Next Article in Journal
Modern Trends in the Application of Electronic Nose Systems: A Review
Previous Article in Journal
Innovative Anomaly Detection in PCB Hot-Air Ovens Using Adaptive Temporal Feature Mapping
Previous Article in Special Issue
Synclastic Behavior of the Auxetic Core for Furniture Panels
 
 
Font Type:
Arial Georgia Verdana
Font Size:
Aa Aa Aa
Line Spacing:
Column Width:
Background:
Article

Stiffness and Strength of Scots Pine Wood Under Compression Perpendicular to the Grain and Rolling Shear Loading

1
School of Business, Society and Engineering, Division of Sustainable Environment and Construction, Mälardalens University, 721 23 Västerås, Sweden
2
Department of Building Technology, Linnaeus University, 351 95 Växjö, Sweden
*
Author to whom correspondence should be addressed.
Appl. Sci. 2025, 15(19), 10775; https://doi.org/10.3390/app151910775
Submission received: 8 September 2025 / Revised: 29 September 2025 / Accepted: 2 October 2025 / Published: 7 October 2025

Abstract

To increase and optimize the use of wood in structural elements, a deep understanding of its mechanical behavior is necessary. The transverse material properties of wood are particularly important for mass timber construction and for utilizing wood as a strengthening material in timber connections. This study experimentally determined the stiffness and strength of Scots pine wood under compression perpendicular to the grain and rolling shear loading, as well as their dependence on the annual ring structure. A previously established biaxial test configuration was employed for this purpose. The modulus of elasticity in the radial direction was found to be about twice that in the tangential direction (687 vs. 372 N/mm2), although the strength in the tangential direction (5.19 N/mm2) was comparatively higher than that in the radial direction (4.70 N/mm2). For rolling shear, especially for the rolling shear modulus, a large variation was found, and its relationship with annual ring structure was assessed. The obtained RS modulus ranged from 50 to 254 N/mm2, while RS strength was found to be between 2.14 and 4.61 N/mm2. The results aligned well with previous findings.

1. Introduction

The utilization of wood as a structural material with long-lasting carbon storage has received increased emphasis due to its natural and renewable material characteristics, which are particularly relevant for addressing the current global climate crisis. The efficient utilization of wood in engineered wood products and in engineering applications requires a thorough understanding of its material properties and their relationships with material characteristics. In this study, the stiffness and strength of Scots pine clear wood in the transverse plane and the influence of the annual ring structure of wood on effective clear wood properties are investigated, not only to quantify material properties but also to demonstrate challenges in the derivation and definition of material properties at this material length scale. This understanding is shown to be relevant to the overall behavior of engineered wood products such as cross-laminated timber (CLT) made of Scots pine wood.
Wood exhibits an anisotropic material behavior due to its heterogeneous and hierarchically organized microstructure [1,2]. As an engineering material, wood is assumed to be orthotropic, with three principal material directions parallel to the anatomical growth directions of trees: longitudinal (L), radial (R), and tangential (T). In the design of timber structures, the difference in the behavior of timber in the radial and tangential directions is often neglected and expressed as the material behavior perpendicular to the grain. On a clear wood scale, however, there is a distinct difference in material properties in the R and T directions. The overall or effective behavior of a specimen of clear wood (with a cuboidal shape) in the transverse plane is further influenced by the concentric growth of wood around the pith of a tree. This can be described in relation to circular orthotropic material behavior. On a lower hierarchical level, there are annual growth rings composed of early- (transition-) and latewood bands whose wood fibers, produced during different growth seasons of the tree, have different characteristics. Due to these growth characteristics and corresponding changes in the wood microstructure, there is variability in the material properties along clear wood’s principal directions. Thus, material properties vary within a tree, as well as between different trees and different tree species.
Because of the microstructure of wood, the orthotropic material properties of clear wood should be defined as the quasi-homogeneous behavior of a specimen with a certain number of growth rings (to satisfy the separation of scales between the microstructure of the material and the clear wood material or the characteristic length of the loading) and parallel growth rings without curvature. While these requirements could be satisfied for specimens further away from the pith, they are difficult to satisfy for specimens closer to the pith.
The influence of annual ring orientation on the effective tensile and compressive stiffness of common ash clear wood in the transverse plane was investigated in [3]. It should be noted that a combination of normal stresses perpendicular to the grain (in the radial and tangential directions) and shear stresses are evoked when loading wood at an angle to the principal material directions [4]. As the curvature of the annual rings becomes significant, an increasing size of test specimens was shown to yield a decreased tensile strength [5]. The corresponding inhomogeneous stress field, with greater stress concentrations for larger specimens, can be visualized with FEM simulations, assuming circular orthotropic material behavior [5].
For engineering applications, the material properties of clear wood in the transverse plane need to be derived in relation to tension, compression and shear. This study is limited to the compression perpendicular to the grain (CPG) and the so-called rolling shear (RS). An understanding of CPG stresses is especially important for the design of structural support elements and contact joints [6] in timber structures. CPG can be a limiting factor in the design of large span beams and multi-story buildings with platform-type frame systems. Several experimental studies investigated the CPG of wood and highlighted variations in test and evaluation standards [7,8,9,10,11,12,13]. Different scenarios of stress dispersion in timber beams under various support conditions were investigated in [14,15]. The term rolling shear (RS) refers to shear in the radial and tangential planes. Due to the above-described material characteristics, achieving a pure rolling shear stress state in test specimens is challenging, making it difficult to design a suitable test setup for determining rolling shear material properties [16,17]. This topic received comparatively little research attention prior to the development of cross-laminated timber (CLT) [18,19]. The notably low values of rolling shear modulus and strength are an important factor in the design of CLT elements and structures due to the orthogonal layup of timber lamellas in CLT. RS stress develops in the cross-layers of CLT when it is subjected to out-of-plane bending and can be a critical factor in ultimate limit state design, especially for CLT plates with short span-to-depth ratios [20]. Additionally, RS affects the effective bending stiffness of floors and, consequently, their deformation, which must be considered in serviceability limit state design. Moreover, both CPG and RS must be carefully addressed in CLT beams with holes and notches due to stress concentrations.
Scots pine is one of Europe’s most widely grown timber species, accounting for approximately 39% of Sweden’s standing timber volume [21]. Currently, it is primarily used for sawn timber and furniture production and in the pulp industry [22]. However, its application in CLT production is expected to increase in near future, particularly in Sweden [23]. While there has been extensive research on the mechanical properties of Norway spruce in the transverse plane, corresponding data on Scots pine remain limited [18].
To promote the efficient material utilization of Scots pine in CLT production while maintaining structural performance, it is essential to expand knowledge of its material properties. This study further investigated the Scots pine material analyzed in [23], where four-point bending tests were used to test CLT elements made of this wood material. Through a combined experimental and numerical analysis, an effective rolling shear stiffness of 159 MPa for pine boards and a corresponding rolling shear modulus of 56 MPa for the wood material in the same lamellas were obtained [23]. The same CLT material was also investigated at the structural scale in [17], where the dynamic effective rolling shear modulus was evaluated using modal analysis and compared with the quasi-static stiffness. The results indicated that the effective dynamic rolling shear stiffness was significantly higher than its quasi-static counterpart. A similar study was conducted in [24]. Herein, clear wood specimens of the same Scots pine material were investigated using a biaxial test setup, with the aim of experimentally quantifying the (effective) stiffness and strength related to CPG and RS in the transverse plane. Furthermore, the relationship between the (effective) RS stiffness and the annual ring structure on the clear wood scale, as well as a comparison of these properties with those derived from bending tests of the CLT elements at the structural scale [23], was investigated.

2. Materials and Methods

2.1. Materials and Test Specimens

The specimens used in this study were prepared from three-layer combined CLT elements, with each layer measuring 40 mm in thickness. The combined CLT elements were composed of Scots pine (Pinus sylvestris) in the middle layer and Norway spruce (Picea abies) in the outer layers. The boards were sourced from a sawmill in southwest of Sweden. The transverse mechanical properties of the Scots pine in the middle layer of the CLT elements were investigated. For the tests of compression perpendicular to the grain (CPG), rectangular-shaped specimens with dimensions of 40 × 60 × 20 mm3 (width × height × depth) were used, while for the rolling shear (RS) tests, dog-bone-shaped specimens with outer dimensions of 50 × 60 × 20 mm3 (width × height × depth) were used (see Figure 1). The dog-bone-shaped specimens had a width of 30 mm and a depth of 10 mm in the notched area at the center. The specimens were prepared so that the Scots pine middle lamella of the CLT was positioned centrally within each specimen. This means that the specimens consisted of three lamellas with a thickness of (10 + 40 + 10) mm, with a middle lamella made of Scots pine with a thickness of 40 mm.
To prepare the specimens for CPG tests, CLT blocks were chosen in such a way that the annual ring orientation in the middle lamella was, as far as possible, in either the horizontal (compression in the radial direction) or vertical direction (compression in the tangential direction), in relation to the vertical loading direction. For simplicity, rectangular-shaped specimens were used for CPG tests in the radial and tangential directions. A total of six defect-free specimens were chosen for compression loading in each direction. The material was mainly oriented in the radial and tangential directions, although the pith locations varied between the specimens and a pronounced curvature of the annual rings was present in most specimens (see Figure 2).
The specimens for RS tests were cut from five different CLT blocks, each containing a single middle lamella of Scots pine. Each lamella had a width of 190 mm and a thickness of 40 mm. To prepare small clear wood specimens, nine wood pieces (3 × 3) with dimensions of 50 × 60 × 20 mm3 (width × height × depth) were sawn from each CLT block. This size allowed for three specimens widthwise (a, b, c) and three specimens lengthwise (1, 2, 3), as shown in Figure 3. Six defect-free rectangular-shaped specimens (i.e., without any knots or cracks) were selected from each set of nine specimens, making a total of 30 rectangular specimens for the preparation of dog-bone-shaped RS specimens. All specimens were stored in a standard climate room with a relative humidity of 65% and a temperature of 20 °C until the tests were performed.
The annual ring orientation varied across the RS specimens, depending on its location along the width of the lamella and the position of the pith. To determine the relation of mechanical properties to the position of the pith and the corresponding annual ring orientation, the specimens were categorized into groups based on three parameters: eccentricity (e), vertical distance from the pith (d), and inclination of the annual rings (β) (see Figure 3 and Table 1). The pith location was estimated based on the sawing pattern of the CLT lamellas, the position of the specimens in the board’s width, and the visible layout of annual rings. A constant value of d = 90 mm was estimated for all specimens. The inclination of annual rings, β, was calculated by drawing a concentric circle from the estimated pith and a tangent line at various points along the annual rings. The entire middle notched area, with outer dimensions of 50 × 30 mm2, was considered when calculating β. Differences in the inclination of annual rings of the specimens for positions a, b, and c relative to positions 1, 2, and 3 were not further considered.

2.2. Test Setup and Testing Procedure

A biaxial test setup, previously developed by Akter and Bader [15,25] deemed suitable for determining the CPG and RS properties of dog-bone-shaped specimens, was used for the experiments. Detailed dimensions of the CPG and RS specimens are given in Figure 1. To determine the density of the RS specimens’ material, a rectangular piece of the Scots pine middle lamella was cut from each CLT block, with dimensions larger than those of the test specimens (approximately 180 × 40 × 50 mm3), and weighed using a precision balance. Moisture content was determined using the oven-dry method in accordance with EN 13183-1 [26], based on two smaller rectangular samples per board. In Table 2, the density of each board and the mean density and mean moisture content for all boards (with the corresponding coefficient of variation) are given. The mean moisture content of the specimens used in the compression tests was 11.5% (n = 4, CV = 0.67%).
The experiments were conducted in an MTS 322 biaxial test frame equipped with two servo-hydraulic actuators (MTS Model 661.20F), with a force capacity of 100 kN in the vertical direction and 50 kN in the horizontal direction. The test setup consisted of an external multiaxial load cell with a nominal capacity of ±5 kN (model GTM-69570, Gassmann Theiss Messtechnik, Bickenbach, Germany), which was added to enhance the accuracy of force measurements, considering the small load levels for the test specimens due to their small size compared with the internal load cells in the test frame. To apply load to the specimens without gluing to the load frame, the test specimens were mounted with four spiked steel plates, two on each side, that were placed at the bottom and top part of the specimens; see Akter and Bader [25] for further details on the test setup. The vertical force control was set to zero in the RS tests to avoid normal stresses in the specimens. Due to the imperfect material symmetry and alignment in the test specimens and setup, vertical displacement was observed during RS testing. In a similar way, the global horizontal force was set to zero in the CPG tests, which led to a corresponding horizontal displacement. Both the CPG and RS experiments were carried out in the displacement control mode, with a displacement rate of 1 mm/min.
The testing procedure consisted of a loading, unloading, and reloading loop. Unloading at 1000 N (corresponding to a compression stress of 1.25 N/mm2) and 2500 N (corresponding to a compression stress of 3.13 N/mm2) was selected for the CPG tests. The RS test specimens were unloaded at 300 N (corresponding to a rolling shear stress of 1.0 N/mm2). The final loading continued until the failure of the material or until the force of the external load cell of the test setup reached its maximum capacity at a compressive load of 4700 N. The direct data output from the MTS test frame included global displacements of the testing machine’s actuators and the corresponding measured forces from the internal and external load cells. Additionally, a 3D digital image correlation (DIC) system (GOM Aramis, GOM GmbH, Braunschweig, Germany) was used to measure displacements at the surface of the specimens’ notched area. For the latter purpose, the specimens were sprayed with a black-and-white contrast speckle pattern prior to the tests. Two 12 MP cameras were used to continuously capture images at a rate of 1 Hz (one picture per second) during the test period. The field of view for the DIC was 265 × 235 mm2, with a full-frame resolution of 4096 P × 3072 P. A facet size of 19 P × 19 P together with a grid spacing of 15 P resulted in approximately 1.0 mm between the measurement points.

2.3. Data Evaluation

The data recorded from the external load cell and the DIC system were used to determine the effective clear wood material properties of Scots pine under transverse compression (CPG) and rolling shear (RS) loading. The DIC-measured local displacements on the surface of the test specimens and the two orthogonal forces measured in the external load cell were used to calculate the nominal engineering strains and stresses, respectively. Then, CPG stress, σ y y , was determined by dividing the compressive force, Fy, by the initial cross-sectional area of the specimen, Ac, which was 40 × 20   m m 2 , as follows:
σ y y = F y A c .
RS stress, τ x y , was calculated as the shearing (horizontal) force, F x , divided by the initial minimum cross-sectional area in the center of the notched area of the specimens, A v   ( 30 × 10   m m 2 ), as follows:
τ x y = F x A v .
For the calculation of CPG and RS strains via DIC, the mean relative displacements in the horizontal (x) and vertical (y) directions, occurring between the points in the upper (Pi, i = 1–5) and lower (Pi, i = 6–10) rows (see Figure 4), were determined as follows:
w x , r e l = 1 5 i = 1 5 w x , i i = 6 10 w x , i ,
w y , r e l = 1 5 i = 1 5 w y , i i = 6 10 w y , i .
This allowed estimation of the CPG strain, ε y y , and RS strain,   γ x y , by dividing the relative displacements by the vertical distance between them (h), as follows:
ε y y = w y ,   r e l h .
  γ x y = w x , r e l h .
Based on the specimens’ geometry, a vertical distance of h = 20 mm was used for CPG tests and h = 10 mm for RS tests.
Young’s modulus, E c , y , and the CPG strength, f c , y , were calculated from the loading paths following EN 408, with the 1% offset method [27]. Due to the iterative procedure, the latter includes determination of the loading stiffness. For unloading and reloading paths, a 30% decrease or increase in the load, respectively, was considered when evaluating stiffness, aligning with the EN 408 load range.
RS stiffness was calculated as the inclination of the stress–strain curve between 10 and 40% of the RS strength, which was determined as the maximum RS stress before brittle failure.

3. Results and Discussion

In this section, the effective response of the clear wood material under compression perpendicular to the grain (CPG) and rolling shear (RS) loading are presented in terms of stress–strain relationships, and the stiffnesses and strengths of the specimens are described. Then, the relationships between effective material properties and the annual ring structure of wood, with a comparison with the effective mechanical properties of CLT elements, are assessed.

3.1. Stress–Strain Relationship

CPG loading in the radial and tangential directions resulted in ductile material behavior, while RS loading resulted in the brittle failure of the specimens.
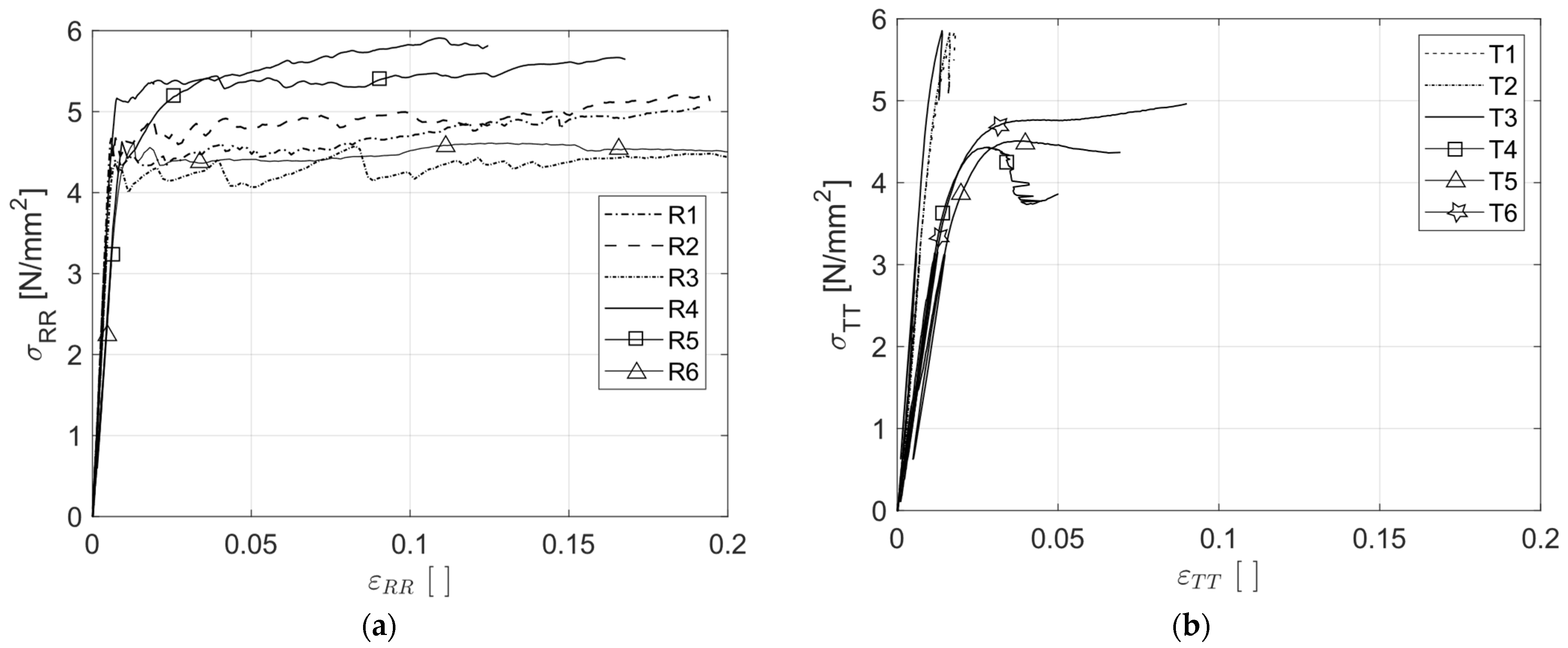
Figure 5 depicts the CPG stress–strain curves of the six test specimens in the predominantly radial (R1–R6 in Figure 5a) and tangential (T1–T6 in Figure 5b) directions. The CPG stress–strain curves present a typical linear elastic phase followed by a strain hardening or plastic region [7,8,9,28]. Radial compression resulted in a zigzag or wavy-shaped stress–strain curve after the linear elastic phase (Figure 5a). On the other hand, tangential compression resulted in a comparatively smooth stress–strain behavior with a slight non-linearity at the end of the elastic region and negative or downward slopes at the beginning of the plastic region (Figure 5b). This behavior is attributed to the bending of latewood layers, which was also visually observed in the analysis. For one of the specimens (T4), a stronger decrease in stress was observed, suggesting material failure in the DIC measurement area.
The differences in behavior under radial and tangential compression can be explained for different softwood species via microscopic investigations, as shown in [29]. Under radial compression, failure is initiated by the weakest earlywood cell layer, which determines the initial maximum stress. The strength of latewood or other earlywood layers have no contribution to this initial maximum stress value. Continued loading induces a densification and strengthening of the failure zone and the progressive failure of further earlywood cell layers (Figure 6b). The failure of the cellular structure and the local densification of the material, with corresponding higher mechanical properties, allow for the redistribution of the loading and result in an increased global force capacity. Under tangential compression, the stiffer latewood bands carry a larger part of the load compared with the earlywood layers, and failure is caused by the buckling of the latewood bands.
A large variation in the stress–strain relationship was observed under tangential compression. This is attributed to the width and curvature of the annual rings in the specimens due to the different pith locations. Specimens with almost straight, vertical, and dense annual rings (T1, T2, and T3 in Figure 2b and Figure 5b) showed higher compressive stresses, which reached the force capacity of the external load cell and forced the tests to be terminated before a clear transition from linear elastic to strain hardening behavior occurred. On the other hand, specimens with wide annual rings and a slightly curved annular ring structure (T4, T5, and T6 in Figure 2b and Figure 5b) showed a mild stress peak, followed by a decrease in stress or strain hardening, depending on the failure level of the material. Specimens T4 and T5 showed a large decrease in stress after the stress peak, whereas specimen T6 showed similar strain hardening behavior, as the specimens were loaded in radial compression. The tangential specimens experienced visible failure (Figure 6c), starting in the transition zone between the early- and latewood layers. The failure extended in these specimens due to the bending of cell layers, leading to a comparatively significant drop in stress.
Figure 7 shows the stress–strain behavior under RS loading for all specimens cut from different boards, where black (solid line), red (dashed with dot), and blue (dashed line) denote the specimens’ positions in boards a, b, and c, respectively. Generally, the specimens showed brittle behavior, either as quasi-brittle behavior with some progressive failure or sudden brittle failure (Figure 7). In some specimens, failure propagated along the annual rings (Figure 6a). A large variation in the maximum rolling shear strain was noticed, ranging from about 0.02 to 0.12. A similar trend was observed regarding the variation in the maximum rolling shear stress, which ranged from 2.14 to 4.62 MPa. It should be noted that due to the different annual ring characteristics of the specimens, this behavior reflects an effective material response and is not directly related to the material properties of clear wood. The annual ring configurations (and the pith locations) in the specimens (as shown in Figure 3) demonstrated a clear correlation with the stress–strain relationship. Specimens with a greater inclination of annual rings, mainly located at positions a and c in the investigated lamellas (denoted by black and blue colors in Figure 7), exhibited a stiffer response compared with specimens with horizontal annual rings that were mainly located at position b (denoted in red color in Figure 7). This will be further assessed in Section 3.4.

3.2. Stiffness and Strength

In the following section, the calculated stiffnesses and strengths of the specimens are presented and discussed, first for CPG loading and then for RS loading. It should be noted that due to the large variation of annual ring configurations in the specimens, the presented properties do not represent the intrinsic material properties, but rather the effective or apparent material properties, especially for RS testing.
The displacement and force measurements from the DIC and external load cell were used to calculate the effective Young’s modulus, E c , and the CPG strength, f c . E c was calculated from the loading, unloading, and reloading paths, as described in Section 2.3, and the results are presented in Table 3, where E c l o a d , E c u n l 1 , E c r e l 1 , E c u n l 2 , and E c r e l 2 denote the Young’s moduli calculated from the initial loading, first unloading, first reloading, second unloading, and second reloading paths, respectively.
The mean Young’s modulus of the specimens predominantly loaded in radial compression (R1–R6), E c , R , ranged between 659 N/mm2 and 690 N/mm2 for different loading–unloading paths, with a variation of 4.48%. The lowest E c , R values were obtained from the reloading path, while the maximum values were observed in the unloading path. Moreover, the loading and reloading E c , R values were found to show a decreasing trend, i.e., E c , R r e l 2 was lower than E c , R r e l 1 , which was lower than E c , R l o a d . This was expected, since micro-structural damage and creep influence the modulus of elasticity, even within the elastic limits. For the specimens predominantly loaded in tangential compression (T1–T6), the mean Young’s modulus, E c , T , varied between 308 and 372 N/mm2, with a variation of 17.1%. No clear trend or relationship was observed for the loading, unloading, and reloading Young’s moduli. This could be explained by the higher variabilities in the results obtained under tangential compression compared with under radial compression.
There was a significant difference in the first or initial loading path across the specimens, where E c , R l o a d varied from 523 to 874 N/mm2, and E c , T l o a d from 206 to 526 N/mm2. This variation reflects the influence of the width and orientation of the annual rings in the specimens. The variation in E c l o a d was 40% for radial loading and 61% for tangential loading, indicating that the tangential specimens showed a larger variation of, or higher sensitivity to, annual ring curvature and width than the radial specimens. Previous studies by Akter et al. [30] demonstrated, using numerical investigations, a 31% difference in E c , T l o a d , when the pith was located at distances of 30 and 80 mm outside the specimens.
It is difficult to directly compare the determined effective stiffnesses with previous investigations on pine. Aira et al. [31] summarized the orthotropic elastic constants for different softwood species based on the Wood Handbook [32], showing that E R is between 859 and 1390 N/mm2 and E T is between 350 and 959 N/mm2. Dinwoodie [33] reported E R and E T values of 1100 and 570 N/mm2, respectively, based on tests on small clear wood specimens. These reported values are considerably higher than those obtained in the present investigation. In this experimental investigation, the obtained mean values of E R and E T were 687 and 372 MPa, respectively, for the initial loading paths. The observed discrepancy could be attributed to differences in specimen dimensions, annual ring widths, pith locations, and experimental setup.
The compressive strengths of the CPG test specimens under predominantly radial (R1–R6) and tangential (T1–T6) compression, f c , R and f c , T , are shown in Table 4. The mean radial strength, f c , R , was 4.70 N/mm2 (CV = 7.92%), with a range from 4.20 to 5.32 N/mm2, while in the tangential direction, the mean f c , T was 5.19 N/mm2 (CV = 13.70%), with a range from 4.40 to 5.90 N/mm2.
The tangential strength of 5.90 N/mm2 for T1–T3 is an approximated lower bound value, as the tests of these specimens were terminated due to the force capacity of the external load cell. Radial strength varied by 11%, while the variation was 12% for tangential strength, which could be even higher if further loading to a higher force level could have been applied. The higher tangential strength compared with the radial strength agrees with the findings reported by Akter and Bader [25] and Tabarsha T. [29] for spruce. Additionally, the determined transverse compressive strength was within the range of 4.1 to 6.3 N/mm2, which was in line with the values described in the Wood handbook [32] for different types of pine wood.
In Table 5 and Table 6, the effective rolling shear modulus, G R T , and rolling shear strength, f v , R T , are presented for specimens prepared from five different boards of CLT elements. In general, higher unloading rolling shear moduli compared with the loading moduli were found. This is reasonable since the unloading modulus of elasticity is less influenced by the initial surface contact behavior and the viscous characteristics of wood.
Considering the loading stiffness, the mean effective rolling shear modulus, G R T l o a d , was in the range of 113 to 163 N/mm2 across the five different boards, with a mean value of 135 N/mm2 and a CV of 31.9%. The values of the effective shear modulus of the different boards align well with previous findings. Ehrhart et al. [18] reported a range of 101–210 N/mm2 for 19 test specimens of pine, with a mean value of 158 N/mm2 for 10.7% MC. Aira et al. [31] reported a rolling shear stiffness range of 109 to 160 N/mm2 for three different types of pine: loblolly, red, and pond.
The different specimens cut from the boards tested in this study exhibited an even larger variation for the effective G R T l o a d , from 50 to 254 N/mm2, highlighting the significant influence of the sawing pattern and the annual ring structure on the rolling shear stiffness. These results align with the numerical findings by Akter et al. [30], who quantified the influence of pith location and annual ring structure on the rolling shear modulus of Norway spruce.
The mean effective rolling shear strength, f v , R T , ranged from 2.63 to 3.49 N/mm2 for the five different boards, with a range of 2.14 to 4.61 N/mm2 for the individual specimens. Specimens from board B2 showed the lowest mean f v , R T , while specimens from board B4 yielded the highest mean f v , R T . The mean f v , R T for the specimens from all boards was 3.11 N/mm2, which was higher than the value of 2.29 N/mm2 reported by Ehrhart et al. [18], with a range from 1.94 to 2.69 N/mm2.

3.3. Influence of Density on G R T and f v , R T

Earlier studies demonstrated strong correlations between density and rolling shear stiffness and rolling shear strength, when comparing different softwood and hardwood species with a broad range of densities [18]. However, within a single species, the correlation is comparatively weak due to the limited variation in density and the influence of other microstructural characteristics. The relationships between the effective rolling shear modulus, GRT, and rolling shear strength, fv,RT, and the density of the boards are presented in Figure 8. In the test series presented herein, no clear correlation of GRT with density was found. The highest value of GRT was found for board B5 with a density of 498 kg/m3, despite the maximum board density being 583 kg/m3 for board B4. The linear regression fit curve for GRT showed poor correlation, with an R2 value of 0.0255. This suggests that the effect of the sawing pattern and the annual ring structure is more pronounced than the effect of density in the investigated specimens.
In contrast, a relatively clearer correlation was observed between the effective RS strength and density, with an R2 of 0.1668. The highest mean fv,RT of 3.49 N/mm2 was found for board B4, with the maximum density of 583 kg/m3, while the lowest value of 2.63 N/mm2 was found for board B2, with the minimum density of 472 kg/m3.
The correlations between density and rolling shear stiffness and strength in this study are weak or even insignificant, primarily because the effect of the annual ring orientation overshadows these correlations. In this respect, the results align with previous research [18], which reported large discrepancies when analyzing single wood species. The specified correlation coefficients for pine were 0.14 for GRT and 0.05 for fv,RT, compared with the obtained values of 0.025 and 0.17 for GRT and fv,RT, respectively, in this study.

3.4. Influence of Pith Location on G R T and f v , R T

The boxplots in Figure 9 illustrate the relationships of G R T and f v , R T with four different groups of pith location: ec-0, ec-25, ec-50, and ec-70 (see Table 1 for corresponding pith positions). The number of specimens in each category is shown below the boxes. Each box spans from the first to the third quartile, with the solid and dashed lines representing the median and mean values, respectively.
Increasing trends in G R T and f v , R T were clearly observed with increasing pith eccentricity, ec, which correlates with an increase in the annual ring angle. For ec-0, only a single data point was available, which yielded a G R T value of 50 N/mm2. The mean G R T values for ec-20, ec-50, and ec-70 were found to be 116, 125, and 189 N/mm2, respectively. For rolling shear strength, f v , R T , the corresponding values for ec-0, ec-20, ec-50, and ec-70 were 2.29, 3.00, 3.41, and 3.41 N/mm2, respectively. Notably, the distribution of f v , R T exhibits greater variability compared with G R T . The relatively stronger increase in G R T compared with f v , R T suggests that rolling shear stiffness is more sensitive to changes in pith location than rolling shear strength. Additionally, a remarkable divergence in the mean and median values of f v , R T for ec-50 was observed. Another observation is that the mean f v , R T value remains constant for ec-50 and ec-70 despite a clearly increasing trend in G R T . These experimental findings agree well with the numerical investigations by Aicher and Dill-Langer [19] and Akter et al. [30]. Aicher and Dill-Langer compared the shear force transfer in specimens with angular annual rings with a truss system with stiffer diagonals.

3.5. Comparison with Effective Rolling Shear Modulus from CLT Bending Tests

Finally, the effective rolling shear modulus determined for the dog-bone-shaped specimens in this study was compared with the corresponding rolling shear modulus obtained in a previous study on CLT using four-point bending tests at the structural scale [23]. The CLT tests revealed a mean effective rolling shear modulus of 159 N/mm2 with a CV of 16%, compared with the value of 135 N/mm2 (CV of 31.9%) obtained in this study. The values of the effective rolling shear modulus from the bending tests ranged from 110 to 184 N/mm2, compared with the mean values of 113 to 163 N/mm2 measured for the five different boards in this study. However, the larger range obtained in the bending tests was due to the use of a single CLT element with a low effective shear modulus of 110 N/mm2. (The second lowest value was 153 N/mm2). The comparably higher CV observed in the small-scale specimens reflects significant variability due to differences in the sawing pattern and annual ring structure. In contrast, the lower CV obtained for the CLT bending test results is attributed to the averaging effect of the multiple lamellas within each CLT element.
For the specimens tested in this study, only one specimen had an annual ring structure that could be considered suitable for the determination of material properties (e = 0 for specimen 1:3b from board B1). For this specimen, a rolling shear modulus of 50 N/mm2 was obtained. This value aligns well with the value of 56 N/mm2 obtained from CLT tests through a combined experimental–numerical method [23].
The rolling shear strength at the material scale obtained in this study cannot be directly compared with values obtained from the bending tests on CLT in [23], since no specimen in that previous study exhibited rolling shear failure at the maximum applied load of 100 kN. This suggests that the rolling shear strength of all tested CLT specimens exceeded 1.6 N/mm2, which agrees well with the lowest value obtained from the dog-boned-shaped specimens, i.e., 2.14 N/mm2.

4. Conclusions

The compression perpendicular to the grain (CPG) and the effective rolling shear (RS) properties of clear Scots pine wood were experimentally investigated in a biaxial test setup. The material came from Scots pine CLT elements previously investigated using four-point bending tests [23].
Regarding the effective stiffness and strength under CPG loading, significant differences in the modulus of elasticity and strength were observed between the radial and tangential directions. The modulus of elasticity in the radial direction was found to be nearly twice that in the tangential direction. In contrast, the strength in the tangential direction was found to be comparatively higher than that in the radial direction.
Large variations in the effective RS modulus (from 50 to 254 N/mm2) and strength (from 2.14 to 4.61 N/mm2) were observed for the investigated specimens with different annual ring structures. The effective RS strength was found to display an increasing trend with density, while no clear correlation with density was observed for the effective RS stiffness. The influence of the annual ring structure was quantified by the position of the pith (distance and eccentricity), which showed a clear correlation with the effective RS stiffness and strength. The maximum effective RS stiffness was found for specimens where the pith was located far from the specimen center (ec-70), and the annual rings had an inclination of approximately 25–55°. The determined effective RS stiffness and strength could not be directly compared with the effective material properties of CLT elements, but a clear wood specimen with an annual ring structure with no eccentricity and inclination had an RS modulus of 50 N/mm2, which is close to the value of 56 N/mm2 obtained for CLT elements through a combined experimental–numerical approach in [23].

Author Contributions

Conceptualization, S.T.A., A.O. and T.K.B.; methodology, S.T.A. and A.O.; software, S.T.A.; validation, S.T.A.; formal analysis, S.T.A.; investigation, S.T.A.; resources, A.O. and T.K.B.; data curation, S.T.A.; writing—original draft preparation, S.T.A.; writing—review and editing, S.T.A., A.O. and T.K.B.; visualization, S.T.A.; supervision, T.K.B.; project administration, A.O.; funding acquisition, A.O. and T.K.B.; All authors have read and agreed to the published version of the manuscript.

Funding

Anders Olsson and Thomas K. Bader gratefully acknowledge the support from the Knowledge Foundation through the project ‘Competitive timber structures—Resource efficiency and climate benefits along the wood value chain through engineering design’ (grant number 20230005).

Data Availability Statement

The data supporting the findings of this study are included in the article in analyzed form. Additional information can be provided by the corresponding author upon reasonable request.

Conflicts of Interest

The authors declare that they have no known conflicts of interest.

References

  1. Mishnaevsky, L., Jr.; Qing, H. Micromechanical modelling of mechanical behaviour and strength of wood: State-of-the-art review. Comput. Mater. Sci. 2008, 44, 363–370. [Google Scholar] [CrossRef]
  2. Niemz, P.; Sonderegger, W.; Gorbacheva, G. Elastic and Inelastic Properties of Wood and Wood-Based Materials. In Handbook of Wood Science and Technology; Niemz, P., Teischinger, A., Sandberg, D., Eds.; Springer: Cham, Switzerland, 2023. [Google Scholar] [CrossRef]
  3. Clauß, S.; Pescatore, C.; Niemz, P. Anisotropic elastic properties of common ash (Fraxinus excelsior L.). Holzforschung 2014, 68, 941–949. [Google Scholar] [CrossRef]
  4. Niemz, P.; Sonderegger, W.; Gustafsson, P.J.; Kasal, B.; Polocoşer, T. Strength Properties of Wood and Wood-Based Materials. In Handbook of Wood Science and Technology; Niemz, P., Teischinger, A., Sandberg, D., Eds.; Springer: Cham, Switzerland, 2023. [Google Scholar] [CrossRef]
  5. Pedersen, M.U.; Clorius, C.O.; Damkilde, L.; Hoffmeyer, P. A simple size effect model for tension perpendicular to the grain. Wood Sci. Technol. 2003, 37, 125–140. [Google Scholar] [CrossRef]
  6. Bleron, L.; Denaud, L.; Collet, R.; Marchal, R. Experimental study of locally loaded timber in compression perpendicular to the grain. Eur. J. Environ. Civil. Eng. 2011, 15, 357–366. [Google Scholar] [CrossRef]
  7. Bodig, J. The Peculiarity of Compression of Conifers in Radial Direction. For. Prod. J. 1963, 13, 438. [Google Scholar]
  8. Bodig, J. The effect of Anatomy on the Initial Stress Strain Relationship in Transverse Compression. For. Prod. J. 1965, 15, 197–202. [Google Scholar]
  9. Kennedy, R. Wood in transverse compression: Influence of some anatmical variables and density on behavior. For. Prod. J. 1968, 18, 36–40. [Google Scholar]
  10. Madsen, B.; Hooley, R.; Hall, C. A design method for bearing stresses in wood. Can. J. Civil. Eng. 1982, 9, 338–349. [Google Scholar] [CrossRef]
  11. Gehri, E. Timber in compression perpendicular to the grain. In Proceedings of the IUFRO 502 Timber Engineering conference, Copenhagen, Denmark, 18–20 June 1997; pp. 355–374. [Google Scholar]
  12. Blass, H.; Görlacher, R. Compression perpendicular to the grain. In Proceedings of the 8th World Conference on Timber Engineering (WCTE), Lahti, Finland, 14–17 June 2004; Volume 2, pp. 435–440. [Google Scholar]
  13. Basta, C.T. Characterizing Perpendicular to Grain Compression in Wood Construction. Master’s Thesis, Oregon State University, Corvallis, OR, USA, 2005. [Google Scholar]
  14. Leijten, A.J.M.; Larsen, H.J.; Van der Put, T.A.C.M. Structural design for compression strength perpendicular to the grain of timber beams. Constr. Build. Mater. 2010, 24, 252–257. [Google Scholar] [CrossRef]
  15. Akter, S.T. Experimental Characterization and Numerical Modeling of Compression Perpendicular to the Grain in Wood and Cross-Laminated Timber. Ph.D. Thesis, Linnaeus University, Växjö, Sweden, 2022. [Google Scholar]
  16. Hassel, B.I.; Berard, P.; Modén, C.S.; Berglund, L.A. The single cube apparatus for shear testing—Full-field strain data and finite element analysis of wood in transverse shear. Comp. Sci. Tech. 2009, 69, 877–882. [Google Scholar] [CrossRef]
  17. Olsson, A.; Schirén, W.; Hu, M. Dynamic and quasi-static evaluation of stiffness properties of CLT: Longitudinal MoE and effective rolling shear modulus. Eur. J. Wood Wood Prod 2025, 83, 16. [Google Scholar] [CrossRef]
  18. Ehrhart, T.; Brandner, R. Rolling shear: Test configurations and properties of some European soft- and hardwood species. Eng. Struct. 2018, 272, 554–572. [Google Scholar] [CrossRef]
  19. Aicher, S.; Dill-Langer, G. Basic considerations to rolling shear modulus in wooden boards. Otto-Graf-J. 2000, 11, 157–165. [Google Scholar]
  20. Glasner, D.; Ringhofer, A.; Brandner, R.; Schickhofer, G. Rolling Shear Strength of Cross Laminated Timber (CLT)—Testing, Evaluation and Design. Buildings 2023, 13, 2831. [Google Scholar] [CrossRef]
  21. Swedish Wood, The Forest and Sustainable Forestry. Available online: https://www.swedishwood.com/wood-facts/about-wood/wood-and-sustainability/the-forest-and-sustainable-forestry/ (accessed on 10 April 2025).
  22. Górska, M.; Piermattei, A.; Rufnatto, F.; Crivellaro, A. Wood mechanical properties scale with distance to tree tip in the outermost growth ring of a Scots pine. Trees 2025, 39, 31. [Google Scholar] [CrossRef]
  23. Olsson, A.; Schirén, W.; Segerholm, K.; Bader, T.K. Relationships between stiffness of material, lamellas and CLT elements with respect to out of plane bending and rolling shear. Eur. J. Wood Wood Prod. 2023, 81, 871–886. [Google Scholar] [CrossRef]
  24. Bondsman, B.; Peplow, A. Inverse parameter identification and model updating for Cross-laminated Timber substructures. J. Build. Eng. 2024, 95, 110209. [Google Scholar] [CrossRef]
  25. Akter, S.T.; Bader, T.K. Experimental assessment of failure criteria for the interaction of normal stress perpendicular to the grain with rolling shear stress in Norway spruce clear wood. Eur. J. Wood Wood Prod. 2020, 78, 1105–1123. [Google Scholar] [CrossRef]
  26. EN 13183-1; Moisture Content of a Piece of Sawn Timber–Part 1: Determination by Oven Dry Method. European Committee for Standardization (CEN): Brussels, Belgium, 2002.
  27. EN 408; Structural Timber and Glued Laminated Timber. Determination of Some Physical and Mechanical Properties. European Committee for Standardization (CEN): Brussels, Belgium, 2010.
  28. Narin, J.A. Numerical Simulations of Transverse Compression and Densification in Wood. Wood Fiber Sci. 2006, 38, 576–591. [Google Scholar]
  29. Tabarsa, T. Compression Perpendicular-to-Grain Behaviour of Wood. Ph.D. Thesis, Forestry and Environmental Management, The University of New Brunswick, Fredericton, NB, Canada, 2001. [Google Scholar]
  30. Akter, S.T.; Serrano, E.; Bader, T.K. Numerical modelling of wood under combined loading of compression perpendicular to the grain and rolling shear. Eng. Struct. 2021, 244, 112800. [Google Scholar] [CrossRef]
  31. Aira, J.A.; Arriaga, F.; Gonzalez, G.I. Determination of the elastic constants of Scots pine (Pinus sylvestris L.) wood by means of compression tests. Biosyst. Eng. 2014, 126, 12–22. [Google Scholar] [CrossRef]
  32. Forest Product Laboratory. Wood Handbook: Wood as an Engineering Material; General Technical Report FPL-GTR-190; USDA Forest Service, Forest Products Laboratory: Madison, WI, USA, 2010.
  33. Dinwoodie, J.M. Timber: Its Nature and Behaviour, 2nd ed.; CRC Press: London, UK, 2000. [Google Scholar]
Figure 1. Specimens (a) for CPG tests and (b) RS tests; (c) detailed notch dimensions of the dog-bone-shaped RS specimen.
Figure 1. Specimens (a) for CPG tests and (b) RS tests; (c) detailed notch dimensions of the dog-bone-shaped RS specimen.
Applsci 15 10775 g001
Figure 2. Annual ring orientations in specimens used in CPG tests for (a) radial compression and (b) tangential compression.
Figure 2. Annual ring orientations in specimens used in CPG tests for (a) radial compression and (b) tangential compression.
Applsci 15 10775 g002
Figure 3. Boards made of Scots pine and RS test specimens prepared from CLT elements: (a) annual ring structures in five boards (B1–B5); (b) sawing patterns, with dotted lines indicating sawing lines and specimens; (c) parameters for quantification of annual ring orientation.
Figure 3. Boards made of Scots pine and RS test specimens prepared from CLT elements: (a) annual ring structures in five boards (B1–B5); (b) sawing patterns, with dotted lines indicating sawing lines and specimens; (c) parameters for quantification of annual ring orientation.
Applsci 15 10775 g003
Figure 4. Markers on the upper (P1–P5) and lower row (P6–P10) of the DIC system for the measurement of surface displacements and the determination of strains in (a) CPG specimens and (b) RS specimens.
Figure 4. Markers on the upper (P1–P5) and lower row (P6–P10) of the DIC system for the measurement of surface displacements and the determination of strains in (a) CPG specimens and (b) RS specimens.
Applsci 15 10775 g004
Figure 5. Stress–strain relationship for CPG specimens in the (a) radial and (b) tangential directions.
Figure 5. Stress–strain relationship for CPG specimens in the (a) radial and (b) tangential directions.
Applsci 15 10775 g005
Figure 6. Typical material response and failure modes: (a) under RS loading; (b) radial compression loading; (c) tangential compression loading; In (a), the red line marks the crack location, added to enhance visibility due to low contrast in the image.
Figure 6. Typical material response and failure modes: (a) under RS loading; (b) radial compression loading; (c) tangential compression loading; In (a), the red line marks the crack location, added to enhance visibility due to low contrast in the image.
Applsci 15 10775 g006
Figure 7. Stress–strain relationship in rolling shear loading for specimens from (a) board B1; (b) board B2; (c) board B3; (d) board B4; (e) board B5.
Figure 7. Stress–strain relationship in rolling shear loading for specimens from (a) board B1; (b) board B2; (c) board B3; (d) board B4; (e) board B5.
Applsci 15 10775 g007
Figure 8. Influence of density on (a) effective rolling shear modulus, GRT, and (b) effective rolling shear strength, fv,RT.
Figure 8. Influence of density on (a) effective rolling shear modulus, GRT, and (b) effective rolling shear strength, fv,RT.
Applsci 15 10775 g008
Figure 9. Boxplots showing the influence of pith location on the (a) effective GRT and (b) effective fv,RT.
Figure 9. Boxplots showing the influence of pith location on the (a) effective GRT and (b) effective fv,RT.
Applsci 15 10775 g009
Table 1. Grouping of RS specimens according to pith location and eccentricity.
Table 1. Grouping of RS specimens according to pith location and eccentricity.
Board and Specimen PositionEccentricity, e (mm)Vertical Dist. d (mm) Approximate   Inclination   of   Annual   Rings   β (°)Notations and Pith Groups
B1:a (3 specimens)509014–45ec-50
B1:b (1 specimen)0900–18ec-0
B1:c (2 specimens)509014–45ec-50
B2:a (2 specimens)759025–53ec-70
B2:b (2 specimens)25900–33ec-25
B2:c (2 specimens25900–33ec-25
B3:a (2 specimens)30903–36ec-25
B3:b (2 specimens)20900–31ec-25
B3:c (2 specimens)709023–52ec-70
B4:a (1 specimen)25900–33ec-25
B4:b (3 specimens)25900–33ec-25
B4:c (2 specimens)759025–53ec-70
B5:a (2 specimens)709023–52ec-70
B5:b (2 specimens)20900–31ec-25
B5:c (2 specimens)30903–36ec-25
Table 2. Density and moisture content of Scots pine boards.
Table 2. Density and moisture content of Scots pine boards.
BoardDensity (kg/m3)Mean Density (kg/m3)Moisture Content (%)
B1494
B2472
B3534516 (CV 8.0%)11.4 (CV 0.22%)
B4583
B5498
Table 3. The moduli of elasticity, E c , R and E c , T , of CPG specimens R1–R6 and T1–T6.
Table 3. The moduli of elasticity, E c , R and E c , T , of CPG specimens R1–R6 and T1–T6.
Test Types E c , R l o a d   E c , T l o a d
(N/mm2)
E c , R u n l 1   E c , T u n l 1
(N/mm2)
E c , R r e l 1   E c , T r e l 1
(N/mm2)
E c , R u n l 2   E c , T u n l 2
(N/mm2)
E c , R r e l 2   E c , T r e l 2
(N/mm2)
Radial
compression   E c , R
R1874865816842776
R2770746778775749
R3711726765723704
R4735701719764757
R5510491449522459
R6523459475511507
Mean (CV)687 (19.0%)665 (21.6%)667 (22.1%)690 (18.4%)659 (19.2%)
Tangential   compression   E c , T T1514457414497470
T2436388310431361
T3526412427528531
T4282291261260235
T5206223175202175
T6265256263247243
Mean (CV)372 (33.9%)338 (25.4%)361 (35.7%)308 (28.9%)336 (38.7%)
Table 4. Compressive strength in radial ( f c , R ) and tangential ( f c , T ) directions.
Table 4. Compressive strength in radial ( f c , R ) and tangential ( f c , T ) directions.
Test Specimen f c , R (N/mm2) f c , T (N/mm2)
Specimens R1 and T14.36 5.90
Specimens R2 and T24.80 5.90
Specimens R3 and T34.20 5.90
Specimens R4 and T45.324.40
Specimens R5 and T54.944.45
Specimens R6 and T64.584.60
Mean 4.705.19
CV (%)7.9213.70
Table 5. Effective rolling shear modulus G R T .
Table 5. Effective rolling shear modulus G R T .
Board B1
(N/mm2)
Board B2
(N/mm2)
Board B3
(N/mm2)
Board B4
(N/mm2)
Board B5
(N/mm2)
Mean   G R T of All Boards
(N/mm2)
G R T l o a d (1:2a) 128(2:1b) 81(3:2a) 130(4:1b) 132(5:1a) 254135
(1:1a) 156(2:2a) 152(3:2b) 99(4:2b) 117(5:1b) 97
(1:2c) 108(2:2c) 98(3:2c) 191(4:2c) 194(5:1c) 165
(1:3a) 99(2:3a) 165(3:3a) 123(4:3a) 95(5:2a) 199
(1:3b) 50(2:3b) 93(3:3b) 76(4:3b) 117(5:2b) 70
(1:3c) 136(2:3c) 103(3:3c) 220(4:3c) 206(5:2c) 192
Mean 113Mean 115Mean 140Mean 143Mean 163
CV 29.7%CV 27.0%CV 36.0%CV 28.6%CV 38.3%CV 31.9%
G R T u n l (1:2a) 131(2:1a) 91(3:2a) 140(4:1b) 142(5:1a) 266144
(1:1a) 168(2:2b) 164(3:2b) 105(4:2b) 121(5:1b) 102
(1:2c) 112(2:2c) 106(3:3c) 207(4:2c) 218(5:1c) 178
(1:3a) 107(2:3a) 172(3:3a) 131(4:3a) 106(5:2a) 213
(1:3b) 53(2:3b) 99(3:3b) 78(4:3b) 122(5:2b) 76
(1:3c) 142(2:3c) 107(3:3c) 237(4:3c) 216(5:2c) 205
Mean 119Mean 123Mean 150Mean 154Mean 173
CV 29.9%CV 26.2%CV 37.0%CV 29.6%CV 37.8%CV 32.1%
Table 6. Effective rolling shear strength f v , R T .
Table 6. Effective rolling shear strength f v , R T .
Board B1
(N/mm2)
Board B2
(N/mm2)
Board B3
(N/mm2)
Board B4
(N/mm2)
Board B5
(N/mm2)
Mean of All Boards
(N/mm2)
(1:2a) 3.83(2:1b) 3.28(3:2a) 3.66(4:1b) 3.07(5:1a) 4.613.11
(1:1a) 3.81(2:2a) 2.36(3:2b) 3.15(4:2b) 3.13(5:1b) 2.34
(1:2c) 2.63(2:2c) 2.14(3:2c) 2.99(4:2c) 3.55(5:1c) 2.95
(1:3a) 4.05(2:3a) 2.69(3:3a) 3.88(4:3a) 4.24(5:2a) 2.45
(1:3b) 2.29(2:3b) 3.10(3:3b) 2.62(4:3b) 3.36(5:2b) 2.22
(1:3c) 2.74(2:3c) 2.18(3:3c) 4.10(4:3c) 3.58(5:2c) 2.66
Mean 3.22Mean 2.63Mean 3.40Mean 3.49Mean 2.87
CV 21.4%CV 6.5%CV 12.6%CV 12.1%CV 28.3%CV 16.2%
Disclaimer/Publisher’s Note: The statements, opinions and data contained in all publications are solely those of the individual author(s) and contributor(s) and not of MDPI and/or the editor(s). MDPI and/or the editor(s) disclaim responsibility for any injury to people or property resulting from any ideas, methods, instructions or products referred to in the content.

Share and Cite

MDPI and ACS Style

Akter, S.T.; Olsson, A.; Bader, T.K. Stiffness and Strength of Scots Pine Wood Under Compression Perpendicular to the Grain and Rolling Shear Loading. Appl. Sci. 2025, 15, 10775. https://doi.org/10.3390/app151910775

AMA Style

Akter ST, Olsson A, Bader TK. Stiffness and Strength of Scots Pine Wood Under Compression Perpendicular to the Grain and Rolling Shear Loading. Applied Sciences. 2025; 15(19):10775. https://doi.org/10.3390/app151910775

Chicago/Turabian Style

Akter, Shaheda T., Anders Olsson, and Thomas K. Bader. 2025. "Stiffness and Strength of Scots Pine Wood Under Compression Perpendicular to the Grain and Rolling Shear Loading" Applied Sciences 15, no. 19: 10775. https://doi.org/10.3390/app151910775

APA Style

Akter, S. T., Olsson, A., & Bader, T. K. (2025). Stiffness and Strength of Scots Pine Wood Under Compression Perpendicular to the Grain and Rolling Shear Loading. Applied Sciences, 15(19), 10775. https://doi.org/10.3390/app151910775

Note that from the first issue of 2016, this journal uses article numbers instead of page numbers. See further details here.

Article Metrics

Back to TopTop