Next Article in Journal
A Novel Acoustic Ventilation Barrier Based on the Block-Shaped Space-Coiling Metamaterial
Previous Article in Journal
Seismic Prediction of Porosity in the Norne Field: Utilizing Support Vector Regression and Empirical Models Driven by Bayesian Linearized Inversion
Previous Article in Special Issue
Impact of Self-Contained Breathing Apparatus on Air Gaps in Structural Firefighting Personal Protective Clothing
 
 
Font Type:
Arial Georgia Verdana
Font Size:
Aa Aa Aa
Line Spacing:
Column Width:
Background:
Article

Effect of Hybrid Knitted Structure on Clothing Pressure

by
Hoorieeh Abbasi Mahmoodabadi
1,
Emiel DenHartog
1 and
Minyoung Suh
2,*
1
Department of Textile Engineering, Chemistry and Science, Wilson College of Textiles, North Carolina State University, Raleigh, NC 27695, USA
2
Department of Textile and Apparel Technology and Management, Wilson College of Textiles, North Carolina State University, Raleigh, NC 27695, USA
*
Author to whom correspondence should be addressed.
Appl. Sci. 2025, 15(2), 617; https://doi.org/10.3390/app15020617
Submission received: 14 November 2024 / Revised: 31 December 2024 / Accepted: 6 January 2025 / Published: 10 January 2025
(This article belongs to the Special Issue Innovative Functional Textiles and Their Applications)

Abstract

This study presents new, knitted fabrics that combine woven and knitted structures to better control compression garments. This can be achieved by incorporating inlay yarns that utilize a woven configuration within knitted fabrics. As a result, this structure enhances the fabric’s functionality. Central to the research is the development and evaluation of various prototypes of arm sleeves using nylon–spandex, specifically engineered to apply the desired pressure on arms. The sleeves were knitted using different base structures including single jersey, single pique, 1 × 1 mock rib, and 2 × 2 mock rib, with and without inlays. A commercial sleeve was added as a reference. According to the protocol, the applied pressure of each sleeve was measured at three different points on the dominant arm of 12 healthy females. Stretch properties of arm sleeves were examined using an elongation tester. The thickness and weight of fabrics were evaluated as well. Also, the results of surveys—featuring four questions about the ease of motion, softness, thermal sensation, and overall comfort—were statistically analyzed. The analysis showed that the commercial and 2 × 2 mock rib sleeves were the most comfortable, creating pleasant subjective wearing sensations. The findings showed that the fabric’s tensile properties were significantly changed by the inclusion of inlay yarns in the weft and warp directions. According to survey results, 1 × 1 mock rib and 1 × 1 mock rib with inlay negatively affected subjective wearing sensations, while exerting the highest pressure on the subject’s arm. This is associated with the fabric’s compressive structure which directly contributes to the increased thickness and weight of the fabric.

1. Introduction

Since the 20th century, the use of compression clothing in medicine has led people to recognize the benefits of the appropriate pressure on the body and its positive impact on their overall well-being [1,2]. To achieve these effects, it is crucial to understand the critical range of garment pressure that impacts the physical, physiological, and psychological aspects of the human body. Compression garments are widely used for body shaping, recovery, and protection in daily life, medical purposes, and sports applications. Proper size and fit are key features of these garments. The main features of tight-fitting pressure garments as second skin are the ability to adapt the initial human body morphology to a new morphology in static and dynamic postures; the ability of garments to provide the intended effect; the positive perception of the wearer in accordance with the length of time the garment is worn; correct construction; and textile materials [1]. In this context, the field of textile engineering has experienced significant advancements through the development of novel materials and new fabric structures that surpass traditional functionalities and aesthetics [3]. These innovations aim to improve fabric performance by creating tight-fitted compression garments that deliver appropriate pressure while generating positive subjective sensations including ease of motion, softness, thermal sensation, and overall comfort. Recent relevant research has primarily concentrated on the classification of garment pressure levels and the assessment of compression garments in a standardized way [4,5,6,7].
Traditionally, textiles have been categorized into woven or knitted types, each offering distinct benefits. Knitted fabrics are renowned for their softness, comfort, and excellent stretch recovery. Recent research has highlighted the potential of knitted structures, which excel in energy absorption, impact resistance, and flexibility [8]. The tensile properties of weft-knitted fabrics for compression garment applications often fall short due to their low dimensional stability, leading to inconsistencies in pressure application. In contrast, woven fabrics are typically known for their structural stability, making them more suitable for delivering precise and desired pressure on the body [8,9,10,11,12]. Typical knitted fabrics are characterized by an elongation greater than 15%, while woven fabrics, which are less stretchable, may offer reduced comfort [1,4,5,6,8,9,10,11,12].
Structural differences in weft-knitted fabrics critically impact their physical properties through variations in yarn interlocking and loop configuration. A single jersey structure provides high elasticity and softness, ideal for garments that are stretchy and comfortable to wear. Rib fabrics are known for superior mechanical properties, specifically in terms of tenacity when compared to plain structures [6,7,8,9]. Knitted fabrics are widely acknowledged for their comfort and favorable sensorial properties, attributed to their inherent elasticity and exceptional flexibility resulting from their interlaced structure [1].
It is important to highlight that, as prior studies suggest, the surface structure of fabrics plays a vital role in the sensory experience, influenced by loop configuration and compactness. For example, rib structures, which are more compressible and have uneven surface structures, create a sensory perception distinct from that of other fabrics, such as single jersey [1,3,4,5,11]. These structural distinctions demonstrate the role of fabric structure in optimizing mechanical and comfort properties for specific functional needs. That is because a fabric’s tensile properties affect the perception of tightness, which in turn influences the pressure exerted on the body, ultimately impacting the sensory experience of wearers.
With the consideration of unique characteristics of traditional fabric structures, researchers have explored various methods to engineer the elastic properties of weft-knitted fabrics, aiming to achieve the proper tight-fitting pressure garment through hybrid, structural innovations rather than chemical treatments [8,13]. Understanding the relationship between fabric specifications, clothing pressure, and resulting subjective wearing sensations is essential for developing textiles that not only meet functional requirements but also enhance user experience [5,10,14,15,16,17,18,19,20].
By examining how structural modifications influence pressure generation and perception, this research aims to contribute to the creation of hybrid textiles that combine the advantages of woven and knitted fabrics. It aims to engineer the elastic properties of weft-knitted fabrics by inserting inlay yarns. The inlay could affect the strain, recovery, handle, weight, surface properties, and aesthetics of a knitted structure [9,21,22]. By inserting inlays in warp and weft directions, the knitted fabrics may achieve the stretch (modulus) performance of a woven fabric. This technique may help prevent the loop deformation in the weft-knitted fabric, enhancing its dimensional stability and allowing it to provide more controlled pressure at a desired level [21]. It is important to note that in this context, creating hybrid structures is one of the most effective techniques. These hybrid knitted structures are developed by manipulating fabric configurations alone, without relying on any chemical treatments. This eco-friendly method enables the creation of innovative fabric structures with the necessary tensile properties to generate the desired clothing pressure.

2. Materials and Methods

2.1. Arm Sleeves

Different prototypes of arm sleeves were knitted on a flat knitting machine (SWG061N2 Shima Seiki, Wakayama, Japan) with a 15-gauge setting, using 3 ends of nylon–spandex yarn with a linear density of 7.7 tex. These sleeves were specifically engineered to control different ranges of stress–strain properties of weft-knitted fabrics by inserting inlay yarns. The sleeves were knitted using 4 different base structures (single jersey, single pique, 1 × 1 mock rib, and 2 × 2 mock rib) with and without inlays. One of the final sleeves is shown in Figure 1, and each fabric structure is illustrated using the Shima Seiki SDS-ONE KnitPaint V-0.4 (64 bit) software (with the dots in all images representing the front and back needle beds) in Figure 2. For reference, 1 commercial sleeve with a warp-knitted structure supplied by the AMZAM Medical Compression from Seattle, WA, USA, made from 78% nylon and 22% Lycra spandex was also used.
For the prototypes, a rubbery inlay yarn composed of polyurethane supplied from Mandala Crafts from Guangzhou, China, featuring a linear density of 648.14 tex, a width of 4 mm, and a thickness of 0.14 mm, was manually inserted along weft and warp directions, adding woven fabric configurations to the knitted fabric. In the warp direction, five strips of inlay yarns were positioned 1 cm apart, from the wrist to the bicep, specifically on the elbow side of the sleeve. In the weft direction, three strips of inlay yarns, also spaced 1 cm apart, were incorporated into the wrist and elbow areas, resulting in a higher concentration of inlay yarns in these regions. The stitch length for both the weft and warp inlay yarns was 5 mm. Each sleeve was produced in three different sizes (small, medium, and large) to accommodate a proper level of pressure for different individuals. The arm sleeves were knitted with negative ease, intentionally designed to be tighter in the wrist area than in the other sections. Individuals were assigned appropriate sizes based on measurements of the wrist, elbow, and bicep circumferences of their dominant arm.

2.2. Tensile Properties

Stretch properties of the arm sleeves were evaluated after creating the corresponding weft-knitted fabric specimens for tensile testing as is shown in Figure 1. Commercial fabric specimens were cut from a commercial sleeve. The fabric specimens were conditioned for a period of 24 h in a standard environment of 20 ± 2 °C and 65 ± 2% relative humidity. Measurements were then taken using an elongation tester (MTS Criterion Model 43, Eden Prairie, MN, USA) with a constant rate of extension in accordance with ASTM4964 standards (Constant-Rate-of-Extension Type Tensile Testing Machine) [23]. The gauge length and the crosshead speed were 100 mm and 300 mm/min, respectively. Tensile tests were performed up to 100 N, but the samples did not reach the failure point, as this value was below their respective breaking forces [24]. Three fabric strips were evaluated three times for each specimen, each measuring 5 cm × 15 cm. These strips were tested for elastic properties before and after inserting the inlay yarn.

2.3. Fabric Thickness and Weight

The weight test was conducted following the D3776/D3776M standard [25], on the fabric specimens which corresponded to the fabric structures of the arm sleeves. Commercial fabric specimens were cut from a commercial sleeve. Thickness measurement was conducted on the same set of fabric specimens based on the ASTM D1777-20 standard test method using the digital fabric thickness tester with an accuracy of 0.01 mm [26]. The average thickness from 5 readings was taken for each sample and reported.

2.4. Pressure Evaluation

The pressure exerted by the arm sleeves was observed using the Pliance-X system (Novel, Munich, Germany), which captured static and dynamic pressure through capacitive sensors. These sensors use capacitive transducers within a thin, flexible probe to gauge pressure at the interface between the arm sleeve and the skin. The battery-powered pressure sensors were connected to a laptop to measure pressure at three specific points: the wrist, elbow, and bicep of the dominant arm. Each sensor is designed with a small circular (10 mm in diameter) and ultra-thin (less than 1-mm thick) sensing area connected to the system via a flexible conductive strip which favors insertion to clothing with long sleeves. The system is designed for measurement of interface pressure. All measurements were taken from the dominant arms of human subjects at a seated position with the arm in a natural resting position. Three single sensors were placed on the wrist, at the elbow, and bicep (10 cm above the elbow), in between the sleeve and skin. The pressure measurement lasted for 30 s, and the peak value was analyzed.

2.5. Subjective Wearing Sensation

A set of 12 healthy volunteers were recruited among college students in the ages between 22 and 28. All participants had no known history of diagnosed dermatological conditions and were free from open wounds or skin infections. The research protocol number 26,367 was approved by the Institutional Review Board for the Use of Human Subjects in Research at North Carolina State University.
Each subject was provided with 9 types of arm sleeves including 1 commercial sleeve as a reference. Subjects were instructed to wear the sleeve individually in a random order. The subjective wearing sensations were surveyed in terms of ease of motion, softness, thermal sensation, and overall comfort. To evaluate the questions regarding ease of motion, softness, thermal sensation, and overall comfort, participants performed 3 sets of seated flexion–extension exercises, lasting approximately 30 s. For further softness evaluation, participants touched both the inside and outside of the sleeves. Each question was rated on a 7-point Likert scale, ranging from −3 to +3. This scale is designed with descriptive terms to clarify the degrees of feeling, where −3 represents “very unpleasant” and +3 stands for “very pleasant”. A rating of 0 signifies a strong agreement with a neutral description.

2.6. Data Analysis

Sleeve pressures and participant survey responses were examined with JMP Pro 17 software to assess how fabric properties impacted the subjective wearing sensations for each sleeve. Analysis of Variance (ANOVA), along with additional post-hoc tests (Tukey’s Honest Significant Difference (HSD)) to estimate the difference between groups, were conducted to determine if there are statistically significant differences in the pressure levels exerted by the sleeves. p-values < 0.05 were considered significant. Bivariate regressions were employed to assess the significant effects of the thickness and weight of fabrics on subjective wearing sensations across different sleeve types. A correlation coefficient was calculated to establish the relationship between sleeve pressure and the thickness and weight of fabrics.

3. Results and Discussion

3.1. Tensile Properties

Figure 3 shows the force–strain diagrams acquired from the inlay yarn and base knitted fabrics in warp direction. As depicted in the diagram, these fabric structures exhibited a varied range of elastic properties. Single pique exhibited the lowest strain as the force approached 100 N which was the maximum force in our study. However, according to the findings from other studies, this might not always be true when different yarn types were involved [12,27,28]. In our study, single jersey was stretchier than single pique and displayed a moderate level of strain at 100 N among all fabrics. The mock rib structures showed the highest levels of strain, with the 2 × 2 mock rib demonstrating a greater strain level than the 1 × 1 mock rib at 100 N. This is because of the accordion-like rib structure formed by the successive stitches in the weft direction. The increased alternating width of the columns in the face and back loops of the 2 × 2 mock rib enhances the fabric’s stretchability without adding spandex [29,30,31,32]. The commercial sleeve made from a warp-knitted fabric exhibited the highest degree of stretch among the fabrics at 100 N, which can be ascribed to its warp-knitted structure and higher proportion of spandex used in its construction [33]. The results showed that the force–strain curve for the inlay yarn did not reach 100 N due to its exceptionally high stretch, which might have hit the max displacement range for the instrument.
Figure 4 illustrates the comparison of elastic properties before and after inserting inlays in weft and warp directions. The inlays were not applied to the commercial sleeve because it was a warp knit unlike other experimental sleeves, and it served as a reference for our prototypes. There were noticeable changes in elastic properties of fabrics after inlay insertion. Single jersey structure showed contrasting behavior to other fabrics in force–strain curves, where the strain decreased as the force approached 100 N, after inlay yarn insertion in weft and warp directions (Figure 4a,b). The single pique structure showed an increase in strain at 100 N, after the inlay yarn was inserted, in both weft and warp directions. The mock rib structures exhibited increased strain at 100 N in the weft direction after inlay yarn insertion (Figure 4e,g), while in the warp direction, the total strain level at 100 N remained the same (Figure 4f,h).
Adding inlay yarn produced a stretchier fabric at 100 N in the weft and warp direction for single pique, and specifically in weft direction for mock rib structures. Based on the elastic properties results from our study and previous research, inlay yarn insertion has a greater impact on elastic properties in the weft direction than in the warp direction [3]. For further analysis, we measured the stretch modulus up to a strain level of 50% that is reported as a critical strain range in elbow bending which aligns with the range of skin stretch [34]. Figure 5a,b demonstrate that inlay yarn insertion improved fabric stability in the weft direction by increasing the stretch modulus across all weft-knitted fabrics which are displayed in front of each diagram. This indicates that inlay yarn incorporation enhances resistance to loop deformation, requiring more force to achieve a specific strain level [6,35,36].

3.2. Fabric Thickness and Weight

Figure 6 and Figure 7 present the results related to thickness and weight for further analysis of fabric specifications and their correlation with applied pressure and subjective response. As shown in these figures, inlay insertion increased the thickness and weight across all fabric structures. Notably, the 1 × 1 mock-rib inlaid fabric demonstrated the greatest thickness and weight. The 2 × 2 mock-rib inlaid fabric was as thick as the 1 × 1 mock-rib inlaid fabric, but its weight was lower than the inlaid fabrics. The fabric specimen from the commercial sleeve exhibited the lowest thickness and weight.

3.3. Sleeve Pressure

As a way to understand subjective wearing sensation, the sleeve pressure was evaluated and shown in Table 1 for the wrist, elbow, and bicep. These locations were selected to understand both the amount and distribution of pressure as individual arm circumferences significantly vary at the wrist, elbow, and bicep. The average pressure across these three sections represents the total pressure applied to the arm, which is critical for meeting the functional goals of clothing pressure, such as improving circulation, reducing swelling, stabilizing muscles and joints, and enhancing performance and recovery [1,2,14,16]. The sleeves exerted greater average pressure on the wrist (20.3 mmHg) than on the elbow (17.3 mmHg) and bicep (17.5 mmHg) which seemed to be due to the dimension of the sleeve circumference [1,36]. The effects of inlaid sleeves varied depending on the base structure of sleeves. However, all inlaid sleeves exhibited a higher level of pressure on the wrist, elbow, and bicep, indicating a strain range of 25–50%. The increase in pressure on the arm can be attributed to the higher stretch modulus observed at strains of up to 50% for all fabrics after inlay yarn insertion (p = 0.0001) (Figure 5a,b). This increase in applied pressure on the arm at specific strain level shows that the range of strain plays a critical role in determining the effect of inlay yarn (Figure 4 and Figure 5a,b).
According to Table 1, the increase in pressure on the wrist, elbow, and bicep is more significant for the single jersey sleeve after inserting inlay yarn compared to other sleeves. This could be explained by the fact that in the single jersey fabric, the strain reduced at 100 N after the inlay yarn was inserted in the weft and warp directions, resulting in a more stable and compact fabric (Figure 4a,b). The increase in applied pressure on the elbow and bicep by the 1 × 1 mock rib sleeve after the insertion of the inlay yarn is less significant compared to the other sleeves. This was due to the greater thickness and weight of the 1 × 1 mock rib fabric that makes the compressive structure of 1 × 1 mock rib (Figure 6 and Figure 7) [28,37,38]. It is noteworthy that a statistically significant difference in applied pressure was found across the wrist, elbow, and bicep regions for the single pique and 2 × 2 mock rib sleeves (p < 0.0001). No statistical difference was observed between elbow and bicep pressures for the commercial, single jersey, single jersey inlaid, single pique inlaid, 1 × 1 mock rib, 1 × 1 mock-rib inlaid, and 2 × 2 mock-rib inlaid sleeves (p > 0.05). However, a significant difference was found between wrist pressure and the other two pressures (elbow and bicep) for all sleeve types (p = 0.0001), except for the single pique inlaid sleeve (p = 0.56).
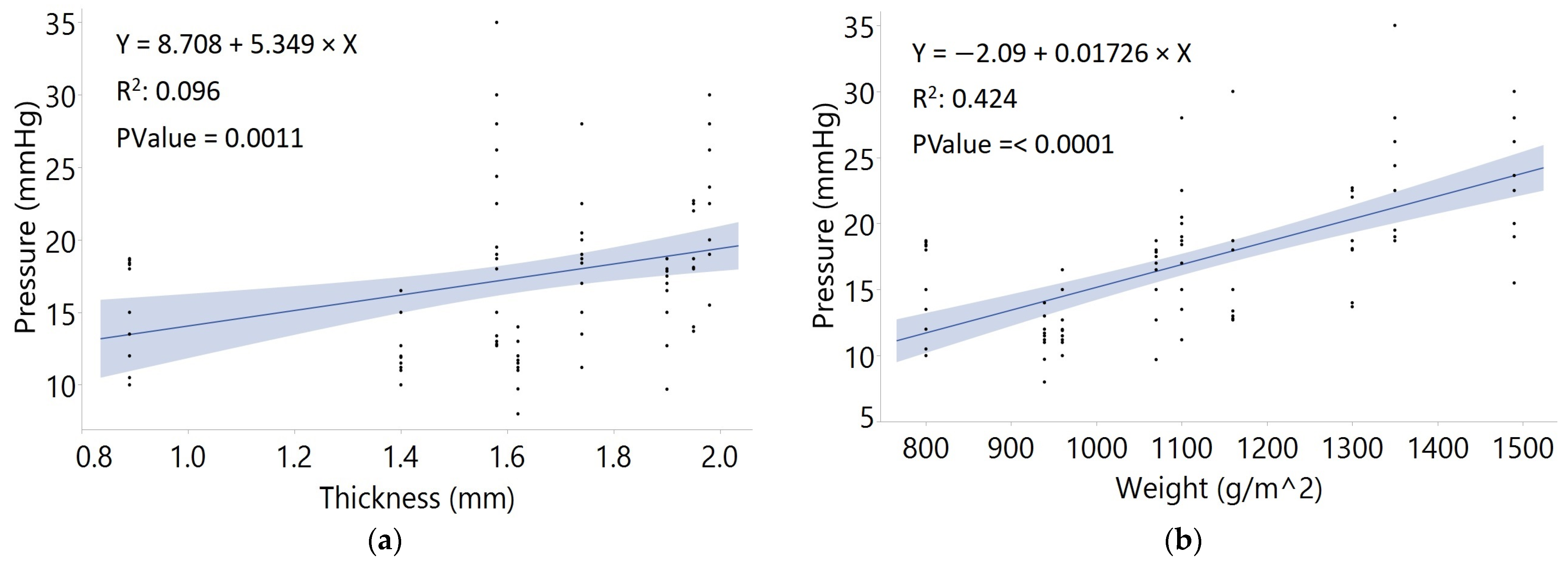
As indicated by the correlation coefficients in Figure 8a,b, the applied pressure on the arm is correlated with the thickness (Y = 8.708 + 5.349 × X) and weight (Y = −2.09 + 0.01726 × X) of the fabrics, and this finding agrees with previous studies [28,39,40]. The 1 × 1 mock-rib inlaid, being the thickest and heaviest fabric (Figure 6 and Figure 7), generated the highest stretch modulus of 0.3 N with up to 50% strain level (Figure 5a) and exerted the highest level of pressure on the arm. It is important to highlight that the impact of fabric weight is more significant than that of fabric thickness in the level of applied pressure [41]. The 2 × 2 mock-rib inlaid was the lightest inlaid sleeve (Figure 7) and produced the lower stretch modulus of 0.15 N compared to other inlaid sleeves, at the same 50% strain level (Figure 5a), resulting in the least pressure on the arm, despite its considerable thickness.

3.4. Subjective Response

The survey results on subjective wearing sensations are presented in Table 2. These results showed that commercial, single jersey, 2 × 2 mock rib, and 2 × 2 mock-rib inlaid sleeves exhibited the highest ease of motion, with a statistically significant difference among all sleeves (p = 0.0001). This enhanced ease of motion can be attributed to the lighter fabric weight (Figure 7) and the lowest levels of sleeve pressure, as shown in Table 1. These sleeves also required less tensile force to achieve 50% strain (indicating a lower stretch modulus of 0.04, 0.1, 0.08, 0.15 N in sequence), as shown in Figure 5a,b, which is essential for ease of motion [34]. In terms of softness, commercial and single pique sleeves were found to be the softest (p = 0.0001). For thermal sensation, single-pique inlaid, 1 × 1 mock rib, and 1 × 1 mock-rib inlaid sleeves provided the warmest sensation (p = 0.0001), which is associated with their heavier fabric weight, as shown in Figure 7. According to the overall comfort rating in Table 2, the commercial and 2 × 2 mock rib sleeves were statistically the most comfortable (p = 0.0001), and this is supported by the low fabric weight (Figure 7).
The commercial sleeve offering the most pleasant subjective sensations was characterized by the lowest thickness and weight (Figure 6 and Figure 7). The 2 × 2 mock rib sleeves showed equivalently pleasant subjective wearing sensations to the commercial sleeve in terms of ease of motion, thermal sensation, and overall comfort, despite great thickness. The reason is that the tensile force required for the commercial and 2 × 2 mock rib sleeves is lower than those required in other sleeves to achieve a 50% strain level (Figure 5a), so these sleeves applied lower pressure compared to other sleeves (Table 1). The addition of inlay yarn increased the stretch modulus to the 50% strain level (Figure 5a,b), as well as the fabric’s thickness and weight (Figure 6 and Figure 7), which consequently led to higher applied pressure (Table 1). Therefore, adding inlay yarn negatively affected the subjective wearing sensations of the sleeves (Table 2). However, the 2 × 2 mock-rib inlaid sleeve displayed positive ease of motion, due to its lower pressure compared to other inlaid sleeves, resulting from its lower stretch modulus of 0.15 N by up to 50% (Figure 5a).
To engineer a sleeve that offers the desired pressure while maintaining decent subjective wearing sensations in terms of ease of motion, softness, thermal sensation, and overall comfort, it is crucial to identify key fabric specifications that influence the control of applied pressure [1,10,42].

4. Conclusions

Woven and knitted fabrics have been widely used for clothing throughout history. Knitted fabrics feel softer, more comfortable, and have better stretches than woven fabrics. On the other hand, woven fabrics are usually stronger and structurally more stable than knitted fabrics. Significant benefits can be attained by developing a hybrid fabric that can combine the advantages of both knitted and woven fabrics in a single fabric structure. This study revealed that adding inlaid yarn to knitted fabrics notably changed the fabric’s properties. It also indicated that the base fabric structures were important, as they interacted in different ways with the inlays. The inlaid yarn reduced the strain in single jersey fabrics but increased the strain level at 100 N in single pique and mock ribs.
According to these results, there was a positive correlation between fabric thickness and weight with the average, applied sleeve pressure. As the fabric thickness and weight increased due to the insertion of inlay yarn, the sleeve pressure also increased. This is attributed to the higher stretch modulus observed by up to the 50% strain level, which is commonly experienced during elbow motion. This suggests that, while inserting inlay yarn can enhance sleeve pressure by a stretch modulus of up to 50% strain level, it may negatively affect the wearer’s subjective sensations by increasing sleeve pressure, potentially hindering ease of motion and overall subjective comfort. However, the 2 × 2 mock-rib inlaid sleeve demonstrated positive results in ease of motion, highlighting the significance of the base fabric structures.

Author Contributions

Conceptualization, E.D. and M.S.; methodology, E.D. and M.S.; software, H.A.M.; validation, E.D. and M.S.; formal analysis, H.A.M.; investigation, H.A.M.; resources, E.D. and M.S.; data curation, H.A.M.; writing—original draft preparation, H.A.M.; writing—review and editing, E.D. and M.S.; visualization, H.A.M.; supervision, E.D. and M.S.; project administration, E.D. and M.S.; funding acquisition, E.D. and M.S. All authors have read and agreed to the published version of the manuscript.

Funding

This research was funded by Under Armour, Inc. The APC was funded by North Carolina State University and the publisher.

Institutional Review Board Statement

The study was conducted complying with the regulations of North Carolina State University and was approved by the Institutional Review Board of North Carolina State University.

Informed Consent Statement

Informed consent was obtained from all subjects involved in the study.

Data Availability Statement

Publicly available data is present in the manuscript already. The data presented in this study is available upon request from the corresponding author.

Acknowledgments

The authors would like to thank Matthew Trexler, Imon Khan, Nate Berry, and William Barnes for supporting this research.

Conflicts of Interest

The authors declare that they have no known competing financial interests or personal relationships that could appear to influence the work reported in this paper. However, Under Armour, Inc. provided funding and technical support for this work. The funder had no role in the design of the study; in the collection, analysis, or interpretation of data; in the writing of the manuscript; or in the decision to publish the results.

References

  1. Kuzmichev, V.E. Sizing and Fit for Pressure Garments. In Anthropometry, Apparel Sizing and Design, 2nd ed.; Woodhead Publishing: Sawston, UK, 2019; pp. 331–370. [Google Scholar] [CrossRef]
  2. Paramanandam, V.S.; Dylke, E.; Clark, G.M.; Daptardar, A.A.; Kulkarni, A.M.; Nair, N.S.; Badwe, R.A.; Kilbreath, S.L. Prophylactic use of compression sleeves reduces the incidence of arm swelling in women at high risk of breast cancer-related lymphedema: A randomized controlled trial. J. Clin. Oncol. 2022, 40, 2004–2012. [Google Scholar] [CrossRef] [PubMed]
  3. Anas, M.S.; Azam, Z.; Waqas, M.; Gull, Z. Investigate the effect of inlaid yarn on the mechanical properties and dimension stability of the weft-knitted double jersey structures for protective application. J. Eng. Fiber. Fabr. 2022, 17, 155892502210961. [Google Scholar] [CrossRef]
  4. Tang, W.; Zhang, S.; Yu, C.; Zhu, H.; Chen, S.; Peng, Y. Tactile perception of textile fabrics based on friction and brain activation. Friction 2023, 11, 1320–1333. [Google Scholar] [CrossRef]
  5. Kamalha, E.; Zeng, Y.; Mwasiagi, J.I.; Kyatuheire, S. The comfort dimension; a review of perception in clothing. J. Sens. Stud. 2013, 28, 423–444. [Google Scholar] [CrossRef]
  6. Lugini, A. Bifacial Fabric Structures and Properties. Bifacial Fabric Structures and Properties. Ph.D. Thesis, Deakin University, Melbourne, Australia, 2016. [Google Scholar]
  7. Hill, J.A.; Howatson, G.; van Someren, K.A.; Davidson, S.; Pedlar, C.R. The variation in pressures exerted by commercially available compression garments. Sports Eng. 2015, 18, 115–121. [Google Scholar] [CrossRef]
  8. Hasani, H.; Hassanzadeh, S.; Abghary, M.J.; Omrani, E. Biaxial weft-knitted fabrics as composite reinforcements: A review. J. Ind. Text. 2017, 46, 1439–1473. [Google Scholar] [CrossRef]
  9. Yu, A.; Sukigara, S.; Takeuchi, S. Effect of inlaid elastic yarns and inlay pattern on physical properties and compression behaviour of weft-knitted spacer fabric. J. Ind. Text. 2022, 51, 2688–2708. [Google Scholar] [CrossRef]
  10. Hirai, M.; Niimi, K.; Iwata, H.; Sugimoto, I.; Ishibashi, H.; Ota, T.; Nakamura, H. Comparison of stiffness and interface pressure during rest and exercise among various arm sleeves. Phlebology 2010, 25, 196–200. [Google Scholar] [CrossRef]
  11. Jeddi, A.; Khorram-Toussi, Z.; Maleki, V.; Yazdanifar, K. Relations between fabric structure and friction 3 part II: Weft knitted fabrics. J. Text. Inst. Part 1 JFST 2004, 95, 359–367. [Google Scholar] [CrossRef]
  12. Chowdhary, U. Bursting strength and extension for jersey, interlock and pique knits. TTEFT 2018, 1, 19–27. [Google Scholar] [CrossRef]
  13. Born, D.P.; Holmberg, H.C.; Goernert, F.; Sperlich, B. A novel compression garment with adhesive silicone stripes improves repeated sprint performance—A multi-experimental approach on the underlying mechanisms. BMC Sports Sci. Med. Rehabil. 2014, 6, 21. [Google Scholar] [CrossRef] [PubMed]
  14. Limmer, M.; de Marées, M.; Roth, R. Effects of forearm compression sleeves on muscle hemodynamics and muscular strength and endurance parameters in sports climbing: A Randomized, Controlled Crossover Trial. Front. Physiol. 2022, 13, 888860. [Google Scholar] [CrossRef]
  15. Hu, J.Y.; Li, Y.I.; Yeung, A.K.W. Mechanical Tactile Properties; Woodhead Publishing: Sawston, UK, 2006; pp. 261–266. [Google Scholar]
  16. Born, D.P.; Sperlich, B.; Holmberg, H.C. Bringing light into the dark: Effects of compression clothing on performance and recovery. IJSPP 2013, 8, 4–18. [Google Scholar] [CrossRef] [PubMed]
  17. Barss, T.S.; Pearcey, G.E.P.; Munro, B.; Bishop, J.L.; Paul Zehr, E. Effects of a compression garment on sensory feedback transmission in the human upper limb. J. Neurophysiol. 2018, 120, 186–195. [Google Scholar] [CrossRef] [PubMed]
  18. Mukherjee, S. Weft Knitted Fabrics, Textile and Clothing Design Technology, 1st ed.; Taylor & Francis Group: Abingdon, UK, 2017; pp. 196–224. [Google Scholar]
  19. Abbasi, S.A.; Marmaralı, A.; Ertekin, G. Thermal comfort properties of weft knitted quilted fabrics. Int. J. Cloth. Sci. Technol. 2020, 32, 837–847. [Google Scholar] [CrossRef]
  20. Jeddi, A.; Arshi, A.; Maleki, V.; Fakhr, V. Relations between fabric structure and friction. Part III: Warp knitted fabrics. J. Text. Inst. 2006, 97, 103–109. [Google Scholar] [CrossRef]
  21. Ališauskienė, D.; Mikučionienė, D. Prediction of compression of knitted orthopaedic supports by inlay-yarn properties. J. Mater. Sci. 2013, 20, 311–314. [Google Scholar] [CrossRef][Green Version]
  22. Chandra Ray, S. Some Special Terms and Techniques. In Fundamentals and Advances in Knitting Technology, 1st ed.; Woodhead Publishing: New Delhi, India, 2012; pp. 56–68. [Google Scholar]
  23. ASTM4964; Standard Test Method for Tension and Elongation of Elastic Fabrics. ASTM International: West Conshohocken, PA, USA, 2020.
  24. Jovanović, T.; Penava, Ž.; Vrljičak, Z. Impact of the elastane percentage on the elastic properties of knitted fabrics under cyclic loading. J. Mater. 2022, 15, 6512. [Google Scholar] [CrossRef]
  25. D3776/D3776M; Standard Test Methods for Mass per Unit Area (weight) of Fabric. ASTM International: West Conshohocken, PA, USA, 2020.
  26. ASTM D1777-20; Standard Test Method for Thickness of Textile Materials. ASTM International: West Conshohocken, PA, USA, 2020.
  27. Liu, S.; Tong, J.; Yang, C.; Li, L. Smart E-textile: Resistance properties of conductive knitted fabric—Single pique. Text. Res. J. 2017, 87, 1669–1684. [Google Scholar] [CrossRef]
  28. Hoque, M.S.; Hossain, M.J.; Rahman, M.M.; Rashid, M.M. Fiber types and fabric structures influence on weft knitted fabrics. Heliyon 2022, 8, e09605. [Google Scholar] [CrossRef]
  29. Kizildag, N.; Ucar, N.; Gorgun, B. Analysis of some comfort and structural properties of cotton/spandex plain and 1 × 1 rib knitted fabrics. J. Text. Inst. 2016, 107, 606–613. [Google Scholar] [CrossRef]
  30. Rezaei, J.; Nikfarjam, A. Rib stitch knitted extremely stretchable and washable textile triboelectric nanogenerator. Adv. Mater. Technol. 2021, 6, 2000983. [Google Scholar] [CrossRef]
  31. Yelina, T.; Halavska, L.; Bobrova, S.; Lytvynenko, N.; Dzykovych, T. Study of rib knits coursewise tensile process. JFTR 2022, 29, 10–17. [Google Scholar] [CrossRef]
  32. Bandari, S.S.M.; Asayesh, A.; Latifi, M. The effect of fabric structure and strain percentage on the tensile stress relaxation of Rib weft knitted fabrics. J. Fib. Polym. 2020, 21, 921–929. [Google Scholar] [CrossRef]
  33. Ovi, F.I.; Shova, R.J. Comparative analysis of technical parameters of different knitted structures (jersey, pique and lacoste) with or without Lycra/Spandex. JTST 2022, 8, 68–87. [Google Scholar] [CrossRef]
  34. Voyce, J.; Dafniotis, P.; Towlson, S. Elastic Textiles. In Textiles in Sport-Elastic Textiles; Series in Textiles; Woodhead Publishing: Sawston, UK, 2005; pp. 204–230. [Google Scholar]
  35. Ališauskienė, D.; Mikučionienė, D.; Milašiūtė, L. Influence of inlay-yarn properties and insertion density on the compression properties of knitted orthopaedic supports. FTEE 2013, 6, 74–78. [Google Scholar]
  36. Chattopadhyay, R.; Gupta, D.; Bera, M. Effect of input tension of inlay yarn on the characteristics of knitted circular stretch fabrics and pressure generation. J. Text. Inst. 2012, 103, 636–642. [Google Scholar] [CrossRef]
  37. Zadekhast, R.; Asayesh, A. The effect of fabric structure on the compression behavior of rib weft knitted fabrics. Fibers Polym. 2021, 22, 2878–2884. [Google Scholar] [CrossRef]
  38. Xiong, Y.; Tao, X. Compression garments for medical therapy and sports. Polymer 2018, 10, 663. [Google Scholar] [CrossRef]
  39. Selli, F.; Turhan, Y. Investigation of air permeability and moisture management properties of the commercial single jersey and rib knitted fabrics. Tekstil ve Konfeksiyon 2017, 27, 27–33. [Google Scholar]
  40. Alimaa, D.; Matsuo, T.; Nakajima, M.; Takahashi, M.; Yamada, E.Y. Pressure-thickness relation and compression plain and rib knitted fabrics mechanism. J. Text. Eng. 2000, 46, 7–10. [Google Scholar] [CrossRef]
  41. Elghandour, N. Effect of weft knitted fabric variables on the performance of children clothes. J. Text. Color. Polym. Sci. 2023, 20, 377–385. [Google Scholar] [CrossRef]
  42. Foo, E.; Lee, J.W.; Ozbek, S.; Holschuh, B. Preliminary Study of the Subjective Comfort and Emotional Effects of On-Body Compression. In Proceedings of the ISWC’18: International Symposium on Wearable Computers, Association for Computing Machinery, Singapore, 8–12 October 2018; pp. 128–131. [Google Scholar] [CrossRef]
Figure 1. Phototype of a final sleeve.
Figure 1. Phototype of a final sleeve.
Applsci 15 00617 g001
Figure 2. Knitting notation of base fabric structure (a) single jersey, (b) single pique, (c) 1 × 1 mock rib, (d) 2 × 2 mock rib (red lines and arrows denote knitting actions on the back bed, whereas green lines and arrows represent active knitting or loop formation on the front bed. The presence of arrows indicates the occurrence of a transfer process).
Figure 2. Knitting notation of base fabric structure (a) single jersey, (b) single pique, (c) 1 × 1 mock rib, (d) 2 × 2 mock rib (red lines and arrows denote knitting actions on the back bed, whereas green lines and arrows represent active knitting or loop formation on the front bed. The presence of arrows indicates the occurrence of a transfer process).
Applsci 15 00617 g002
Figure 3. Force–strain diagram of fabric structures, single pique, single jersey, 1 × 1 mock rib, 2 × 2 mock rib, fabric of commercial sleeve in warp direction and inlaid yarn.
Figure 3. Force–strain diagram of fabric structures, single pique, single jersey, 1 × 1 mock rib, 2 × 2 mock rib, fabric of commercial sleeve in warp direction and inlaid yarn.
Applsci 15 00617 g003
Figure 4. Force–strain diagram of fabric structures with and without inlay yarns, single jersey, single pique, 1 × 1 mock rib and 2 × 2 mock rib, (a) jersey, jersey inlaid, in weft direction (b) jersey, jersey inlaid in warp direction (c) Pique, pique inlaid in weft direction (d) Pique, pique inlaid in warp direction (e) 1 × 1 mock rib, 1 × 1 mock-rib inlaid in weft direction (f) 1 × 1 mock-rib inlaid in warp direction (g) 2 × 2 mock rib, 2 × 2 mock-rib inlaid in weft direction (h) 2 × 2 mock rib, 2 × 2 mock-rib inlaid in warp direction.
Figure 4. Force–strain diagram of fabric structures with and without inlay yarns, single jersey, single pique, 1 × 1 mock rib and 2 × 2 mock rib, (a) jersey, jersey inlaid, in weft direction (b) jersey, jersey inlaid in warp direction (c) Pique, pique inlaid in weft direction (d) Pique, pique inlaid in warp direction (e) 1 × 1 mock rib, 1 × 1 mock-rib inlaid in weft direction (f) 1 × 1 mock-rib inlaid in warp direction (g) 2 × 2 mock rib, 2 × 2 mock-rib inlaid in weft direction (h) 2 × 2 mock rib, 2 × 2 mock-rib inlaid in warp direction.
Applsci 15 00617 g004
Figure 5. Force–strain diagram of fabric structures, (a) 1 × 1 mock rib, 1 × 1 mock rib inlaid, 2 × 2 mock rib, 2 × 2 mock-rib inlaid in weft direction and fabric of commercial sleeve, (b) Single jersey, single jersey inlaid, single pique, single pique inlaid in weft direction up to strain level of 50% (stretch modulus is shown in front of each diagram).
Figure 5. Force–strain diagram of fabric structures, (a) 1 × 1 mock rib, 1 × 1 mock rib inlaid, 2 × 2 mock rib, 2 × 2 mock-rib inlaid in weft direction and fabric of commercial sleeve, (b) Single jersey, single jersey inlaid, single pique, single pique inlaid in weft direction up to strain level of 50% (stretch modulus is shown in front of each diagram).
Applsci 15 00617 g005
Figure 6. Thickness of each fabric structure.
Figure 6. Thickness of each fabric structure.
Applsci 15 00617 g006
Figure 7. Weight of each fabric structure.
Figure 7. Weight of each fabric structure.
Applsci 15 00617 g007
Figure 8. Correlation between pressure on arm with (a) fabric thickness and (b) fabric weight.
Figure 8. Correlation between pressure on arm with (a) fabric thickness and (b) fabric weight.
Applsci 15 00617 g008
Table 1. Average pressure (mmHg) on the wrist, elbow, and bicep by each type of sleeve: (a, b, c, d, e, f, and g are statistically different from each other—identical categories are connected by same letter).
Table 1. Average pressure (mmHg) on the wrist, elbow, and bicep by each type of sleeve: (a, b, c, d, e, f, and g are statistically different from each other—identical categories are connected by same letter).
SleeveWrist PressureElbow PressureBicep Pressure
Com17.4 ± 3.6 f15.3 ± 3.4 d15.7 ± 3.3 d
Jer18.2 ± 2.5 f12.5 ± 1.8 e12.3 ± 2.9 e
Jer-i24.3 ± 4.9 a17.9 ± 4.6 c17.6 ± 4.1 c
Piq17.9 ± 5.1 f15.5 ± 4.7 e16.7 ± 4.3 d
Piq-i19.6 ± 4.8 b19.1 ± 3.0 b19.5 ± 3.9 b
Rib121.5 ± 4.2 b23.7 ± 4.6 a23.4 ± 4.6 a
Rib1-i22.8 ± 5.1 b24.2 ± 4.1 a24.1 ± 4.3 a
Rib219.2 ± 5.3 b11.3 ± 1.4 g12.3 ± 1.9 e
Rib2-i19.7 ± 5.7 b16.4 ± 2.5 d15.9 ± 2.5 d
Table 2. Mean score from the survey regarding the processes of ease of motion, softness, thermal sensation, and comfort for each sleeve: (a, b, and c are statistically different from each other—identical categories are connected by same letter).
Table 2. Mean score from the survey regarding the processes of ease of motion, softness, thermal sensation, and comfort for each sleeve: (a, b, and c are statistically different from each other—identical categories are connected by same letter).
SleeveEase of MotionSoftnessThermal SensationOverall Comfort
Com2.16 ± 0.3 a2.08 ± 0.4 a−0.33 ± 0.3 b1.75 ± 0.4 a
Jer1.58 ± 0.3 a0.75 ± 0.4 b0.08 ± 0.3 b0.41 ± 0.4 b
Jer-i0.58 ± 0.3 b0.08 ± 0.4 b0.08 ± 0.3 b−1.16 ± 0.4 c
Piq0.75 ± 0.3 b0.91 ± 0.4 a0.08 ± 0.3 b0.08 ± 0.4 b
Piq-i−0.16 ± 0.3 b−0.58 ± 0.4 c0.91 ± 0.3 a−0.91 ± 0.4 c
Rib1−0.33 ± 0.3 c0.25 ± 0.4 c0.50 ± 0.3 a−1.08 ± 0.4 c
Rib1-i−0.66 ± 0.3 c−0.41 ± 0.4 c0.30 ± 0.3 a−1.08 ± 0.4 c
Rib21.66 ± 0.3 a0.50 ± 0.4 b0.20 ± 0.3 b0.66 ± 0.4 a
Rib2-i1.33 ± 0.3 a−0.40 ± 0.4 b−0.30 ± 0.3 b−0.16 ± 0.4 b
Disclaimer/Publisher’s Note: The statements, opinions and data contained in all publications are solely those of the individual author(s) and contributor(s) and not of MDPI and/or the editor(s). MDPI and/or the editor(s) disclaim responsibility for any injury to people or property resulting from any ideas, methods, instructions or products referred to in the content.

Share and Cite

MDPI and ACS Style

Abbasi Mahmoodabadi, H.; DenHartog, E.; Suh, M. Effect of Hybrid Knitted Structure on Clothing Pressure. Appl. Sci. 2025, 15, 617. https://doi.org/10.3390/app15020617

AMA Style

Abbasi Mahmoodabadi H, DenHartog E, Suh M. Effect of Hybrid Knitted Structure on Clothing Pressure. Applied Sciences. 2025; 15(2):617. https://doi.org/10.3390/app15020617

Chicago/Turabian Style

Abbasi Mahmoodabadi, Hoorieeh, Emiel DenHartog, and Minyoung Suh. 2025. "Effect of Hybrid Knitted Structure on Clothing Pressure" Applied Sciences 15, no. 2: 617. https://doi.org/10.3390/app15020617

APA Style

Abbasi Mahmoodabadi, H., DenHartog, E., & Suh, M. (2025). Effect of Hybrid Knitted Structure on Clothing Pressure. Applied Sciences, 15(2), 617. https://doi.org/10.3390/app15020617

Note that from the first issue of 2016, this journal uses article numbers instead of page numbers. See further details here.

Article Metrics

Back to TopTop