Optimal Scheduling of Microgrids Based on an Improved Dung Beetle Optimization Algorithm
Abstract
1. Introduction
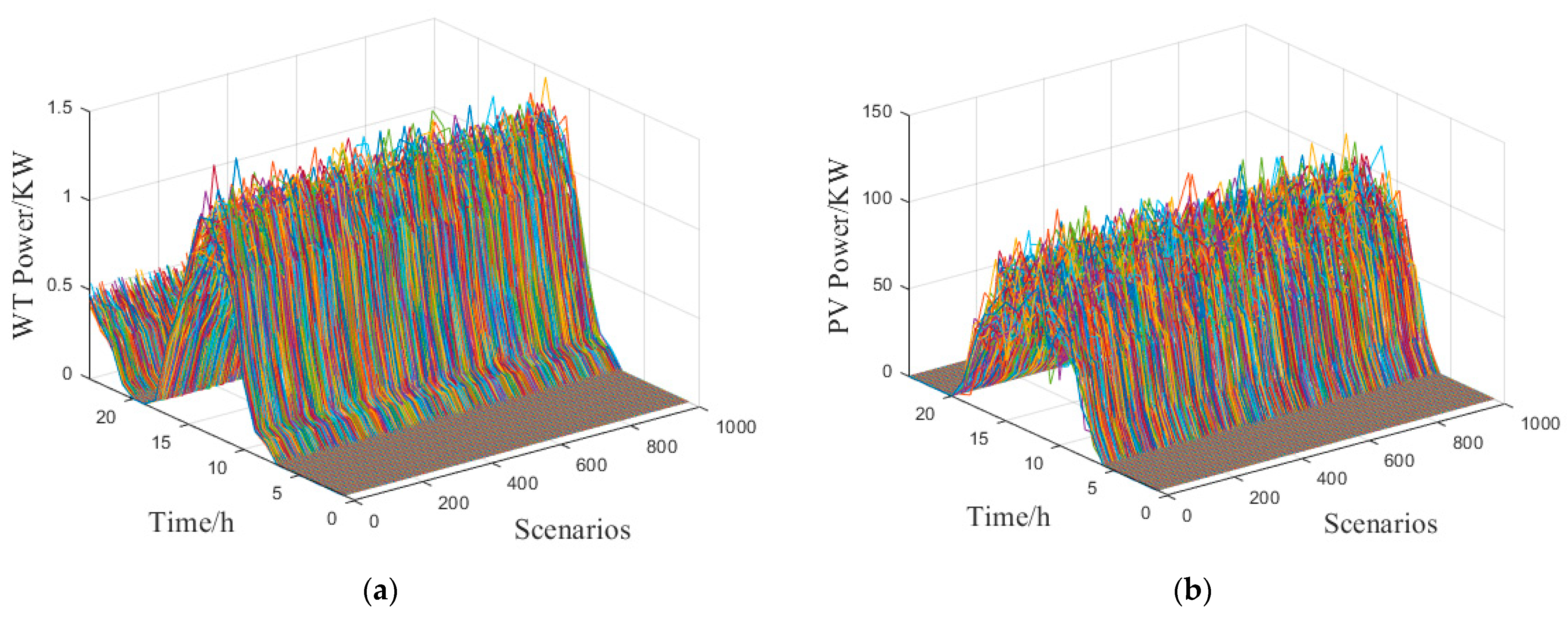
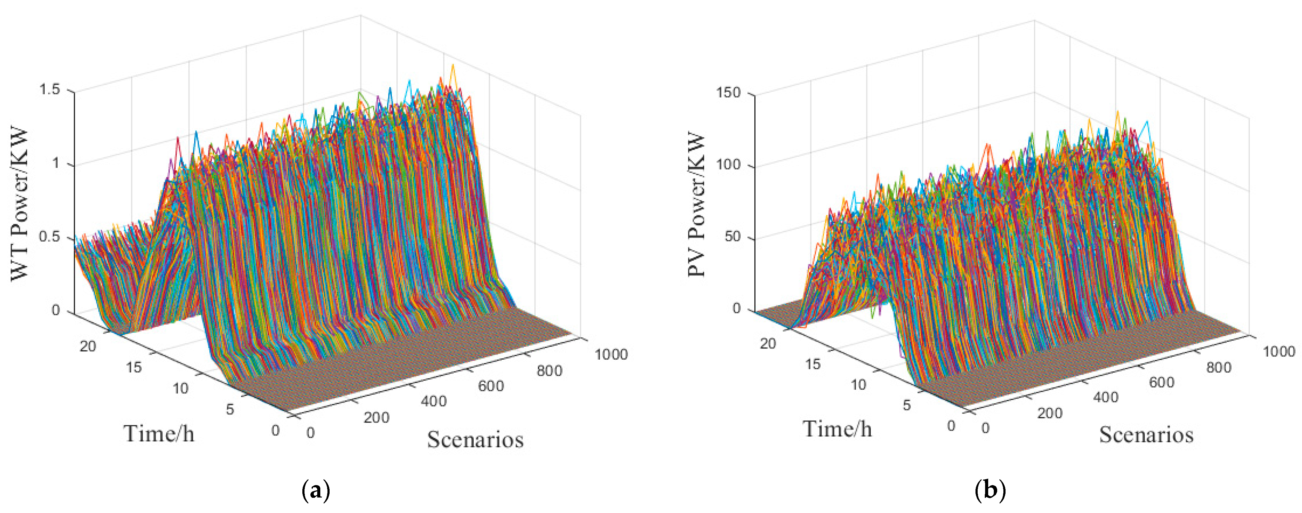
- A more comprehensive microgrid scheduling model. In response to the shortcomings of existing research in terms of system efficiency, power supply reliability, and economic optimization, an integrated optimal scheduling model is constructed, considering DR and the uncertainties of wind and solar power. Under the time-of-use pricing mechanism, DR is divided into two categories for modeling: reducible load and transferable load. Additionally, the Monte Carlo scenario sampling combined with the K-means clustering algorithm is proposed to simulate the uncertainties of wind and solar power output. This approach effectively addresses the issue of insufficient consideration of uncertainty factors in traditional optimization models.
- Based on Improved Dung Beetle Optimization algorithm (IDBO). An improved DBO is developed to address the limitations of traditional optimization algorithms in terms of convergence speed, solution accuracy, and the ability to escape local optima. Tent chaotic mapping initialization, non-dominated sorting, and elite reverse learning strategy are introduced to improve the performance of DBO. These enhancements significantly improve the algorithm’s global search capability and convergence performance, providing a more effective tool for solving complex microgrid optimal scheduling issues.
- The proposed model and algorithm are verified from multiple scenarios. Compared to existing methods, simulation experiments for various operational scenarios are designed. Through comparative analysis, the feasibility and superiority of the proposed model and the IDBO are validated. By comparing some indicators, the feasibility of the proposed model and algorithm is verified, providing a new idea for improving the reliability and economy of microgrid system.
2. Microgrid Operation Structure
2.1. Model of Distributed Generations
2.1.1. Photovoltaic Array
2.1.2. Wind Turbine
2.1.3. Micro Gas Turbine
2.1.4. Diesel Generator
2.1.5. Energy Storage
2.2. Microgrid Demand Response Model
3. Microgrid Multi-Objective Optimization Model
3.1. Objective Function
3.1.1. Operational Cost
3.1.2. Environmental Treatment Cost
3.2. Constraints
3.2.1. Power Balance Constraints
3.2.2. Output Constraints
3.2.3. Climbing Constraints
3.2.4. Grid Constraints
3.2.5. Battery Energy Storage System Constraints
3.3. Expression of Optimization Model
3.4. Uncertainty of Wind and Solar Power
3.4.1. Monte Carlo Sampling
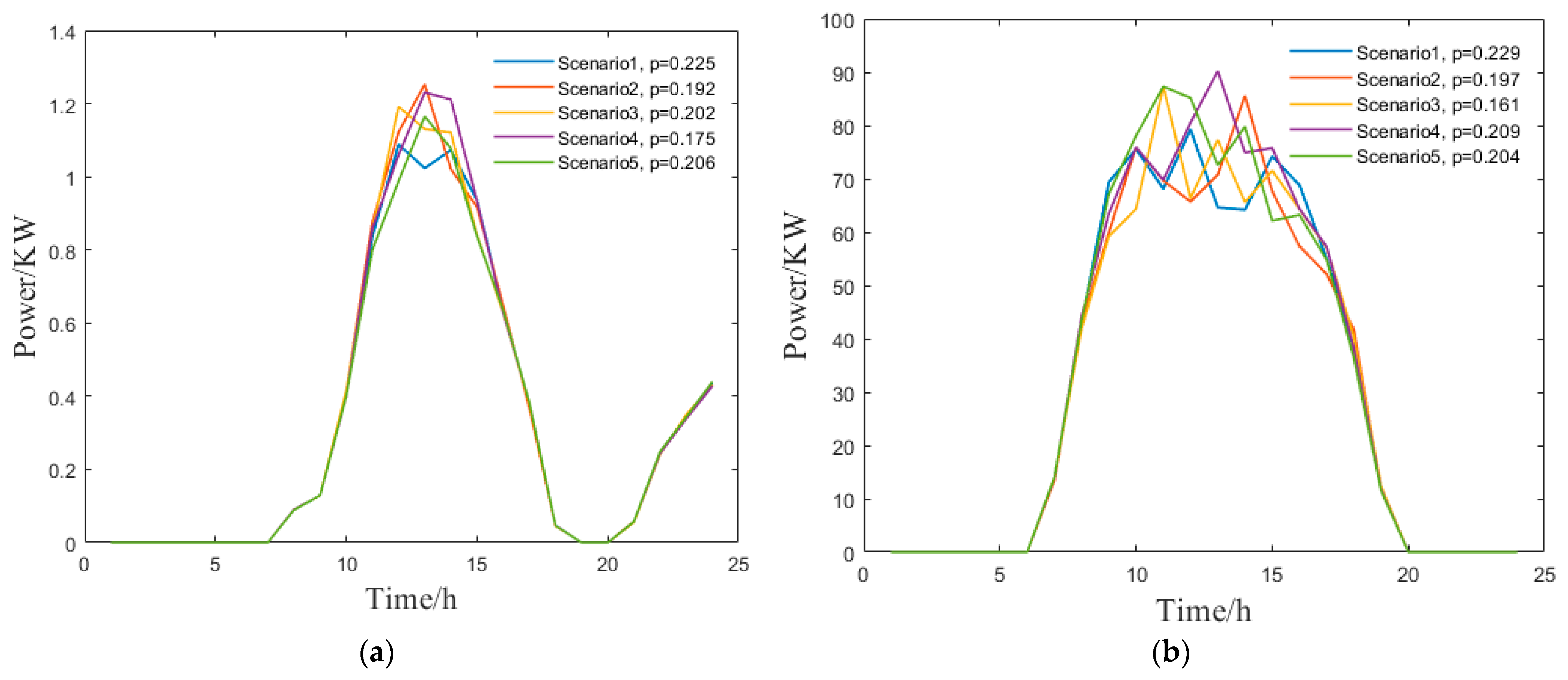
3.4.2. Scenario Reduction
4. Improved Dung Beetle Optimization Algorithm
4.1. Dung Beetle Optimization Algorithm
4.1.1. Ball-Rolling Beetles
4.1.2. Egg-Laying Beetles
4.1.3. Small Beetles
4.1.4. Thief Beetles
4.2. Improved Dung Beetle Optimization
4.2.1. Tent Chaotic Mapping
4.2.2. Non-Dominated Sorting Method
- Non-dominated sorting;
- Crowding distance calculation.
4.2.3. Elite Reverse Learning Strategy
4.3. Algorithm Solution Process
| Algorithm 1. Improved Dung Beetle algorithm. |
| Require: The maximum iterations Tmax, the size of the particle’s population N. Ensure: Optimal position and its fitness value. 1: Initializing algorithm parameters: Population size Np, Max generation Nm, Dimension D 2: Improved Chaotic Initialization of Population 3: function Non-dominated Sorting of the Population 4: Initialization 5: Calculation of dominance relationship 6: function Frontier Construction 7: Determine the first frontier 8: Building other frontiers 9: repeat 10: end function 11: function Crowding Degree Calculation 12: Boundary individual processing 13: Distance Calculation 14: end function 15: while () do 16: for to N do 17: if i == Ball-rolling Beetle then 18: 19: if then 20: Select α value by −1 or 1 21: Update the ball-rolling beetle by 22: else 23: Update the ball-rolling beetle by 24: end if 25: end if 26: if i == Egg-laying Beetles then 27: Update the egg-laying beetles by 28: end if 29: if i == Small Beetles then 30: Update the small beetles by 31: end if 32: if i == Thief Beetles then 33: Update the thief beetles by 34: end if 35: end for 36: if the newly generated position is better than before then 37: Update it 38: end if 39: Non-dominated Sorting of the Current Population 40: function Reverse Learning for Elite Individuals 41: Select elite individuals 42: Calculate the boundaries of elite individuals 43: Generate reverse solution X′ = rand() × (TLb + TUb) − X 44: end function 45: t = t + 1 46: end while 47: return |
5. Case Simulation
5.1. Algorithm Testing
5.2. Case Simulation Without DR and Uncertainty of Wind and Solar Power
5.3. Case Simulation with DR and Uncertainty of Wind and Solar Power
6. Conclusions
Author Contributions
Funding
Institutional Review Board Statement
Informed Consent Statement
Data Availability Statement
Conflicts of Interest
References
- Zhang, H.; Li, G.H.; Wang, S.T. Optimization dispatching of isolated island microgrid based on improved particle swarm optimization algorithm. Energy Rep. 2022, 8, 420–428. [Google Scholar] [CrossRef]
- Li, Y.Z.; Wang, P.; Gooi, H.B.; Ye, J.; Wu, L. Multi-Objective Optimal Dispatch of Microgrid Under Uncertainties via Interval Optimization. IEEE Trans. Smart Grid 2019, 10, 2046–2058. [Google Scholar] [CrossRef]
- Wang, K.; Xie, Y.F.; Zhang, W.M.; Cai, H.; Liang, F.; Li, Y. Research on optimal dispatch of distributed energy considering new energy consumption. Energy Rep. 2023, 10, 1888–1898. [Google Scholar] [CrossRef]
- Sahoo, S.K.; Sinha, A.K.; Kishore, N.K. Control Techniques in AC, DC, and Hybrid AC-DC Microgrid: A Review. IEEE J. Emerg. Sel. Top. Power Electron. 2018, 6, 738–759. [Google Scholar] [CrossRef]
- Liu, X.M.; Zhao, M.; Wei, Z.H.; Lu, M. The energy management and economic optimization scheduling of microgrid based on Colored Petri net and Quantum-PSO algorithm. Sustain. Energy Technol. Assess. 2022, 53, 102670. [Google Scholar] [CrossRef]
- Thirunavukkarasu, G.S.; Seyedmahmoudian, M.; Jamei, E.; Horan, B.; Mekhilef, S.; Stojcevski, A. Role of optimization techniques in microgrid energy management systems-A review. Energy Strategy Rev. 2022, 43, 100899. [Google Scholar] [CrossRef]
- Zhang, W.P.; Maleki, A.; Rosen, M.A.; Liu, J.Q. Sizing a stand-alone solar-wind-hydrogen energy system using weather forecasting and a hybrid search optimization algorithm. Energy Convers. Manag. 2019, 180, 609–621. [Google Scholar] [CrossRef]
- Anh, H.P.H.; Kien, C.V. Optimal energy management of microgrid using advanced multi-objective particle swarm optimization. Eng. Comput. 2020, 37, 2085–2110. [Google Scholar] [CrossRef]
- Mquqwana, M.A.; Krishnamurthy, S. Particle Swarm Optimization for an Optimal Hybrid Renewable Energy Microgrid System under Uncertainty. Energies 2024, 17, 422. [Google Scholar] [CrossRef]
- Yeh, W.C.; He, M.-F.; Huang, C.-L.; Tan, S.-Y.; Zhang, X.; Huang, Y.; Li, L. New genetic algorithm for economic dispatch of stand-alone three-modular microgrid in DongAo Island. Appl. Energy 2020, 263, 114508. [Google Scholar] [CrossRef]
- Witharama, W.M.N.; Bandara, K.; Azeez, M.I.; Bandara, K.; Logeeshan, V.; Wanigasekara, C. Advanced Genetic Algorithm for Optimal Microgrid Scheduling Considering Solar and Load Forecasting, Battery Degradation, and Demand Response Dynamics. IEEE Access 2024, 12, 83269–83284. [Google Scholar] [CrossRef]
- Javidsharifi, M.; Niknam, T.; Aghaei, J.; Mokryani, G.; Papadopoulos, P. Multi-objective day-ahead scheduling of microgrids using modified grey wolf optimizer algorithm. J. Intell. Fuzzy Syst. 2019, 36, 2857–2870. [Google Scholar] [CrossRef]
- Peng, Y.X.; Jiang, W.Q.; Wei, X.Q.; Pan, J.T.; Kong, X.Y.; Yang, Z. Microgrid Optimal Dispatch Based on Distributed Economic Model Predictive Control Algorithm. Energies 2023, 16, 4658. [Google Scholar] [CrossRef]
- Nguyen, T.T.; Dao, T.K.; Nguyen, T.T.T.; Nguyen, T.D. An Optimal Microgrid Operations Planning Using Improved Archimedes Optimization Algorithm. IEEE Access 2022, 10, 67940–67957. [Google Scholar] [CrossRef]
- Yang, Y.B.; Ai, D.X.; Zhang, L.; Zheng, Y.W. Economic optimal dispatch of active distribution network with CCHP multi-microgrid based on analytical target cascading. Front. Energy Res. 2024, 12, 1438961. [Google Scholar] [CrossRef]
- Ghodusinejad, M.H.; Peirov, S.; Yousefi, H.; Astaraei, F.R. Multi-objective optimal design and performance analysis of a residential microgrid. J. Energy Storage 2024, 92, 112201. [Google Scholar] [CrossRef]
- Hu, Q.P.; Zhao, G.X.; Hu, J.; Razmjooy, N. Maximizing energy storage in Microgrids with an amended multi-verse optimizer. Heliyon 2023, 9, e21471. [Google Scholar] [CrossRef] [PubMed]
- Bolurian, A.; Akbari, H.; Mousavi, S. Day-ahead optimal scheduling of microgrid with considering demand side management under uncertainty. Electr. Power Syst. Res. 2022, 209, 107965. [Google Scholar] [CrossRef]
- Lou, J.; Wang, Y.; Wang, H.; Wang, J.; Chen, L.; Zhang, J.; Islam, M.; Chua, K. Operation characteristics analysis and optimal dispatch of solar thermal-photovoltaic hybrid microgrid for building. Energy Build. 2024, 315, 114340. [Google Scholar] [CrossRef]
- Bo, Y.L.; Xia, Y.H.; Wei, W.; Li, Z.C.; Zhao, B.; Lv, Z.Y. Hyperfine optimal dispatch for integrated energy microgrid considering uncertainty. Appl. Energy 2023, 334, 120637. [Google Scholar] [CrossRef]
- He, Y.-L.; Wu, X.-W.; Sun, K.; Liu, X.-Y.; Wang, H.-P.; Zeng, S.-M.; Zhang, Y. A Novel MOWSO algorithm for Microgrid multi-objective optimal dispatch. Electr. Power Syst. Res. 2024, 232, 110374. [Google Scholar] [CrossRef]
- Wang, X.; Wang, S.; Ren, J.; Song, Z.; Zhang, S.; Feng, H. Optimizing Economic Dispatch for Microgrid Clusters Using Improved Grey Wolf Optimization. Electronics 2024, 13, 3139. [Google Scholar] [CrossRef]
- Meng, Y.; Wang, Y.; Sun, S.; Wang, S.; Zhang, H. Multi-objective optimal dispatching of demand response-enabled microgrid considering uncertainty of renewable energy generations based on two-level iterative strategy. Energy Rep. 2023, 9, 1842–1858. [Google Scholar] [CrossRef]
- Qiu, H.F.; Liu, P.X.; Gu, W.; Zhang, R.F.; Lu, S.; Gooi, H.B. Incorporating Data-Driven Demand-Price Uncertainty Correlations Into Microgrid Optimal Dispatch. IEEE Trans. Smart Grid 2024, 15, 2804–2818. [Google Scholar] [CrossRef]
- Lin, F.J.; Liao, J.C.; Zhang, Y.M.; Huang, Y.C. Optimal Economic Dispatch and Power Generation for Microgrid Using Novel Lagrange Multipliers-Based Method With HIL Verification. IEEE Syst. J. 2023, 17, 4533–4544. [Google Scholar] [CrossRef]
- Zhang, Y.; Lv, Y.; Zhou, Y. Research on Economic Optimal Dispatching of Microgrid Based on an Improved Bacteria Foraging Optimization. Biomimetics 2023, 8, 150. [Google Scholar] [CrossRef] [PubMed]
- Zhang, Y.; Zhou, H.; Xiao, L.; Zhao, G. Research on Economic Optimal Dispatching of Microgrid Cluster Based on Improved Butterfly Optimization Algorithm. Int. Trans. Electr. Energy Syst. 2022, 2022, 7041778. [Google Scholar] [CrossRef]
- Chen, H.P.; Gao, L.; Zhang, Z. Multi-objective optimal scheduling of a microgrid with uncertainties of renewable power generation considering user satisfaction. Int. J. Electr. Power Energy Syst. 2021, 131, 107142. [Google Scholar] [CrossRef]
- Nammouchi, A.; Aupke, P.; D′Andreagiovanni, F.; Ghazzai, H.; Theocharis, A.; Kassler, A. Robust opportunistic optimal energy management of a mixed microgrid under asymmetrical uncertainties. Sustain. Energy Grids Netw. 2023, 36, 101184. [Google Scholar] [CrossRef]
- Rui, T.; Li, G.L.; Wang, Q.J.; Hu, C.G.; Shen, W.X.; Xu, B. Hierarchical Optimization Method for Energy Scheduling of Multiple Microgrids. Appl. Sci. 2019, 9, 624. [Google Scholar] [CrossRef]
- Vidan, M.; D’Andreagiovanni, F.; Pandzic, H. Individual Thermal Generator and Battery Storage Bidding Strategies Based on Robust Optimization. IEEE Access 2021, 9, 66829–66838. [Google Scholar] [CrossRef]
- Xue, J.K.; Shen, B. Dung beetle optimizer: A new meta-heuristic algorithm for global optimization. J. Supercomput. 2023, 79, 7305–7336. [Google Scholar] [CrossRef]
- Chen, Q.; Wang, Y.J.; Sun, Y.F. An improved dung beetle optimizer for UAV 3D path planning. J. Supercomput. 2024, 80, 26537–26567. [Google Scholar] [CrossRef]
- Wei, Y.C.; Zhang, H.X.; Jiang, D.; Zhang, Y.X.; Xiao, S.H. Optimising ship principal dimensions with a Dung Beetle Optimizer and random forest proxy model. Ships Offshore Struct. 2024. early access. [Google Scholar] [CrossRef]
- Alnafisah, H.; Abdulrahim, H.; Hassaballa, A.A.; Alsulami, A.; Mohamed, A.O.Y. Dung beetle optimization with deep learning approach for solving inverse problems in predicting financial futures. Alex. Eng. J. 2024, 109, 71–82. [Google Scholar] [CrossRef]
- Sörensen, K. Metaheuristics—The metaphor exposed. Intl. Trans. Op. Res. 2015, 22, 3–18. [Google Scholar] [CrossRef]















| Source | Renewable Energy | Fossil Energy | Energy Storage | DR and Uncertainty | Objective Function | Strategy |
|---|---|---|---|---|---|---|
| [13] | PV, WT | DE | Yes | No | Operating | DEMPC |
| [14] | PV, WT | MT, DE | Yes | No | Operating | IAO |
| [15] | No | MT, DE | Yes | No | Operating | ATC |
| [16] | PV, WT | No | Yes | No | Net present | PESA-II |
| [17] | PV, WT | DE | Yes | Uncertainty | Net present | AMVOA |
| [18] | WT | No | Yes | Uncertainty | Operating, environmental | C and CG |
| [19] | PV | Thermal | No | No | Operating, environmental | NSGA-II |
| [20] | Hydrogen, PV | No | Yes | No | Operating | DRO |
| [21] | PV, WT | No | Yes | No | Operating, environmental | MOWSO |
| [22] | PV, WT | MT, DE | Yes | No | Operating, environmental | IGWO |
| [23] | PV, WT | DE | Yes | DR | Operating, environmental | SSA |
| [24] | PV, WT | DE | Yes | No | Operating | RO |
| [25] | PV, WT | MT, DE | Yes | No | Operating | LM |
| [26] | PV, WT | MT, DE | Yes | Uncertainty | Operating, environmental | IBFO |
| [27] | PV, WT | MT, DE | Yes | No | Operating | IBOA |
| [28] | PV, WT | No | Yes | DR, Uncertainty | Operating, user satisfaction | CPLEX |
| [29] | PV | No | Yes | Uncertainty | Energy management | Gurobi |
| [30] | PV | No | Yes | No | Energy trading, profits | MIP |
| [31] | No | Thermal | Yes | Uncertainty | Profits | RO |
| Scenario | Backward Reduction | K-means Clustering Reduction | ||
|---|---|---|---|---|
| WT | PV | WT | PV | |
| Scenario 1 | 0.025 | 0.162 | 0.229 | 0.225 |
| Scenario 2 | 0.041 | 0.077 | 0.179 | 0.192 |
| Scenario 3 | 0.125 | 0.1 | 0.161 | 0.202 |
| Scenario 4 | 0.134 | 0.041 | 0.209 | 0.175 |
| Scenario 5 | 0.675 | 0.62 | 0.204 | 0.206 |
| Function | Dim | Range | Optimal Value |
|---|---|---|---|
| 30 | [−100, 100] | 0 | |
| 30 | [−100, 100] | 0 | |
| 30 | [−5.12, 5.12] | 0 | |
| 30 | [−600, 600] | 0 | |
| 4 | [−5, 5] | 0.0003 | |
| 4 | [0, 10] | −10.1532 | |
| ZDT 1 | 2 | [−4, 4] | (0, 1) to (1, 0) |
| Parameters | MT | DE | PV | WT |
|---|---|---|---|---|
| Power upper limit/KW | 60 | 60 | 30 | 10 |
| Power lower limit/KW | 3 | 6 | 0 | 0 |
| Climb rate/KW | 1.5 | 1.5 | 0 | 0 |
| Maintenance factor/(CNY/KW·h) | 0.0293 | 0.128 | 0.0096 | 0.45 |
| Pollutant Type | Pollutant Discharge Factor/(g/kWh) | Governance Cost/(CNY/kg) | |
|---|---|---|---|
| MT | DE | ||
| CO2 | 724 | 689 | 0.21 |
| CO | 0.047 | 0.03 | 10.29 |
| NO2 | 0.0036 | 0.0018 | 14.842 |
| Parameters | Value | Parameters | Value |
|---|---|---|---|
| Maximum capacity/KW·h | 150 | Minimum capacity/KW·h | 5 |
| Basic capacity/KW·h | 50 | Maximum exchange power/KW | 30 |
| Maintenance factor/(CNY/KW·h) | 0.026 | Charge/discharge efficiency | 0.9 |
| Price Type | Valley Time | Normal Time | Peak Time |
|---|---|---|---|
| 0:00–6:00 22:00–24:00 | 6:00–9:00 14:00–17:00 | 9:00–14:00 17:00–22:00 | |
| Purchase electricity/[CNY/(KW·h)] | 0.38 | 0.82 | 1.35 |
| Sell electricity/[CNY/(KW·h)] | 0.15 | 0.36 | |
| Algorithm | Initial Value/CNY | Final Value/CNY | Convergence Half-Life | Relative Convergence Speed | Running Time/s |
|---|---|---|---|---|---|
| IDBO | 3891.18 | 1002.12 | 14 | 0.19% | 23.54 |
| DBO | 4107.02 | 1382.01 | 47 | 0.25% | 20.25 |
| GWO | 4616.79 | 1569.39 | 21 | 0.62% | 31.34 |
| Parameters | IDBO | DBO | GWO |
|---|---|---|---|
| Avg initial value/CNY | 4096.84 | 4237.22 | 4511.71 |
| Avg final value/CNY | 1111.81 | 1602.26 | 1686.31 |
| Standard deviation | 96.9 | 116.03 | 25.5 |
| Scenario | IDBO/CNY | DBO/CNY | GWO/CNY |
|---|---|---|---|
| 1 | 954.24 | 1302.04 | 1420.69 |
| 2 | 997.48 | 1402.99 | 1426.54 |
| 3 | 996.01 | 1325.97 | 1411.65 |
| 4 | 963.95 | 1370.78 | 1425.76 |
| 5 | 986.61 | 1438.19 | 1459.79 |
| Scenario | IDBO | DBO | GWO | |||
|---|---|---|---|---|---|---|
| Avg Final Value/CNY | Standard Deviation | Avg Final Value/CNY | Standard Deviation | Avg Final Value/CNY | Standard Deviation | |
| 1 | 953.68 | 89.21 | 1312.24 | 114.3 | 1426.87 | 23.94 |
| 2 | 988.25 | 92.3 | 1415.20 | 120.22 | 1433.31 | 27.85 |
| 3 | 994.32 | 93.02 | 1361.79 | 124.91 | 1427.26 | 31.56 |
| 4 | 962.88 | 91.25 | 1344.55 | 116.78 | 1428.45 | 26.51 |
| 5 | 984.57 | 90.33 | 1422.31 | 119.85 | 1462.65 | 21.2 |
Disclaimer/Publisher’s Note: The statements, opinions and data contained in all publications are solely those of the individual author(s) and contributor(s) and not of MDPI and/or the editor(s). MDPI and/or the editor(s) disclaim responsibility for any injury to people or property resulting from any ideas, methods, instructions or products referred to in the content. |
© 2025 by the authors. Licensee MDPI, Basel, Switzerland. This article is an open access article distributed under the terms and conditions of the Creative Commons Attribution (CC BY) license (https://creativecommons.org/licenses/by/4.0/).
Share and Cite
Yue, Y.; Ren, H.; Liu, D.; Zhang, L. Optimal Scheduling of Microgrids Based on an Improved Dung Beetle Optimization Algorithm. Appl. Sci. 2025, 15, 975. https://doi.org/10.3390/app15020975
Yue Y, Ren H, Liu D, Zhang L. Optimal Scheduling of Microgrids Based on an Improved Dung Beetle Optimization Algorithm. Applied Sciences. 2025; 15(2):975. https://doi.org/10.3390/app15020975
Chicago/Turabian StyleYue, Yuntao, Haoran Ren, Dong Liu, and Lenian Zhang. 2025. "Optimal Scheduling of Microgrids Based on an Improved Dung Beetle Optimization Algorithm" Applied Sciences 15, no. 2: 975. https://doi.org/10.3390/app15020975
APA StyleYue, Y., Ren, H., Liu, D., & Zhang, L. (2025). Optimal Scheduling of Microgrids Based on an Improved Dung Beetle Optimization Algorithm. Applied Sciences, 15(2), 975. https://doi.org/10.3390/app15020975

