Numerical Simulation of Thermo-Hydro-Mechanical Coupling of Model Test for Nuclear Waste Disposal
Abstract
1. Introduction
2. THM Coupling Model
- (1)
- The partly saturated medium is assumed to be a polyphase system (solid, liquid and gas). The space of the solid skeleton is partly filled with gas, and partly with liquid water.
- (2)
- The multiphase medium is considered as a mixture. In its compound, each phase is continuous and any spatial point is presumed to be occupied concurrently by a physical point of each phase.
- (3)
- Gas-phase density is a function of temperature and pressure, according to the ideal gas state equation.
- (4)
- Fluid seepage follows Darcy’s law and does not undergo chemical reactions with solid particles. The saturated vapor pressure follows Kelvin’s humidity law, and the diffusion of vapor follows the generalized Fick Law.
- (5)
- The deformation of porous media satisfies the small-deformation assumption, and the Terzaghi effective stress principle is applicable to unsaturated media.
- (6)
- It is assumed that the solid, liquid and gas phases keep partial thermal equilibrium.
2.1. Momentum Conservation Equation
2.2. Mass Conservation Equation
2.2.1. Solid-Phase Skeleton Mass Conservation Equation
2.2.2. Conservation Equation of Water Quality
2.2.3. Gas Mass Conservation Equation
2.3. Energy Conservation Equation
3. Coupling Model Parameters
3.1. The Mock-Up Experimental System of Buffer Materials
3.2. Geometry and Boundary Conditions
3.3. Bentonite Coupling Model Parameters and Constitutive Equations
- (1)
- The thermal drive coefficient of the water body of bentonite is
- (2)
- The thermal conductivity of bentonite is
3.4. Fluid Parameters and Constitutive Equations
- (1)
- The relative permeability of water bodies [46] is calculated as
- (2)
- The dynamic viscosity coefficient of a water body [47] is calculated as
- (3)
- The thermal expansion coefficient of a water body is calculated as
- (4)
- The specific heat capacity of water bodies is calculated as
- (5)
- The liquid-phase migration coefficient [48] is calculated aswhere is the initial porosity, is the adjustment coefficient and its value is , and the value of is 8.3144 J/(mol·K).
3.5. Gas Parameters and Constitutive Equations
- (1)
- The water vapor density is calculated as
- (2)
- The air density is calculated as
- (3)
- The dry air density is calculated as
- (4)
- The gas thermal drive coefficient is calculated as
- (5)
- The effective diffusion coefficient of water vapor molecules is calculated as
- (6)
- The specific heat capacity of air is calculated as
- (7)
- The dry air solubility coefficient is calculated as
- (8)
- The dynamic viscosity coefficient of gas is calculated as
- (9)
- The gas relative permeability is calculated as
where is the molar mass of water molecules and its value is 0.018 kg/mol, is the vapor pressure, is the molar mass of O2 and its value is 0.032 kg/mol, is the molar mass of N2 and its value is 0.028 kg/mol and is the molecular diffusivity and its value is 3 × 10−10 m2/s.
4. Results and Discussion
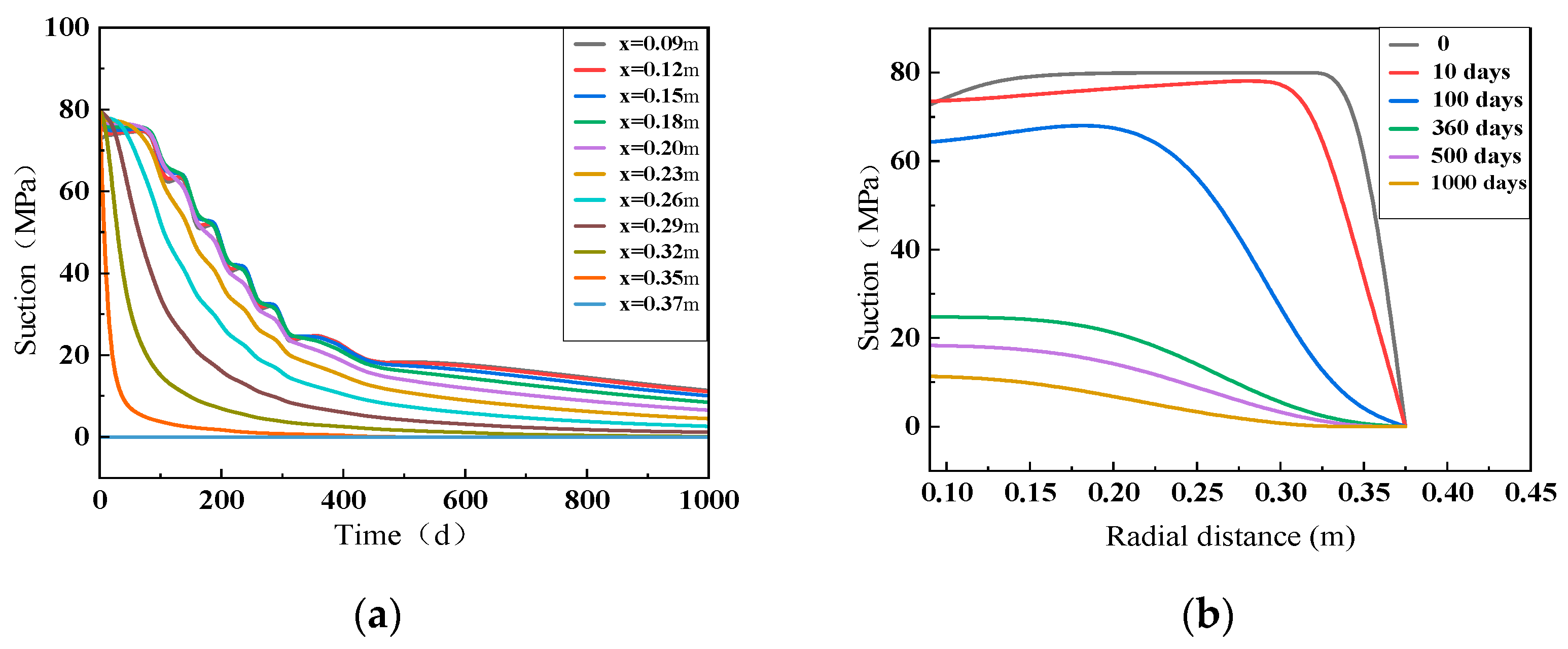
4.1. Suction Change Process
4.2. Process of Porosity Change
4.3. Variation of Horizontal Displacement
4.4. Temperature Change Process
4.5. Swelling Pressure Change Process
5. Conclusions
Author Contributions
Funding
Institutional Review Board Statement
Informed Consent Statement
Data Availability Statement
Acknowledgments
Conflicts of Interest
Abbreviations
| displacement vector | |
| T | temperature |
| Bishop’s coefficient | |
| drainage bulk modulus | |
| Kronecker Delta tensor | |
| F | body force |
| n | porosity |
| volumetric strain of soil | |
| pore water pressure | |
| pore gas pressure | |
| porosity | |
| intrinsic permeability tensor | |
| relative permeability of water bodies | |
| dynamic viscosity coefficient of water | |
| liquid pressure | |
| saturation | |
| compressibility coefficient | |
| suction influence coefficient of saturation | |
| liquid-phase migration coefficient | |
| H | Henry solubility |
| λ | thermal conductivity coefficient |
References
- United States Nuclear Regulatory Commission. Backgrounder on Radioactive Waste. 2024. Available online: https://www.nrc.gov/docs/ML0501/ML050110277.pdf (accessed on 30 January 2024).
- Pescatore, C. Beyond one million years: The intrinsic radiation hazard of high-level nuclear wastes. Nukleonika 2024, 69, 215–224. [Google Scholar] [CrossRef]
- Duan, X.Z.; Ni, S.J.; Wang, C.Z. Safety evaluation study on the geological disposal of high-level radioactive waste: A case study of Beishan, Gansu province. China Min. Mag. 2021, 30, 56–63. (In Chinese) [Google Scholar]
- Kurniawan, T.A.; Othman, M.H.D.; Singh, D. Technological solutions for long-term storage of partially used nuclear waste: A critical review. Ann. Nucl. Energy 2021, 166, 108736. [Google Scholar] [CrossRef]
- Oettingen, M. Assessment of the radiotoxicity of spent nuclear fuel from a fleet of PWR reactors. Energies 2021, 14, 3094. [Google Scholar] [CrossRef]
- Ewing, R.C.; Park, S. The concept of geological disposal of highly radioactive nuclear waste. Encycl. Nucl. Energy 2021, 588–602. [Google Scholar] [CrossRef]
- Haynes, H.M.; Bailey, M.; Lloyd, J.R. Bentonite barrier materials and the control of microbial processes: Safety case implications for the geological disposal of radioactive waste. Chem. Geol. 2021, 581, 120353. [Google Scholar] [CrossRef]
- Wang, P.; Wang, J.; Huang, S.T.; Man, M.Q. Top-level design of field test data management in underground laboratory of high level radioactive waste disposal. World Nucl. Geosci. 2024, 41, 997–1005. (In Chinese) [Google Scholar]
- Liu, J.J.; Yao, C.Q.; Su, W.B.; Zhao, Y.Z. Research progress on the influence of thermo-chemical effects on the swelling pressure of bentonite. Appl. Sci. 2023, 13, 5580. [Google Scholar] [CrossRef]
- Zhang, C.L. Thermo-hydro-mechanical behavior of clay rock for deep geological disposal of high-level radioactive waste. J. Rock Mech. Geotech. 2018, 10, 992–1008. [Google Scholar] [CrossRef]
- Zhan, Y.; Shao, J.F.; Minh, N.V. Numerical study of thermo-hydro-mechanical responses of in situ heating test with phase-field model. Int. J. Rock Mech. Min. 2021, 138, 104542. [Google Scholar]
- Collin, F.; Li, X.L.; Radu, J.P. Thermo-hydro-mechanical coupling in clay barriers. Eng. Geol. 2002, 64, 179–193. [Google Scholar] [CrossRef]
- Zhang, J.; Ling, H.A.; Zhao, H.L.; Qiu, Y. Numerical analysis of thermo-hydro-mechanical coupling of clay surrounding rock for high-level-radioactive waste disposal repository. Saf. Environ. Eng. 2023, 30, 64–77. (In Chinese) [Google Scholar]
- Wei, T.Y.; Wang, X.H.; Lü, T. Analysis of the influence of wetting expansion and sand mixing rate on the THM coupling process of hybrid buffer material. Rock Soil Mech. 2022, 43, 549–562. [Google Scholar]
- Liang, S.Y.; Lin, W.S.; Lin, G.F.; Liu, C.W.; Fan, C.H. The effect of porosity change in bentonite caused by decay heat on radionuclide transport through buffer material. Appl. Sci. 2021, 11, 7933. [Google Scholar] [CrossRef]
- Gabriele, D.V.; Cristina, J.; Enrique, R. A fully coupled elastic-plastic hydro-mechanical model for compacted soils accounting for clay activity. Int. J. Numer. Anal. Met. 2012, 37, 503–535. [Google Scholar]
- Graupner, B.J.; Shao, H.; Wang, X. Comparative modelling of the coupled thermal-hydraulic-mechanical (THM) processes in a heated bentonite pellet column with hydration. Environ. Earth Sci. 2018, 77, 10. [Google Scholar] [CrossRef]
- Gens, A.; Alcoverro, J.; Blaheta, R. HM and THM interactions in bentonite engineered barriers for nuclear waste disposal. Int. J. Rock Mech. Min. 2021, 137, 104572. [Google Scholar] [CrossRef]
- Schrefler, B.A.; Pesavento, F. Multiphase flow in deforming porous material. Comput. Geotech. 2004, 31, 237–250. [Google Scholar] [CrossRef]
- Yao, K.; Wang, W.; Li, N.; Zhang, C.; Wang, L. Investigation on strength and microstructure characteristics of Nano-MgO admixed with cemented soft soil. Constr. Build. Mater. 2019, 206, 160–168. [Google Scholar] [CrossRef]
- Birkholzer, J.T.; Tsang, C.F.; Bond, A.E. 25 years of DECOVALEX-Scientific advances and lessons learned from an international research collaboration in coupled subsurface processes. Int. J. Rock Mech. Min. 2019, 122, 103995. [Google Scholar] [CrossRef]
- Zhao, J.; Chen, L.; Collin, F.; Liu, Y.; Wang, J. Numerical modeling of coupled thermal-hydro-mechanical behavior of GMZ bentonite in the China-Mock-up test. Eng. Geol. 2016, 214, 116–126. [Google Scholar] [CrossRef]
- Xu, H.; Zheng, L.; Rutqvist, J.; Birkholzer, J. Numerical study of the chemo-mechanical behavior of FEBEX bentonite in nuclear waste disposal based on the Barcelona expansive model. Comput. Geotech. 2021, 132, 103968. [Google Scholar] [CrossRef]
- Xia, J.G.; Hou, W.; Wang, X.H. Analysis on the thermal fields of barrier system for geological disposal of high-level radioactive waste in China. Ind. Build. 2020, 50, 5. (In Chinese) [Google Scholar]
- Wang, Y.P.; Wang, Z.; Zhao, Y.; Yi, F.C.; Zhu, B.L. Swelling properties and permeability of GMZ bentonite-sand mixtures during different solutions infiltration. Sustainability 2021, 13, 1622. [Google Scholar] [CrossRef]
- Lloret, A.; Villar, M.V. Advances on the knowledge of the thermo-hydro-mechanical behaviour of heavily compacted “FEBEX” bentonite. Phys. Chem. Earth Parts A/B/C 2007, 32, 701–715. [Google Scholar] [CrossRef]
- Cao, S.; Liu, Y.; Xie, J. Study on thermo-hydro-mechanical coupling behaviors of buffer material. Chin. J. Undergr. Space Eng. 2020, 16, 8. (In Chinese) [Google Scholar]
- Lee, C.; Lee, J.; Kim, G.Y. Numerical analysis of coupled hydro-mechanical and thermo-hydro-mechanical behaviour in buffer materials at a geological repository for nuclear waste: Simulation of EB experiment at Mont Terri URL and FEBEX at Grimsel test site using Barcelona basic model. Int. J. Rock Mech. Min. 2021, 139, 104663. [Google Scholar] [CrossRef]
- Cho, W.J.; Lee, J.O.; Kwon, S. Analysis of thermos-hydro-mechanical process in the engineered barrier system of a high-level waste repository. Nucl. Eng. Des. 2010, 240, 1688–1698. [Google Scholar] [CrossRef]
- Cleall, P.J.; Melhuish, T.A.; Thomas, H.R. Modelling the three-dimensional behaviour of a prototype nuclear waste repository. Eng. Geol. 2006, 85, 212–220. [Google Scholar] [CrossRef]
- Hoekmark, H.; Ledesma, A.; Lassabatere, T. Modelling heat and moisture transport in the ANDRA/SKB temperature buffer test. Phys. Chem. Earth 2007, 32, 753–766. [Google Scholar] [CrossRef]
- Bag, R. Coupled Thermos-Hydro-Mechanical-Chemical Behaviour of MX80 Bentonite in Geotechnical Applications. Ph.D. Thesis, Cardiff University, Cardiff, UK, 2011. [Google Scholar]
- Samper, J.; Zheng, L.; Montenegro, L. Coupled thermo-hydro-chemical models of compacted bentonite after FEBEX in situ test. Appl. Geochem. 2008, 23, 1186–1201. [Google Scholar] [CrossRef]
- Michalec, Z.; Blaheta, R.; Hasal, M. Fully coupled thermo-hydro-mechanical model with oversaturation and its validation to experimental data from FEBEX experiment. Int. J. Rock Mech. Min. 2021, 139, 104567. [Google Scholar] [CrossRef]
- Ye, W.M.; Wan, M.; Chen, B. An unsaturated hydraulic conductivity model for compacted GMZ01 bentonite with consideration of temperature. Environ. Earth Sci. 2014, 71, 1937–1944. [Google Scholar] [CrossRef]
- Chen, B.; Peng, F.; Zhang, L.; Sun, D.A. Investigation on swelling characteristics of GMZ bentonite with different initial water contents. Ann. Nucl. Energy 2023, 181, 109565. [Google Scholar] [CrossRef]
- Wang, Z.; Zhou, H.T.; Yi, F.C.; Niu, S.J.; Ma, P.J. Research on permeability of high compacted sand-bentonite mixtures as buffer material. Sci. Technol. Eng. 2017, 17, 231–235. (In Chinese) [Google Scholar]
- Wang, Z.; Wang, Y.P.; Yi, F.C. Effect of various aqueous mediums on the microstructure of compacted bentonite–sand mixture characterized by X-ray CT investigation. Sustainability 2022, 14, 9427. [Google Scholar] [CrossRef]
- Cui, S.L.; Zhang, H.Y.; Liu, J.S.; Liang, J. Experimental study of swelling characteristics of highly compacted bentonite-sand mixture. China Min. Magzine 2021, 30, 173–180. (In Chinese) [Google Scholar]
- Wang, Y.P.; Wang, Z.; Zhao, Y. Research on the effect of pore solutions on the expansibility and permeability of highly compacted bentonite-sand mixtures. Ind. Miner. Process. 2022, 51, 33–38. (In Chinese) [Google Scholar]
- Wang, Y.P.; Wang, Z.; Zhao, Y. Experimental study on three-dimensional swelling pressure of compacted GMZ bentonite–sand mixtures. Environ. Earth. Sci. 2021, 80, 483. [Google Scholar] [CrossRef]
- Nair, S. Introduction to Continuum Mechanics; Cambridge University Press: Cambridge, UK, 2009. [Google Scholar]
- Yan, J.; Wang, H.J.; Yang, Y. Mathematical Models of Multi-Field Coupling in Porous Media and Their Applications; China Water & Power Press: Beijing, China, 2018. (In Chinese) [Google Scholar]
- Zhu, X. Study on Thermo-Hydro-Mechanical Coupling Process of Composite Buffer Blocks for High-Level Radioactive Waste Disposal Repository. Ph.D. Thesis, Beijing Jiaotong University, Beijing, China, 2018. (In Chinese). [Google Scholar]
- Wang, Y.-P.; Wang, Z.; Zeng, Z.-Q.; Yi, F.-C.; Luo, Y. A Numerical Simulation Study on the Migration of the 90Sr Nuclide of Buffer Material Under the Coupling Effect of Multiple Factors. Sustainability 2024, 16, 10537. [Google Scholar] [CrossRef]
- Laloui, L.; Klubertanz, G.; Vulliet, L. Solid–liquid–air coupling in multiphase porous media. Int. J. Numer. Anal. Met. 2003, 27, 183–206. [Google Scholar] [CrossRef]
- Guvanasen, V.; Chan, T. A three-dimensional numerical model for thermos-hydro-mechanical deformation with hysteresis in a fractured rock mass. Int. J. Rock Mech. Min. 2000, 37, 89–106. [Google Scholar] [CrossRef]
- Zhang, J.T.; Wang, B.X. Effect of capillarity at liquid–vapor interface on phase change without surfactant. Int. J. Heat Mass Tran. 2002, 45, 2689–2694. [Google Scholar] [CrossRef]
- Tao, G.L.; Luo, C.C.; Li, L.H. A method for predicting air-entry value of deformable soils based on Van Genuchten model. J. Yangtze River Sci. Res. Inst. 2021, 38, 84–88, 102. (In Chinese) [Google Scholar]
- Tao, S.; Wei, C.H.; Chen, P. The effect of saturation and shrinkage deformation on the small strain stiffness of soils. Chin. J. Rock Mech. Eng. 2020, 39, 1023–1031. (In Chinese) [Google Scholar]
- Narkuniene, A.; Grigaliuniene, D.; Poskas, G. THC Modelling of Bentonite Barrier of Geological Repository in Granite and Its Impact on Long-Term Safety. Appl. Sci. 2024, 14, 7851. [Google Scholar] [CrossRef]
- Morozov, I.; Zakusin, S.; Kozlov, P.; Zakusina, O.; Roshchin, M.; Chernov, M.; Boldyrev, K.; Zaitseva, T.; Tyupina, E.; Krupskaya, V. Bentonite-Concrete Interactions in Engineered Barrier Systems during the Isolation of Radioactive Waste Based on the Results of Short-Term Laboratory Experiments. Appl. Sci. 2022, 12, 3074. [Google Scholar] [CrossRef]
- Zhou, X.Y.; Sun, D.A.; Xu, Y.F. A new thermal analysis model with three heat conduction layers in the nuclear waste repository. Nucl. Eng. Des. 2021, 371, 110929. [Google Scholar] [CrossRef]
- Zhou, X.Y.; Xu, Y.S.; Sun, D.A. Three-dimensional thermal–hydraulic coupled analysis in the nuclear waste repository. Ann. Nucl. Energy 2021, 151, 107866. [Google Scholar] [CrossRef]









| Quantity | Value |
|---|---|
| Dry density (ρd) | 1700 kg/m3 |
| Specific heat capacity of solid particles (Cs) | 879 J/(kg·K) |
| Poisson ratio (μ) | 0.3 |
| Elastic modulus (E) | 500 MPa |
| Density of solid particles (ρs) | 2700 kg/m3 |
| Coefficient of thermal expansion (βST) | 3 × 10−6 (K−1) |
| Hygroscopic expansion coefficient (βh) | 1.19 × 10−2 m3/kg |
| Permeability (k) | 2 × 10−20 m2 |
| ) |
| Parameter | Value |
|---|---|
| VG model parameters (a) | 0.009 m−1 |
| VG model parameters (b) | 1.3386 |
| The density of water (ρl) | 1000 kg/m3 |
| Fluid volume strain modulus (Kl) | 2.15 × 106 kPa |
| Volume fraction of saturated liquid (θs) | 1 |
| Residual liquid volume fraction (θr) | 0 |
| Gravitational acceleration (g) | 9.8067 m/s2 |
| Molar mass of water molecules (Ml) | 0.018 kg/mol |
| Latent heat of water evaporation (L) | 2.46 × 106 J/kg |
Disclaimer/Publisher’s Note: The statements, opinions and data contained in all publications are solely those of the individual author(s) and contributor(s) and not of MDPI and/or the editor(s). MDPI and/or the editor(s) disclaim responsibility for any injury to people or property resulting from any ideas, methods, instructions or products referred to in the content. |
© 2025 by the authors. Licensee MDPI, Basel, Switzerland. This article is an open access article distributed under the terms and conditions of the Creative Commons Attribution (CC BY) license (https://creativecommons.org/licenses/by/4.0/).
Share and Cite
Wang, Y.-P.; Wang, Z.; Yi, F.-C.; Fu, L.; Luo, Y. Numerical Simulation of Thermo-Hydro-Mechanical Coupling of Model Test for Nuclear Waste Disposal. Appl. Sci. 2025, 15, 930. https://doi.org/10.3390/app15020930
Wang Y-P, Wang Z, Yi F-C, Fu L, Luo Y. Numerical Simulation of Thermo-Hydro-Mechanical Coupling of Model Test for Nuclear Waste Disposal. Applied Sciences. 2025; 15(2):930. https://doi.org/10.3390/app15020930
Chicago/Turabian StyleWang, Yu-Ping, Zhe Wang, Fa-Cheng Yi, Lei Fu, and Ying Luo. 2025. "Numerical Simulation of Thermo-Hydro-Mechanical Coupling of Model Test for Nuclear Waste Disposal" Applied Sciences 15, no. 2: 930. https://doi.org/10.3390/app15020930
APA StyleWang, Y.-P., Wang, Z., Yi, F.-C., Fu, L., & Luo, Y. (2025). Numerical Simulation of Thermo-Hydro-Mechanical Coupling of Model Test for Nuclear Waste Disposal. Applied Sciences, 15(2), 930. https://doi.org/10.3390/app15020930
