Implementation of High Air Voids Asphalt Mixtures on Trial Section—Performance Evaluation Case Study
Abstract
1. Introduction
2. Materials and Experimental Sections
2.1. Materials and Mix Design
2.2. Experimental Sections Construction
- 20 cm-thick sub-base layer made of crushed aggregate 0–31.5 mm,
- 6 cm-thick and 3.2 m-wide binder coarse made of asphalt concrete,
- 4 cm-thick and 3.0 m-wide surface coarse made of the experimental mixtures.
3. Testing Methods
3.1. Specimen Preparation and Curing
3.2. Water Sensitivity
3.3. Resistance to Low Temperature Cracking
3.4. Resistance to Fatigue
3.5. Complex Modulus
3.6. Water Drainage
4. Results and Discussion
4.1. Mechanical and Performance Tests
4.2. Water Permeability
5. Conclusions
- In most cases, the analyses revealed significant differences resulting from the mixture type and its parameters.
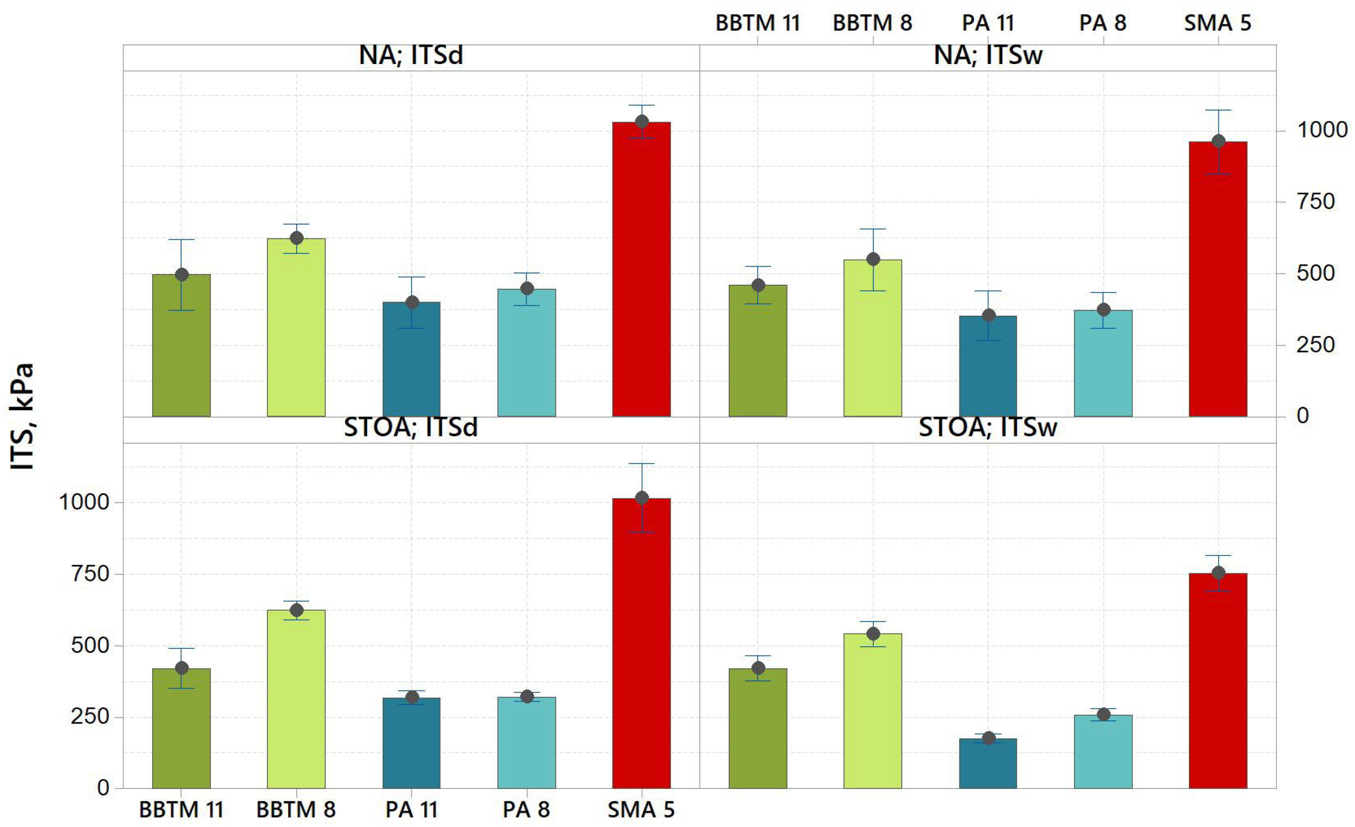
- In terms of water and frost resistance, the SMA 5 mixture demonstrated slightly better parameters than the other mixtures, but the significantly higher tensile strength values were particularly observed, regardless of the ageing and conditioning of the samples. For mixtures with higher void content and lower asphalt content, meeting the ITSR requirement of at least 90% proved difficult. STOA technological ageing adversely affects water and frost resistance.
- The results of the low-temperature crack resistance test under limited deformation conditions yielded slightly different conclusions. In this case, the best results in terms of fracture temperature were achieved by the PA 8 and PA 11 Porous Asphalt mixtures, while the lowest results were achieved by the SMA 5 mixture. At the same time, the mixtures with the highest void content were characterised by significantly lower tensile stress at fracture and significantly lower stress increase. Despite the relatively positive assessment of PA mixtures based on TSRST test results, it should be noted that the method itself does not account for more unfavourable conditions that may occur during operation, such as freezing of a water-saturated porous layer, which can occur especially in the case of dirt or impeded drainage from the pavement.
- The third analysed characteristic was fatigue resistance. This phenomenon is primarily attributed to the lower structural layers, but the mechanism of fatigue crack initiation in the wearing course on roads with very heavy traffic is also known. In this case, the SMA 5 mixture is characterised by significantly higher fatigue life than the BBTM 8 and PA 8 mixtures. This is due to the beneficial effect of increased binder content and lower void content.
- According to the laboratory and in situ water permeability tests, it should be noticed that in the laboratory mixtures with finer aggregate gradation, such as BBTM 8 and PA 8, exhibit lower horizontal permeability than their corresponding mixtures with coarser gradation, namely, BBTM 11 and PA 11. In the field, the PA 11 mixture demonstrates the most favourable drainage performance. Moreover, as the air void content increases, water drainage improves.
Author Contributions
Funding
Institutional Review Board Statement
Informed Consent Statement
Data Availability Statement
Conflicts of Interest
Abbreviations
| OGFC | Open-Graded Friction Course |
| RAP | Reclaimed Asphalt Pavement |
| SMA | Stone Mastic Asphalt |
| BBTM | Béton Bitumineux Très Mince (Very Thin Bituminous Concrete) |
| PA | Porous Asphalt |
| PMB | Polymer-Modified Bitumen |
| CT | Computed Tomography |
| NA | Non-Aged (unaged specimens) |
| STOA | Short Term Oven Ageing |
| ITS | Indirect Tensile Strength |
| ITSd | Indirect Tensile Strength (dry specimens) |
| ITSw | Indirect Tensile Strength (wet specimens) |
| ITSR | Indirect Tensile Strength Ratio |
| LTC | Low Temperature Cracking |
| TSRST | Thermal Stress Restrained Specimen Test |
| 4PB | Four-Point Bending |
| Kv | Vertical Permeability coefficient |
| Kh | Horizontal Permeability coefficient |
References
- McGhee, K.K.; Clark, T.M. Functionally optimized wearing course: Installation report. Transp. Res. Rec. 2010, 2180, 150–155. [Google Scholar] [CrossRef]
- Hamzah, M.O.; Hasan, M.R.M.; van de Ven, M. Permeability loss in porous asphalt due to binder creep. Constr. Build. Mater. 2012, 30, 10–15. [Google Scholar] [CrossRef]
- Kowalski, K.J.; McDaniel, R.S.; Shah, A.; Olek, J. Long-Term Monitoring of Noise and Frictional Properties of Three Pavements: Dense-Graded Asphalt, Stone Matrix Asphalt, and Porous Friction Course. Transp. Res. Rec. (TRR) J. Transp. Res. Board (TRB) 2009, 2127, 12–19. [Google Scholar] [CrossRef]
- Ranieri, V.; Sansalone, J.J.; Shuler, S. Relationships among Gradation Curve, Clogging Resistance, and Pore-Based Indices of Porous Asphalt Mixes. Road Mater. Pavement Des. 2010, 11 (Suppl. S1), 507–525. [Google Scholar] [CrossRef]
- Fedele, V.; Berloco, N.; Colonna, P.; Hertrich, A.; Intini, P.; Ranieri, V.; Sansalone, J.J. Computational Fluid Dynamics as a Tool to Estimate Hydraulic Conductivity of Permeable Asphalts. Transp. Res. Rec. 2020, 2674, 370–383. [Google Scholar] [CrossRef]
- Chen, S.; You, Z.; Yang, S.-L.; Zhou, X. Prediction of the coefficient of permeability of asphalt mixtures using the lattice Boltzmann method. Constr. Build. Mater. 2020, 240, 117896. [Google Scholar] [CrossRef]
- Chen, J.; Wang, H.; Zhu, H. Investigation of permeability of open graded asphalt mixture considering effects of anisotropy and two-dimensional flow. Constr. Build. Mater. 2017, 145, 318–325. [Google Scholar] [CrossRef]
- Sun, J.; Zhang, H.; Xie, K.; Jiang, L.; Ren, T.; Sun, Y. Meso-structural evolution characteristics of porous asphalt mixtures with stress-induced and their effects on environmental functions. Constr. Build. Mater. 2024, 432, 136687. [Google Scholar] [CrossRef]
- Liu, Y.; Xie, J.; Wei, D.; Tan, Y. Research on the permanent deformation mechanism and dynamic meso-mechanical response of porous asphalt mixture composite structure using the discrete element method. Constr. Build. Mater. 2023, 407, 133531. [Google Scholar] [CrossRef]
- Maia, R.S.; Lu, Y.; Hajj, R. Porous asphalt mixture performance in cold regions: Case study of Chicago. Case Stud. Constr. Mater. 2024, 20, e03250. [Google Scholar] [CrossRef]
- Guo, M.; Yao, X.; Du, X. Low temperature cracking behavior of asphalt binders and mixtures: A review. J. Road Eng. 2023, 3, 350–369. [Google Scholar] [CrossRef]
- Pszczoła, M.; Ryś, D.; Jaskuła, P. Analysis of climatic zones in Poland with regard to asphalt performance grading. Roads Bridges–Drog. I Mosty 2017, 16, 245–264. [Google Scholar] [CrossRef]
- Zhou, Y.; Cheng, Z.; Zheng, X.; Wang, T.; Wu, X.; Yu, X.; Xie, S. A holistic exploration of porous asphalt mixtures: From durability and permeability to low-temperature and functional properties. Heliyon 2025, 11, e41437. [Google Scholar] [CrossRef]
- Ranieri, V.; Berloco, N.; Garofalo, F.; He, L.; Intini, P.; Kowalski, K.J. Effects of Reclaimed Asphalt, Wax Additive, and Compaction Temperature on Characteristics and Mechanical Properties of Porous Asphalt. Balt. J. Road Bridge Eng. 2022, 17, 187–213. [Google Scholar] [CrossRef]
- De Pascale, B.; Tataranni, P.; Lantieri, C.; Bonoli, A.; Vignali, V. Mechanical performance and environmental assessment of porous asphalt mixtures produced with EAF steel slags and RAP aggregates. Constr. Build. Mater. 2023, 400, 132889. [Google Scholar] [CrossRef]
- Ma, F.; Wang, Y.; Shi, K.; Fu, Z.; Huang, R.; Lou, B.; Barbieri, D.M.; Zhu, C.; Zhao, Z. Stiffness, fatigue and cracking performance of porous asphalt concrete under varying freeze-thaw cycles. Constr. Build. Mater. 2025, 483, 141709. [Google Scholar] [CrossRef]
- Sun, B.; Li, M.; Yang, L.; Li, D. Mitigation of freeze-thaw damage to open-graded friction courses in seasonal climate areas via a binary phase change system. Constr. Build. Mater. 2024, 412, 134764. [Google Scholar] [CrossRef]
- Liu, S.; Huang, R.; Wang, J.; Bie, J.; Hernandez, A.G. Shear strength parameters for porous asphalt mixtures: From macro to meso. Mater. Des. 2024, 238, 112670. [Google Scholar] [CrossRef]
- Arrieta, V.S.; Córdoba Maquilón, J.E. Resistance to Degradation or Cohesion Loss in Cantabro Test on Specimens of Porous Asphalt Friction Courses. Procedia—Soc. Behav. Sci. 2014, 162, 290–299. [Google Scholar] [CrossRef]
- Skaf, M.; Espinosa, A.; Ortega-López, V.; Revilla-Cuesta, V.; Manso, J.M. Field study evolution on a porous asphalt mixture pavement containing ladle furnace slag. Case Stud. Constr. Mater. 2025, 22, e04115. [Google Scholar] [CrossRef]
- Yuan, G.; Zhang, J.; Ren, Z.; Zhao, Z. Study on compaction characteristics and mechanical performance deterioration of large stone porous asphalt mixes. Constr. Build. Mater. 2023, 400, 132777. [Google Scholar] [CrossRef]
- Dehnad, M.H.; Akbari, A.; Hamedi, G.H. The effect of zirconium dioxide on the moisture sensitivity of porous asphalt mixtures under moisture situations with different degrees of acidity. Constr. Build. Mater. 2025, 492, 142899. [Google Scholar] [CrossRef]
- DeLaFuente-Navarro, C.; Lastra-González, P.; Indacoechea-Vega, I.; Castro-Fresno, D. Mechanical, rheological and functional consequences of healing of porous asphalt mixtures by magnetic induction. Constr. Build. Mater. 2024, 453, 139090. [Google Scholar] [CrossRef]

















| Properties | Method | Unit | Results |
|---|---|---|---|
| Penetration | EN 1426 | 0.1 mm | 54 |
| Softening point by R&B | EN 1427 | °C | 68 |
| Elastic recovery at 25 °C | EN 13398 | % | 87 |
| Aggregate Fraction | Unit | Results |
|---|---|---|
| Lime filler | Mg/m3 | 2.630 |
| Crushed gabbro sand | Mg/m3 | 3.050 |
| Crushed gabbro aggr. 2/5 | Mg/m3 | 2.970 |
| Crushed gabbro aggr. 5/8 | Mg/m3 | 2.980 |
| Crushed gabbro aggr. 8/11 | Mg/m3 | 3.020 |
| Mixture | Bulk Density | Max. Density | Bitumen Content | Air Voids (Lab Mixture) | Water Sensitivity | Cantabro Particle Lost | Mastic Drainage | Air Voids (Layer) |
|---|---|---|---|---|---|---|---|---|
| Method | EN 12697-6 | EN 12697-5 | Recipe | EN 12697-8 | EN 12697-12 | EN 12697-17 | EN 12697-18 | EN 12697-8 |
| mg/m3 | mg/m3 | % m/m | % v/v | % | % | % | % v/v | |
| SMA 5 | 2.501 | 2.607 | 7.0 | 4.1 | 94 | -- | 0.10 | 7.7 |
| BBTM 8 | 2.286 | 2.975 | 6.3 | 13.8 | 88 | 2.3 | 0.10 | 13.1 |
| BBTM 11 | 2.180 | 2.999 | 6.1 | 18.6 | 92 | 6.3 | 0.20 | 12.9 |
| PA 8 | 2.026 | 2.966 | 6.3 | 23.4 | 84 | 7.2 | 0.10 | 21.5 |
| PA 11 | 1.989 | 3.000 | 6.4 | 25.8 | 88 | 26.2 | 0.10 | 22.7 |
| Parameter | SMA 5 | BBTM 8 | BBTM 11 | PA 8 | PA 11 |
|---|---|---|---|---|---|
| ITSR, % | −19.0 | −1.9 | 8.0 | −3.4 | −32.1 |
| ITSd, kPa | −11.8 | 5.3 | −78.1 | −118.3 | −81.3 |
| ITSw, kPa | −204.6 | −7.0 | −37.9 | −110.4 | −173.5 |
Disclaimer/Publisher’s Note: The statements, opinions and data contained in all publications are solely those of the individual author(s) and contributor(s) and not of MDPI and/or the editor(s). MDPI and/or the editor(s) disclaim responsibility for any injury to people or property resulting from any ideas, methods, instructions or products referred to in the content. |
© 2025 by the authors. Licensee MDPI, Basel, Switzerland. This article is an open access article distributed under the terms and conditions of the Creative Commons Attribution (CC BY) license (https://creativecommons.org/licenses/by/4.0/).
Share and Cite
Bańkowski, W.; Król, J.B.; Kowalski, K.J.; Horodecka, R. Implementation of High Air Voids Asphalt Mixtures on Trial Section—Performance Evaluation Case Study. Appl. Sci. 2025, 15, 11298. https://doi.org/10.3390/app152011298
Bańkowski W, Król JB, Kowalski KJ, Horodecka R. Implementation of High Air Voids Asphalt Mixtures on Trial Section—Performance Evaluation Case Study. Applied Sciences. 2025; 15(20):11298. https://doi.org/10.3390/app152011298
Chicago/Turabian StyleBańkowski, Wojciech, Jan B. Król, Karol J. Kowalski, and Renata Horodecka. 2025. "Implementation of High Air Voids Asphalt Mixtures on Trial Section—Performance Evaluation Case Study" Applied Sciences 15, no. 20: 11298. https://doi.org/10.3390/app152011298
APA StyleBańkowski, W., Król, J. B., Kowalski, K. J., & Horodecka, R. (2025). Implementation of High Air Voids Asphalt Mixtures on Trial Section—Performance Evaluation Case Study. Applied Sciences, 15(20), 11298. https://doi.org/10.3390/app152011298

