Next Article in Journal
A Two-Layer Stacking Model for Expressway Traffic Accident Rate Prediction: Leveraging Neural Networks and Tree-Based Models
Previous Article in Journal
Traffic Safety Measures and Assessment
 
 
Font Type:
Arial Georgia Verdana
Font Size:
Aa Aa Aa
Line Spacing:
Column Width:
Background:
Article

Study on Optimization of Structure of Porous Lateral Flow Storage Tank

1
China Institute of Water Resources and Hydropower Research, Beijing 100038, China
2
College of Water Conservancy& Hydropower Engineering, Hohai University, Nanjing 210098, China
3
College of Agricultural Science and Engineering, Hohai University, Nanjing 210098, China
*
Author to whom correspondence should be addressed.
Appl. Sci. 2025, 15(19), 10536; https://doi.org/10.3390/app151910536
Submission received: 30 June 2025 / Revised: 28 July 2025 / Accepted: 13 August 2025 / Published: 29 September 2025

Abstract

Sediment buildup in storage tanks over extended operation periods may compromise their efficiency. To prevent pollutant deposition in storage tanks and enhance their hydraulic self-cleaning efficiency, this study addressed the unique structural configuration of lateral flow in storage tanks. Conducting numerical simulations to investigate the hydraulic characteristics within storage tanks, an integrated approach combining physical experiments and response surface methodology (RSM) was employed to optimize flow distribution. Key findings reveal that tangential and normal velocity differences lead to flow distribution nonuniformity, exacerbated by increased inflow Froude number (Fr) and reduced relative weir height (hi). Based on the flow-splitting mechanism, an optimized “combined raised baffle” was proposed. Through single-factor experiments, Plackett–Burman (PB) screening, and RSM experiments, the optimal combination for maximal flow uniformity was determined as h1 = 1.27, h2 = 1.23, and h3 = 1.24, achieving an 87.18% improvement in Qy compared to the initial design. After optimization, the incoming flow pattern of the inlet channel of the storage pond was improved, and the difference between tangential and normal flow velocity in the flow field was significantly reduced. This research provides a novel approach and methodological paradigm for optimizing storage tanks and other hydraulic structures, demonstrating significant academic and engineering value.

1. Introduction

With the accelerated construction of sponge cities, storage tanks have been widely used in water transfer projects to regulate the flow of the main pipeline, playing the role of “cutting peaks and filling valleys” [1]. According to the usage type, storage tanks can be classified into the peak-shaving type and the CSO type [2,3]. In pumping station projects, long-term operation of these two types may lead to the deposition of pollutants at the bottom of the storage tank, resulting in a decline in operational efficiency [4].
For this reason, many scholars have conducted research into the self-cleaning of storage tanks. The most common methods of self-cleaning include gate flushing, hydraulic bucket flushing, and vacuum flushing [5,6,7]. Based on the model test, Wang Mingming et al. [8] optimised the design of the storage tank structure from the perspective of the flushing mode of water flow, effectively enhancing the sludge flushing effect at the bottom of the storage tank. Tan Zhicheng et al. [9] used FLUENT on the merging system overflow storage tank for three-dimensional solid–liquid multiphase flow simulation. Through optimizing the storage tank structure, they enhanced the overflow sewage sedimentation and decontamination effect. Ruiloba et al. [10] used the two-dimensional hydraulic analysis software IBER to carry out a numerical simulation of the gated flushing process. Tan et al. [11] proposed a porous barrier designed to improve the internal structure of storage tanks. Through optimizing the flushing corridor structure, they effectively avoided the generation of reflux areas and improved the flushing water flow velocity. Based on formal research, the water’s hydraulic characteristics directly affect the storage tank’s efficiency in terms of self-cleaning. However, there is a relative lack of research on the storage pond’s internal hydraulic characteristics.
In hydraulic characteristic research, flow division characteristics constitute a crucial branch of study. This paper focuses on the multi-orifice lateral outflow configuration, with particular emphasis on its flow division behavior. For open-channel bifurcation flows, scholars have conducted extensive investigations. Due to the alteration of the main flow direction, the flow division process tends to generate transverse water surface gradients and lateral circulation currents [12,13]. During the flow division process, the transverse circulation currents are disrupted due to vertically stratified flows [14]. The structure under investigation in this study features multiple bottom sills as its distinctive characteristic. The arrangement of bottom sills is widely employed in hydraulic characteristic research [15,16,17,18]. In pumping station forebays, improper diffusion angle design [19] and lateral inflow patterns [20] often induce undesirable flow regimes. The strategic placement of bottom sills has been demonstrated to effectively optimize flow patterns and enhance operational efficiency. While Luo et al. [21] have elucidated the fundamental mechanisms of flow rectification by bottom sills, the coupled hydrodynamic interactions between dividing flows and sill structures remain insufficiently understood.
Response surface methodology (RSM) establishes polynomial functional relationships between response variables and design variables through experimental data, thereby streamlining the optimization process [22,23]. RSM constructs surrogate polynomial models of varying orders to approximate the unknown, complex functional relationships between target and design variables. These mathematical constructs serve as computationally efficient proxies for the true underlying physical phenomena, enabling subsequent model-based analyses. Zidan et al. [24] implemented this methodology in optimizing the vertical suction pipe configuration of a pump station intake basin, determining the optimal combination of submergence depth, clearance height, and rear-wall distance. Gao Xueping et al. [25] employed response surface methodology to develop surrogate models correlating key hydraulic performance metrics—including flow distribution during inflow/outflow phases—with design parameters such as the length of the dispersal section in pumped-storage power plants. Consequently, response surface optimization methodology can be effectively integrated into hydraulics-driven parametric design frameworks. By leveraging its core capability to establish explicit mathematical mappings between design variables and target responses, this approach enables identification of Pareto-optimal solutions while circumventing computational bottlenecks inherent in conventional numerical simulation workflows.
Building upon this research foundation, this study develops a novel self-cleaning intake structure—a multi-orifice lateral outflow channel that utilizes kinetic energy from lateral flow division to achieve sediment removal. Numerical simulation methods were employed to analyze the intrinsic mechanisms of flow distribution nonuniformity. Based on response surface methodology, a physical experimental model was constructed, proposing an innovative “modular raised baffle” approach to optimize flow division characteristics, providing new methods and ideas for improving the efficiency of hydraulic self-cleaning of storage tanks.

2. Numerical Simulation Methods

2.1. Governing Equations in Fluid Dynamics

This paper established governing equations based on the calculation of incompressible continuous fluids. Governing equations typically include continuity equations and momentum equations.
(1) Continuity equations
The law of conservation of mass is reflected in the continuity equation as the mass of fluid microelements flowing in and out per unit time is equal. The continuity equation is
u i x i = 0
In the formula, where i = 1, 2, and 3 are numerical indices, and x i are the 3D spatial and velocity components, respectively.
(2) Momentum equations
This equation is also named the Navier–Stokes equation, also known as the N-S equation. Its specific manifestation is the law of conservation of momentum, which can also be expressed as Newton’s second law, requiring the sum of the various forces acting on fluid microelements to be equal to the derivative of fluid momentum with respect to time. Fluent 2020 software discretizes and solves continuous Navier–Stokes (N-S) equations using the Finite Volume Method (FVM) to obtain the physical field quantities in the computational domain. The momentum equation can be expressed as
ρ u i t + ρ u i u j x j = p x j + τ i j x j + s m i
In the formula, p is static pressure, also known as pressure. The generalized source term of the momentum equation is smi, including gravity, the interaction forces between multiphase flows, etc., which is sometimes referred to as a custom source term and is often simplified to 0 in some literature. τ i j is called a stress tensor, which is the stress generated on the surface of a microelement due to the viscous effect of molecules.

2.2. Turbulence Models

Common turbulence models include the standard k-ε model, the RNG k-ε model, and the reliable model [26,27,28], each of which is suitable for different situations. The lateral outflow streamline simulated in this paper exhibits characteristics of large curvature, and the RNG k-ε model can better handle flows with significant curvature [29]. It can better capture turbulence phenomena and has wide application and high computational efficiency, and therefore, this paper adopts the RNG k-ε model combined with the SIMPLE algorithm. The specific formulas are as follows:
k formula:
ρ k t + ρ k u i x i = x j [ ( α k μ e f f k x j ] + G K ρ ε
ε formula:
ρ ε t + ρ ε u i x i = x j [ ( α k μ e f f ε x j ) ] + G 1 ε * ε k G K G 2 ε ρ ε 2 k
In the formula, α k μ e f f = μ + μ t ; α k and α ε are the turbulent Prandtl numbers, respectively, generally taken as α k = α ε = 1.39.

2.3. Free Surface Treatment

In numerical calculations where the general water level does not change significantly over time, the theoretical assumption of the “rigid lid hypothesis” is often adopted. However, the flow simulated in this paper involves overflow flow, which cannot be simulated using the rigid lid hypothesis. Therefore, free surface treatment is required during the simulation process. The VOF method is a method proposed by Hirt [30] to deal with complex water surfaces. Its approach to handling free water surfaces is as follows. Define a volume ratio function F in the grid cell, ranging from 0 to 1. F = 0 indicates that the cell is only occupied by gas, F = 1 indicates that the cell is fully filled with water, and when 0 < F < 1, it indicates that the cell contains a water–gas interface. If αw and αa represent the volume fractions of water and gas in the cell, respectively, they should satisfy the continuity relationship αw + αa = 1. αw can be solved using the following equation:
( ρ w ) t + ( ρ u i w ) x i = 0
The k-ε model of the VOF method is completely consistent with the single-phase k-ε model. There are only differences in density ρ and viscosity coefficient μ, which are obtained by the weighted average of the volume fraction of the cell. Therefore, this paper adopts a simple and effective VOF method that can describe various complex changes on the free surface.

2.4. Model Establishment and Calculation Setting

In this paper, the upper structure of a storage tank, which was built by Creo commercial modeling software (Creo Parametric 8.0.0.0), is composed of a lateral inlet channel and bottom sills, and each diversion overflow weir is established by combining the inlet channel of a porous lateral flow storage tank. The three-dimensional view of the model is shown in the Figure 1. The length of the inlet channel of the storage tank along the X direction is 45.3 m, the width along the Y direction is 4.4 m, the height along the Z direction is 4 m, the single width of the overflow weir is 4.4 m, and the height of the bottom sill is 2.5 m. The grid model was computationally solved using Ansys Fluent 2020 software. The red area below the inlet is set as the flow inlet, the upper part is set as the air inlet with standard atmospheric pressure, the upper part is set as the air inlet with standard atmospheric pressure, the six blue areas are set as the air outlet with standard atmospheric pressure, and the rest of the walls are set as the non-slip walls. The SIMPLE algorithm was used for velocity–pressure coupling, while both the turbulent kinetic energy and turbulent dissipation rate were discretized using the second-order upwind scheme. The convergence criterion was set to a residual of 10−6, with a time step size of 0.01 and a total of 5000 iterations. The calculation was considered converged when the flow rate difference between the inlet and outlet approached zero.

2.5. Grid Division

The structured grid has the advantages of high computing efficiency and high calculation accuracy. Therefore, this paper uses the structured grid to divide the lateral inlet channel, water storage chamber, and overflow weir of the tank by ICEM CFD software (ICEM CFD 2020 R2), and the overflow weir is encrypted. Keep the boundary layer mesh y+ below 100. The grid points are shown in Figure 2. Although grid encryption reduces the error in numerical computation, over-densification of the grid can accumulate rounding errors, amplify them, and decrease computational efficiency. Moreover, increasing the number of grid points can essentially prolong the computational cycle, wasting computational resources. Densification beyond a critical grid density will negligibly improve computational accuracy. To optimally balance computational accuracy and efficiency, grid independence was verified on meshes with varying numbers of grid points: 40w, 100w, 160w, 220w, 280w, and 360w. To determine the influence of grid number, the design case of incoming flow Q = 12.7 m3/s was used to simulate the head loss between the inlet and the gate. The results, as shown in Figure 2, indicate that when the grid number reaches 220w, the head loss error between the inlet and the gate is within 5%. Further grid refinement has negligible impact on computational accuracy. Therefore, considering both computational efficiency and precision, a mesh size of 220w was selected for the simulations in this study.

2.6. Verification

In order to verify the reliability of numerical simulation, a physical model was designed and constructed based on a geometrically similar normal model following the Froude similarity criterion (gravity similarity), with a selected length scale ratio (prototype: model) of λ = 10. In this model, the inlet channel and overflow weir were fabricated using acrylic (PMMA) material with a roughness coefficient of approximately 0.009. Water was supplied from the regulation tank through a pumping system, with flow rates controlled by control valves and monitored by an electromagnetic flow meter to maintain desired inflow conditions. After achieving stable flow conditions, the volume of the weirs was determined by measuring water levels using a point gauge. To ensure experimental accuracy and minimize errors caused by manual readings, the water head of each triangular weir was measured three times, with the average value taken as the weir’s head. The flow rate of the diversion overflow weir was then calculated using the triangular weir flow formula.
The reliability of numerical simulation is verified by comparing the flow distribution under numerical simulation and that under a physical model experiment. Figure 3 and Figure 4 show the physical model and numerical simulation flow distribution diagram of each overflow weir of the lateral overflow weir group of the storage tank under an inlet flow of Q = 3.6 m3/s (condition 1), Q = 7.2 m3/s (condition 2), Q = 9.5 m3/s (condition 3), and Q = 12.7 m3/s (condition 4). The results show that the numerical simulation results are in good agreement with the physical model experimental results, and the numerical simulation is believed to be reliable.

2.7. Response Surface Methodology

This study employed response surface methodology (RSM) to systematically investigate the quantitative relationships between independent variables and process responses. This includes the Plackett–Burman (PB) test and the Box–Behnken Design (BBD) response surface methodology test. The Plackett–Burman (PB) design is an efficient two-level fractional factorial experimental design. Its core purpose is to rapidly screen a large number of candidate factors and identify the few key factors that have a significant influence on the response variable using the minimum number of experimental runs. Each factor typically takes only two levels, simplifying the experimental setup. The core principle of PB design is that main effects dominate over interaction effects. The Box–Behnken Design (BBD) comprises 17 experimental runs, including 3 replicated center points. This configuration ensures rotatability and orthogonality for optimal design efficacy. Key independent variables—relative weir heights h1, h2, and h3—were selected to comprehensively explore the design space. Experimental data were fitted using a second-order polynomial model:
Y = β 0 + i = 1 3 β i X i + i = 1 3 β i i X i 2 + i < j β i j X i X j + ε
where Y denotes the predicted response value, which is Qy in the research. β0 represents the intercept coefficient; βi, βii, and βij indicate the linear, quadratic, and interaction term coefficients, respectively; and ε is the residual error term.
Model adequacy was validated through analysis of variance (p < 0.05), with coefficient of determination (R2) and adjusted R2 values assessing reliability. Ultimately, optimization analysis was performed using Design-Expert [31] to determine the optimal combination of relative weir heights (h1, h2, h3) that maximizes flow uniformity (Qy).

3. Results

3.1. Analysis of Numerical Simulation Results Without Optimization Scheme

Figure 5 shows a typical sectional view of the inlet channel of the lateral inflow storage tank. Taking Fr = 0.15 as an example, where Fr = v/(gh)0.5 (v is the flow velocity, m/s; g is the gravitational acceleration, m2/s; and H is the water depth, m), it is calculated to be stable. The flow line diagram of the inlet channel of the lateral inflow storage tank is shown in Figure 6. It can be observed that, due to the setting of the sill, the area of the inflow section is reduced, causing the main flow to shrink upward, so that the flow pressure increases and the flow rate increases, showing a trend of contraction. When the water flows through the inlet gate, the local hydraulic loss of the gate along the boundary increases due to the expansion and contraction of the section, presenting a turbulent state at the inlet. When the water flow completely enters the lateral inlet channel, it mainly shows the trend of upper and lower laminar flow. The surface layer shows the coupling flow trend of flow diversion to the overflow weir side and flow along the flow direction. The bottom shows the flow state with a low vortex due to the constraint of boundary conditions.
The A-A, B-B, and C-C sections (Figure 7) show that the flow velocity distribution in the inlet channel increases and then decreases. The flow velocity vector distribution is also dense and then sparse. This is due to the contraction of the bottom sills squeezing the main stream, which leads to flow velocity concentration. After crossing the bottom sills, the main stream’s flow velocity decreases as the cross-flow cross-section increases. This flow phenomenon is similar to the mechanism of the rectification measures in the forebay sills, which manifests as a strong flow velocity gradient after the sills and redistribution of the flow velocity. While this phenomenon can effectively increase incoming flow uniformity and reduce incoming energy, for the research object of this paper, the flow velocity gradient after the can causes stratified flow. This may increase the difference in diversion flow velocity and deteriorate the diversion ratio.
Figure 8 shows the flow velocity contour plot in the X and Y directions of the D-D section. Through analysis, it can be concluded that the No. 1 overflow weir has no bottom sill constraint at the inlet gate. The flow velocity in the X direction of the main flow behind overflow weir No. 1 is greater than that in the Y direction, which indicates that the main flow is discharged to the overflow weir side along the normal line, with a good diversion effect. The flow velocity behind overflow weir No. 2 in the Y direction is greater than that in the X direction, and the surface separation effect is weak, and the main flow flows along the streamline direction. There is no obvious change trend of the flow velocity in the X direction of overflow weirs No. 3, No. 4, and No. 5, but the flow velocity in the Y direction decreases along the streamline direction, so the diversion effect gradually becomes better.
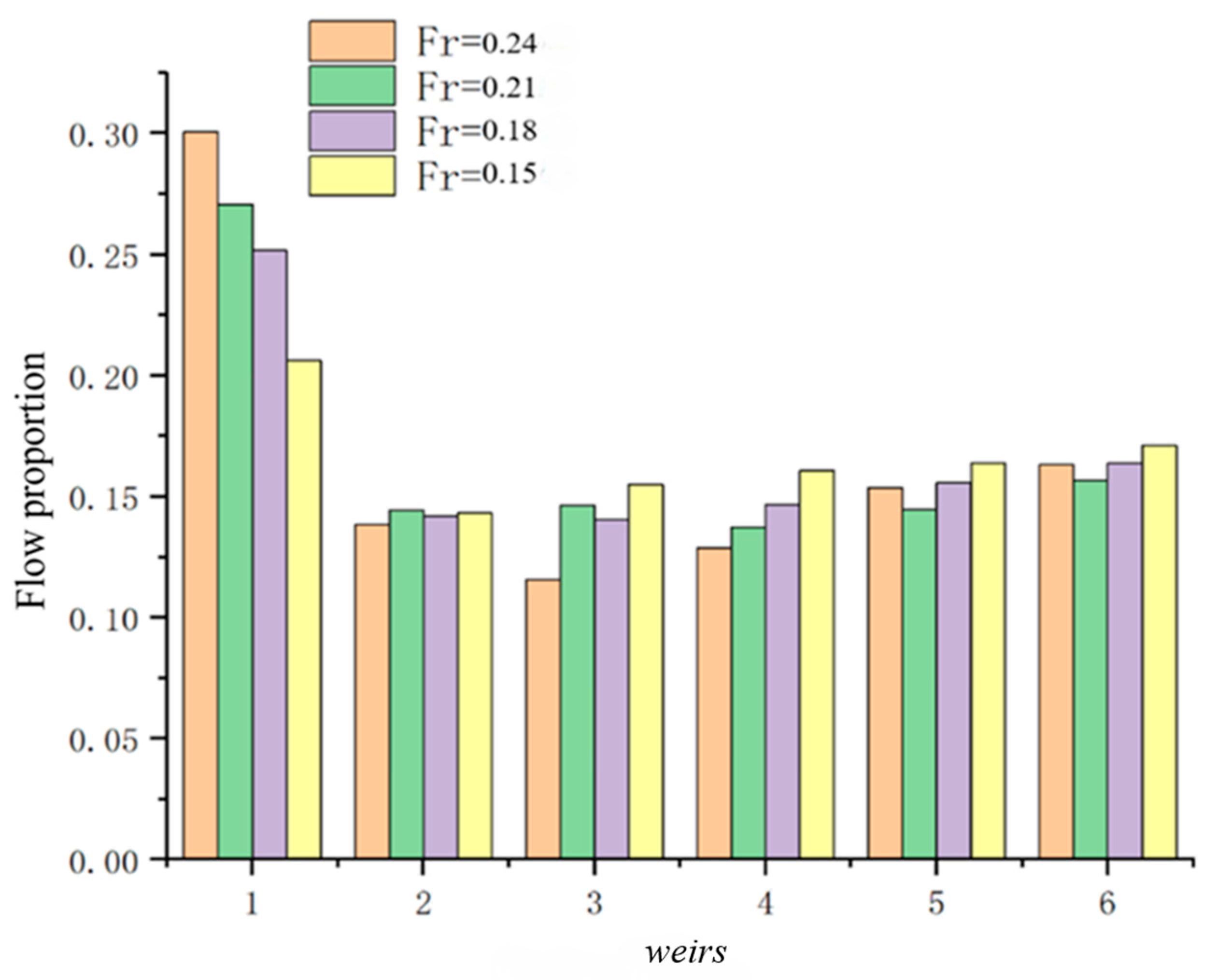
Take Fr as 0.15, 0.18, 0.21, and 0.24, respectively, to calculate the flow at the outlets of the six overflow weirs. The results are shown in Figure 9. When Fr is 0.15, the flow proportion of overflow weir No. 1 (each actual flow/total flow) is the largest, the flow of overflow weir No. 2 is the smallest, and the flow ratio of the rest of the overflow weirs increases in turn, which is consistent with the analysis results of the velocity difference in the X and Y directions. With the increase in inflow Fr, the flow proportion of overflow weir 1 gradually decreases, and the flow proportion of other overflow weirs generally increases. This is because when the inflow Fr increases, the flow velocity along the tangential direction of the streamline (flow velocity in X direction) increases, resulting in the weakening of the diversion effect, while weir 1 is the nearest to the inflow, which is the most affected.
To qualitatively describe the non-uniform flow coefficient, the non-uniform flow coefficient equation is introduced:
η i = q i q a ( i   =   1 ,   2 ,   3 ,   4 ,   5 ,   6 )
where ηi is the non-uniform flow coefficient, qi is the volume flow of each overflow weir, and qa is the average volume flow of each overflow weir.
As can be seen from the previous analysis, the incoming flow conditions and the height of the weir have an important influence on the diversion. The height of the weir can be changed by adjusting the relative height of the overflow weirs hi (overflow weir height/bottom sill height). Therefore, in order to establish the relationship between the incoming flow conditions and the relative height of the weir, and the coefficient of non-uniformity, Figure 10 shows how the non-uniformity coefficient changes when Fr ranges from 0.06 to 0.37. Figure 10 shows how the uneven coefficient changes when hi ranges from 1.25 to 1.35. The results show that with the increase in the inflow Fr, the non-uniformity coefficient of overflow weir No. 1 gradually increases, and the non-uniformity coefficient of other weirs decreases with the increase in the inflow Fr. With the increase in the relative height of the weirs, the non-uniform coefficient of overflow weir No. 1 decreases gradually, and the non-uniform coefficient of other overflow weirs increases slightly. It is analyzed that this is due to the increase in weir relative height, less and less diversion at overflow weir No. 1, and more flow passing through the partition wall of water storage chamber No. 1.

3.2. Optimization Scheme Design of the Heightened Baffle of the Overflow Weir

In the optimization stage, the physical model experiment method was adopted, and the physical experimental model, as shown in Figure 11, was established. The water flow was pumped to the inflow regulating pool by the submersible pump, and then it was diverted to the bottom gallery through the overflow weir. The flow of each diversion overflow weir was read by the triangular weir and the water level probe. The baffle is heightened for each diversion overflow weir to eliminate the velocity difference in the X and Y directions and achieve the objective of uniform diversion.
In order to investigate the overall flow distribution uniformity of the storage tank, an optimized objective function was established, as shown in the following formula. Obviously, the ideal optimal value is Qy = 0, which is difficult to reach in practice. However, the smaller the objective function is, the closer it is to 0, and the better the uniformity is:
Q y = 1 6 6 Q i Q 0 6 Q 0 × 100 %

3.3. Single-Factor Experiment and PB Experiment

In order to increase the accuracy of the response surface experiment, the distribution law of the flow uniformity was studied by changing the relative height of a single overflow weir through a single-factor experiment, and the optimal diversion characteristics corresponding to the relative weir height were obtained. The Fr was 0.24 in this experiment for subsequent research, which is the normal condition. We took the relative height of overflow weir No. 1 as 1.25~1.33, the relative height of overflow weir No. 2 as 1.21~1.33, the relative height of overflow weir No. 3 as 1.23~1.29, the relative height of overflow weir No. 4 as 1.23~1.27, the relative height of overflow weir No. 5 as 1.21~1.33, and the relative height of overflow weir No. 6 as 1.21~1.33 to study the influence law on the flow uniformity function Qy. Figure 12 show the trends of the distribution law of flow uniformity function Qy under a one-factor experiment for overflow weirs 1 to 6, respectively.
The results show that, with the increase in the relative height h1 of overflow weir No. 1, the target function value increases first and then decreases, reaching the minimum value around h1 = 1.27, reaching the minimum value around 0.065. With the gradual increase in the relative height h2 of overflow weir No. 2, the target function value of flow uniformity shows a trend of decreasing first and then increasing. The minimum value is obtained at about h2 = 1.24, and the target function value is about 0.10. With the gradual increase in the relative height h3 of overflow weir No. 3, the target function value of flow uniformity shows a trend of decreasing first and then increasing, and the minimum value is obtained at about h3 = 1.24, and the target function value is about 0.10. The relative height h4 of overflow weir No. 4 increases gradually, the target function value of flow uniformity shows a trend of decreasing first and then increasing, and the minimum value is obtained at about h4 = 1.245, and the target function value is about 0.11. When the relative height h5 of overflow weir No. 5 increases gradually, the target function value of flow uniformity shows a trend of decreasing first and then increasing, and the minimum value is obtained at about h5 = 1.25, and the target function value is about 0.11. With the gradual increase in the relative height h6 of overflow weir No. 6, the objective function value of the flow uniformity shows a trend of decreasing first and then increasing. The minimum value is obtained at the right of h6 = 1.25, and the objective function value is about 0.11. Select h1 corresponding to the minimum value of the flow uniformity function as 1.25–1.29, h2 as 1.22–1.26, h3 as 1.22–1.26, h4 as 1.23–1.27, h5 as 1.23–1.27, and h6 as 1.23–1.27 for the subsequent experiments.
The Plackett–Burman design’s factors with significant influence were screened from the following six factors: h1, h2, h3, h4, h5, and h6. Each factor was set to two levels, as shown in Table 1. The experimental scheme and experimental results are shown in the Table 2.
According to the regression results, the equation is y = −3.69304 − 0.42945h1 + 1.4353h2 + 2.08155h3 + 0.383632h4 − 0.0472847h5 − 0.256482h6. In the variance analysis process, the impact of different variables on the results is evaluated by calculating the F-value. An increase in the F-value indicates an increase in the significance of the variable’s impact. If the significance p-value of the model is less than 0.05, it is considered statistically significant. According to Table 3, the observed order of variables’ impact on the results is B > C > A > D > F > E. Furthermore, the p-value of this model is 0.0014, which is much smaller than 0.01, indicating a highly significant difference and proving that the equation has a good fit. The coefficient of determination R2 of the model is 0.9781, indicating that the model is highly statistically significant. The adjusted coefficient of determination R2adj is 0.9298, meaning that the model can explain 92.98% of the variability in the experimental results. Therefore, h1, h2, and h3 have a significant impact on the response value, while the remaining factors are non-significant influencing factors.

3.4. Response Surface Experiment Results and Analysis

The relative height of overflow weirs No. 1, No. 2, and No. 3 is increased by increasing the baffle, and the response surface experiment of the BBD (BOX-Behnken) with three factors and three levels is carried out, respectively, with the optimal value of the corresponding single-factor experiment as the horizontal range. The horizontal factors are shown in Table 4. The results of response surface experiments are shown in Table 5.
A quadratic polynomial regression equation is obtained.
Q y = 652.301 270.126 h 1 289.84 h 2 487.924 h 3 14.6952 h 1 h 2 + 33.294 h 1 h 3 + 14.2113 h 2 h 3 + 97.3967 h 1 h 1 + 117.839 h 2 h 2 + 172.872 h 3 h 3
The variance analysis of the regression equation is presented in Table 6. The F-value can be used to experiment the significance of the impact of each variable on the response value. The larger the F-value, the higher the significance of the corresponding variable. When the model significance experiment p < 0.05, it indicates that the model is statistically significant. As can be seen from Table 4 and Table 5, the order of influence of different relative weir heights is B > C > A, that is, h2 > h3 > h1. The determination coefficient R2 of the model is 0.9848, indicating that the model has high significance. R2adj = 0.9652, which can explain 96.52% of the variation in the response values of the experiment. Additionally, it is close to the prediction correlation coefficient PredR2, indicating that this experimental model fits the real data well and has practical guiding significance.
Figure 13 shows the effect of different relative weir heights on Qy. From the analysis of the figure, it can be concluded that the influence of the interaction between h1 and h2 on Qy is arched surface distribution. When h1 is fixed, with the increase in h2, Qy first declines and then rises. Similarly, when h2 is unchanged, with the increase in h1, Qy also presents the law of decreasing first and then increasing. The optimal weir height combination under the action of only considering the two factors is as follows: h1 is 1.26~1.28, and h2 is 1.23~1.24. In comparison, the longitudinal span of the curved surface in the direction of h2 is larger, which indicates that the influence of h2 on Qy is larger than that of h1. The vertical span of the interaction surface between h1 and h3 is large and the contour line presents a significant oval shape, which indicates that the interaction between the two has a significant impact on Qy. Qy changes from decreasing to increasing with the increase in h1 and h3. The optimal weir height combination considering the two factors is as follows: h1 is 1.26~1.28, and h3 is 1.24~1.25. The small longitudinal span of the interaction response surface between h2 and h3 indicates that the effect of the interaction on Qy is insignificant. In the interaction, h2 is the sensitive influence factor of Qy, causing significant change in the contour gradient in this direction. When h2 is taken as 1.23~1.24 and h3 is taken as 1.24~1.25, the value of Qy is lower. To further determine the global optimal solution, taking the minimum Qy as the optimization objective, the optimal weir height under the combined influence of h1, h2, and h3 is as follows: h1 is 1.268, h2 is 1.234, and h3 is 1.238. Under this condition, the minimum Qy predicted by the model is 0.037.

3.5. Optimization Scheme Design of Heightened Baffle of Overflow Weir

Based on the measured data from physical model experiments and the optimal combination of relative weir heights obtained through response surface methodology optimization, a numerical model is established for calculation, resulting in an internal flow field diagram. From Figure 14, the flow velocity of the inlet channel at the inlet gate of the optimized scheme is reduced due to the energy dissipation effect of the inlet flow by adding a heightened baffle, which can improve the flow pattern of the inlet flow to a certain extent. From Figure 15 and Figure 16, analysis of the flow velocity in the X and Y directions reveals that the difference in flow velocity between the two directions has significantly decreased after optimization, leading to a smaller difference in overflow velocity and thus optimizing the flow distribution characteristics. According to the weir flow formula Q = m B 2 g H 0 1.5 (where Q is the flow rate in m3/s, m is the flow coefficient, B is the weir width, and H0 is the total head above the weir in m), H0 includes both the position head and the velocity head. Since the difference in water surface height is not significant and can be neglected, it can be concluded that, given a certain flow coefficient m and width B, the flow rate is proportional to the third power of the flow velocity. As a result, when the difference in flow rates between the X and Y directions is small, the flow rates at each overflow weir are much closer together, leading to a more even distribution of flow in the storage tank as a whole.
It can be seen from Figure 17 that after the adjustment of the relative height of the overflow weir, the flow proportion of each overflow weir in the optimization scheme is obviously adjusted, and the flow proportion of each overflow weir tends to be average. Overall, the value of Qy decreased from 0.1148 to 0.0377, and the flow uniformity increased by about 87.18%. From a local point of view, the flow proportion of overflow weir No. 1 is reduced by about 3%, the flow proportion of overflow weir No. 2 is increased by about 3%, and the flow proportion of overflow weir No. 3 is increased by about 2.5%. The flow distribution of overflow weirs No. 4, No. 5, and No. 6 is basically consistent with the original scheme.

4. Conclusions

(1) The inlet channel of the porous lateral flow storage tank shows poor flow characteristics with undesirable diversion patterns. The flow field exhibits distinct hydraulic phenomena: upstream of the inlet gate, flow contraction precedes turbulent development, while downstream flow stratification occurs with vertically separated layers. Velocity gradients between the tangential (streamwise) and normal (cross-stream) directions directly contribute to outflow non-uniformity. Increasing the inflow Froude number (Fr) reduces diversion uniformity, disproportionately allocating more flow to weir 1 at the expense of weirs 2–6. Conversely, greater relative weir height (hi) improves uniformity by shifting flow distribution from weir 1 to downstream weirs (weirs 2–6).
(2) The optimization of the “combined raised baffle” significantly optimizes the flow separation characteristics. The optimal relative weir heights (hi) minimizing the divergence uniformity function Qy were determined as h1 = 1.27, h2 = 1.24, h3 = 1.24, h4 = 1.25, h5 = 1.25, and h6 = 1.25 for overflow weirs 1 through 6, respectively. The three factors that have the greatest influence on the shunt uniformity function Qy are h1, h2, and h3. The regression polynomial equation for the shunt uniformity function Qy with h1, h2, and h3 is Qy = 652.301 − 270.126h1 − 289.84h2 − 487.924h3 − 14.6952h1h2 + 33.294h1h3 + 14.211h2h3 + 97.396h1h1 + 117.839h2h2 + 172.872h3h3. The optimal diversion characteristics corresponded to weir height combinations of h1 = 1.27, h2 = 1.23, h3 = 1.24, and the minimum value of Qy was predicted to be 0.037.
(3) The hydraulic characteristics inside the inlet channel were significantly improved after optimization. The height of the high-velocity zone of the main flow in front of the inlet gate has been significantly improved compared to the preliminary scheme, and the difference between the tangential and normal flow velocities has been significantly reduced. The flow proportion of overflow weir 1 has been reduced by 3%, overflow weir 2 has been improved by 3%, and overflow weir 3 has been improved by 2.5%, resulting in an overall more even distribution of flow, as well as an improvement in its Qy of approximately 87.18% over the preliminary plan.

Author Contributions

Conceptualization, Q.G.; Methodology, Q.G.; Software, Q.G.; Validation, Q.G.; Formal analysis, Q.G.; Investigation, Q.G.; Resources, Q.G.; Data curation, Q.G.; Writing—original draft, Q.G.; Writing—review & editing, H.X. and R.Z.; Visualization, R.Z.; Supervision, J.F., H.X. and R.Z.; Project administration, J.F., H.X. and R.Z.; Funding acquisition, J.F., H.X. and R.Z. All authors have read and agreed to the published version of the manuscript.

Funding

This research was funded by The Jiangsu Innovation Support Program for International Science and Technology Cooperation: No. BZ2023047. The second batch of provincial-level scientific and technological research and Development Plan Joint Fund project of Henan Province in 2022: No. 225200810038.

Institutional Review Board Statement

Not applicable.

Informed Consent Statement

Not applicable.

Data Availability Statement

The original contributions presented in this study are included in the article. Further inquiries can be directed to the corresponding author.

Conflicts of Interest

The authors declare no conflict of interest.

References

  1. Xie, L.; Xie, M.; Xue, J. Discussion on Application and Development Direction of Storage Tank in Drainage System. China Water Wastewater 2023, 39, 37–43. [Google Scholar]
  2. Tian, L.; Yanjun, Z.; Qiuxia, G. Design Proposal Discussion for Stormwater Storage Tanks along Suzhou Creek Drainage System. Water Wastewater Eng. 2008, 34, 42–46. (In Chinese) [Google Scholar]
  3. Wang, J.; Huang, T.; Zhang, P.; Gong, Y.; Che, W. Research progress on combined sewer overflow stormwater storage tank for pollution control. Environ. Pollut. Control 2015, 37, 85. [Google Scholar]
  4. Zhao, L.; Jianglin, C.; Yutia, Z. Self-Regulating Stormwater Detention System and Its Implementation Strategies. Chin. J. Constr. Mach. 2018, 16, 535–539. (In Chinese) [Google Scholar]
  5. Juan, D.; Shuang, Z. Application of Hydraulic Flushing Facilities in Utility Tunnels. China Water Wastewater 2021, 37, 101–106. (In Chinese) [Google Scholar]
  6. Champagne, T.M.; Barkdoll, B.D.; González-Castro, J.A. Experimental Study of Scour Induced by Temporally Oscillating Hydraulic Jump in a Stilling Basin. J. Irrig. Drain. Eng. 2017, 143, 04017051. [Google Scholar] [CrossRef]
  7. Campisano, A.; Creaco, E.; Modica, C. Experimental analysis of the hydrass flushing gate and laboratory validation of flush propagation modelling. Water Sci. Technol. 2006, 54, 101–108. [Google Scholar] [CrossRef]
  8. Mingming, W.; Zhili, S.; Dong, W. Design of Sediment-Flushing-Friendly Detention Tank under Sponge City Concept. China Resour. Compr. Util. 2019, 37, 164–166. (In Chinese) [Google Scholar]
  9. Zhicheng, T.; Jian, Y. Optimization Study of Novel Combined Sewer Overflow Detention Tank Based on Numerical Simulation. China Water Wastewater 2021, 37, 114–121. (In Chinese) [Google Scholar]
  10. Ruiloba, L.C.; Gómez, M.; Russo, B.; Choi, G.; Jang, D. Toward Sustainable Management: 2D Modelling of a Self-Cleaning System to Improve Geometry in Front of the Flushing Gate. Sustainability 2018, 10, 745. [Google Scholar] [CrossRef]
  11. Tan, J.; He, S.; Du, Z. Numerical Simulation Study of Built-In Porous Obstacles to Improve the Thermal Stratification Performance of Storage Tanks. Appl. Sci. 2024, 14, 6529. [Google Scholar] [CrossRef]
  12. Juan, C.; Weidong, G.; Da, S.; Riquan, Z.; Bing, Y. Study on Flow Characteristics in Branch Channel During Bend Confluence; Yangtze River: Wuhan, China, 2008; pp. 33–35+40. (In Chinese) [Google Scholar]
  13. Weidong, G.; Jian, L.; Dong, H. Impact of Flow Division on Hydraulic Characteristics in Bend Flow; People’s Yellow River: Zhengzhou, China, 2009; Volume 31, pp. 93–944. (In Chinese) [Google Scholar]
  14. Liu, H.F. Study on Free Surface Profile in Bend Flow. J. Hydraul. Eng. 1990, 46–50. (In Chinese) [Google Scholar] [CrossRef]
  15. Gao, C.; Liu, X.; Shi, L.; Liu, W. Numerical simulation of flow pattern modification schemes for the forebay and suction sump of pumping station. J. Hydroelectr. Eng. 2011, 30, 54–59. [Google Scholar]
  16. Mi, Z.H.; Zhou, D.Q.; Mao, Y.T. Three-dimensional CFD simulation of solid-liquid two-phase flow in the pumping station forebay with sills. In Proceedings of the 26th IAHR Symposium on Hydraulic Machinery and Systems, Beijing, China, 19–23 August 2012. [Google Scholar]
  17. Xia, C.; Cheng, L.; Jiao, W.; Zhang, D. Numerical simulation on rectification measure of inverted T-shaped sill at forebay of pump station. South--North Water Transf. Water Sci. Technol. 2018, 16, 146. [Google Scholar]
  18. Ying, J.; Yu, X.; He, W.; Zhang, J. Volume of fluid model-based flow pattern in forebay of pump station and combined rectification scheme. J. Drain. Irrig. Mach. Eng. 2020, 38, 476. [Google Scholar]
  19. Xinjian, F.; Chunhai, D.; Zhijun, W.; Yanan, L.; Wei, Y. Effect of Diffusion Angle on Flow Field Structure in Pump Station Frontal Intake Forebay. Trans. Chin. Soc. Agric. Eng. 2023, 39, 92–99. (In Chinese) [Google Scholar]
  20. Li, J.H.; Zhou, J.; Xu, H.; Feng, J.A.; Tong, H.W.; Chen, Y.H.; Qian, S.T. Undesired flows in lateral-intake multiple forebays and their hydraulic implications: Case study for Asia’s largest urban water supply pumping station. Eng. Appl. Comput. Fluid Mech. 2024, 18, 2380304. [Google Scholar] [CrossRef]
  21. Can, L.; Li, C.; Chao, L. Numerical Simulation of Flow Rectification Mechanism by Bottom Sill in Pump Station Frontal Intake Forebay. J. Drain. Irrig. Mach. Eng. 2014, 32, 393–398. (In Chinese) [Google Scholar]
  22. Brunelli, C.; Castellani, F.; Garinei, A.; Biondi, L.; Marconi, M. A Procedure to Perform Multi-Objective Optimization for Sustainable Design of Buildings. Energies 2016, 9, 915. [Google Scholar] [CrossRef]
  23. Sangsefidi, Y.; MacVicar, B.; Ghodsian, M.; Mehraein, M.; Torabi, M.; Savage, B.M. Evaluation of flow characteristics in labyrinth weirs using response surface methodology. Flow Meas. Instrum. 2019, 69, 101617. [Google Scholar] [CrossRef]
  24. Zi, D.; Wang, F.; Yao, Z.; Ye, C.; Xu, J.; Li, D. Research on optimization method of pump sump parameters based on response surface model. J. Hydraul. Eng. 2017, 48, 594–607. [Google Scholar]
  25. Gao, X.; Qin, Z.; Zhu, H.; Sun, B. Multi-objective optimization of side inlet/outlet shape based on response surface model. J. Huazhong Univ. Sci. Technol. (Nat. Sci. Ed.) 2019, 47, 127–132. [Google Scholar]
  26. Yakhot, V.; Orszag, S.A. Renormalization group analysis of turbulence. I. Basic theory. J. Sci. Comput. 1986, 1, 3–51. [Google Scholar] [CrossRef]
  27. Menter, F.R. Two-equation eddy-viscosity turbulence models for engineering applications. AIAA J. 1994, 32, 1598–1605. [Google Scholar] [CrossRef]
  28. Shih, T.-H.; Liou, W.W.; Shabbir, A.; Yang, Z.; Zhu, J. A new k-ϵ eddy viscosity model for high reynolds number turbulent flows. Comput. Fluids 1995, 24, 227–238. [Google Scholar] [CrossRef]
  29. Loureiro, J.B.R.; Alho, A.T.P.; Freire, A.P.S. The numerical computation of near-wall turbulent flow over a steep hill. J. Wind. Eng. Ind. Aerodyn. 2008, 96, 540–561. [Google Scholar] [CrossRef]
  30. Hirt, C.W.; Nichols, B.D. Volume of fluid (VOF) method for the dynamics of free boundaries. J. Comput. Phys. 1981, 39, 201–225. [Google Scholar] [CrossRef]
  31. Leardi, R. Design-Expert 6.0. J. Chemom. 2003, 17, 569–570. [Google Scholar] [CrossRef]
Figure 1. Three-dimensional model of the storage tank.
Figure 1. Three-dimensional model of the storage tank.
Applsci 15 10536 g001
Figure 2. Structured mesh for the storage tank (a). Head loss trend (b).
Figure 2. Structured mesh for the storage tank (a). Head loss trend (b).
Applsci 15 10536 g002
Figure 3. Schematic diagram of physical model of storage tank.
Figure 3. Schematic diagram of physical model of storage tank.
Applsci 15 10536 g003
Figure 4. Flow distribution of each weir for experiment and numerical simulation.
Figure 4. Flow distribution of each weir for experiment and numerical simulation.
Applsci 15 10536 g004
Figure 5. Typical section selection of lateral inlet canal.
Figure 5. Typical section selection of lateral inlet canal.
Applsci 15 10536 g005
Figure 6. Block diagram of flow lines of lateral inlet canal.
Figure 6. Block diagram of flow lines of lateral inlet canal.
Applsci 15 10536 g006
Figure 7. Flow velocity contour plot of typical section.
Figure 7. Flow velocity contour plot of typical section.
Applsci 15 10536 g007
Figure 8. Contour plots of x- and y-direction magnitudes on D-D section.
Figure 8. Contour plots of x- and y-direction magnitudes on D-D section.
Applsci 15 10536 g008
Figure 9. Flow distribution trend under typical inflow Fr.
Figure 9. Flow distribution trend under typical inflow Fr.
Applsci 15 10536 g009
Figure 10. Distribution law of nonuniformity coefficient.
Figure 10. Distribution law of nonuniformity coefficient.
Applsci 15 10536 g010
Figure 11. Schematic diagram of additional heightened baffle.
Figure 11. Schematic diagram of additional heightened baffle.
Applsci 15 10536 g011
Figure 12. Single-factor experiment results.
Figure 12. Single-factor experiment results.
Applsci 15 10536 g012
Figure 13. The response surface of the relative height of the overflow weirs (h1~h3) and the flow uniformity function Qy. h1 and h2 (a); h1 and h3 (b); h2 and h3 (c).
Figure 13. The response surface of the relative height of the overflow weirs (h1~h3) and the flow uniformity function Qy. h1 and h2 (a); h1 and h3 (b); h2 and h3 (c).
Applsci 15 10536 g013
Figure 14. Comparison of velocity magnitude of inlet channel.
Figure 14. Comparison of velocity magnitude of inlet channel.
Applsci 15 10536 g014
Figure 15. Flow velocity magnitude contrast contour plot in X direction.
Figure 15. Flow velocity magnitude contrast contour plot in X direction.
Applsci 15 10536 g015
Figure 16. Flow velocity magnitude contrast contour plot in Y direction.
Figure 16. Flow velocity magnitude contrast contour plot in Y direction.
Applsci 15 10536 g016
Figure 17. Comparison of flow proportion.
Figure 17. Comparison of flow proportion.
Applsci 15 10536 g017
Table 1. PB experiment factors.
Table 1. PB experiment factors.
FactorCodingLevel
h 1 A1.251.29
h 2 B1.221.26
h 3 C1.221.26
h 4 D1.231.27
h 5 E1.231.27
h 6 F1.231.27
Note: h = 0.04
Table 2. PB experiment results.
Table 2. PB experiment results.
h 1 h 2 h 3 h 4 h 5 h 6 Q y
11−1−1−110.212812
11−11110.206227
−1−1−11−110.254147
111−1−1−10.152924
−1111−1−10.258392
1−1111−10.185054
−1−11−1110.220781
1−111−110.178206
−111−1110.274455
1−1−1−11−10.280466
−11−111−10.203499
−1−1−1−1−1−10.217502
Table 3. Analysis of variance in the PB experiment.
Table 3. Analysis of variance in the PB experiment.
Source of VariationSum of SquaresDegrees of FreedomMean SquareF-ValuepSignificance
Regression model0.01762.783 × 10−325.280.0014**
A8.853 × 10−418.853 × 10−48.040.0364*
B9.888 × 10−319.888 × 10−389.810.0002**
C5.199 × 10−315.199 × 10−347.230.0010**
D3.974 × 10−413.974 × 10−43.610.1159
E1.073 × 10−511.073 × 10−50.0970.7675
F3.158 × 10−413.158 × 10−42.870.1511
Residual5.505 × 10−451.101 × 10−4
Total0.01711
Note: R2 = 0.9681, R2adj = 0.9298, and Pred R2 = 0.8162. Significance: * indicates a significant difference, p < 0.05; ** indicates a highly significant difference, p < 0.01.
Table 4. Response surface experiment factors.
Table 4. Response surface experiment factors.
Coding h 1 h 2 h 3
−11.251.231.23
01.271.241.24
11.291.251.25
Table 5. Response surface experiment results.
Table 5. Response surface experiment results.
No. h 1 h 2 h 3 Q y
11−100.087434
20−1−10.051611
30000.045672
41010.11396
50000.038243
60000.038877
7−1010.091211
80000.046085
9−10−10.094924
10−1100.103004
1101−10.071095
12−1−100.065062
131100.11362
140−110.06728
150110.092449
1610−10.091038
170000.03881
Table 6. Response surface experiment variance analysis.
Table 6. Response surface experiment variance analysis.
Source of VariationSum of SquaresDegrees of FreedomMean SquareF-ValuepSignificance
Regression model0.01191.260 × 10−350.36<0.0001**
A3.361 × 10−413.361 × 10−413.430.0080**
B1.479 × 10−311.479 × 10−359.110.0001**
C3.953 × 10−413.953 × 10−415.800.0054**
AB3.455 × 10−513.455 × 10−51.380.2784
AC1.774 × 10−411.774 × 10−47.090.0324*
BC8.078 × 10−618.078 × 10−60.320.5877
A26.391 × 10−316.391 × 10−3255.40<0.0001**
B25.847 × 10−415.847 × 10−423.370.0019**
C21.258 × 10−311.258 × 10−350.290.0002**
Residual1.752 × 10−472.502 × 10−5
Lack-of-fit1.120 × 10−433.734 × 10−52.370.2120
Pure error6.314 × 10−541.578 × 10−5
Total0.01216
Note: R2 = 0.9848, R2adj = 0.9652, and Pred R2 = 0.8358. Significance: * indicates a significant difference, p < 0.05; ** indicates a highly significant difference, p < 0.01.
Disclaimer/Publisher’s Note: The statements, opinions and data contained in all publications are solely those of the individual author(s) and contributor(s) and not of MDPI and/or the editor(s). MDPI and/or the editor(s) disclaim responsibility for any injury to people or property resulting from any ideas, methods, instructions or products referred to in the content.

Share and Cite

MDPI and ACS Style

Gao, Q.; Feng, J.; Xu, H.; Zhang, R. Study on Optimization of Structure of Porous Lateral Flow Storage Tank. Appl. Sci. 2025, 15, 10536. https://doi.org/10.3390/app151910536

AMA Style

Gao Q, Feng J, Xu H, Zhang R. Study on Optimization of Structure of Porous Lateral Flow Storage Tank. Applied Sciences. 2025; 15(19):10536. https://doi.org/10.3390/app151910536

Chicago/Turabian Style

Gao, Qiwen, Jiangang Feng, Hui Xu, and Rui Zhang. 2025. "Study on Optimization of Structure of Porous Lateral Flow Storage Tank" Applied Sciences 15, no. 19: 10536. https://doi.org/10.3390/app151910536

APA Style

Gao, Q., Feng, J., Xu, H., & Zhang, R. (2025). Study on Optimization of Structure of Porous Lateral Flow Storage Tank. Applied Sciences, 15(19), 10536. https://doi.org/10.3390/app151910536

Note that from the first issue of 2016, this journal uses article numbers instead of page numbers. See further details here.

Article Metrics

Back to TopTop