Design of the Front Electrode Patterns of Solar Cells Using Geometry-Driven Optimization Method Based on Wide Quadratic Curves
Abstract
1. Introduction
2. Model of Solar Cells
2.1. Solar Cell Operation
2.2. Finite Element Model of Solar Cells
3. Geometry-Driven Optimization Formulation
3.1. Geometric Representation Scheme
3.2. Defining Objective Function
3.3. Sensitivity Analysis
3.4. Update Design Variable
4. Results and Discussions
4.1. Dependency on the Initial Geometry Patterns
4.2. Dependency on the Number of Wide Quadratic Curves
4.3. Dependency on the Mesh Resolution
4.4. Effect of Solar Cell Size
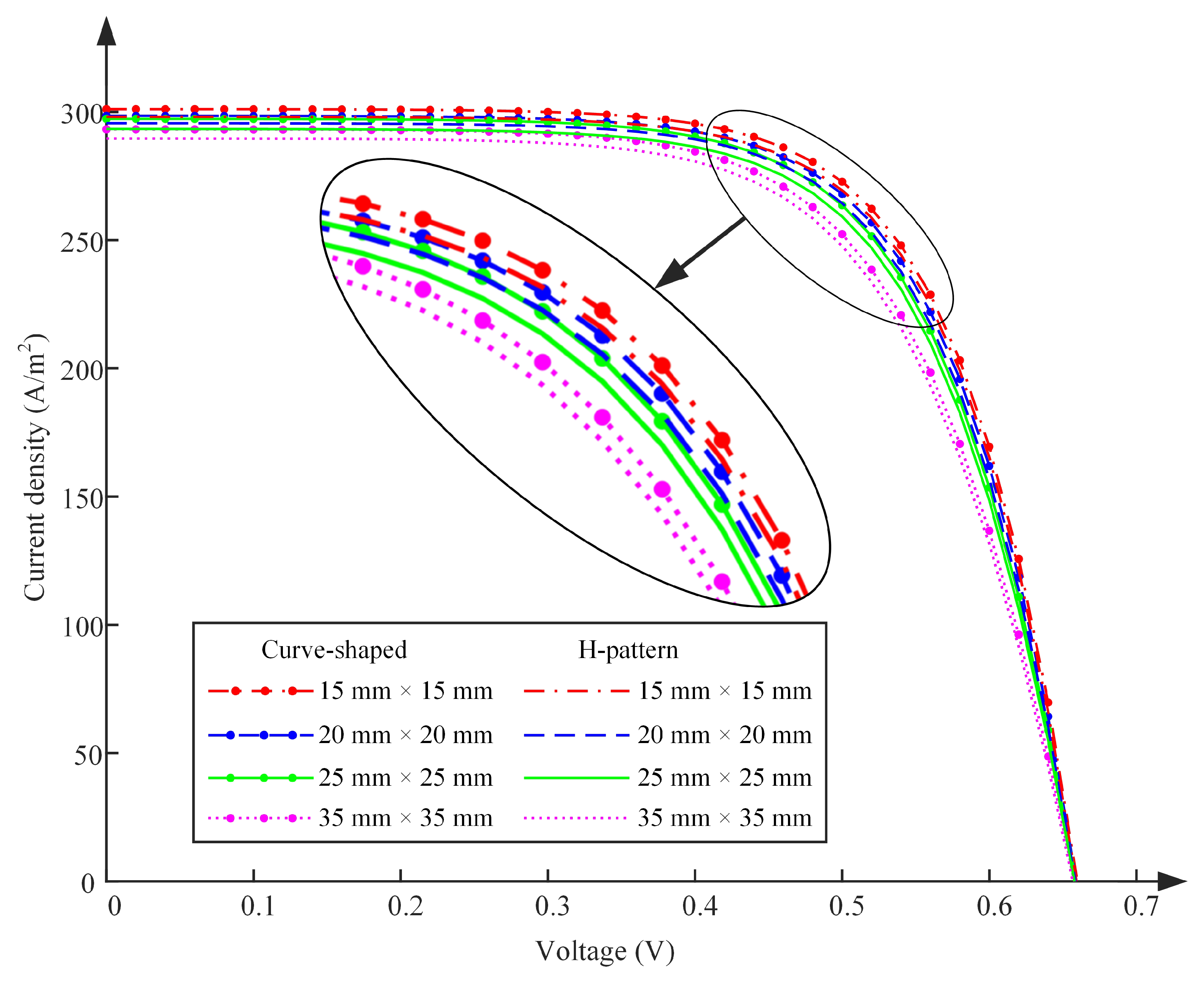
4.5. Preliminary Comparison with H-Parttern Electrode
5. Conclusions
Author Contributions
Funding
Institutional Review Board Statement
Informed Consent Statement
Data Availability Statement
Conflicts of Interest
References
- Green, M.A.; Dunlop, E.D.; Yoshita, M.; Kopidakis, N.; Bothe, K.; Siefer, G.; Hao, X.; Jiang, J.Y. Solar Cell Efficiency Tables (Version 65). Prog. Photovoltaics 2025, 33, 3–15. [Google Scholar] [CrossRef]
- Zhao, S.; Li, Q.; Sun, Y.; Wang, D.; Song, Q.; Zhou, S.; Li, J.; Li, Y. Application of multi-objective optimization based on Sobol sensitivity analysis in solar single-double-effect LiBr-H2O absorption refrigeration. Front. Energy 2025, 19, 69–87. [Google Scholar] [CrossRef]
- Han, A.; Wang, X.; Liu, X.; Huang, Y.; Meng, F.; Liu, Z. Improvement of Ga distribution in Cu(In, Ga)(S, Se)2 film by pretreated Mo back contact. Sol. Energy 2018, 162, 109–116. [Google Scholar] [CrossRef]
- Adrian, A.; Rudolph, D.; Willenbacher, N.; Lossen, J. Finger metallization using pattern transfer printing technology for c-Si solar cell. IEEE J. Photovolt. 2020, 10, 1290–1298. [Google Scholar] [CrossRef]
- Shen, W.; Zhao, Y.; Liu, F. Highlights of mainstream solar cell efficiencies in 2024. Front. Energy 2025, 19, 8–17. [Google Scholar] [CrossRef]
- Pingel, S.; Wenzel, T.; Göttlicher, N.; Linse, M.; Folcarelli, L.; Schube, J.; Hoffmann, S.; Tepner, S.; Lau, Y.C.; Huyeng, J.; et al. Progress on the reduction of silver consumption in metallization of silicon heterojunction solar cells. Sol. Energy Mater. Sol. Cells 2024, 265, 112620. [Google Scholar] [CrossRef]
- Green, M.A. Solar Cells: Operating Principles, Technology, and System Applications; Prentice-Hall, Inc.: Englewood Cliffs, NJ, USA, 1982. [Google Scholar]
- Djeffal, F.; Bendib, T.; Arar, D.; Dibi, Z. An optimized metal grid design to improve the solar cell performance under solar concentration using multiobjective computation. Mater. Sci. Eng. B-Adv. Funct. Solid-State Mater. 2013, 178, 574–579. [Google Scholar] [CrossRef]
- Li, K.; Yang, Z.; Zhang, X. Size optimization of the front electrode and solar cell using a combined finite-element-genetic algorithm method. J. Photonics Energy 2021, 11, 034502. [Google Scholar] [CrossRef]
- Nakano-Baker, O.; Boyd, C.; Cramer, C.; Brush, L.; MacKenzie, J.D. Isotropic Grids Revisited: A Numerical Study of Solar Cell Electrode Geometries. IEEE Trans. Electron. Devices 2022, 69, 3783–3790. [Google Scholar] [CrossRef]
- Li, K.; Wang, R.; Zhang, X.; Zhu, B.; Liang, J.; Yang, Z. Topology optimization of the front electrode patterns of solar cells based on moving wide Bezier curves with constrained end. Struct. Multidiscip. Optim. 2022, 65, 57. [Google Scholar] [CrossRef]
- Liang, J.; Zhang, X.; Zhu, B.; Zhang, H.; Wang, R. Topology Optimization Method for Designing Compliant Mechanism With Given Constant Force Range. J. Mech. Robot. 2023, 15, 1942–4302. [Google Scholar] [CrossRef]
- Wang, R.; Zhang, X.; Zhu, B.; Li, H.; Zhong, X.; Xu, N. A Topology-Optimized Compliant Microgripper With Replaceable Modular Tools for Cross-Scale Microassembly. IEEE-ASME Trans. Mechatron. 2024, 29, 2067–2078. [Google Scholar] [CrossRef]
- Zhang, W.; Li, D.; Zhou, J.; Du, Z.; Li, B.; Guo, X. A moving morphable void (MMV)-based explicit approach for topology optimization considering stress constraints. Comput. Meth. Appl. Mech. Eng. 2018, 334, 381–413. [Google Scholar] [CrossRef]
- Zhang, W.; Lai, Q.; Guo, X.; Youn, S.K. Topology optimization for the design of manufacturable piezoelectric energy harvesters using dual-moving morphable component method. J. Mech. Des. 2024, 146, 121701. [Google Scholar] [CrossRef]
- Zhang, W.; Zhang, S.; Youn, S.K.; Guo, X. Non-parametric geometry patching technique for MMC topology optimization. Struct. Multidiscip. Optim. 2024, 67, 77. [Google Scholar] [CrossRef]
- Zhu, B.; Wang, R.; Liang, J.; Lai, J.; Zhang, H.; Li, H.; Li, H.; Nishiwaki, S.; Zhang, X. Design of compliant mechanisms: An explicit topology optimization method using end-constrained spline curves with variable width. Mech. Mach. Theory 2022, 171, 104713. [Google Scholar] [CrossRef]
- Gupta, D.K.; Langelaar, M.; Barink, M.; van Keulen, F. Topology optimization of front metallization patterns for solar cells. Struct. Multidiscip. Optim. 2015, 51, 941–955. [Google Scholar] [CrossRef]
- Gupta, D.K.; Barink, M.; Galagan, Y.; Langelaar, M. Integrated Front-Rear-Grid Optimization of Free-Form Solar Cells. IEEE J. Photovolt. 2017, 7, 294–302. [Google Scholar] [CrossRef]
- Gupta, D.K.; Barink, M.; Langelaar, M. CPV solar cell modeling and metallization optimization. Sol. Energy 2018, 159, 868–881. [Google Scholar] [CrossRef]
- Gupta, D.K.; Langelaar, M.; Barink, M.; van Keulen, F. Optimizing front metallization patterns: Efficiency with aesthetics in free-form solar cells. Renew. Energy 2016, 86, 1332–1339. [Google Scholar] [CrossRef]
- Zhang, X.; Zhu, B. Topology Optimization of Compliant Mechanisms, 1st ed.; Springer: Singapore, 2018; p. 192. [Google Scholar]
- Bendsoe, M.P.; Sigmund, O. Topology Optimization: Theory, Methods, and Applications; Springer Science & Business Media: Berlin/Heidelberg, Germany, 2013. [Google Scholar]
- Liang, J.; Zhang, X.; Zhu, B. Nonlinear topology optimization of parallel-grasping microgripper. Precis. Eng.-J. Int. Soc. Precis. Eng. Nanotechnol. 2019, 60, 152–159. [Google Scholar] [CrossRef]
- Zhang, W.; Tian, H.; Zhu, B.; Guo, X.; Youn, S.K. Multi-Set MMV Topology Optimization Approach for Sliding Surface Texture Design. Int. J. Numer. Methods Eng. 2025, 126, e7612. [Google Scholar] [CrossRef]
- Zhu, B.; Zhang, X.; Zhang, H.; Liang, J.; Zang, H.; Li, H.; Wang, R. Design of compliant mechanisms using continuum topology optimization: A review. Mech. Mach. Theory 2020, 143, 103622. [Google Scholar] [CrossRef]
- Zhu, B.; Wang, R.; Wang, N.; Li, H.; Zhang, X.; Nishiwaki, S. Explicit structural topology optimization using moving wide Bezier components with constrained ends. Struct. Multidiscip. Optim. 2021, 64, 53–70. [Google Scholar] [CrossRef]
- Shockley, W. The Theory of p-n Junctions in Semiconductors and p-n Junction Transistors. Bell Syst. Tech. J. 1949, 28, 435–489. [Google Scholar] [CrossRef]
- Guo, X.; Zhang, W.; Zhong, W. Doing Topology Optimization Explicitly and Geometrically—A New Moving Morphable Components Based Framework. J. Appl. Mech.-Trans. ASME 2014, 81, 081009. [Google Scholar] [CrossRef]
- Guo, X.; Zhang, W.; Zhang, J.; Yuan, J. Explicit structural topology optimization based on moving morphable components (MMC) with curved skeletons. Comput. Meth. Appl. Mech. Eng. 2016, 310, 711–748. [Google Scholar] [CrossRef]
- Zhang, W.; Yuan, J.; Zhang, J.; Guo, X. A new topology optimization approach based on Moving Morphable Components (MMC) and the ersatz material model. Struct. Multidiscip. Optim. 2016, 53, 1243–1260. [Google Scholar] [CrossRef]
- Svanberg, K. The method of moving asymptotes—A new method for structural optimization. Int. J. Numer. Methods Eng. 1987, 24, 359–373. [Google Scholar] [CrossRef]




















| Case 1 | Case 2 | Case 3 | Case 4 | Case 5 | |
|---|---|---|---|---|---|
| (%) | 13.607 | 13.614 | 13.569 | 13.586 | 13.581 |
| 0.507 | 0.508 | 0.507 | 0.507 | 0.505 |
| 4 | 6 | 8 | 10 | 12 | 14 | |
|---|---|---|---|---|---|---|
| (%) | 13.439 | 13.607 | 13.653 | 13.666 | 13.661 | 13.653 |
| 0.502 | 0.507 | 0.509 | 0.510 | 0.510 | 0.510 |
| Efficiency | Case a | Case b | Case c | Case d | |
|---|---|---|---|---|---|
| Side-contact solar cell | (%) (%) [18] | 13.607 12.46 | 13.598 12.98 | 13.596 13.02 | 13.589 13.04 |
| PUM solar cell | (%) (%) [18] | 13.886 12.84 | 13.916 13.11 | 13.906 13.16 | 13.894 13.43 |
| Cell Sizes | ||||
|---|---|---|---|---|
| (%) | 13.886 | 13.408 | 12.480 | 11.422 |
| 0.512 | 0.507 | 0.489 | 0.468 | |
| (%) | 3.583 | 6.171 | 7.875 | 9.977 |
| (%) [18] | 12.84 | 12.36 | 11.54 | 10.70 |
| [18] | 0.502 | 0.495 | 0.481 | 0.466 |
| Cell Size | Busbar Width | Finger Width | Finger Number |
|---|---|---|---|
| 300.13 | 54.19 | 8 | |
| 513.49 | 55.95 | 11 | |
| 806.17 | 57.51 | 14 | |
| 1536.99 | 60.76 | 20 |
| Cell Sizes | ||||
|---|---|---|---|---|
| () (Curve-shaped) | 301.062 | 298.480 | 297.288 | 293.437 |
| () (H-pattern) | 298.085 | 295.600 | 293.326 | 289.643 |
| Improvement in () | 2.977 | 2.880 | 3.962 | 3.794 |
| (V) (Curve-shaped) | 0.6598 | 0.6592 | 0.6589 | 0.6579 |
| (V) (H-pattern) | 0.6592 | 0.6586 | 0.6580 | 0.6569 |
| Improvement in (V) | 0.0006 | 0.0006 | 0.0009 | 0.0010 |
| () (Curve-shaped) | 267.923 | 265.014 | 263.203 | 257.896 |
| () (H-pattern) | 265.204 | 262.380 | 259.664 | 254.602 |
| Improvement in () | 2.719 | 2.634 | 3.539 | 3.294 |
| (V) (Curve-shaped) | 0.5100 | 0.5060 | 0.5008 | 0.4901 |
| (V) (H-pattern) | 0.5086 | 0.5040 | 0.4922 | 0.4879 |
| Improvement in (V) | 0.0014 | 0.0020 | 0.0016 | 0.0022 |
| (%) (Curve-shaped) | 68.785 | 68.156 | 67.290 | 65.475 |
| (%) (H-pattern) | 68.649 | 67.929 | 67.153 | 65.288 |
| Improvement in (%) | 0.136 | 0.227 | 0.137 | 0.187 |
| (%) (Curve-shaped) | 13.664 | 13.410 | 13.181 | 12.652 |
| (%) (H-pattern) | 13.489 | 13.225 | 12.961 | 12.422 |
| Improvement in (%) | 0.175 | 0.185 | 0.220 | 0.230 |
| Relative improvement in (%) | 1.297 | 1.399 | 1.697 | 1.852 |
| (%) (Curve-shaped) | 4.027 | 5.062 | 5.197 | 6.230 |
| (%) (H-pattern) | 4.833 | 5.556 | 6.341 | 7.771 |
| Reduction in (%) | 0.806 | 0.494 | 1.144 | 1.541 |
| Relative reduction in (%) | 16.677 | 8.891 | 18.041 | 19.830 |
Disclaimer/Publisher’s Note: The statements, opinions and data contained in all publications are solely those of the individual author(s) and contributor(s) and not of MDPI and/or the editor(s). MDPI and/or the editor(s) disclaim responsibility for any injury to people or property resulting from any ideas, methods, instructions or products referred to in the content. |
© 2025 by the authors. Licensee MDPI, Basel, Switzerland. This article is an open access article distributed under the terms and conditions of the Creative Commons Attribution (CC BY) license (https://creativecommons.org/licenses/by/4.0/).
Share and Cite
Li, K.; Liu, Y.; Li, P. Design of the Front Electrode Patterns of Solar Cells Using Geometry-Driven Optimization Method Based on Wide Quadratic Curves. Appl. Sci. 2025, 15, 11154. https://doi.org/10.3390/app152011154
Li K, Liu Y, Li P. Design of the Front Electrode Patterns of Solar Cells Using Geometry-Driven Optimization Method Based on Wide Quadratic Curves. Applied Sciences. 2025; 15(20):11154. https://doi.org/10.3390/app152011154
Chicago/Turabian StyleLi, Kai, Yongjiang Liu, and Peizheng Li. 2025. "Design of the Front Electrode Patterns of Solar Cells Using Geometry-Driven Optimization Method Based on Wide Quadratic Curves" Applied Sciences 15, no. 20: 11154. https://doi.org/10.3390/app152011154
APA StyleLi, K., Liu, Y., & Li, P. (2025). Design of the Front Electrode Patterns of Solar Cells Using Geometry-Driven Optimization Method Based on Wide Quadratic Curves. Applied Sciences, 15(20), 11154. https://doi.org/10.3390/app152011154

