21, 17–40. [Google Scholar] [CrossRef]
  12. Braun-Trocchio, R.; Graybeal, A.J.; Kreutzer, A.; Warfield, E.; Renteria, J.; Harrison, K.; Williams, A.; Moss, K.; Shah, M. Recovery Strategies in Endurance Athletes. J. Funct. Morphol. Kinesiol. 2022, 7, 22. [Google Scholar] [CrossRef]
  13. Addleman, J.S.; Lackey, N.S.; DeBlauw, J.A.; Hajduczok, A.G. Heart Rate Variability Applications in Strength and Conditioning: A Narrative Review. J. Funct. Morphol. Kinesiol. 2024, 9, 93. [Google Scholar] [CrossRef]
  14. Tekin, R.T.; Kudas, S.; Buran, M.M.; Cabuk, S.; Akbasli, O.; Uludag, V.; Yosmaoglu, H.B. The relationship between resting heart rate variability and sportive performance, sleep and body awareness in soccer players. BMC Sports Sci. Med. Rehabil. 2025, 17, 58. [Google Scholar] [CrossRef]
  15. Javaloyes, A.; Sarabia, J.M.; Lamberts, R.P.; Moya-Ramon, M. Training Prescription Guided by Heart-Rate Variability in Cycling. Int. J. Sports Physiol. Perform. 2019, 14, 23–32. [Google Scholar] [CrossRef]
  16. Feito, Y.; Burrows, E.K.; Tabb, L.P. A 4-Year Analysis of the Incidence of Injuries Among CrossFit-Trained Participants. Orthop. J. Sports Med. 2018, 6, 2325967118803100. [Google Scholar] [CrossRef] [PubMed]
  17. Sugimoto, D.; Zwicker, R.L.; Quinn, B.J.; Myer, G.D.; Stracciolini, A. Part II: Comparison of Crossfit-Related Injury Presenting to Sports Medicine Clinic by Sex and Age. Clin. J. Sport Med. 2020, 30, 251–256. [Google Scholar] [CrossRef]
  18. Szeles, P.R.Q.; da Costa, T.S.; da Cunha, R.A.; Hespanhol, L.; Pochini, A.C.; Ramos, L.A.; Cohen, M. CrossFit and the Epidemiology of Musculoskeletal Injuries: A Prospective 12-Week Cohort Study. Orthop. J. Sports Med. 2020, 8, 2325967120908884. [Google Scholar] [CrossRef] [PubMed]
  19. da Costa, T.S.; Louzada, C.T.N.; Miyashita, G.K.; da Silva, P.H.J.; Sungaila, H.Y.F.; Lara, P.H.S.; Pochini, A.D.C.; Ejnisman, B.; Cohen, M.; Arliani, G.G. CrossFit®: Injury prevalence and main risk factors. Clinics 2019, 74, e1402. [Google Scholar] [CrossRef] [PubMed]
  20. Whiteman-Sandland, J.; Hawkins, J.; Clayton, D. The role of social capital and community belongingness for exercise adherence: An exploratory study of the CrossFit gym model. J. Health Psychol. 2018, 23, 1545–1556. [Google Scholar] [CrossRef]
  21. Gunning, E.; Golovkine, S.; Simpkin, A.; Burke, A.; Dillon, S.; Gore, S.; Moran, K.; O’Connor, S.; Whyte, E.; Bargary, N. A Multivariate Multilevel Longitudinal Functional Model for Repeatedly Observed Human Movement Data. arXiv 2024, arXiv:2408.08481. [Google Scholar] [CrossRef]
  22. Soligard, T.; Schwellnus, M.; Alonso, J.M.; Bahr, R.; Clarsen, B.; Dijkstra, H.P.; Gabbett, T.; Gleeson, M.; Hägglund, M.; Hutchinson, M.R.; et al. How much is too much? (Part 1) International Olympic Committee consensus statement on load in sport and risk of injury. Br. J. Sports Med. 2016, 50, 1030–1041. [Google Scholar] [CrossRef]
  23. Meeusen, R.; Duclos, M.; Foster, C.; Fry, A.; Gleeson, M.; Nieman, D.; Raglin, J.; Rietjens, G.; Steinacker, J.; Urhausen, A. Prevention, diagnosis, and treatment of the overtraining syndrome: Joint consensus statement of the European College of Sport Science and the American College of Sports Medicine. Med. Sci. Sports Exerc. 2013, 45, 186–205. [Google Scholar] [CrossRef] [PubMed]
  24. McCormick, A.; Meijen, C.; Marcora, S. Psychological Determinants of Whole-Body Endurance Performance. Sports Med. 2015, 45, 997–1015. [Google Scholar] [CrossRef] [PubMed]
  25. Bezuglov, E.; Lazarev, A.; Khaitin, V.; Chegin, S.; Tikhonova, A.; Talibov, O.; Gerasimuk, D.; Waśkiewicz, Z. The Prevalence of Use of Various Post-Exercise Recovery Methods after Training among Elite Endurance Athletes. Int. J. Environ. Res. Public. Health 2021, 18, 11698. [Google Scholar] [CrossRef] [PubMed]
Figure 1. Total competition time and in the Roxzone.
Figure 1. Total competition time and in the Roxzone.
Applsci 15 11693 g001
Figure 2. Weekly distribution of training sessions.
Figure 2. Weekly distribution of training sessions.
Applsci 15 11693 g002
Table 1. Athletes’ characteristics.
Table 1. Athletes’ characteristics.
Characteristicn (%)
Sex
Male58 (72.5)
Female22 (27.5)
Age range
18–24 years4 (5)
25–29 years8 (10)
30–34 years21 (26.3)
35–39 years15 (18.7)
40–44 years15 (18.7)
45–49 years12 (15)
50–54 years4 (5)
55–59 years0 (0)
60–64 years1 (1.3)
Sports background
Individual endurance sports33 (26.6)
Short-duration individual sports14 (11.3)
Team sports or racket sports21 (16.9)
Gym training: CrossFit©, Powerlifting50 (40.3)
Physical activity (walking or similar)6 (4.9)
Disclaimer/Publisher’s Note: The statements, opinions and data contained in all publications are solely those of the individual author(s) and contributor(s) and not of MDPI and/or the editor(s). MDPI and/or the editor(s) disclaim responsibility for any injury to people or property resulting from any ideas, methods, instructions or products referred to in the content.

Share and Cite

MDPI and ACS Style

Villarroel López, P.; Agudo-Ortega, A.; Juárez Santos-García, D. Characterization of the Profile of Hyrox© Athletes. Appl. Sci. 2025, 15, 11693. https://doi.org/10.3390/app152111693

AMA Style

Villarroel López P, Agudo-Ortega A, Juárez Santos-García D. Characterization of the Profile of Hyrox© Athletes. Applied Sciences. 2025; 15(21):11693. https://doi.org/10.3390/app152111693

Chicago/Turabian Style

Villarroel López, Paula, Aarón Agudo-Ortega, and Daniel Juárez Santos-García. 2025. "Characterization of the Profile of Hyrox© Athletes" Applied Sciences 15, no. 21: 11693. https://doi.org/10.3390/app152111693

APA Style

Villarroel López, P., Agudo-Ortega, A., & Juárez Santos-García, D. (2025). Characterization of the Profile of Hyrox© Athletes. Applied Sciences, 15(21), 11693. https://doi.org/10.3390/app152111693

Note that from the first issue of 2016, this journal uses article numbers instead of page numbers. See further details here.

Article Metrics

Back to TopTop