Next Article in Journal
Impact of Retention Agents on Functional Properties of Recycled Paper in Sustainable Manufacturing
Next Article in Special Issue
Optimization of Ethanol Concentration and Wetting Time for Industrial-Scale Production of Ipomoea batatas L. Leaf Extract
Previous Article in Journal
Performance and Economic Evaluation of Asphalt-Based High Friction Surface Treatment (HFST) Applications
 
 
Font Type:
Arial Georgia Verdana
Font Size:
Aa Aa Aa
Line Spacing:
Column Width:
Background:
Article

Immune Modulation Effect of Administration of Rice Bran Extract with Increased Solubility Fermented by Lentinus edodes UBC-V88 in Cyclophosphamide-Treated Mice Model

1
Department of Food and Nutrition, Hannam University, Daejeon 34054, Republic of Korea
2
MNH Bio, Co., Ltd., Dongtan-Biz Tower 609, Dongtanchemdansaneop 1-ro, Hwasaeong-si 18169, Republic of Korea
3
Erom R&D Center, EROM Co., Ltd., Uiwang-si 16006, Republic of Korea
4
Department of Chemistry and Food Science, Framingham State University, Framingham, MA 01701, USA
*
Authors to whom correspondence should be addressed.
These authors contributed equally to this work.
Appl. Sci. 2025, 15(2), 876; https://doi.org/10.3390/app15020876
Submission received: 10 November 2024 / Revised: 9 January 2025 / Accepted: 15 January 2025 / Published: 17 January 2025
(This article belongs to the Special Issue Extraction, Analysis and Applications of Bioactive Compounds in Food)

Abstract

Featured Application

Since the Nagoya Protocol, the use of natural products between countries has been strictly controlled, and the increased cost of material development has become a problem when using unique natural products from a specific country. Therefore, rice bran, an inexpensive by-product generated during the rice milling process and produced in large quantities worldwide, was used to manufacture powder enriched with low-molecular-weight bioactive substances such as β-glucan through a shiitake mushroom mycelium culture process. Changes in the immunomodulatory effects of these powders were evaluated after the fermentation process.

Abstract

There is a global and increasing demand for natural ingredients that support the human immune response. In this study, the immunomodulatory effect and mechanism of action of rice bran extract fermented by Lentinus edodes was investigated. The potential immunomodulatory effect of fermented rice bran (FRB) and processed rice bran (RB) was evaluated using male BALB/c mice whose immunity was lowered by Cyclophosphamide (CY). The changes in the weight of the thymus and the spleen, immunoglobulins, and cytokine expressions were measured as biomarkers of immunomodulating potential after 14 days of oral administration of FRB and RB (0.5 g/kg-body weight (b.w.), respectively). The FRB and RB groups treated with CY resulted in increased weight of the thymus (1.73 ± 0.40 and 1.45 ± 0.43 mg/g-b.w., respectively) compared to the CY-treated control group (1.05 ± 0.36 mg/g-b.w.). The levels of the immunoglobulin (Ig) G in the group treated with FRB (21.98 ± 2.17, p < 0.01) were significantly increased when compared to the RB group (18.48 ± 1.52 μg/mL, p < 0.01). The expression of serum cytokines, including IL-1α (p < 0.05), IL-2 (p < 0.05), IL-6 (p < 0.001), IL-12 p70 (p < 0.01), IFN-γ (p < 0.01), and TNF-α (p < 0.01) were also significantly increased by the administration of FRB (0.5 g/kg-b.w.). Similarly, the expression of spleen cytokines, including IL-1α (p < 0.05), IL-2 (p < 0.05), IFN-γ (p < 0.01), and TNF-α (p < 0.05), was also significantly increased in the group receiving the FRB (0.5 g/kg-b.w.). The natural killer cell (NK) cell activities at a 1:25 ratio of YAC-1 cells to splenocytes were significantly increased in positive control red ginseng extract 0.5 g/kg (38.64 ± 2.13%, p < 0.05), FRB (34.85 ± 3.45%, p < 0.05), and RB (25.00 ± 4.18%), compared to that of negative control CY group (12.67 ± 3.23%). These results suggest that FRB administration could stimulate the innate immune system by increasing the expression of cytokines in splenocytes and serum, especially IFN-γ, IL-2, and IL-12 (p70), which are associated with TNF-α and NK cell activities. The above results could provide the biochemical rationale to further evaluate the use of FRB for immunomodulatory applications.

1. Introduction

The human immune system is the first line of protection of the body that identifies, eliminates, and fights numerous xenobiotics (such as toxins) and living organisms (such as viruses and microorganisms). In addition to fighting foreign invaders, the immune system can potentially cause damage through the initiation of non-specific inflammatory re-sponses [1]. Natural immunostimulants, such as echinacea and spirulina, can stimulate autoimmune responses [2]. Evidence suggests that autoimmune disorders are increasing globally due to exposure to xenobiotics, infections, stress, pollution, and climate change [3]. In addition, immune-metabolic disorders, such as asthma and bowel diseases, are increasing dramatically over the years [4] and the influence of gut microbiome alternations has been indicated as a possible cause for this observation [4]. With the above in mind, immunomodulation is the desired response as opposed to immunostimulation.
Immunity can be divided into innate immunity and adaptive immunity. Innate immunity consists of cellular and biochemical defense mechanisms that exist prior to infection and immediately respond to infection. This mechanism primarily responds only to microorganisms and the products of cells damaged by them and responds in essentially the same way to repeated infections. Interestingly, the innate immune system functions as the first line of our body’s protection against microbial and viral threats [5]. In addition, innate immunity stimulates and controls adaptive immune responses. These innate immune systems consist of (1) predatory and natural killer (NK) cells, (2) physical and chemical barriers by substances secreted by epithelial and epithelial surface barriers, (3) the complement system and other immune mediators, and (4) circulating plasma proteins, including cytokine proteins interleukin (IL)-1, 12, 15, etc., that regulate several activities of the cells involved in innate immunity [6]. The most numerous agonistic cells of innate immunity are bone marrow-derived cells that circulate in the blood and migrate to tissues. Microbial targets of innate immunity have characteristic molecular patterns (PAMPs) and pattern recognition receptors (PRRs) that recognize such structures [5,6,7].
Rice bran, a by-product of the rice dehulling process, is the brown layer between the outer husk of paddy and its kernel [8]. It contains dietary fiber, vitamins, minerals, fatty acids, and other sterols with known beneficial health effects [9]. The bran fraction of rice is composed of phytochemicals and nutrients with known cancer-fighting and immune-enhancing properties [10]. As an immunomodulator, rice bran has beneficial constituents such as polysaccharides, proteins, and oils [11]. Rice bran polysaccharide is one of the most studied bioactive compounds owing to its immunomodulatory activities, including augmenting macrophage phagocytosis, enhancing NK cell activity, regulating cytokine production, and acting as a natural adjuvant for dendritic cell (DC) activation [12,13]. Park et al. [11] also reported the immunomodulatory ability of rice bran oil. In addition, it has been reported that rice bran extract MGN-3TM enhanced DC maturation [14], induced cytokine production, and increased NK cell activity by enhancing B-cell proliferation and inducing IL-2 and tumor necrosis factor (TNF)-α production [15,16].
Rice bran polysaccharides are bound to insoluble fibers, such as cellulose, hemicellulose, and lignin, β-glucan, and have low bioavailability [17]. Therefore, various studies have been focused on improving biological activity by modifying the structure of rice bran fibers using fermentation techniques [18,19]. It was reported that fermented rice bran with Preussia aemulans enhanced immunomodulatory activity by increasing the polysaccharide content [20]. Dietary administration of rice bran fermented by Lentinus edodes increased the activity of interferon (IFN)-γ in a randomized double-blind human clinical study [21]. Furthermore, it was reported that polysaccharides extracted from rice bran fermented with Lentinus edodes enhanced NK cell activity and exhibited anticancer effects [22].
In our previous study, the fermentation process was improved to optimize the solubility of polysaccharides such as β-glucan, which are reported to have high immunomodulatory functions [22,23], and the fermented rice bran extract (FRB) was prepared by performing process standardization using water-soluble β-glucan (M.W. < 2000) [24], which has high solubility and stability, as a biomarker. Preliminary studies suggest that FRB increases cytokine production and the function of Toll-like receptor-4 (TLR4) in a murine monocyte/macrophage cell line (RAW264.7) (in preparation for submission).
Thus, the aims of this study are (1) to examine the immune response of lymphoid cells made by B cells, T cells, and NK cells by the administration of FRB and RB in in vitro and mice models, and (2) to investigate the change in the expression level of cytokines IL-1, IL-2, IL-12 (p70), INF-γ, and TNF-α, etc., which are secreted from T helper type 1 (TH1) by T cell activation [25], and to measure the effect on the secretion of IL-4 and IL-6, which are cytokines secreted from TH2 with a cell-mediated immune response. Furthermore, to evaluate the ability and efficacy of FRB and RB on innate immunity and changes in the activity of NK cells, which mainly secrete inflammatory cytokines IL-12 and INF-γ as leukocytes responsible for the innate immune response.

2. Materials and Methods

2.1. Materials

Fermented rice bran (FRB) and processed rice bran (RB) were donated by MNH Bio Co., Ltd. (Hwasaeong-si, Republic of Korea) and Erom Co., Ltd. (Uiwang-si, Republic of Korea), respectively. Red ginseng extract (Total Ginsenoside (Rg1 + Rb1+ Rg3): 5.5 mg/g, CKJ, Seoul, Republic of Korea), a positive control for evaluating natural killer cell activity assay, was purchased in a local market. BALB/c mice and feeds for animal study were obtained from Raon Bio (Yonginsi, Republic of Korea). Unless noted, chemicals were obtained from Sigma-Aldrich (St. Louis, MO, USA).

2.2. Sample Preparation

The genetic identity of Lentinus edodes UBC-V88 was confirmed and deposited at the Korean Culture Center of Microorganisms (KCCM, Seoul, Republic of Korea). The FRB was prepared by the liquid fermentation of L. edodes [22]. The mycelium cultured on solid medium was ground using a sterilized homogenizer (HD-15D, Daehan Science Co., Ltd., Wonju, Republic of Korea) and inoculated into a liquid medium. The liquid medium containing rice bran only was inoculated with the cultured mycelia and fermented for 5 days at 28 °C and 150 rpm using a 5 L Jar-fermenter (BioCanavas LF, Centrion Co., Ltd., Incheon, Republic of Korea). After the fermentation process, an enzyme mixed in equal proportions of α-glucosidase, β-glucosidase, and β-glucanase was added at 0.4% (v/v) of the medium volume and reacted at 50 °C for 5 h to remove the remaining insoluble fiber. The reaction was completed by heat treatment at 100 °C for 15 min to stop the enzyme reaction. The fermented product was spray-dried and powdered to an American Society for Testing and Materials (ASTM) standard of 30 mesh or less using a corn miller to produce FRB powder, which was then used for testing.

2.3. Measurement of Soluble and Insoluble Substance in Samples

To measure the amount of insoluble fiber, FRB and RB were suspended (2.75 g of powder of FRB and RB), respectively, in water and vortexed for 15 min. The rice bran powder solution was separated into soluble and insoluble fractions using a centrifuge at 10,000× g. Both insoluble and soluble fractions were dried under reduced pressure overnight and the weight of the dried product was compared with the initial powder weight.

2.4. Gel Permeation Chromatography (GPC) Analysis of Fermented Rice Bran Extract (FRB)

The molecular weight analysis was performed as described by Pan et al. [26] using the gel permeation chromatography (GPC) system. Changes in patterns of molecular weight were measured using a GPC device (VP-10AD, RID-10A, Shimadzu Co., Ltd., Kyoto, Japan), and the column, Ultra-hydrogelTM 120.250 (7.8 mm × 300 mm, Waters, Milford, MA, USA) was used. Additionally, a 0.2 M sodium chloride solution was used as the eluent, the column temperature was 40 °C, and the flow rate was 1 mL/min. Ethylene glycol polymer (Service Inc., Joliet, IL, USA) was used as a standard material for molecular weight analysis.

2.5. Cell Proliferation Effect of Fermented Rice Bran Extract (FRB)

The analysis of the cell proliferation effect of FRB was performed by the method described by Yu et al. [27]. After sacrificing BALB/c (5-week-old male) mice, spleens were isolated and stored in RPMI 1646 medium (15 mM HEPES buffer with 10% FBS and 1% penicillin). The samples were washed with L-glutamine (50 nM of 2-mercaptoethanol), gently disrupted on sterile slides with a large-sized needle to isolate single cells, and centrifuged (3000× g) for 10 min at 4 °C. Cell pellets were resuspended in ammonium-chloride-potassium lysis buffer for 2 min to remove erythrocytes and then centrifuged again 2 times. The cells number was readjusted to 160 μL of 5 × 105 cells/well, dispensed into a 96-well plate, and then used to evaluate the cell proliferation of the spleen. The splenocyte suspension was diluted to 5 × 105 cells/well in 180 μL, and 20 μL of LPS (500 μg/mL) and Concanavalin A (Con A) (15 μg/mL), respectively, were added in a 96-well plate. After treating the FRB (50, 100, and 200 μg/mL) in wells by 10 μL, it was incubated for 48 h at 37 °C and 5% carbon dioxide (CO2) to give an MTT indicator. To compare spleen cell proliferation capacity, 20 μL of each was treated with 5% CO2 at 37 °C for 2 h. The culture medium was removed and washed with 200 μL of 1 × PBS, 100 μL of DMSO was added, and then absorbance was measured (570 nm) [27,28].

2.6. Animal Study

The animal study was performed under the approval of the Hannam University Institutional Animal Care and Use Committee (IACUC) (Approval Number: HNU2023-007). Five-week-old male BALB/c mice were fed a solid diet (SuperFeed TM, Samyang Diet Co., Ltd., Seoul, Republic of Korea) for 1 week. The mice were housed in a ventilated room maintained at 50 ± 7% of relative humidity, at 25 ± 2 °C, with a 12 h alternating light/dark cycle, and all air in the animal room (Specific Pathogen Free zone) used air filtered by an HEPA filter. The mice were divided into five groups:
Group I: Normal control (fed distilled water only) − NC group.
Group II: Negative control (0.1 g/kg-body weight (b.w.) of cyclophosphamide) − CY group.
Group III: Positive control (0.5 g/kg-b.w. of red ginseng extract) − GS group.
Group IV: 0.5 g/kg-b.w. of fermented rice bran extract − FRB group.
Group V: 0.5 g/kg-b.w. of processed rice bran − RB group.
FRB (0.5 g/kg-bw) and RB (0.5 g/kg-bw) were administered to BALB/c mice twice a day (09:00 AM and 17:00 PM) for 14 days by gavage needles. In the case of the normal control group (NC group) and the immunocompromised group (CY Control), the same amount of distilled water (D.W.) was administered orally for 10 days. To induce a decrease in immunity due to CY, 0.1 g/kg-bw of CY was administered intraperitoneally on the first day of test sample administration and 5 days after the administration.

2.7. Changes in Weight of Spleen, Thymus, Liver, and Body

The weight of mice was measured from day 0 (the first day of test sample administration) and day 5 (CY administration date) to the day of autopsy during the test period. After animals were anesthetized in a CO2 gas chamber, the thymus, liver, and spleen were separated and each weight was measured.

2.8. Measurement of Antibody-Producing Capacity in CY-Immunocompromised Mice

The analysis of antibody-producing ability of FRB was performed as described by Yu et al. [27]. The contents of immunoglobulin G (IgG) and immunoglobulin M (IgM) in the serum of animals collected after FRB oral administration for 10 days were evaluated using an ELISA kit (K3231088 and K3231083, Koma Biotech Co., Ltd., Seoul, Republic of Korea) of a mouse IgG and IgM. After washing the 96-well plate with 300 μL of washing solution (1× PBS, 0.05% Tween-20, pH 7.4), we discarded the residual buffer, added 100 μL of the samples to the standard, plasma, and blank wells, reacted for 1 h at 25 °C, and then cleaned the wells with 300 μL washing solution (1X PBS, 0.05% Tween-20, pH 7.4) repeatedly four times, added 100 μL of detection antibody (IgG or IgM), and reacted for 1 h at 25 °C. After repeatedly washing the wells 4 times with 300 μL of washing solution, we added 100 μL of TMB solution and reacted for 10 min at 25 °C. After the above treatment, 100 μL (0.18 M, H2SO4) was added as a stop solution, and the antibody content in the blood was measured by the absorbance at 450 nm [29,30].

2.9. TNF-α and Expression of Cytokines

The analysis of cytokines and TNF-α was performed as described by Yu et al. [27]. Using the mouse TNF-α ELISA kit (BMS607-3, Thermo Fisher Scientific Korea, Co., Ltd., Seoul, Republic of Korea), the amount of TNF-α in animal (BALB/c mice) plasma was measured. After washing the 96-well plate with 400 μL of washing solution (1X PBS, 0.05% TweenTM-20), we removed the residual buffer, added a 50 μL + biotin-conjugate 50 μL solution to each of the plasma, standard, and blank wells, and incubated for 2 h at 25 °C. After the reaction steps, we cleaned the wells with 400 μL of washing solution repeatedly six times, added 100 μL of 1× Streptavidin HRP solution, reacted the well plate for 1 h at 25 °C, and then washed it repeatedly with 400 μL of washing solution (1X PBS, 0.05% TweenTM 20) six times before adding 100 μL of TMB solution. The solution was added and subjected to a color reaction at 25 °C for 30 min, then 100 μL of 1 M phosphoric acid was added to stop the reaction. The content of TNF-α in the blood samples was evaluated by the measurement of absorbance at 450 nm.
After FRB oral administration for 10 days, the levels of cytokine expression in the spleen of each mouse were measured using the real-time PCR as described by Yu et al. [27]. RNA was extracted by a TRI reagent solution from animal tissues, and then cDNA was synthesized by a high-capacity of cDNA reverse transcription kit (K1622, Thermo Fisher Scientific Korea, Co., Ltd.). As shown in Table 1, the primers were used to measure the expression levels of cytokine (IL-2, IL-4, IL-6, and IFN-γ) and GAPDH genes (Table 1). After confirming the amplification process using the QuantiTect® SYBR® Green PCR kit (A25741, Thermo Fisher Scientific Korea, Co., Ltd.) and 7500-Real-Time PCR system (Applied Biosystems™, Thermo Fisher Scientific Inc., Waltham, MA, USA), the degrees of expression of genes were quantified by evaluating them with the GAPDH expression level as an internal control.

2.10. In Vivo NK Cell Activity

The spleens of animal models (BALB/c mice) were used following the administration of FRB (0.1 g/kg-bw), RB (0.5 g/kg-bw), and a positive control group (Red Ginseng extract, 0.5 g/kg-bw), respectively, once a day for 10 days. The spleen was extracted from the experimental animals after administration of the sample for 10 days. After combining the RPMI 1640 suspension containing splenocytes and the culture medium of culturing YAC-1 cells after culturing for 4 h, Lactate Dehydrogenase (LDH) released by destruction of YAC-1 cells by NK cells in the splenocytes was measured using an LDH Cytotoxicity Detection Kit PLUS (Roche, Cat. No. 04 744 926 001). NK cell activity was investigated at Yac-1 cell and splenocyte ratios of 25:1 and 50:1. In a 96-well U-bottom culture plate (Corning Glass Works, Corning, NY, USA), YAC-1 (0.5 × 105 cell/mL) and splenocytes were cultured at ratios of 50:1 and 25:1 for 4 h (37 °C, 5% CO2). After centrifugation, only 100 μL of the LDH-free supernatant was collected and transferred to flat-bottom microplates (Nunc, Roskilde, Denmark). After reacting for 10 min, we added only the culture solution to the well to obtain a spontaneous LDH measurement and added triton X-100 solution to the maximum LDH well to determine the maximum level of LDH liberated from the YAC-1 cells. The percentage (% of cytotoxicity) was measured as LDH liberated from each culture (Table 2).

2.11. Statistical Analysis

All data are presented as mean ± standard deviation. Statistical analyses were performed by the SPSS 11 program (Statistical Package for Social Science, SPSS Inc., Chicago, IL, USA). Statistical significance in each group was verified with the analysis of one-way ANOVA followed by Duncan’s test of p < 0.05. Additionally, statistical significances in these animal studies were evaluated by Student’s t-test (* p < 0.05; ** p < 0.01, and *** p < 0.001).

3. Results

3.1. Comparison of Soluble/Insoluble Components in Fermented Rice Bran Extract (FRB)

Changes in insoluble fiber in FRB manufactured by fermentation and enzyme treatment processes were measured. The initial 48% insoluble portion was reduced to 23% after the fermentation process (Table 3). These results suggest that the high-molecular- weight insoluble fiber components were significantly decomposed through fermentation and enzyme conversion processes. Through the process, it was confirmed that the water solubility of the insoluble portion of rice bran increased by more than 25% (Table 3).

3.2. Gel Permeation Chromatography (GPC) Analysis of FRB

In a previous study, the fermentation and extraction process were performed to optimize the solubility of polysaccharides and β-glucan, which are reported to have high immunomodulatory functions [23], and the extract was prepared by performing process standardization using β-glucan and solubility, which has high stability and detectability, as a biomarker.
The GPC profiles of the FRB tested for the investigation of the improving effect of immunity and solubility were determined. In Figure 1 we can see the different β-glucan profiles between FRB and RB. As a result of measuring the change in the molecular weight profile due to bioconversion, we observed that β-glucans were decomposed and converted into β-glucans of various molecular weights (M.W. 393, 543, 752, 1128, and 1574) through the bioconversion process (Figure 1a,b) (Table 4). More specifically, the initial molecular weight distribution (M.W. 451, 858, and 1538) was changed to a more diverse low molecular weight profile (M.W. 393, 543, 752, 1128, and 1574) after fermentation and bioconversion. These results indicate that insoluble molecules present in rice bran tissue are converted into low-molecular-weight bioactive substances through the improved fermentation and bioconversion process.

3.3. Effects of FRB on Spleen Cell Proliferation

FRB at doses of 50, 100, and 200 μg/mL was added to spleen cells (treated with concanavalin A (Con A) or lipopolysaccharide (LPS)) and then incubated for 48 h. Negative control (without the addition of FRB samples, Con A, or LPS) was prepared as described in the materials and methods section.
Con A-treated splenocyte proliferation was further increased by the addition of FRB (p < 0.001) (Figure 2A). These findings suggest that FRB is effective in cellular immune responses by promoting T cell proliferation.
We also evaluated the effect of FRB on LPS-induced B cell proliferation by adding FRB (50, 100, and 200 μg/mL) to the culture medium with LPS. FRB supplementation stimulated cell proliferation in a dose-dependent manner (p < 0.01 and p < 0.001) (Figure 2B). These findings suggest that FRB may have an immunostimulatory effect affecting the humoral immune response.

3.4. Effects of FRB and RB Administrations on Body Weight and Immune-Related Organ Weight in Animal Model

When CY is applied to lymphocyte cells, their immune system is negatively affected, since CY is a well-defined alkylating agent [31]. Alkylation inhibits DNA synthesis and impairs the functions in T and B cells and eventually reduces their immune response [29,31,32]. Therefore, in this research we evaluated whether this immunosuppression method can be improved by the co-administration of CY and FRB.
FRB (0.5 g/kg-bw) or RB (0.5 g/kg-bw) was administered for 14 days. CY was intraperitoneally administrated as a single dose of 100 mg/kg 5 days before sacrifice. As a result, significant differences were observed in the weight of thymus and spleen according to CY administration, and significant differences were also measured between the FRB and RB treatment groups (Table 5). The weight of both thymus and spleen related to immunity was significantly reduced in all groups administered CY, triggering immune decline due to CY (Table 5). More specifically, the weight of thymus decreased by 41% in the CY control group but showed a difference between the FRB- and the RB-treated groups by about 2.3% and 18%, suggesting a tendency to recover immune function. The spleen weight of the CY control group decreased (17%) compared to normal control. FRB with the CY administration group significantly increased spleen weight by 11% compared to the spleen weight of the CY control group. The above results suggest that FRB supplementation may help restore the weight of the spleen and thymus relevant for immunity, possibly by enhancing and protecting CY-induced damage in the immune system.
Overall, our findings suggest that FRB treatment could increase the weight of both spleen and thymus, and recover the CY-induced immunosuppression.

3.5. Blood Immunoglobulins (IgM and IgG) Contents

As shown in Table 6, the values of immunoglobulin G (IgG) were significantly improved with FRB administration. The blood IgG level was significantly increased in the FRB (21.98 ± 2.17, p < 0.01) and RB (18.48 ± 1.52, p > 0.01) groups compared to the CY control (14.18 ± 1.45 μg/mL) group. IgG also significantly increased in the FRB (5.78 ± 0.89, p < 0.05) and RB (4.57 ± 0.23, p < 0.01) groups compared to the CY control (3.90 ± 0.38 μg/mL) group (Table 6). Based on the results in Table 6, IgM and IgG induced by FRB and RB indicated their involvement in possibly strengthening immunity.
Both immunoglobulin levels were higher in the normal control group (untreated group) than in the CY control group, suggesting that blood immunoglobulin levels are an indicator of the improvement and enhancement of immune systems.

3.6. Measurement of Cytokines Expression in Serum

Immune cells produce cytokines, which are important for both innate and adaptive immunity; in addition, they are important for various immune cell metabolic processes, such as the maturation processes [33,34,35,36]. In this study, we evaluated the effect of FRB administration on serum cytokine levels in mice administered with CY (Table 7).
Results of evaluating the level of interleukin (IL)-1α expression: CY control resulted in significantly lower expression compared to the normal control (Table 7). Administration of FRB (p < 0.05) significantly increased the IL-1α expression compared to the CY control group. Similar observations occurred with IL-6, where the normal control group was 157.1 ± 18.8, and the CY control resulted in reduced IL-2 levels (96.4 ± 11.5 pg/mL). The expression of IL-6 was significantly increased in the group treated with FRB (169.1 ± 13.5, p < 0.001) and RB (144.6 ± 8.8, p < 0.001) compared to the CY control group (96.4 ± 11.5 pg/mL). In contrast to the significant increase in IL-6, the expression levels of IL-2 and IL-4 tended to slightly increase in the FRB (p < 0.05) and RB (p < 0.001) groups, respectively (Table 7). In the case of IL-12 (p70) expression levels, the expression level was 259.2 ± 13.7 in the normal control group and significantly lowered in the CY control (177.5 ± 9.0) group. More specifically, the expression of IL-12 (p70) was significantly increased in the group treated with both FRB (255.8 ± 14.1, p < 0.001) and RB (251.9 ± 13.3, p < 0.001) compared to the CY control group. Furthermore, when evaluating the level of γ-interferon (INF-γ) expression, the normal control group was 379.5 ± 24.6, the CY control (180.6 ± 22.5) group was significantly lower, and the FRB (351.2 ± 22.0, p < 0.001) and RB-treated group (222.8 ± 9.4, p < 0.001) yielded a significant difference in INF-γ expression when compared to the CY control group. Results similar to those for tumor necrosis factor α (TNF-α) were also found for INF-γ results. The expression of TNF-α was significantly increased in the group treated with FRB (15.6 ± 0.9, p < 0.001) and RB (11.4 ± 1.1, p < 0.05) compared to the CY control group (7.7 ± 0.8 pg/mL) (Table 7).
As a recap, FRB treatment significantly increased the expression of all tested cytokines, with the exception of IL-1β (Table 7). Among the cytokines with increased expression, the most dramatic increase was observed with IL-6, IL-12 (p70), IFN-γ, and TNF-α (Table 7).
TNF-α is a mediator cytokine of innate immunity and acute inflammatory responses due to bacterial infection [37]. Additionally, TNF-α production occurs from macrophages, mast cells, NK cells, and T lymphocytes [26,33]. In Table 7 we observed the effect of FRB (p < 0.01) and RB (p < 0.05) administration on TNF-α, which was significantly improved compared to the CY control.
As described above, the expressions of IL-1, IL-6, IL-12, and TNF-α, which mediate innate immunity, were increased, and immune cells were also stimulated. Through this result, the improvement of cytokine expression related to innate immunity by the administration of FRB to animals induced to suppress immune activity was observed.

3.7. Measurement of Cytokine Expression in Spleen Cells

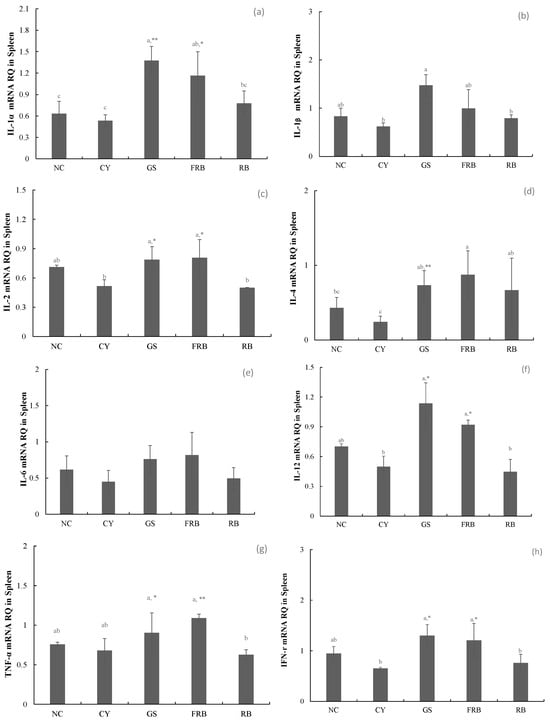
Similar to the cytokine secretion-promoting effect pattern in the serum described above (Table 7), the expression of spleen cell cytokines treated with the FRB group (0.5 g/kg-b.w., respectively), including IL-1α (p < 0.05), IL-2 (p < 0.05), IL-12 (p < 0.05), IFN-γ (p < 0.05), and TNF-α (p < 0.01), was also significantly increased (Figure 3a,c,g,h). The FRB group showed higher activity than those of the RB in the expression of cytokines evaluated in this study.
The early response cytokines, TNF-α and IL-1, are generated in response to microbial challenges. These cytokines amplify, propagate, and coordinate proinflammatory signals, resulting in the synchronized expression of effector molecules that mediate diverse aspects of innate immunity [23]. IL-1 is well known as the innate mediator of T cell immunity. IL-12 is a heterodimeric pro-inflammatory cytokine that regulates T-cell and natural killer-cell responses, induces the production of IFN-γ, favors the differentiation of T helper 1 (TH1) cells, and is an important link between innate resistance and adaptive immunity [7,23].

3.8. In Vivo Effect of FRB Administration on Natural Killer (NK) Cell Activity

To verify the NK cell activity-promoting effect of FRB, RB, and red ginseng extracts (positive control), which have been reported to have an immune-enhancing effect through NK cell activity [38], were used as positive controls, and the in vivo NK cell activity-promoting effect was measured. Figure 4 shows the results of using the spleen of an animal model (BALB/c mice) following administration of FRB (0.5 g/kg-bw), RB (0.5 g/kg-bw), and a positive control group (Red Ginseng Extract 0.5 g/kg-bw) once a day for 10 days. After combining the RPMI 1640 suspension containing splenocytes and the culture medium of culturing YAC-1 cells, and after culturing for 4 h, lactate dehydrogenase (LDH) released by the destruction of YAC-1 cells by NK cells in the splenocytes was measured. In this experiment, red ginseng was used as a positive control since it is a well-defined immunomodulator and has secured functional certification (official health claim: helps in enhancing immunity) from the Korea Food and Drug Administration.
NK cell activities at 1:50 ratio of YAC-1 cells to splenocytes were significantly in-creased in red ginseng extract 0.5 g/kg (64.93 ± 4.72%, p < 0.05), compared to that of Normal Control (62.29 ± 4.45%, p < 0.05) and RB 0.5 g/kg-bw (50.84 ± 3.28%).
NK cell activities at a 1:25 ratio of YAC-1 cells to splenocytes were significantly increased in the positive control: Red Ginseng Extract 0.5 g/kg (38.64 ± 2.13%), FRB (34.85 ± 3.45%), and RB (25.00 ± 4.18%), compared to that of the negative control CY group (12.67 ± 3.23%), (Figure 4). It is important to note that FRB shows activity similar to the NK cell activation-promoting effect seen in red ginseng extract, which is the positive control (Figure 4). Furthermore, in both ratios, FBR showed higher activity than that of RB. These results indicate that the increase in the content and solubility of water-soluble substances through improvement of the fermentation process is an effective process to enhance immune activities.
Through the confirmation of the expression level of cytokines secreted from these splenocytes, ingestion of FRB promotes the proliferation of B cells, T cells, and NK cells in the splenocytes, and as the B cells increase, the antibody proteins IgM and IgA are activated. It can be seen that promoting the phagocytosis and destruction of infiltrating pathogens promotes antigen neutralization and aggregation reactions, and as NK cell activity (IL-12 and INF-γ) increases, it has a significant effect on the involvement of complement activation. there was. In view of the above results, it is thought that FRB can effectively act on immune activity by directly promoting an immune response or affecting other immune responses related thereto.

4. Discussion

Innate immunity is an immune system that is present in our bodies from birth, regardless of age or history of infection, and consists of molecular recognition, disposal, and communication systems. Innate immunity consists of molecules that recognize and process various types of pathogens, induce inflammatory responses, and interact with adaptive immunity (acquired immunity). Mediators involved in innate immunity are mostly known as cytokines (IL-1, 2, 6, 12, etc.). They do not have the property of directly recognizing or processing externally invading viruses or microbes, but they serve as signaling molecules. These cytokines play an important role in adaptive immunity, and although their functions overlap considerably, they can be largely divided into inflammatory responses, cell differentiation and proliferation, cell migration, inhibitory, and antiviral functions [5].
In this study we evaluated the potential immunomodulating effect of FRB and compared it to a commercially available Korean Red Ginseng Extract (CKJ, Seoul, Republic of Korea) which is currently approved by the Korean Food and Drug Administration to be used as an “immune-booster”. CKJ ginseng extract is standardized to contain 5.5 mg/g of Rg1, Rb1, and Rg3 and has been evaluated in various in vitro animal and clinical studies, demonstrating its positive effect on immune function [39,40,41,42,43]. In this study, administration of FRB, improving the content and solubility of water-soluble substances, promoted the expression of cytokines (IL-1, 2, and 12) mostly involved in innate immunity in a CY-suppressed mouse model. IL-2, one of the cytokines increased by FRB administration, directly acts on NK cells in a resting state and affects NK cell proliferation, increases cytotoxicity, and inhibits the expression of perforin and IFN-γ [44,45]. Since γ-IFN, unlike α-IFN and β-IFN, has been reported to activate macrophages to intracellularly destroy pathogens, these results suggest that FRB administration activates innate immunity in animal models and contributes to the activation of macrophages.
In addition, IL-12 is a heterodimeric cytokine composed of p35 and p40 subunits. It is known as a natural killer cell stimulatory factor and is mainly produced in antigen-presenting cells (APCs) [46]. IL-12, APC-derived cytokine, stimulates T cells and NK cells to secrete IFN-γ and augments the proliferation and cytolytic activity of NK cells [47]. IL-12 plays an important role in innate and acquired immune responses, such as increasing the production of IFN-γ in NK cells and T cells and promoting Th-1-type immune responses [47].
On the other hand, in vivo NK cell activity measurement results using FRB and red ginseng extract, which is known to enhance immunity, showed that NK cell activity increased in the FRB-administered group and the red ginseng extract-administered group. The main function of NK cells is that they are more restricted in cognitive function than T cells but respond earlier in hours or days compared to the days to weeks that normal adaptive immune T cells take. These NK cells are stimulated by cytokines such as IL-12 and IL-18 secreted from phagocytic cells, which secrete γ-IFN to activate phagocytic cells and kill phagocytic bacteria and viruses. NK cells are known not only to rapidly produce γ-IFN but also to rapidly progress typical innate immune modalities. According to previous research results, cytokines such as IL-2, IL-12, IL-15, and IL-18 are known to increase the cytotoxic potential of NK cells. In this study, we quantitatively and comparatively analyzed IL-2 and IL-12, which are said to be cytokines that can activate NK cells. It could be confirmed that an increase in these two cytokines can increase the activity of NK cells.
Through the confirmation of the expression level of cytokines secreted from these splenocytes, the ingestion of FRB might promote the proliferation of B cells, T cells, and NK cells in the splenocytes, and as the B cells increase, the antibody proteins IgM and IgA are activated. It can be seen that promoting the phagocytosis and destruction of infiltrating pathogens promotes antigen neutralization and aggregation reactions, and as NK cell activity (IL-2, IL-12, INF-γ) increases, it has a significant effect on the involvement of complement activation.
Although the content of the specific bioactive component in FRB is not defined in this study, FRB, with its high solubility and as a water-soluble substance, had higher efficacy for promoting NK cell and related immune biomarker activities. This result was correlated to the NK cell-promoting activity by FRB administration according to the solubility and water-soluble substance content. Therefore, these results indicate that solubility and content of water-soluble substances might be used for the FRB standardization maker.
These results suggest that FRB administration increases IL-2 and IL-12 and significantly activates NK cells; it will provide a useful biochemical rationale for studying the activation of NK cells and immunotherapy using NK cells. However, more studies need to be performed to better understand the exact mechanism of action for the observed outcomes, which could be due to a more complex phenomenon and involve possible gut-microbiome alterations [4].

5. Conclusions

Our findings suggest that FRB has a positive effect on spleen cells by promoting B and T cells. More specifically, we observed IL-1, IL-2, IL-6, and IL-12 cytokine activation with our treatments. We also observed that FRB treatment increased NK cell activity and serum immunoglobulins, along with promotion of TNF-α and INF-γ. Based on these results, possible mechanisms of the action of FRB administration could suggest that promoting the phagocytosis and destruction of infiltrating pathogens promotes antigen neutralization and aggregation reactions, and as NK cell activity (IL-12 and INF-γ) increases, it has a significant effect on the involvement of complement activation. The presented experiments clearly demonstrate the possible benefits of FRB towards the enhancement of the immune system through various possible mechanisms. In the future, we need to achieve a better understanding of how and what bioactive compounds provide the observed immunomodulating effects. It is necessary to evaluate in more detail the triggers of these immune responses.

Author Contributions

J.-Y.L., K.-T.K. and Y.-I.K. designed the experiment; J.-Y.H. and Y.J. performed the animal experiments; Y.J. and D.-W.K. performed in vitro/ex vivo experiments; G.-J.K. and Y.J. wrote the manuscript and G.-J.K., E.A., S.-J.H., D.-J.K. and Y.-I.K. revised the manuscript. All authors have read and agreed to the published version of the manuscript.

Funding

This study was financially supported by research grants from EROM R&D center (2021) and Hannam University (2023).

Institutional Review Board Statement

All animal procedures were approved by the Institutional Animal Care and Use Committee (IACUC) of Hannam University (Approval number: HNU2023-007, 10 October 2023).

Informed Consent Statement

Not applicable.

Data Availability Statement

The datasets generated during and/or analyzed during the current study are available from the corresponding authors on reasonable request.

Acknowledgments

We are grateful for the various experiment-related samples provided by MNH Bio, Co., Ltd.

Conflicts of Interest

The authors declare that they have no known competing financial interests or personal relationships that could have appeared to influence the work reported in this paper. Dae-Weon Kim and Dae-Jung Kang are employees of MNH Bio, Co., Ltd., Sung-Joo Hwang is employee of Erom R&D Center, EROM Co., Ltd. And this study was financially supported by research grants from EROM R&D center. The funder had no role in the design of the study; in the collection, analysis, or interpretation of data, in the writing of the manuscript, or in the decision to publish the results.

References

  1. Diamond, M.S.; Kanneganti, T.D. Innate immunity: The first line of defense against SARS-CoV-2. Nat. Immunol. 2022, 23, 165–176. [Google Scholar] [CrossRef]
  2. Bax, C.E.; Chakka, S.; Concha, J.S.S.; Zeidi, M.; Werth, V.P. The effects of immunostimulatory herbal supplements on autoimmune skin diseases. J. Am. Acad. Dermatol. 2021, 84, 1051–1058. [Google Scholar] [CrossRef] [PubMed]
  3. Miler, F. The increasing prevalence of autoimmunity and autoimmune diseases: An urgent call to action for improved understanding, diagnosis, treatment, and prevention. Curr. Opin. Immunol. 2023, 80, 102266. [Google Scholar] [CrossRef]
  4. Alemao, C.A.; Budden, K.F.; Gomez, H.M.; Rehman, S.F.; Marshall, J.E.; Shukla, S.D.; Conovan, C.; Forster, S.C.; Yang, I.A.; Keely, S.; et al. Impact of diet and the bacterial microbiome on the mucous barrier and immune disorders. Allergy 2021, 76, 714–734. [Google Scholar] [CrossRef]
  5. Mifsud, E.J.; Kuba, M.; Barr, I.G. Innate immune responses to influenza virus infections in the upper respiratory Tract. Viruses 2021, 13, 2090. [Google Scholar] [CrossRef] [PubMed]
  6. Abo, T.; Kawamura, T.; Watanabe, H. Immunologic states of autoimmune diseases. Immunol. Res. 2005, 33, 23–34. [Google Scholar] [CrossRef]
  7. Li, D.; Wu, M. Pattern recognition receptors in health and diseases. Signal Transduct. Target Ther. 2021, 6, 291. [Google Scholar] [CrossRef] [PubMed]
  8. Ooi, S.L.; Pak, S.C.; Micalos, P.S.; Schupfer, E.; Lockley, C.; Park, M.H.; Hwang, S.J. The health-promoting properties and clinical applications of rice bran arabinoxylan modified with shiitake mushroom enzyme—A narrative review. Molecules 2021, 26, 2539. [Google Scholar] [CrossRef] [PubMed]
  9. Gul, K.; Yousuf, B.; Singh, A.; Singh, P.; Wani, A.A. Rice bran: Nutritional values and its emerging potential for development of functional food—A review. Bioact. Carbohydr. Diet Fibre 2015, 6, 24–30. [Google Scholar] [CrossRef]
  10. Park, H.Y.; Lee, K.W.; Choi, H.D. Rice bran constituents: Immunomodulatory and therapeutic activities Check for updates. Food Funct. 2017, 8, 935–943. [Google Scholar] [CrossRef]
  11. Park, Y.M.; Lee, H.Y.; Shin, D.Y.; Lee, Y.H.; Yang, T.J.; Lee, H.S.; Lee, J.O.; Choi, K.S.; Kang, J.H.; Cho, T.H.; et al. Immunostimulatory Activity of Black Rice Bran in Cyclophosphamide-Induced Immunosuppressed Rats. Nat. Prod. Commun. 2020, 15, 1–11. [Google Scholar] [CrossRef]
  12. Ghoneum, M.; Agrawal, S. Activation of human monocyte-derived dendritic cells in vitro by the biological response modifier arabinoxylan rice bran (MGN-3/Biobran). Int. J. Immunopathol. Pharmacol. 2011, 24, 941–948. [Google Scholar] [CrossRef] [PubMed]
  13. Park, H.J.; Jung, D.H.; Joo, H.; Kang, N.S.; Jang, S.A.; Lee, J.G.; Sohn, E.H. Immunostimulatory effects and characterization of a glycoprotein fraction from rice bran. Int. Immunopharmarcol. 2013, 17, 191–197. [Google Scholar] [CrossRef] [PubMed]
  14. Badr El-Din, N.K.; Noaman, E.; Ghoneum, M. In vivo tumor inhibitory effects of nutritional rice bran supplement MGN-3/Biobran on Ehrlich carcinoma-bearing mice. Nutr. Cancer 2008, 60, 235–244. [Google Scholar] [CrossRef] [PubMed]
  15. Cholujova, D.; Jakubikova, J.; Sedlak, J. BioBran-augmented maturation of human monocyte-derived dendritic cells. Neoplasma 2009, 56, 89–95. [Google Scholar] [CrossRef]
  16. Campara, M.; Tzvetanov, I.G.; Oberholzer, J. Interleukin-2 receptor blockade with humanized monoclonal antibody for solid organ transplantation. Expert Opin. Biol. Ther. 2010, 10, 959–969. [Google Scholar] [CrossRef]
  17. Liu, Y.; Zhang, H.; Yi, C.; Quan, K.; Lin, B. Chemical composition, structure, physicochemical and functional properties of rice bran dietary fiber modified by cellulase treatment. Food Chem. 2021, 342, 128352. [Google Scholar] [CrossRef]
  18. Verni, M.; Rizzello, C.G.; Coda, R. Fermentation biotechnology applied to cereal industry by-products: Nutritional and functional insights. Front. Nutr. 2019, 6, 42. [Google Scholar] [CrossRef] [PubMed]
  19. Jia, M.; Chen, J.; Liu, X.; Xie, M.; Nie, S.; Chen, Y.; Xie, J.; Yu, Q. Structural characteristics and functional properties of soluble dietary fiber from defatted rice bran obtained through Trichoderma viride fermentation. Food Hydrocoll. 2019, 94, 468–474. [Google Scholar] [CrossRef]
  20. Li, Y.; Meng, S.; Shi, M.; Hu, X.; Yang, Y.; Zhang, Z. Bioactivity evaluation of crude polysaccharide from rice bran fermented by Preussia aemulans and the changes in its nutritional contents. J. Food Biochem. 2016, 40, 664–672. [Google Scholar] [CrossRef]
  21. Choi, J.Y.; Paik, D.J.; Kwon, D.Y.; Park, Y. Dietary supplementation with rice bran fermented with Lentinus edodes increases interferon-γ activity without causing adverse effects: A randomized, double-blind, placebo-controlled, parallel-group study. Nutr. J. 2014, 13, 35–41. [Google Scholar] [CrossRef]
  22. Kim, H.Y.; Kim, J.H.; Yang, S.B.; Hong, S.G.; Lee, S.A.; Hwang, S.J.; Shin, K.S.; Suh, H.J. Park MH: A polysaccharide extracted from rice bran fermented with Lentinus edodes enhances natural killer cell activity and exhibits anticancer effects. J. Med. Food 2007, 10, 25–31. [Google Scholar] [CrossRef] [PubMed]
  23. Xin, Y.; Ji, H.; Cho, E.; Roh, K.B.; You, J.; Park, D.; Jung, E. Immune-enhancing effect of water-soluble beta-glucan derived from enzymatic hydrolysis of yeast glucan. Biochem. Biophys. Rep. 2022, 30, 121056. [Google Scholar] [CrossRef]
  24. Morales, D.; Smiderle, F.R.; Piris, A.J.; Rivas, C.S.; Prodanov, M. Molecular identification of Shiitake (Lentinula edodes), analysis and production of beta-glucan using beech wood sawdust waste. Int. J. Biol. Macromol. 2024, 280, 135539. [Google Scholar]
  25. Sindhu, R.K.; Goyal, A.; Das, J.; Choden, S.; Kumar, P. Immunomodulatory potential of polysaccharides derived from plants and microbes: A narrative review. Carbohydr. Polym. Technol. Appl. 2021, 2, 100044. [Google Scholar] [CrossRef]
  26. Pan, Y.; Wu, H.; Luo, J.J.; He, C.F.; Dong, T.M.; Wang, C.T. GPC Determination of Molecular Weight and Extraction of Beta-glucan from Oat Bran. Food Sci. 2009, 30, 49–52. [Google Scholar]
  27. Yu, J.-A.; Lee, J.-Y.; Kim, T.Y.; Kang, H.; Lee, S.-Y.; Mitiku, H.; Park, J.; Lee, Y.H.; Chang, H.-B.; Lee, B.H.; et al. Immune modulatory activities of arginyl-fructose (AF) and AF-enriched natural products in in-vitro and in-vivo animal models. Molecules 2021, 26, 2251. [Google Scholar] [CrossRef]
  28. Pyo, M.Y.; Hyun, S.M.; Yang, K.S. Effects of Phelinus linteus extracts on the humoral immune response in normal and cyclophosphamide-treated mice. J. Appl. Pharmacol. 2001, 9, 194–200. [Google Scholar]
  29. Mischell, B.B.; Shiigi, S.M. Selected Methods in Cellular Immunology; W.H. Freeman and Company: New York, NY, USA, 1980; p. 156. [Google Scholar]
  30. Motoyoshi, Y.; Kaminoda, K.; Saitoh, O.; Hamasaki, K.; Nakao, K.; Ishii, N.; Nagayama, Y.; Eguchi, K. Different mechanisms for anti-tumor effects of low- and high-dose cyclophosphamide. Oncol. Rep. 2006, 16, 141–146. [Google Scholar] [CrossRef]
  31. Goldby, R.A.; Kindt, T.J.; Osbome, B.A.; Kudy, J. Kuby Immunology, 5th ed.; W.H. Freemand and Company: Amherst, MA, USA, 2003; pp. 154–196. [Google Scholar]
  32. Tanaka, T.; Kishimoto, T. The biology and medical implications of interleukin-6. Cancer Immunol. Res. 2014, 2, 288–294. [Google Scholar] [CrossRef] [PubMed]
  33. Fiorentino, D.F.; Zlotnik, A.; Vieira, P.; Mosmann, T.R.; Howard, M.; Moore, K.W.; O’Garra, A. IL-10 acts on the antigenpresenting cell to inhibit cytokine production by Th1 cells. J. Immunol. 1991, 146, 3444–3451. [Google Scholar] [CrossRef] [PubMed]
  34. Andersen, M.H.; Gehl, J.; Reker, S.; Pedersen, L.; Becker, J.C.; Geertsen, P.; Straten, P. Dynamic changes of specific T cell responses to melanoma correlate with IL-2 administration. Semin. Cancer Biol. 2003, 13, 449–459. [Google Scholar] [CrossRef]
  35. Arango Duque, G.; Descoteaux, A. Macrophage cytokines: Involvement in immunity and infectious diseases. Front. Immunol. 2014, 5, 491. [Google Scholar] [CrossRef] [PubMed]
  36. Kim, S.P.; Lee, S.J.; Nam, S.H.; Friedman, M. The composition of a bioprocessed shiitake (Lentinus edodes) mushroom mycelia and rice bran formulation and its antimicrobial effects against Salmonella enterica subsp. enterica serovar Typhimurium strain SL1344 in macrophage cells and in mice. BMC Complement. Altern Med. 2018, 18, 322. [Google Scholar] [CrossRef] [PubMed]
  37. Trinchieri, G. Interleukin-12 and the regulation of innate resistance and adaptive immunity. Nat. Rev. Immunol. 2003, 3, 133–146. [Google Scholar] [CrossRef]
  38. He, L.X.; Ren, J.Y.; Liu, R.; Chen, Q.H.; Zhao, J.; Wu, X.; Zhang, Z.F.; Wang, J.B.; Pettinatoc, G.; Li, Y. Ginseng (Panax ginseng Meyer) oligopeptides regulate innate and adaptive immune responses in mice via increased macrophage phagocytosis capacity, NK cell activity and Th cells secretion. Food Funct. 2017, 10, 3523–3532. [Google Scholar] [CrossRef]
  39. Yang, Y.; Li, J.; Zhou, S.; Ni, D.; Yang, C.; Zhang, X.; Tan, J.; Yan, J.; Wang, N. Enhanced immunity effect of Korean Red Ginseng capsule: A randomized, double-blind and placebo-controlled clinical trial. J. Ginseng. Res. 2024, 48, 504–510. [Google Scholar] [CrossRef]
  40. Lee, Y.; Park, A.; Park, Y.-J.; Jung, H.; Kim, T.-D.; No, J.-Y.; Choi, I.; Lee, S.; Yoon, S.Y. Ginsenoside 20(R)-Rg3 enhances natural killer cell activity by increasing activating receptor expression through the MAPK/ERK signaling pathway. Int. Immunopharmacol. 2022, 107, 108618. [Google Scholar] [CrossRef]
  41. Sun, Y.; Guo, M.; Feng, Y.; Zheng, H.; Lei, P.; Ma, X.; Han, X.; Guan, H.; Hou, D. Effect of ginseng polysaccharides on NK cell cytotoxicity in immunosuppressed mice. Exp. Ther. Med. 2016, 12, 3773–3777. [Google Scholar] [CrossRef] [PubMed]
  42. Takeda, K.; Okumura, K. Interferon-γ-Mediated Natural Killer Cell Activation by an Aqueous Panax ginseng Extract. J. Evid. Based Complement. Altern Med. 2015, 16, 603198. [Google Scholar]
  43. Kim, K.-S.; Pyo, S.-K.; Sohn, E.-H. Immunomodulation of NK Cell Activity by Red Ginseng Acidic Polysaccharide (RGAP) in Ovariectomized Rats. J. Ginseng. Res. 2009, 33, 99–103. [Google Scholar]
  44. Konjevic, G.; Schlesinger, B.; Cheng, L.; Olsen, K.J.; Podack, E.R.; Spuzic, I. Analysis of perforin expression in human peripheral blood lymphocytes, CD56+ natural killer cell subsets and its induction by interleukin-2. Immunol. Investig. 1995, 24, 499–507. [Google Scholar] [CrossRef] [PubMed]
  45. Trinchieri, G.; Matsumoto-Kobayashi, M.; Clark, S.C.; Seehra, J.; London, L.; Perussia, B. Response of resting human peripheral blood natural killer cells to interleukin 2. J. Exp. Med. 1984, 160, 1147–1169. [Google Scholar] [CrossRef] [PubMed]
  46. Kobayashi, M.; Fitz, L.; Ryan, M.; Hewick, R.M.; Clark, S.C.; Chan, S. Identification and purification of natural killer cell stimulatory factor (NKSF), a cytokine with multiple biologic effects on human lymphocytes. J. Exp. Med. 1989, 170, 827–845. [Google Scholar] [CrossRef] [PubMed]
  47. Trinchieri, G. Immunobiology of interleukin-12. Immunol. Res. 1998, 17, 269–278. [Google Scholar] [CrossRef] [PubMed]
Figure 1. GPC Analysis of RB and FRB. Processed Rice Bran (RB; (a)) and Fermented Rice Bran (FRB; (b)).
Figure 1. GPC Analysis of RB and FRB. Processed Rice Bran (RB; (a)) and Fermented Rice Bran (FRB; (b)).
Applsci 15 00876 g001
Figure 2. Changes in splenocyte proliferation induced by Con A (A), LPS (B), and FRB. Mouse Splenocytes were stimulated with Con A (15 μg/mL), LPS (500 μg/mL) in the presence of various concentrations of FRB for 48 h. MTT assay was performed to evaluate the splenocyte proliferation. The results were expressed as the mean ± standard deviation of different experiments. Statistical significances of Con A and LPS groups were determined by Student’s t-test (** p < 0.01, *** p < 0.001).
Figure 2. Changes in splenocyte proliferation induced by Con A (A), LPS (B), and FRB. Mouse Splenocytes were stimulated with Con A (15 μg/mL), LPS (500 μg/mL) in the presence of various concentrations of FRB for 48 h. MTT assay was performed to evaluate the splenocyte proliferation. The results were expressed as the mean ± standard deviation of different experiments. Statistical significances of Con A and LPS groups were determined by Student’s t-test (** p < 0.01, *** p < 0.001).
Applsci 15 00876 g002
Figure 3. Real time PCR quantitative analysis of cytokine mRNA expression in the spleen. For real- time PCR, we used an SYBR green mix with cytokine gene-specific primers ((a): IL-1α, (b): IN-1β, (c): IL-2, (d): IL-4, (e): IN-6, (f): IL-12, (g): IFN-γ, (h): TNF-α). The level of mRNA expression was normalized with GAP-H. Each value is expressed as mean ± standard deviation. a–c Different letters indicate statistically significant differences between groups using one-way ANOVA followed by Duncan’s test of p < 0.05. Significantly different from the CY Control group (* p < 0.05, ** p < 0.01). (NC: normal control, CY: negative control (CY only), GS: positive control (CY with Ginseng extract 0.5 kg/kg-bw), FRB: CY with FRB 0.5 g/kg-bw, RB: CY with RB 0.5 g/kg-bw).
Figure 3. Real time PCR quantitative analysis of cytokine mRNA expression in the spleen. For real- time PCR, we used an SYBR green mix with cytokine gene-specific primers ((a): IL-1α, (b): IN-1β, (c): IL-2, (d): IL-4, (e): IN-6, (f): IL-12, (g): IFN-γ, (h): TNF-α). The level of mRNA expression was normalized with GAP-H. Each value is expressed as mean ± standard deviation. a–c Different letters indicate statistically significant differences between groups using one-way ANOVA followed by Duncan’s test of p < 0.05. Significantly different from the CY Control group (* p < 0.05, ** p < 0.01). (NC: normal control, CY: negative control (CY only), GS: positive control (CY with Ginseng extract 0.5 kg/kg-bw), FRB: CY with FRB 0.5 g/kg-bw, RB: CY with RB 0.5 g/kg-bw).
Applsci 15 00876 g003
Figure 4. In vivo effect of red ginseng extracts, and FRB (FRB: FRB 0.5 g/kg-b.w., RB: RB 0.5 g/kg-b.w.) on the NK cell activity. After the samples were orally administered for 10 days, spleens were removed from the experimental animals. NK cell activity was investigated at Yac-1 cell and splenocyte ratios of 25:1 and 50:1. In a 96-well culture plate YAC-1 (0.5 × 105 cell/mL) and splenocyte were cultured at ratios of 50:1 and 25:1 for 4 h (37 °C, 5% CO2). a–d Different letters indicate statistically significant differences between groups one-way ANOVA followed by Duncan’s test of p < 0.05. Significantly different from the CY Control group (* p < 0.05). (NC: normal control, CY: negative control (CY only), GS: positive control (CY with Ginseng extract 0.5 kg/kg-bw), FRB: CY with FRB 0.5 g/kg-bw, RB: CY with RB 0.5 g/kg-bw).
Figure 4. In vivo effect of red ginseng extracts, and FRB (FRB: FRB 0.5 g/kg-b.w., RB: RB 0.5 g/kg-b.w.) on the NK cell activity. After the samples were orally administered for 10 days, spleens were removed from the experimental animals. NK cell activity was investigated at Yac-1 cell and splenocyte ratios of 25:1 and 50:1. In a 96-well culture plate YAC-1 (0.5 × 105 cell/mL) and splenocyte were cultured at ratios of 50:1 and 25:1 for 4 h (37 °C, 5% CO2). a–d Different letters indicate statistically significant differences between groups one-way ANOVA followed by Duncan’s test of p < 0.05. Significantly different from the CY Control group (* p < 0.05). (NC: normal control, CY: negative control (CY only), GS: positive control (CY with Ginseng extract 0.5 kg/kg-bw), FRB: CY with FRB 0.5 g/kg-bw, RB: CY with RB 0.5 g/kg-bw).
Applsci 15 00876 g004
Table 1. Design of primers for quantitative real-time PCR.
Table 1. Design of primers for quantitative real-time PCR.
GenesPrimer Sequences
Forward (5′–3′)Reverse (5′–3′)
GAPDHCCACCCAGAAGACTGTGGATGGCCATGTAGGCCATGAGGTCCACCAC
IL-1αCACTATCTCAGCACCACTTGCTGGAAGTCTGTCATAGAGG
IL-1βCCGTGGACCTTCCAGGATGGATCCACACTCTCCAGCTGC
IL-2TCCACCACAGTTGCTGACTCCCTGCATCTAGAGGCTGTCC
IL-4CGAAGAACACCACAGAGAGTGAGCTGACTCATTCATGGTGCAGCTTATCG
IL-6AGAGGAGACTTCACAGAGGAATCTCTCTGAAGGACTCTGG
IL-12CCTGCATCTAGAGGCTGTCCCATCTTCTTCAGGCGTGTCA
TNF-αGGCAGGTCTACTTTGGAGTCATTGCACATTCGAGGCTCCAGTGAATTCCA
Table 2. Scheme for control and test samples.
Table 2. Scheme for control and test samples.
(μL)Assay MediumTarget CellEffector CellTriton X-100
Background control200
Low control (LC)100100
High control (HC)100100 10
Effector, Target mix 100100
NK cell activity (%) = (Effector, target cell mix − Low control)/(High control − Low control).
Table 3. Changes in insolubility of FRB and RB by fermentation.
Table 3. Changes in insolubility of FRB and RB by fermentation.
Dry Weight of
Precipitate (g)
Dry Weight of
Supernatant (g)
% of Insoluble
Component
FRB0.62 ± 0.032.13 ± 0.2122.5 ± 1.1
RB1.32 ± 0.121.43 ± 0.0647.9 ± 4.3
Table 4. Average molecular weights of peaks (Processed Rice Bran (RB; a) and Fermented Rice Bran (FRB; b)
Table 4. Average molecular weights of peaks (Processed Rice Bran (RB; a) and Fermented Rice Bran (FRB; b)
Peaks (a)123Peaks (b)12345
Peak Start 21071183594Peak Start 18181368928595491
Peak Top 1450898453Peak Top 15111132782549446
Peak End1183594192Peak End1368928595491256
Mn1504825440Mn15641146744542379
Mw1538858451Mw15741128752543393
Mn: Number-average molecular weight, Mw: Weight-average molecular weight.
Table 5. Changes in Body and organ weight in BALB/c mice.
Table 5. Changes in Body and organ weight in BALB/c mice.
NCCYCY + GSCY + FRBCY + RB
1 Initial Body
Weight
21.08 ± 1.1021.06 ± 1.0721.04 ± 0.9021.06 ± 0.4821.00 ± 0.83
Final Body weight23.90 ± 1.00 a20.37 ± 0.67 b23.88 ± 1.66 a,**23.00 ± 0.37 ab,**22.83 ± 1.43 b,*
2 Liver39.73 ± 0.32 bc38.55 ± 0.95 c39.82 ± 2.10 bc42.79 ± 0.71 a,**40.08 ± 1.81 bc
Thymus 1.77 ± 0.18 a1.05 ± 0.36 b1.59 ± 0.29 ab1.73 ± 0.40 a1.45 ± 0.43 ab
Spleen 3.24 ± 0.592.69 ± 0.152.68 ± 0.272.87 ± 0.352.73 ± 0.33
Kidney 15.45 ± 0.1515.82 ± 0.4115.57 ± 0.45 15.63 ± 1.0415.28 ± 0.56
1 Body weight (g). 2 Liver, Thymus, Spleen, and Kidney (mg/g-b.w.). The results are expressed as the mean ± standard deviation of 5 animals per group. a–c Different letters indicate statistically significant differences between groups using one-way ANOVA followed by Duncan’s test of p < 0.05. Statistical significances from the CY control group were determined by Student’s t-test (* p < 0.05 and ** p < 0.01). (NC: normal control, CY: negative control, CY + GS: CY with Ginseng extract 0.5 g/kg-bw, CY + FRB: CY with FRB 0.5 g/kg-bw, CY + RB: CY with RB 0.5 g/kg-bw).
Table 6. Effect of FRB administration on the plasma IgG, IgM level in BALB/c mice immunosuppressed by cyclophosphamide.
Table 6. Effect of FRB administration on the plasma IgG, IgM level in BALB/c mice immunosuppressed by cyclophosphamide.
(μg/mL)NCCYCY + GSCY + FRBCY + RB
IgM5.34 ± 0.52 b,**3.90 ± 0.38 c4.97 ± 0.73 bc5.78 ± 0.89 ab,*4.57 ± 0.23 bc,**
IgG18.58 ± 3.52 bc14.18 ± 1.45 d17.93 ± 1.22 c,**21.98 ± 2.17 a,**18.48 ± 1.52 bc,**
a–d Different letters indicate statistically significant differences between groups using one-way ANOVA followed by Duncan’s test of p < 0.05. Statistical significances from the CY control group were determined by Student’s t-test (* p < 0.05 and ** p < 0.01). (NC: normal control, CY: negative control, CY + GS: CY with Ginseng extract 0.5 g/kg-bw, CY + FRB: CY with FRB 0.5 g/kg-bw, CY + RB: CY with RB 0.5 g/kg-bw).
Table 7. Profile of cytokines in BALB/c mice after 14 days on the experimental immunology.
Table 7. Profile of cytokines in BALB/c mice after 14 days on the experimental immunology.
(pg/mL)NormalCY ControlCY + FRBCY + RB
IL-1α58.4 ± 7.2 ab50.6 ± 2.8 b62.7 ± 5.1 a,*52.2 ± 3.0 b
IL-1β9.4 ± 0.8 a6.2 ± 1.3 b6.8 ± 0.2 b7.0 ± 0.4 b
IL-238.6 ± 3.9 ab30.3 ± 4.8 b39.4 ± 1.8 a,*37.4 ± 2.1 ab
IL-426.5 ± 1.4 a10.8 ± 0.6 c13.6 ± 1.1 b,**13.4 ± 0.7 b,**
IL-6157.1 ± 18.8 a96.4 ± 11.5 b169.1 ± 13.5 a,**144.6 ± 8.8 a,**
IL-12
(p70)
259.2 ± 13.7 a177.5 ± 9.0 b255.8 ± 14.1 a,**251.9 ± 13.3 a,**
IFN-γ379.5 ± 24.6 a180.6 ± 22.5 c351.2 ± 22.0 a,**222.8 ± 9.4 b,**
TNF-α12.5 ± 1.3 a7.7 ± 0.8 c15.6 ± 0.9 b,**11.4 ± 1.1 a,*
a–c Different letters indicate statistically significant differences between groups using one-way ANOVA followed by Duncan’s test of p < 0.05. The results are expressed as the mean ± standard deviation of 5 animals per group. Significantly different from CY Control group (* p < 0.05 and ** p < 0.01). (CY control: CY only, CY + FRB: CY with FRB 0.5 g/kg-bw, CY + RB: CY with RB 0.5 g/kg-bw).
Disclaimer/Publisher’s Note: The statements, opinions and data contained in all publications are solely those of the individual author(s) and contributor(s) and not of MDPI and/or the editor(s). MDPI and/or the editor(s) disclaim responsibility for any injury to people or property resulting from any ideas, methods, instructions or products referred to in the content.

Share and Cite

MDPI and ACS Style

Kim, G.-J.; Jang, Y.; Hong, J.-Y.; Kwon, K.-T.; Kim, D.-W.; Kang, D.-J.; Hwang, S.-J.; Lee, J.-Y.; Apostolidis, E.; Kwon, Y.-I. Immune Modulation Effect of Administration of Rice Bran Extract with Increased Solubility Fermented by Lentinus edodes UBC-V88 in Cyclophosphamide-Treated Mice Model. Appl. Sci. 2025, 15, 876. https://doi.org/10.3390/app15020876

AMA Style

Kim G-J, Jang Y, Hong J-Y, Kwon K-T, Kim D-W, Kang D-J, Hwang S-J, Lee J-Y, Apostolidis E, Kwon Y-I. Immune Modulation Effect of Administration of Rice Bran Extract with Increased Solubility Fermented by Lentinus edodes UBC-V88 in Cyclophosphamide-Treated Mice Model. Applied Sciences. 2025; 15(2):876. https://doi.org/10.3390/app15020876

Chicago/Turabian Style

Kim, Gi-Jung, Yelim Jang, Ji-Yoon Hong, Kyoung-Tae Kwon, Dae-Weon Kim, Dae-Jung Kang, Sung-Joo Hwang, Jung-Yun Lee, Emmanouil Apostolidis, and Young-In Kwon. 2025. "Immune Modulation Effect of Administration of Rice Bran Extract with Increased Solubility Fermented by Lentinus edodes UBC-V88 in Cyclophosphamide-Treated Mice Model" Applied Sciences 15, no. 2: 876. https://doi.org/10.3390/app15020876

APA Style

Kim, G.-J., Jang, Y., Hong, J.-Y., Kwon, K.-T., Kim, D.-W., Kang, D.-J., Hwang, S.-J., Lee, J.-Y., Apostolidis, E., & Kwon, Y.-I. (2025). Immune Modulation Effect of Administration of Rice Bran Extract with Increased Solubility Fermented by Lentinus edodes UBC-V88 in Cyclophosphamide-Treated Mice Model. Applied Sciences, 15(2), 876. https://doi.org/10.3390/app15020876

Note that from the first issue of 2016, this journal uses article numbers instead of page numbers. See further details here.

Article Metrics

Back to TopTop