Next Article in Journal
Acoustic Transmission Characteristics and Model Prediction of Upper and Lower Completion Pipe Strings for Test Production of Natural Gas Hydrate
Previous Article in Journal
Multi-Scenario Response of Ecosystem Service Value in High-Groundwater-Level Coal–Grain Overlapping Areas Under Dual Objective Constraints
 
 
Font Type:
Arial Georgia Verdana
Font Size:
Aa Aa Aa
Line Spacing:
Column Width:
Background:
Article

Order Allocation Strategy Optimization in a Goods-to-Person Robotic Mobile Fulfillment System with Multiple Picking Stations

1
School of Mechanical Engineering and Automation, Beihang University, Beijing 100191, China
2
School of Economics and Management, Beihang University, Beijing 100191, China
3
MOE Key Laboratory of Complex System Analysis and Management Decision, Beihang University, Beijing 100191, China
*
Author to whom correspondence should be addressed.
Appl. Sci. 2025, 15(16), 9173; https://doi.org/10.3390/app15169173
Submission received: 24 July 2025 / Revised: 19 August 2025 / Accepted: 19 August 2025 / Published: 20 August 2025
(This article belongs to the Section Applied Industrial Technologies)

Abstract

The order picking process in Goods-to-Person (G2P) systems involves a set of interdependent yet often separately addressed decisions, such as order allocation, sequencing, and rack handling. This study focuses on the joint optimization of order allocation, order sequencing, rack selection, and rack sequencing in a G2P robotic mobile fulfillment system with multiple picking stations. To model this complex problem, we develop a mathematical formulation and propose a two-phase heuristic algorithm that combines simulated annealing, genetic algorithms, and beam search for efficient solution. In addition, we explore and compare two order allocation strategies—order similarity and order association—across a range of operational scenarios. Extensive computational experiments and sensitivity analyses demonstrate the effectiveness of the proposed approach and provide insights into how strategic order allocation can significantly improve picking efficiency. Computational experiments on small-scale instances show that our algorithm achieves near-optimal solutions with up to 93.3% reduction in computation time compared to exact optimization for small cases. In large-scale scenarios, the order similarity strategy reduces rack movements by up to 44.8% and the order association strategy by up to 33.5% relative to a first-come, first-served baseline. Sensitivity analysis reveals that the association strategy performs best with fewer picking stations and lower rack capacity, whereas the similarity strategy is superior in systems with more stations or higher rack capacity. The findings offer practical guidance for the design and operation of intelligent warehousing systems.

1. Introduction

In recent years, the e-commerce industry in China has experienced explosive growth, transforming the landscape of retail and logistics. Online retail sales surged from 1.31 trillion yuan in 2012 to 15.52 trillion yuan in 2024, reflecting an impressive compound annual growth rate of 23.77%. As the volume and frequency of order transactions continue to rise, e-commerce enterprises are facing mounting pressure to enhance the efficiency and responsiveness of their logistics operations, particularly in warehouse order fulfillment.
Among the various processes in warehouse logistics, order picking remains one of the most labor-intensive and cost-sensitive tasks. It is widely regarded as a critical bottleneck in improving the overall performance of logistics centers [1]. In traditional picker-to-parts (P2P) systems, pickers travel to the storage area to retrieve items based on order lists. However, this travel, or non-value-added movement, is a major contributor to both time consumption and labor cost in order picking [2]. To meet the growing demands of high-frequency, small-batch, and multi-SKU (i.e., involving multiple Stock Keeping Units, where an SKU is a unique code used in inventory management to identify a distinct product type) order fulfillment, while also offsetting rising labor costs, goods-to-person (G2P) systems have emerged as a promising solution for modern warehouse operations. Unlike the P2P model, where “the person moves to the goods”, G2P systems reverse the paradigm by delivering goods directly to stationary pickers using automated transportation technologies, essentially, “the goods move to the person”. By eliminating unnecessary walking, G2P systems significantly improve picking efficiency and reduce labor dependency [3].
Several types of G2P systems have been developed, including Vertical Lift Modules (VLM), Automated Storage and Retrieval Systems (AS/RS), and Robotic Mobile Fulfillment Systems (RMFS) [4]. Among these, RMFS stands out for its flexibility and scalability. In RMFS, mobile robots transport shelving units or totes containing items to designated picking stations, enabling efficient and dynamic allocation of resources. This approach is particularly well-suited to the fast-paced environments of e-commerce and fashion industries [5]. Therefore, this paper focuses on the optimization and design of a mobile robot-based goods-to-person picking system, aiming to enhance operational efficiency and adaptability in large-scale, high-throughput warehouse environments.
In a G2P robotic mobile fulfillment systems, operational decision-making is typically classified into four interrelated domains: (1) inventory storage assignment, determining where SKUs are stored within racks; (2) rack storage assignment, determining storage positions for racks in the warehouse; (3) order picking optimization (also referred to as order processing scheduling), encompassing the allocation, batching, and sequencing of orders and the sequencing of racks delivered to stations; and (4) robot coordination, involving the assignment and routing of robots to execute rack transport tasks [6]. Within the order picking optimization domain, common subproblems include order allocation (deciding which picking station processes each order), order sequencing (determining the order in which each station processes its assigned orders), rack allocation (identifying which racks are needed for assigned orders), rack sequencing (determining the delivery sequence of racks to stations).
Among these, order allocation plays a foundational role in the overall optimization process. In multi-station robotic picking systems, rack movement frequency is a critical factor influencing picking efficiency. A well-designed order allocation strategy can maximize the consolidation of order tasks at each picking station, enabling robots to retrieve items for multiple orders during a single rack delivery, thereby significantly reducing the total number of rack movements and boosting overall system throughput. E-commerce often involves a large variety of SKUs and high order turnover, making efficient order distribution extremely crucial. Poor allocation can lead to excessive rack movements, increased robotic workload, and congestion at picking stations, all of which degrade system performance. Consequently, optimizing order allocation strategies to consolidate correlated orders for batch picking represents a critical strategy for enhancing efficiency in goods-to-person systems, forming the primary focus of this research.
In this study, we investigate the joint optimization problem of order allocation, order sequencing, rack allocation, and rack sequencing in a multi-station G2P system based on a mobile robot picking framework. The primary focus is to investigate how order allocation strategies across multiple picking stations affect both the rack movements and the overall order picking efficiency. We begin by building a mathematical model that captures the order-to-station and rack-to-order assignment processes, with the objective of minimizing the total number of rack movements. To solve this problem, a two-stage heuristic algorithm is developed to solve the model. We innovatively examine two order allocation strategies with different rules: the order similarity strategy and the order association strategy. These strategies are compared through simulation to evaluate their effectiveness under varying operational conditions. The results provide practical insights into how different allocation strategies impact system efficiency and offer decision support for optimizing order picking performance in G2P systems.
This study makes the following unique contributions to the literature on G2P robotic mobile fulfillment systems. First, we develop an integrated integer programming model that jointly optimizes order allocation, order sequencing, rack selection, and rack sequencing in a multi-station G2P environment—a combination of decisions that has received limited attention in prior research. Second, we compare two novel order allocation strategies, namely the order similarity strategy and the order association strategy, which are specifically designed to reduce rack movements and improve picking efficiency under shared storage conditions. Third, we design a two-stage heuristic algorithm that combines simulated annealing, genetic algorithms, and beam search to effectively solve large-scale instances that are computationally intractable for exact optimization. Finally, we conduct extensive computational experiments and sensitivity analyses to evaluate the performance of the proposed strategies under varying warehouse configurations, providing practical insights for the design and operation of intelligent warehousing systems.
The remainder of this paper is organized as follows. Section 2 reviews the related work. Section 3 presents the problem description, key assumptions, and the mathematical model formulation. Section 4 introduces the order allocation strategies investigated in this study, including the first-come, first-served (FCFS), order similarity, and order association approaches. Section 5 details the proposed two-stage heuristic algorithm, which integrates simulated annealing, genetic algorithms, and beam search to optimize order allocation, sequencing, and rack handling. Section 6 reports the results of computational experiments and evaluates the performance of the proposed strategies under different system configurations. Section 7 provides a comparative study and sensitivity analysis to examine the influence of key operational parameters. Finally, Section 8 concludes the paper and outlines directions for future research.

2. Literature Review

This paper investigates the order allocation strategy in a goods-to-person RMFS with multiple picking stations. Two streams are highly related: operational design in RMFS and order picking optimization.

2.1. Operational Design in RMFS

With the development of e-commerce, warehouse (and research on them) have gained momentum. As suggested by Boysen et al. (2019), the research on G2P in the RMFS is significantly less than its use in practice [7]. Robotic mobile fulfillment systems involve a number of different decision problems, including inventory storage assignment, order picking scheduling, rack storage assignment, and robot coordinating [3,8,9]. Among these decisions, order picking forms the heart and soul of any warehouse [1] and is highly related to our research, therefore we review it separately.
Inventory Storage Assignment: There are two types of storage assignment problems in a RMFS: one is assigning incoming SKUs to racks (i.e., inventory storage assignment) and the other is parking the rack at specific locations (i.e., rack storage assignment). Efficient placement of SKUs on storage racks is a pivotal long-term planning decision in RMFS. Commonly adopted policies include random storage (uniform allocation without considering SKU demand) [10], turnover-based storage (placing high-frequency items in more accessible pods) [11], and correlated storage (grouping SKUs often ordered together to reduce pod retrievals) [12]. Another widely studied approach in RMFS is shared storage policy, where multiple SKUs share a pod and a given SKU can be distributed across several pods; this improves pod availability and parallel picking but requires more complex inventory control [13]. Recent optimization-driven studies extend these foundations. Jiang et al. (2020) integrate the order batching problem with inventory storage assignment to minimize the total number of rack visits [14]. Zhuang et al. (2024) formulated SKU-to-rack assignment as an integer linear program jointly considering SKU demand frequency and co-occurrence affinity, significantly reducing rack retrievals over heuristic baselines [8]. In this paper, we also assume a shared policy for the storage in our study.
Rack Storage Assignment: In RMFS, rack storage assignment (also termed pod location assignment) is another strategic planning task that directly impacts order picking speed, AGV travel efficiency, and the distribution of workload in the system. It is usually short-term compared to inventory storage assignment. The core objective is to decide where racks should be placed in the storage area after they have completed either picking or replenishment operations [15]. Some research assumes a fixed return policy, where racks are moved back to their original storage slots [16]. Other studies have investigated more flexible return approaches. For example, Weidinger et al. (2018) reformulated the rack storage assignment challenge as a special interval scheduling problem [9], developed an optimization framework, and applied an adaptive large neighborhood search to identify efficient solutions. Merschformann et al. (2019) proposed a range of return strategies [17], including random allocation and nearest-available storage. Zhuang et al. (2024) addressed rack storage assignment jointly with rack task allocation, aiming to minimize either the maximum order completion time or total robot travel distance [18]. In related work, Mirzaei et al. (2019, 2021) incorporated SKU dispersion into their models, optimizing both product-to-rack and rack-to-zone assignments to lower the overall expected travel time for retrieving orders [17,19].
Robot Coordination and Support Environments: Beyond storage layout, effective coordination of the robot fleet is crucial in multi-robot G2P systems. In RMFS, coordination follows a hierarchy of planning and operational decisions. At the planning level, fleet sizing determines the number of robots required to meet workload demands without causing congestion [20], while zone definition assigns robots to fixed or dynamically changing service areas to balance responsiveness and congestion [21]. Operationally, coordination focuses on task allocation, where retrieval or replenishment requests are dispatched to robots to minimize idle time [20], and on resource management, such as optimizing battery charging and swapping policies. Zou et al. (2018) show that inductive charging yields the best performance [22]. Path planning is equally critical for ensuring collision-free navigation and efficient routing, with approaches ranging from single-vehicle routing [23] to multi-vehicle coordination [24] and solutions incorporating unit-load accessibility constraints [25]. Together, these layered decisions enable synchronized movement, reduced congestion, and higher throughput in RMFS. Recent work has advanced integrated solutions for these operational tasks; for example, SERobWaS provides a support environment for RMFS operations that combines a task scheduler, route planner, and motion planner into a unified framework [26], enabling both the design and simulation-based validation of coordination strategies. Together, these layered decisions, supported by modern integrated tools, enable synchronized movement, reduced congestion, and higher throughput in RMFS.

2.2. Order Picking Optimization

Although mobile robot picking systems are being increasingly applied in warehouse operations, research on order picking optimization in G2P systems remains relatively limited [4]. The whole order picking process involves several different steps, that is, order allocation, order sequencing, rack allocation, and rack sequencing. Most of early studies address only one or two decisions of the whole process. For example, Wu et al. (2016) addressed the sequencing of orders across multiple picking stations, aiming to minimize the outbound frequency. Their approach treated the sequencing at each station as a Traveling Salesman Problem (TSP) and solved it using an improved K-means clustering algorithm [27]. Xia et al. (2019) extended this research to explore optimal sequencing across multiple picking stations. They assumed that a rack could be directly transferred between stations without returning to storage, and proposed a model to minimize the number of rack movements. An enhed K-means algorithm was used to solve the problem [28]. Boysen et al. (2018) addressed the minimum order spread sequencing problem in a two-stage e-commerce warehouse by optimizing the release sequence from an automated storage/retrieval system to minimize expected order spread, and developed efficient algorithms supported by a simulation study for practical insights [29]. However, most of the aforementioned studies optimize warehouse operations in isolation, without jointly considering the interaction between orders and racks. In practice, many logistics centers use a shared storage strategy, where a single rack contains multiple types of products [30,31]. In such systems, a single picking station often processes orders involving multiple racks. Consequently, both the allocation and sequencing of orders affect which racks are required, and vice versa. The deployment and arrival sequence of racks can, in turn, influence task coupling within the picking station, thereby impacting the performance of the order allocation strategy and the overall efficiency of the picking process.
Boysen et al. (2017) were among the first to address the joint optimization of order and rack sequencing in a G2P system with a shared storage strategy [6]. They formulated a mixed-integer programming model to minimize the number of rack handlings and solved it using dynamic programming. Ouzidan et al. (2020) considered joint sorting at a single picking station under a dedicated storage strategy [32]. They proposed an integer linear programming model and solved it using a General Variable Neighborhood Search (GVNS) algorithm, validating the model’s effectiveness through experiments. However, both studies focused on single-station systems and did not involve order allocation across multiple stations. Xie et al. (2021) addressed this gap by investigating how to jointly assign orders and racks to multiple picking stations while allowing order splitting, and developed a heuristic algorithm to solve the problem [33]. Valle and Beasley (2021) further considered the joint optimization of rack sequencing and order/rack allocation across multiple stations within a mobile robot picking system [34]. However, their model did not incorporate order sequencing. Wang et al. (2023) developed a mathematical model to jointly optimize order assignment, order sequencing, rack selection, and rack sequencing in a robotic mobile fulfillment system with inter-station rack movement, and proposed a two-stage hybrid heuristic algorithm to minimize order throughput time and improve picking efficiency [35]. More recently, further studies have integrate order picking optimization with storage assignments and robot scheduling. Zhao et al. (2024) jointly optimizes rack selection, robot scheduling, and manual picking in human–robot collaborative G2P systems using a high-performance adaptive large-neighborhood tabu search algorithm [36]. Liu et al. (2025) study the integrated optimization of order processing and robot scheduling in G2P system [37]. For a more detailed literature review, we refer interested readers to Boysen et al. (2023) and Boysen and De Koster (2025) [3,38].
A summary of relevant literature on order picking optimization in G2P systems is given in Table 1. The most closely related studies to our work are those of Boysen et al. (2017) [6] and Wang et al. (2023) [35], both of which address the joint optimization of order and rack sequencing in rack-moving robotic fulfillment systems. Boysen et al. (2017) were the first to formalize this problem in a single-station environment, developing a mixed-integer programming model and dynamic programming–based solution to minimize rack visits, showing that optimized sequencing can substantially reduce robot fleet requirements [6]. However, their model assumes racks are dedicated to one station during planning. Wang et al. (2023) extend this to a multi-station setting, introducing the concept of inter-station rack movement, and propose an integrated MILP and two-stage hybrid heuristic to jointly optimize order assignment, order sequencing, rack selection, and rack sequencing, demonstrating that inter-station operations can markedly improve efficiency [35]. Our study builds on these foundations by also considering the multi-station case, but with a primary focus on strategic order allocation rules and evaluating their impact on rack movements and overall picking performance under varying operational scenarios.

3. Problem Description

The layout of a typical robotic mobile fulfillment system is illustrated in Figure 1. Generally, the warehouse is divided into two functional zones: the picking area, which houses multiple picking stations, and the storage area, which contains racks or racks where inventory is stored. Once an order is assigned to a picking station, an idle mobile robot receives instructions to retrieve the corresponding rack from the storage area. The robot lifts the rack and transports it to the designated picking station, where a human picker retrieves the required items.
Each picking station, as shown on the left side of Figure 1, is operated by a picker responsible for processing multiple orders simultaneously. The picker receives an ordered task list from the warehouse management system, prepares cartons accordingly, and labels them with barcodes for order tracking. These cartons are then placed into order slots on the picking table. Typically, each station is equipped with several order slots (e.g., three slots in Figure 1), allowing the picker to work on multiple orders concurrently.
When a mobile robot delivers a rack to the station, the picker retrieves items needed for the active orders and places them into the corresponding cartons. Once all required items have been picked from a rack, the robot returns it to storage or moves it to the next destination, and the next robot in the queue brings a new rack for picking. As soon as all items for a particular order are picked, its carton is sent to the next processing stage (i.e., usually packing and shipping). The vacated order slot is then assigned to the next pending order in the task list, and the picker prepares a new carton to begin the process again.

3.1. Research Scope and Objective

This study investigates the order picking optimization problem in a robotic mobile fulfillment system (RMFS) equipped with multiple picking stations. The optimization problem considered in this work jointly addresses order allocation, order sequencing, rack selection, and rack sequencing under a shared storage strategy. Two order allocation strategies are examined in detail: the order similarity strategy and the order association strategy. Their performance is compared against a first-come, first-served baseline to evaluate efficiency gains under different warehouse configurations.
This problem presents several challenges: (1) the high computational complexity arising from the combinatorial nature of jointly optimizing multiple interdependent decisions, (2) the need to handle problem instances of practical size that reflect realistic warehouse operations, and (3) the relative scarcity of studies that simultaneously consider all four decision components in a multi-station context. In particular, capturing the interdependencies between orders and racks is difficult: allocating orders to stations affects which racks are needed, while rack sequencing influences order batching efficiency, making direct optimization computationally demanding.
To manage this complexity, we restrict our attention to high-level allocation and scheduling problems. Detailed operational aspects such as path planning, collision avoidance, and traffic management for AGVs are assumed to be handled by the warehouse control system and are therefore not explicitly modeled. This abstraction allows the optimization to focus on rack movement minimization as a proxy for AGV utilization. We note that, the exclusion of path planning and collision avoidance means that the computed travel times in our model reflect idealized conditions without congestion or routing conflicts. In real operations, additional delays may occur due to detours, queuing, or safety margins, especially in high-traffic areas. As a result, the absolute values of system performance metrics (e.g., total completion time) may be underestimated. However, since all strategies are evaluated under the same assumptions, the relative performance rankings and observed efficiency gains from minimizing rack movements are expected to remain valid.

3.2. Assumptions

Assuming that there are S picking stations and R storage racks storing M types of goods, the system receives a batch of customer orders O = ( O i ) i = 1 N within a given time period. These orders need to be distributed as evenly as possible among the S picking stations, where each station can be assigned at most Q orders, and can process up to C orders simultaneously. After order allocation, the orders at each station are sequenced to determine the picking order. Once an order is completed, it is immediately replaced by the next order in the queue. To fulfill the item requirements of each order, automated guided vehicle (AGV) will transport racks from the storage area to the corresponding picking stations. During this process, the arrival sequence of racks must be optimized to improve overall picking efficiency.
In this study, the mobile robot picking system is subject to the following assumptions:
  • Shared storage strategy: The logistics center adopts a shared storage strategy, meaning that each product type may be stored on multiple racks.
  • Uniform order priority: All orders are considered to have equal priority. Emergency order insertion is not allowed.
  • No order splitting: Orders must be picked in full and cannot be split across different picking sessions.
  • Sufficient inventory: The quantity of each product on the racks is sufficient, and no stock-out occurs.
  • AGV movement abstraction: Detailed AGV movement, including path planning, traffic management, and collision avoidance, is assumed to be managed by the warehouse control system and is not explicitly modeled.
  • Homogeneous picking stations: All picking stations are functionally and operationally uniform.
These assumptions reflect typical practices in e-commerce operations, where end-customer orders usually include small quantities of each product. Moreover, inventory levels are regularly updated and racks replenished in a timely manner to ensure item availability. The primary advantage of a homogeneous system is its simplicity and scalability. By standardizing processes and equipment, a facility can achieve streamlined management, predictable performance, and simplified workforce training. Under these conditions, it is reasonable to assume that the picker can complete the retrieval of a specific item from a single rack. Therefore, the system only needs to consider whether the rack contains the required product, without considering the exact quantity of each item on the rack or in the order.

3.3. Model

Based on the problem description and the assumptions presented above, an integer programming model is established to solve this problem. The parameters and decision variables used in the model are defined in Table 2 and Table 3, respectively.
In line with the study scope described in Section 3.1, AGV operations such as path planning and collision avoidance are not explicitly modeled. The objective of the model is to minimize the total number of rack movements, as shown in Equation (1). This objective is selected for two primary reasons. First, it helps reduce the transportation of rack from the storage area to the picking area, thereby lowering the picking time and enhancing overall picking efficiency [39]. Second, fewer rack movements imply a reduced demand for mobile robots (AGVs) in the system. Consequently, this objective function supports the goal of reducing robot deployment and lowering operational costs.
min s = 1 S t = 2 T d s t
where
d s t = 1 2 j = 1 R z j s t z j s ( t 1 )
The constraints are defined as:
s = 1 S x i s = 1 , i = 1 , , N
i = 1 N x i s Q , s = 1 , , S
y i s t x i s , i = 1 , , N , s = 1 , , S , t = 1 , , T
x i s t = 1 T y i s t , i = 1 , , N , s = 1 , , S
i = 1 N y i s t C , s = 1 , , S , t = 1 , , T
y i s t + y i s t 1 + y i s t , i = 1 , , N , s = 1 , , S , 1 t < t < t T
s = 1 S z j s t 1 , t = 1 , , T , j = 1 , , R
j = 1 R z j s t 1 , s = 1 , , S , t = 1 , , T
t = 1 T w m i s t x i s u i m , i = 1 , , N , m = 1 , , M , s = 1 , , S
2 w m i s t y i s t u i m + j = 1 R z j s t v j m , i = 1 , , N , m = 1 , , M , s = 1 , , S , t = 1 , , T
Among the constraints, Constraint (3) ensures that each order is assigned to only one picking station, preventing duplicate allocation. This aligns with Assumption (1) regarding non-splitting of orders. Constraint (4) represents the capacity limitation of each picking station, where each station can be assigned up to Q orders. This is intended to distribute orders as evenly as possible across all picking stations. Constraint (5) is the order allocation and picking constraint, which stipulates that an order can only be picked at a certain station if it has been assigned to that station. Constraint (6) defines the time constraint for order completion, requiring that once an order is assigned to a station, it must be picked within T rounds at that station. Constraint (7) limits the number of orders that can be picked simultaneously in a single round at each picking station, up to a maximum of C orders. Constraint (8) ensures that the picking process for each order is continuous. A new order can only be started after the current one is completely picked. Constraints (9) and (10) relate to racks handling. Constraint (9) states that each rack can serve at most one picking station per round. Constraint (10) requires that each picking station can receive at most one rack per round. Constraints (11) and (12) are also related to racks. Constraint (11) captures the relationship between items and orders: if an order is picked at a specific station, all items in that order must be picked at that station throughout all rounds. Constraint (12) is a joint constraint on items, orders, and racks. It ensures that items can only be picked from a rack if that rack contains the required items for the currently active order.

4. Order Allocation Strategy

In this study, we compare the picking efficiency of two order allocation strategies: the order similarity strategy and the order association strategy. As a benchmark, we also include the most basic queuing and allocation strategy, First-Come, First-Served (FCFS), for comparative analysis.

4.1. First-Come, First-Served (FCFS) Strategy

Under the FCFS strategy, orders are assigned to picking stations strictly according to their arrival order. For example, consider a system with three picking stations { S 1 , S 2 , S 3 } and a sequence of incoming orders ( O i ) i = 1 6 . According to the FCFS rule, O 1 is assigned to S 1 , O 2 to S 2 , and  O 3 to S 3 . The next round repeats the same assignment order, so O 4 goes to S 1 , O 5 to S 2 , and  O 6 to S 3 . The final allocation is as follows: picking station S 1 receives orders { O 1 , O 4 } , S 2 receives { O 2 , O 5 } , and  S 3 receives { O 3 , O 6 } .
The FCFS strategy is widely used in practice due to its simplicity and ease of implementation. However, because it ignores order similarity and rack sharing potential, it generally leads to higher rack movements and lower overall efficiency compared to more advanced strategies.

4.2. Order Similarity Strategy

The order similarity strategy allocates orders to picking stations based on the similarity of the product types they contain. The idea is to group orders with a higher proportion of overlapping item types to the same picking station. This approach can increase rack reuse and reduce the total number of rack movements.
The similarity between two orders is calculated as follows. Let O i = ( u i 1 , u i 2 , , u i M ) T represent the presence of M types of goods in order i. Then, the Jaccard similarity coefficient [40,41,42] is adopted to define the similarity between order i and order i as:
O S S i i = O i T O i O i T O i + O i T O i O i T O i
Intuitively, this similarity metric measures the proportion of product types shared between two orders relative to their total product types. A higher value indicates that the orders have more items in common, increasing the potential for rack reuse if they are assigned to the same station.

4.3. Order Association Strategy

While the order similarity strategy emphasizes the number of overlapping product types between orders, it does not account for where the items are stored. Under a shared storage strategy, different orders may still be considered correlated even if they contain different items—so long as those items are stored on the same rack. Based on this principle, the concept of order association [43] is introduced. The order association of two orders is defined as the number of pairs of related goods shared between them, where goods are considered related if they are stored on the same rack.
Let the order association of i and i be denoted by O A S i i , thus, it is quantified by two components: (1) I A S i and I A S i : the internal association score of orders i and i , i.e., the number of related item pairs within the each individual order. (2) E A S i i : the external association score between orders i and i , i.e., the number of related item pairs across the two orders stored on the same rack. Then, the order association of i and i can be computed as:
O A S i i = I A S i + I A S i + E A S i i
For example, suppose the warehouse has three racks:
R 1 = { A , C } , R 2 = { A , D } , R 3 = { B , D } ,
and the order information is:
O 1 = { A , C } , O 2 = { A , B , D } .
Then:
  • For order O 1 , there is one internal item pair ( A , C ) , so I A S 1 = 1 .
  • For order O 2 , there are two internal item pairs: ( A , D ) , ( B , D ) , thus I A S 2 = 2 .
  • Across orders O 1 and O 2 , there are three related pairs stored on the same rack: ( A , A ) , ( A , D ) , ( C , A ) , so E A S 12 = 3 .
Therefore, the total order association between O 1 and O 2 is:
O A S 12 = I A S 1 + I A S 2 + E A S 12 = 1 + 2 + 3 = 6 .
In essence, both the order similarity and order association strategies aim to group highly related orders at the same picking station to increase rack reuse and improve picking efficiency. However, due to the complex interaction between the number of picking stations and the variety of products stored per rack, the performance of these two strategies differs in practice. A detailed computational analysis is provided in the following sections.

5. Two-Stage Heuristic Algorithm

To evaluate the effectiveness of the two order allocation strategies and to enhance the picking efficiency in a RMFS with multiple picking stations, a two-stage heuristic algorithm as shown in Figure 2 is proposed. This algorithm, referred to as the SA-GA algorithm, combines simulated annealing and genetic algorithms. The first stage applies a Simulated Annealing (SA) approach to solve the order allocation problem, while the second stage addresses order sequencing and rack allocation, where a Genetic Algorithm (GA) is used to generate order sequences, and a Beam Search (BS) algorithm is used to derive the optimal rack sequence for a given order sequence.

5.1. Order Allocation Algorithm

A SA-based heuristic, named OA-SA, is designed to solve the order allocation problem. The objective is to maximize the total order similarity or association within each picking station. The pseudocode for the OA-SA is shown in Algorithm 1. The algorithm begins by randomly generating an initial order assignment O using a random/balanced procedure (InitialAssign) and setting f = F ( O ) . In each iteration, two distinct orders i j are selected uniformly at random, and their assigned picking stations are swapped to produce a new assignment O . The new assignment is evaluated based on the total order association/similarity score f = F ( O ) , and we compute Δ = f f . If  O yields a higher score, it replaces the current solution; in addition, we update the historical best ( O * , f * ) when f > f * . Otherwise, it is accepted with a probability P = min { 1 , exp ( Δ / T ) } , i.e., the Metropolis acceptance rule under the current temperature T. This process continues for N iter inner iterations at each temperature. Then, the temperature is updated by geometric cooling, T β T , and the process repeats until the temperature falls below a predefined threshold T min , at which point the algorithm terminates.
Algorithm 1: OA-SA: Simulated Annealing for Order Allocation
Applsci 15 09173 i001

5.2. Order Sequencing and Rack Allocation Algorithm

5.2.1. Rack Sequencing Algorithm

When sorting racks, we consider a single station and we assume that the order sequence S e q _ o r d e r is known (station-specific, of length N) and the aim is to minimize the number of rack movements.
This problem is formulated as a dynamic programming process. The state at each stage is represented as: α 1 , , α C , β , l , where α c is the set of unpicked items for the order currently occupying capacity slot c (within the station, not a station index), β is the index of the next order to be introduced from S e q _ o r d e r , and l is the cumulative number of rack moves processed so far (it increases by 1 whenever a rack is brought to the station), rather than a time index. For example, the initial state is initialized by letting k = min { C , N } : α 1 , , α k , , , _ C k , β = k + 1 , l = 0 , where α 1 , , α k are the item-sets of the first k orders in S e q _ o r d e r . At each stage, a decision is made to choose the next rack j to visit the station from the set of R racks. To reduce computational complexity, if rack j does not contain any required items for any of the current orders (i.e., if  c = 1 C ( α c r j ) = ), this decision is excluded.
At a state α 1 , , α C , β , l , a feasible rack j serves all active slots simultaneously: α c α c r j for c = 1 , , C . Let C be the number of slots that become empty. While C > 0 and β N , we immediately refill the empty slots with the next orders S e q _ o r d e r [ β ] , S e q _ o r d e r [ β + 1 ] , and let the same rack j serve them as well, i.e.,  α new α r j , and then increase β accordingly. After this rack visit, the move counter increases by one, yielding the next state α 1 , , α C , β , l + 1 . The dynamic programming ends when the terminal state α 1 = , , α C = , β = N + 1 , l is reached. At this point, all orders have been picked, and the optimal value l represents the minimal number of rack moves for the given S e q _ o r d e r .
To handle large-scale instances, we extend the dynamic programming approach with a Beam Search Algorithm (BSA) to form the BS-RS algorithm. The pseudocode for the BS-RS is shown in Algorithm 2. Beam search is a heuristic graph search method that retains only the most promising nodes at each level to reduce the search space. The number of retained nodes is controlled by a parameter called beam width (BW), which specifies how many top-ranked states are kept for exploration in the next stage. To determine which states to retain, we use the value of β as the sorting criterion. Specifically, all candidate states at the current stage are sorted in descending order based on their β values, and the top B W states are selected as the beam nodes for the next iteration; the search stops as soon as a terminal state appears in the beam, and its l is reported as the minimal rack moves for that S e q _ o r d e r .
Algorithm 2: BS-RS: Beam-Search Rack Sequencing (per station; capacity C ≥ 1)
Applsci 15 09173 i002

5.2.2. Order Sequencing Algorithm (GA-OS)

To find the optimal order sequence that minimizes the total number of rack movements, we adopt a Genetic Algorithm named GA-OS. The pseudocode for the GA-OS is shown in Algorithm 3. Genetic algorithms are population-based metaheuristics inspired by natural evolution. First, an initial population Chrom is randomly generated, where each individual represents a randomly generated order sequence (for a given station s). For each individual, the BS–RS algorithm (with beam width B W and capacity C) is used to determine the optimal rack sequence and the corresponding minimal number of rack movements l π , and individuals are selected using stochastic universal sampling (SUS). New generations are produced using crossover and mutation operators. This process continues for a maximum number of generations MAXGEN, at which point the algorithm terminates, outputting the best order sequence and its rack sequence, together with the minimal number of rack movements l s * .
Algorithm 3: GA-OS: Genetic Algorithm for Order Sequencing (per station)
Applsci 15 09173 i003

6. Computational Study

In this section, the proposed algorithm is implemented using MATLAB R2020a, and a numerical experiments are conducted to evaluate its performance. The experiments also compare the effects of different order allocation strategies on system efficiency.
All algorithms were implemented in MATLAB R2020a and executed on a personal computer equipped with an Intel® Core™ i7-1165G7 CPU, 16 GB of RAM, and a 64-bit Windows 10 operating system. The key parameter settings for the SA–GA algorithm are as follows: crossover probability = 0.99, mutation probability = 0.10, population size = 60, maximum number of genetic generations = 100, initial temperature ( T 0 ) = 1000, cooling rate ( β ) = 0.95, maximum iterations per temperature level = 100, termination temperature ( T m i n ) = 0.01, and beam width ( B W ) = 20. These values were determined through preliminary testing to balance solution quality and computational efficiency. Consistent with this selection, a brief one-at-a-time sensitivity check on small instances showed stable solution quality with predictable runtime scaling across the SA–GA and B W settings, thereby supporting these defaults. Unless otherwise stated, all computational experiments reported in this study used the above settings.
For each experimental condition we ran independent replications and report mean and standard deviation (SD). When confidence intervals (CIs) are shown, we use two-sided 95 % t-intervals for the mean, x ¯ ± t 0.975 , n 1 s / n , with n the number of replications and s the sample SD. For pairwise comparisons in Section 5 we compute the per-run percent improvement 100 × ( Baseline Method ) / Baseline (lower is better; positive = improvement) and report two-sided paired t-tests on these per-run percent changes ( n = 10 unless stated). We verified that Wilcoxon signed-rank tests lead to the same qualitative conclusions.

6.1. Instance Generation

The order dataset, denoted as OrderSet, is generated through a MATLAB-based simulation program. The total number of orders N and the number of product types M are exogenously specified. It is assumed that the frequency with which each product m { 1 , 2 , , M } appears in orders follows a Poisson distribution with mean λ m . To reflect the realistic scenario where some products are more popular while others are less frequently ordered, the mean values λ m are drawn from a uniform distribution over the interval [ 0.2 N , 0.8 N ] . This setting ensures a balanced representation of products across the order set, avoiding extreme sparsity or density.
The rack dataset, denoted as RackSet, is generated based on three input parameters: the total number of racks in the warehouse R, the number of product types M, and the maximum number of distinct product types K that can be stored on a single rack. The number of product types assigned to each rack j is randomly sampled from a uniform distribution over the interval [ 1 , K ] . To guarantee that every product required in the order dataset can be picked, it is ensured that each product type appears in at least one rack across the entire warehouse.
All test instances in this study are synthetically generated following the procedures described above to allow controlled, systematic variation of key parameters (e.g., number of orders, number of product types, rack capacity, number of picking stations) for sensitivity analysis. While no confidential operational data from actual warehouses were available, the instance generation process was designed to reflect realistic patterns observed in e-commerce fulfillment centers. In particular, product demand frequencies were drawn from a Poisson distribution with heterogeneous means to capture the common “long-tail” demand profile, and rack compositions were constrained to ensure complete coverage of the product set while respecting practical storage limits (maximum number of distinct product types per rack). This synthetic approach enables reproducibility, facilitates benchmarking across different system configurations, and avoids biases that could arise from a single real-world dataset.

6.2. Performance of the Two-Stage Heuristic Algorithm

Based on the instance generation rules described above, we design small-, medium-, and large-scale computational experiments to verify the effectiveness of the proposed model and algorithm. In the small-scale scenario, the exact solution of the integer programming model is obtained using the optimization solver Gurobi. The performance of the proposed algorithm is then compared with the exact solution to verify its validity. The parameters are set as follows: N = 10 , M = 4 , R = 5 , C = 2 , K = 3 , S = 1 , and B W = 20 . Table 4 presents the results of the small-scale experiments. In all experimental tables, the column ’Target value’ refers to the total number of rack movements, which is the primary optimization objective in this study. Compared with Gurobi, the SA-GA algorithm reduced computation time by 93.3% and 92.4%. Furthermore, in the majority of the test instances, the algorithm was able to obtain the optimal solution, demonstrating its effectiveness for small-scale problems.
Due to the limitations of Gurobi in handling larger problem sizes and variable inputs, the algorithm is employed to solve the medium- and large-scale instances. For the medium-scale experiment, the parameters are configured as: N = 20 , M = 5 , R = 20 , C = 2 , K = 3 , S = 3 , and B W = 20 . The results are shown in Table 5. The first-come, first-served (FCFS) strategy is used as a baseline for comparison. The results reveal that both the order similarity strategy and the order association strategy outperform the FCFS approach. Specifically, the order similarity strategy reduces the number of rack moves by 25.9% compared to FCFS, while the order association strategy achieves a 10.6% reduction.
To further evaluate scalability, three large-scale test instances are constructed. The parameters for each instance are presented in Table 6. Each instance is executed 10 times, and the average value is reported as the final result. The experimental outcomes for the large-scale scenarios are summarized in Table 7. Consistent with the results from the small- and medium-scale experiments, both the order similarity and order association strategies outperform the FCFS strategy in the large-scale setting. Under the SA-GA algorithm, the order similarity strategy achieves the largest reduction in rack movements–up to 44.8% compared with FCFS, while the order association strategy reaches improvements of up to 33.5% reduction. In terms of runtime, FCFS remained fastest, order similarity incurred only moderate slowdowns, and order association was notably slower. Overall, order similarity provided the best balance between solution quality and computational time in large-scale settings.
We also consider performing order sequencing and rank allocation after each SA iteration in the first phase, based on the current optimized order assignments. The optimization results, based on two order allocation strategies and Instance 1 in Table 6 are shown in Figure 3. It can be observed that as the SA algorithm continues to iterate, both the order similarity and association increase. Furthermore, the optimization results obtained from the final solution of the first phase are generally better than those obtained from intermediate iterations. This demonstrates the rationality of the two-phase optimization algorithm. This two-phase approach not only yields desirable results but also significantly saves computational time compared to a nested optimization approach.
In single-station RMFS, Boysen et al. (2017) show that optimizing order sequencing can more than halve the required robot fleet and cut total driving time by ⩾21% (often > 40%) [6]; Yang et al. (2021) jointly optimize order sequencing with rack scheduling and report up to 59.8% fewer robotic tasks versus benchmark policies (50.8% vs. rack-only; 32.0% vs. order-only) [44]. Their studies model a single picking station without multi-station interactions. In multi-station settings, Wang et al. (2023) allow inter-picking-station sharing of racks [35]; compared with a regime where a rack serves only one station (SINGLE), the regime where a rack may serve multiple stations before returning (MULTIPLE) reduces rack moves by 32.58% with random order assignment and 31.06% with similarity-based assignment; within either regime (SINGLE or MULTIPLE), switching from random to similarity-based assignment yields an additional 2.30% and 1.78% saving, respectively. In the same parts-to-picker setting, Valle and Beasley (2021) jointly address order and rack allocation and rack sequencing for multiple pickers—minimizing the number of racks used—and on their largest instances (O = 200) their heuristics achieve average percentage deviations of −6.95% versus CPLEX while reducing runtime [34]. Against this backdrop, our multi-station, two-phase SA–GA with similarity/association-based allocation achieves −25.9% and −10.6% rack-move reductions on medium instances versus FCFS (with p < 0.001 and p ≈ 0.041, respectively) and up to −44.8% (similarity) and −33.5% (association) on large instances, while small-scale runs are ≈93% faster than Gurobi—showing that smart order allocation together with per-station sequencing is effective in multi-station RMFS.

7. Comparative Study and Sensitivity Analysis

In this section, we conduct a comparative study of the two order allocation strategies (i.e., order similarity and order association strategies) through a series of sensitivity analyses. The objective is to examine how key parameters affect the performance of the system.
At each parameter value (for S, C, and K) we run n = 5 replications per strategy and plot the mean objective with two-sided 95 % t-CIs. We compare Similarity vs. Association using two-sided paired t-tests across replications and apply a Holm–Bonferroni correction across all values of the same parameter ( α = 0.05 ). Asterisks in the figures indicate adjusted p < 0.05 on the strategy with the lower mean. The parameters used in the experiments are as follows: N = 100 , R = 50 , and B W = 25 .

7.1. Sensitivity Analysis

7.1.1. Effect of the Number of Picking Stations

We first investigate the impact of the number of picking stations S on system performance. The number of picking stations is varied from 1 to 8, while the other parameters are fixed at M = 10 , C = 2 , and K = 2 . Under both the order similarity and order association strategies, the relationship between the number of picking stations and the total number of rack-handling operations is shown in Figure 4. It can be observed that, for both strategies, the number of rack movements initially decreases as S increases, reaches a minimum, and then begins to rise. This indicates that an appropriate increase in the number of picking stations can improve system efficiency by reducing rack movements. However, excessive picking stations may disperse related orders, leading to more frequent rack moves. Therefore, the number of picking stations should be determined with a holistic view, considering both system performance and practical constraints such as labor, space, and cost.

7.1.2. Effect of the Number of Orders Processed Simultaneously at Each Picking Station

Next, we analyze the effect of the number of orders that each picking station can process simultaneously, denoted by C. The value of C is varied from 1 to 10, with other parameters set as M = 10 , S = 3 , and K = 4 . The resulting relationship between C and the total number of rack-handling operations is shown in Figure 5. The results show that, for both allocation strategies, increasing C leads to a general decline in the number of rack movements. Furthermore, the slope of the curve gradually decreases, indicating that the marginal benefit of increasing C diminishes over time. In practice, system designers must balance efficiency gains with picker workload. Setting C too high could increase operator burden and picking time, potentially reducing overall efficiency.

7.1.3. Effect of the Maximum Number of Item Types Stored per Rack

This subsection investigates the influence of the maximum number of item types that can be stored on each rack, denoted by K. The value of K is varied from 1 to 8, while the other parameters are set to M = 10 , S = 3 , and C = 1 . Figure 6 illustrates the relationship between K and the number of rack-handling operations under both order allocation strategies. As K increases, the total number of rack movements tends to decrease for both strategies. A higher K means each rack can store more item types, making it more likely that a single rack can fulfill multiple order requirements, thus reducing the need for rack movements. However, the rate of decrease in rack movements slows as K increases, indicating diminishing returns in efficiency. Therefore, K should not be set excessively high. Overly large K values offer limited additional efficiency gains and may complicate restocking operations. Warehouse managers should select an optimal K based on practical considerations and system constraints.

7.2. Comparison of Order Allocation Strategies

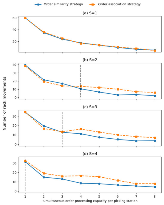
This section compares the performance of the two order allocation strategies—order similarity and order association strategies. Based on the sensitivity analysis presented earlier, we observe that for a single picking station system, the results of the two strategies are nearly identical. However, in multi-picking station systems, the effectiveness of each strategy varies depending on the number of picking stations S and the maximum number of item types stored per rack K. Therefore, we further investigate how these strategies perform under different combinations of S and K, and draw the following conclusions.
(1) For a single picking station system ( S = 1 ), the results of the two order allocation strategies are consistent.
As shown in Figure 7a, when the number of picking stations S = 1 , the curves for both strategies overlap almost entirely, regardless of the value of K. That is, the effects of the two order allocation strategies with single picking station are almost the same. This is because all orders are assigned to a single station, and no actual order allocation decision needs to be made. Therefore, the performance of the two strategies under this configuration is effectively the same.
(2) For a multi-picking station system ( S > 1 ), the order association strategy performs better when S is small, while the order similarity strategy is superior when S is large.
Figure 7b–d illustrate this trend. When S = 2 , the order association strategy outperforms the similarity strategy for K = 2 and K = 3 . When S = 3 , the association strategy is only superior at K = 2 . When S = 4 , the order similarity strategy consistently outperforms the association strategy across all K values. To highlight the performance crossover point between the two strategies, we introduce a “reverse superiority line”—a vertical dashed line at the value of K where the similarity strategy starts outperforming the association strategy. To the left of this line, the association strategy performs better; to the right, the similarity strategy is superior. As S increases, this crossover point shifts leftward, further reinforcing the conclusion that: The order association strategy is more effective when the number of picking stations is small, while the order similarity strategy becomes superior as the number of picking stations increases.
(3) For a multi-picking station system ( S > 1 ), the association strategy is more effective when K is small, while the similarity strategy becomes more advantageous as K increases.
Intuitively, the order association strategy considers both the similarity between orders and the relationship between orders and racks. When K is small, racks can store fewer item types, and precise alignment between order and rack becomes more critical—favoring the association strategy. However, as shown in Figure 7b–d, as K increases, the total number of rack movements under the similarity strategy decreases more significantly and eventually falls below that of the association strategy. This occurs because the similarity strategy tends to group orders with highly overlapping items. While this can locally optimize rack usage, it may lead to poor global balance by leaving some orders loosely grouped and requiring more rack visits. As K increases, the probability of overlapping item types between racks and orders also increases, which dilutes the advantage of the association strategy and allows the similarity strategy to become more effective. Backtracking through the simulation results shows that in cases where an order i perfectly overlaps in item types with a rack j, the association between order i and others becomes disproportionately high. Consequently, order allocation strategies that maximize total order association may overly favor a subset of orders centered around i, leading to suboptimal global rack usage. With a larger K, however, racks can serve more diverse orders, and the relative benefit of association-based grouping diminishes—making the order similarity strategy more effective overall.
To further explain the rationale behind the differences in strategy performance, an illustrative example is provided. The sets of orders and racks-contained goods in this example are shown in Table 8 and Table 9, respectively. The other parameters are set as follows: S = 2 , K = 2 , and C = 2 .
The order association matrix is as follows:
A s s = 1 1 0 2 1 0 1 1 0 1 1 1 1 3 2 1 1 1 1 1 0 1 1 3 1 1 1 1 0 0 2 3 3 6 4 3 3 3 2 2 1 2 1 4 2 1 2 2 0 1 0 1 1 3 1 1 1 1 0 0 1 1 3 3 1 1 1 1 1 1 1 1 1 3 2 1 1 1 1 1 0 1 0 2 0 0 1 1 1 0 1 1 0 2 1 0 1 1 0 1
The resulting order allocations under the two different strategies (i.e., order similarity and order association strategies) are presented in Table 10.
From Table 8 and Table 9, it can be observed that order O 4 and rack R 3 share the exact same set of goods, namely { C , D } . Consequently, in the order association matrix, order O 4 exhibits significantly higher association values with other orders (reflected in the fourth row and column of the matrix) compared to the associations among other orders. As a result, under the order association strategy, orders O 1 , O 2 , O 3 , O 4 , O 5 are grouped and assigned to picking station S 1 , while the remaining orders O 6 , O 7 , O 8 , O 9 , O 10 are assigned to picking station S 2 . In this case, although the orders assigned to S 1 under the association strategy are closely related and can be served by only two rack movements, the orders assigned to S 2 are more scattered and involve four different item types, requiring three separate rack movements to fulfill all picking requirements. Therefore, the total number of rack movements under the association strategy is five. In contrast, the order similarity strategy results in a more balanced allocation. Each picking station is allocated a set of orders that can be fulfilled with only two rack movements, resulting in a total of four rack moves—one fewer than under the association strategy. This example clearly demonstrates that overly favoring highly correlated orders may lead to unbalanced allocation, increasing the overall number of rack movements. A more even allocation, as achieved by the similarity strategy, can be more efficient in certain scenarios.

8. Conclusions

In this study, we investigate the order picking optimization problem in a goods-to-person (G2P) robotic mobile fulfillment system with multiple picking stations. Aiming to minimize the total number of rack movements, we propose an integrated integer programming model that jointly addresses order allocation and rack scheduling. To enhance system performance, two heuristic order allocation strategies—namely, the order similarity strategy and the order association strategy—are developed and compared against the conventional first-come, first-served (FCFS) strategy.
Our computational results demonstrate that both the order similarity and order association strategies significantly outperform the FCFS baseline in terms of reducing rack movements and improving overall picking efficiency. More importantly, the relative performance of the two proposed strategies varies depending on system configuration parameters, particularly the number of picking stations S and the maximum number of item types per rack K. Specifically, when the system operates with a relatively small number of picking stations, the order association strategy yields better results. Conversely, when S is larger, the order similarity strategy demonstrates superior performance. Similarly, for systems in which racks can store only a limited number of item types (i.e., small K), the association-based allocation is more effective, while a higher K favors the similarity-based approach.
In addition, a comprehensive sensitivity analysis is conducted to explore the impact of key operational parameters. The results reveal that system designers and warehouse managers should carefully balance multiple trade-offs when configuring the G2P system. For instance, while increasing the number of picking stations can reduce rack movements up to a certain point, an excessive number of stations may lead to fragmentation of correlated orders and diminish overall system efficiency. Therefore, decisions regarding the number of stations should take into account not only manpower and physical constraints but also potential gains in throughput. Similarly, although increasing the storage capacity per rack (i.e., higher K) can improve rack utilization and reduce rack movements, this benefit exhibits diminishing returns and may lead to increased replenishment complexity. Thus, setting an appropriate value for K requires a balance between operational efficiency and manageability in replenishment tasks.
The findings of this study offer several practical implications for managers of automated warehouse systems. First, selecting the appropriate order allocation strategy should be based on the number of picking stations and the maximum storage capacity per rack: the order association strategy is more effective when the system has fewer picking stations or limited item types per rack, whereas the order similarity strategy is preferable for larger numbers of stations or greater rack capacities. Second, the results highlight that excessive expansion of picking stations may lead to diminished efficiency by dispersing correlated orders, suggesting that capacity expansion decisions should balance throughput gains with the risk of increased rack movements. Third, the diminishing returns observed from increasing rack storage capacity indicate that warehouse managers should avoid overinvestment in excessively large racks, as replenishment complexity may outweigh marginal efficiency gains. Finally, the proposed heuristic algorithm can be incorporated into warehouse management systems to provide near-optimal allocation and sequencing decisions in real time, enabling more agile and cost-effective operations.
This study advances the theoretical understanding of order allocation and scheduling in goods-to-person (G2P) robotic mobile fulfillment systems. By jointly modeling order allocation, order sequencing, rack allocation, and rack sequencing in a multi-station environment, our work extends existing research that has typically addressed these problems in isolation. The introduction of the order similarity and order association strategies provides a theoretical framework for analyzing how different allocation logics interact with warehouse configuration parameters, such as the number of picking stations and the maximum number of item types per rack. Furthermore, the proposed two-stage heuristic algorithm contributes to the literature on large-scale combinatorial optimization in warehouse operations by demonstrating how hybrid metaheuristics can effectively address computationally intractable joint scheduling problems.
While the proposed model and algorithms demonstrate strong performance across various scenarios, several limitations should be acknowledged. First, the study assumes uniform order priority and does not consider emergency order insertion, which may occur in real-world settings. Second, the experiments are based on simulated data, and although parameter settings were designed to reflect realistic warehouse operations, empirical validation in an operational facility would strengthen the findings. Third, the model assumes sufficient inventory levels and does not account for stock-out events or replenishment constraints, which could influence allocation decisions in practice.
Future research could extend the current work in several ways. Incorporating priority-based order handling and dynamic order arrivals would allow for modeling more realistic operational environments. Integrating stock-out risk and replenishment scheduling into the optimization framework could further enhance its applicability. Additionally, applying the proposed strategies and algorithms to empirical case studies in operational warehouses would provide valuable validation and potentially uncover context-specific adaptations. Finally, exploring the use of advanced machine learning techniques to predict optimal allocation strategies based on historical order patterns could open new opportunities for adaptive and real-time decision support in G2P systems.

Supplementary Materials

The MATLAB code used in this study can be downloaded at: https://www.mdpi.com/article/10.3390/app15169173/s1.

Author Contributions

Conceptualization, J.Z. and C.Z.; Formal analysis, J.Z. and C.Z.; Funding acquisition, C.Z.; Resources, C.Z.; Software, J.Z.; Validation, C.Z.; Visualization, J.Z.; Writing—original draft, J.Z. and C.Z.; Writing—review & editing, C.Z. All authors have read and agreed to the published version of the manuscript.

Funding

This research was supported by Beijing Natural Science Foundation (grant number: 9252007) and the Fundamental Research Funds for the Central Universities, China.

Data Availability Statement

Data and codes are provided in Supplementary Files.

Acknowledgments

During the preparation of this manuscript/study, the authors used Rubriq of AJE for the purposes of translation. The authors have reviewed and edited the output and take full responsibility for the content of this publication.

Conflicts of Interest

The authors declare no conflicts of interest.

Abbreviations

The following abbreviations are used in this manuscript:
AGVAutomated Guided Vehicle
BSBeam Search Algorithm
BS-RSBeam-Search for Rack Sequencing
CPLEXIBM ILOG CPLEX Optimizer
CPUCentral Processing Unit
EASExternal Association Score
FCFSFirst-Come, First-Served
G2PGoods-to-Person
GAGenetic Algorithm
GA-OSGenetic Algorithm for Order Sequencing
GVNSGeneral Variable Neighborhood Search
IASInternal Association Score
ILPInteger Linear Programming
MILPMixed-Integer Linear Programming
MIPMixed Integer Programming
OAOrder Allocation
OA-SASimulated Annealing for Order Allocation
OASOrder Association Score
OSOrder Sequencing
P2PPicker-to-Parts
RAMRandom Access Memory
RMFSRobotic Mobile Fulfillment Systems
RSRack Sequencing
SASimulated Annealing
SA-GASimulated Annealing–Genetic Algorithm (two-stage heuristic)
SDStandard Deviation
SKUStock Keeping Unit
SUSStochastic universal sampling
TSPTraveling Salesman Problem
VLMVertical Lift Modules

References

  1. De Koster, R.; Le-Duc, T.; Roodbergen, K.J. Design and control of warehouse order picking: A literature review. Eur. J. Oper. Res. 2007, 182, 481–501. [Google Scholar] [CrossRef]
  2. Kordos, M.; Boryczko, J.; Blachnik, M.; Golak, S. Optimization of warehouse operations with genetic algorithms. Appl. Sci. 2020, 10, 4817. [Google Scholar] [CrossRef]
  3. Boysen, N.; De Koster, R. 50 years of warehousing research—An operations research perspective. Eur. J. Oper. Res. 2025, 320, 449–464. [Google Scholar] [CrossRef]
  4. Azadeh, K.; De Koster, R.; Roy, D. Robotized and automated warehouse systems: Review and recent developments. Transp. Sci. 2019, 53, 917–945. [Google Scholar] [CrossRef]
  5. de Koster, R. Automated and robotic warehouses: Developments and research opportunities. Logist. Transp. 2018, 38, 33–40. [Google Scholar] [CrossRef]
  6. Boysen, N.; Briskorn, D.; Emde, S. Parts-to-picker based order processing in a rack-moving mobile robots environment. Eur. J. Oper. Res. 2017, 262, 550–562. [Google Scholar] [CrossRef]
  7. Boysen, N.; De Koster, R.; Weidinger, F. Warehousing in the e-commerce era: A survey. Eur. J. Oper. Res. 2019, 277, 396–411. [Google Scholar] [CrossRef]
  8. Zhuang, Y.; Zhou, Y.; Hassini, E.; Yuan, Y.; Hu, X. Improving order picking efficiency through storage assignment optimization in robotic mobile fulfillment systems. Eur. J. Oper. Res. 2024, 316, 718–732. [Google Scholar] [CrossRef]
  9. Weidinger, F.; Boysen, N.; Briskorn, D. Storage assignment with rack-moving mobile robots in KIVA warehouses. Transp. Sci. 2018, 52, 1479–1495. [Google Scholar] [CrossRef]
  10. Yuan, R.; Graves, S.C.; Cezik, T. Velocity-based storage assignment in semi-automated storage systems. Prod. Oper. Manag. 2019, 28, 354–373. [Google Scholar] [CrossRef]
  11. Yu, Y.; deKoster, R.B.; Guo, X. Class-based storage with a finite number of items: Using more classes is not always better. Prod. Oper. Manag. 2015, 24, 1235–1247. [Google Scholar] [CrossRef]
  12. Yang, P.; Yang, K.; Qi, M.; Miao, L.; Ye, B. Designing the optimal multi-deep AS/RS storage rack under full turnover-based storage policy based on non-approximate speed model of S/R machine. Transp. Res. Part E Logist. Transp. Rev. 2017, 104, 113–130. [Google Scholar] [CrossRef]
  13. Lamballais, T.; Roy, D.; De Koster, M. Estimating performance in a robotic mobile fulfillment system. Eur. J. Oper. Res. 2017, 256, 976–990. [Google Scholar] [CrossRef]
  14. Jiang, M.; Leung, K.; Lyu, Z.; Huang, G.Q. Picking-replenishment synchronization for robotic forward-reserve warehouses. Transp. Res. Part E Logist. Transp. Rev. 2020, 144, 102138. [Google Scholar] [CrossRef]
  15. Zhang, J.; Tian, L.; Zhou, Z. Joint optimization of item and pod storage assignment problems with picking aisles’ workload balance in robotic mobile fulfillment systems. Complexity 2024, 2024, 9260431. [Google Scholar] [CrossRef]
  16. Wang, Y.; Man, R.; Zhao, W.; Zhang, H.; Zhao, H. Storage assignment optimization for fishbone robotic mobile fulfillment systems. Complex Intell. Syst. 2022, 8, 4587–4602. [Google Scholar] [CrossRef]
  17. Merschformann, M.; Lamballais, T.; De Koster, M.; Suhl, L. Decision rules for robotic mobile fulfillment systems. Oper. Res. Perspect. 2019, 6, 100128. [Google Scholar] [CrossRef]
  18. Zhuang, Y.; Zhou, Y.; Hassini, E.; Yuan, Y.; Hu, X. Rack retrieval and repositioning optimization problem in robotic mobile fulfillment systems. Transp. Res. Part E Logist. Transp. Rev. 2022, 167, 102920. [Google Scholar] [CrossRef]
  19. Mirzaei, M.; Zaerpour, N.; De Koster, R. The impact of integrated cluster-based storage allocation on parts-to-picker warehouse performance. Transp. Res. Part E Logist. Transp. Rev. 2021, 146, 102207. [Google Scholar] [CrossRef]
  20. Yuan, Z.; Gong, Y.Y. Bot-in-time delivery for robotic mobile fulfillment systems. IEEE Trans. Eng. Manag. 2017, 64, 83–93. [Google Scholar] [CrossRef]
  21. Roy, D.; Nigam, S.; de Koster, R.; Adan, I.; Resing, J. Robot-storage zone assignment strategies in mobile fulfillment systems. Transp. Res. Part E Logist. Transp. Rev. 2019, 122, 119–142. [Google Scholar] [CrossRef]
  22. Zou, B.; Xu, X.; Gong, Y.; De Koster, R. Evaluating battery charging and swapping strategies in a robotic mobile fulfillment system. Eur. J. Oper. Res. 2018, 267, 733–753. [Google Scholar] [CrossRef]
  23. De Ryck, M.; Versteyhe, M.; Debrouwere, F. Automated guided vehicle systems, state-of-the-art control algorithms and techniques. J. Manuf. Syst. 2020, 54, 152–173. [Google Scholar] [CrossRef]
  24. Digani, V.; Hsieh, M.A.; Sabattini, L.; Secchi, C. Coordination of multiple AGVs: A quadratic optimization method. Auton. Robot. 2019, 43, 539–555. [Google Scholar] [CrossRef]
  25. Mirzaei, M.; De Koster, R.B.; Zaerpour, N. Modelling load retrievals in puzzle-based storage systems. Int. J. Prod. Res. 2017, 55, 6423–6435. [Google Scholar] [CrossRef]
  26. Xidias, E.K.; Zacharia, P.T.; Nearchou, A. SERobWaS: A support environment for a robot-based warehousing system. Int. J. Adv. Manuf. Technol. 2023, 126, 3905–3919. [Google Scholar] [CrossRef]
  27. Wu, Y.; Meng, X.; Wang, Y.; Hu, J.c. Order sequence optimization for part-to-picker order picking system. J. Mech. Eng. 2016, 52, 206–212. [Google Scholar] [CrossRef]
  28. Xia, D.; Wu, Y.; Wang, Y.; Zou, X. Order sequence optimization for parts-to-picker intelligent robot system. J. Shenzhen Univ. Sci. Eng. 2019, 36, 15. [Google Scholar] [CrossRef]
  29. Boysen, N.; Fedtke, S.; Weidinger, F. Optimizing automated sorting in warehouses: The minimum order spread sequencing problem. Eur. J. Oper. Res. 2018, 270, 386–400. [Google Scholar] [CrossRef]
  30. Bartholdi, J.J., III; Hackman, S.T. Warehouse and Distribution Science; Supply Chain and Logistics Institute, School of Industrial and Systems Engineering, Georgia Institute of Technology: Atlanta, GA, USA, 2008. [Google Scholar]
  31. Weidinger, F.; Boysen, N.; Schneider, M. Picker routing in the mixed-shelves warehouses of e-commerce retailers. Eur. J. Oper. Res. 2019, 274, 501–515. [Google Scholar] [CrossRef]
  32. Ouzidan, A.; Sevaux, M.; Olteanu, A.L.; Pardo, E.G.; Duarte, A. On solving the order processing in picking workstations. Optim. Lett. 2022, 16, 5–35. [Google Scholar] [CrossRef]
  33. Xie, L.; Thieme, N.; Krenzler, R.; Li, H. Introducing split orders and optimizing operational policies in robotic mobile fulfillment systems. Eur. J. Oper. Res. 2021, 288, 80–97. [Google Scholar] [CrossRef]
  34. Valle, C.A.; Beasley, J.E. Order allocation, rack allocation and rack sequencing for pickers in a mobile rack environment. Comput. Oper. Res. 2021, 125, 105090. [Google Scholar] [CrossRef]
  35. Wang, B.; Yang, X.; Qi, M. Order and rack sequencing in a robotic mobile fulfillment system with multiple picking stations. Flex. Serv. Manuf. J. 2023, 35, 509–547. [Google Scholar] [CrossRef]
  36. Zhao, Z.; Cheng, J.; Liang, J.; Liu, S.; Zhou, M.; Al-Turki, Y. Order picking optimization in smart warehouses with human–robot collaboration. IEEE Internet Things J. 2024, 11, 16314–16324. [Google Scholar] [CrossRef]
  37. Liu, Z.; Tian, F.; Zuo, X.; Lin, S. Integrated Optimization of Order Processing and Robot Scheduling in Parts-to-Picker System. IEEE Trans. Intell. Transp. Syst. 2025, 26, 6865–6880. [Google Scholar] [CrossRef]
  38. Boysen, N.; Schwerdfeger, S.; Stephan, K. A review of synchronization problems in parts-to-picker warehouses. Eur. J. Oper. Res. 2023, 307, 1374–1390. [Google Scholar] [CrossRef]
  39. Hanson, R.; Medbo, L.; Johansson, M.I. Performance characteristics of robotic mobile fulfilment systems in order picking applications. IFAC-PapersOnLine 2018, 51, 1493–1498. [Google Scholar] [CrossRef]
  40. Jaccard, P. Étude comparative de la distribution florale dans une portion des Alpes et des Jura. Bull. Soc. Vaudoise Sci. Nat. 1901, 37, 547–579. [Google Scholar]
  41. Niwattanakul, S.; Singthongchai, J.; Naenudorn, E.; Wanapu, S. Using of Jaccard Coefficient for Keywords Similarity. In Proceedings of the International MultiConference of Engineers and Computer Scientists, Hong Kong, 13–15 March 2013; Volume 1, pp. 380–384. [Google Scholar]
  42. Bag, S.; Kumar, S.K.; Tiwari, M.K. An efficient recommendation generation using relevant Jaccard similarity. Inf. Sci. 2019, 483, 53–64. [Google Scholar] [CrossRef]
  43. Xiang, X.; Liu, C.; Miao, L. Storage assignment and order batching problem in Kiva mobile fulfilment system. Eng. Optim. 2018, 50, 1941–1962. [Google Scholar] [CrossRef]
  44. Yang, X.; Hua, G.; Hu, L.; Cheng, T.; Huang, A. Joint optimization of order sequencing and rack scheduling in the robotic mobile fulfilment system. Comput. Oper. Res. 2021, 135, 105467. [Google Scholar] [CrossRef]
Figure 1. Working layout of the robotic mobile fulfillment system.
Figure 1. Working layout of the robotic mobile fulfillment system.
Applsci 15 09173 g001
Figure 2. Flowchart of the two-stage heuristic (SA–GA) algorithm. Note. Sequential integration: OA–SA first returns one allocation O * ; then, for each station, GA–OS searches order sequences and calls BS–RS ( B W , C ) to evaluate each candidate, returning l π . The best per station is l s * and the final objective is l total = s = 1 S l s * .
Figure 2. Flowchart of the two-stage heuristic (SA–GA) algorithm. Note. Sequential integration: OA–SA first returns one allocation O * ; then, for each station, GA–OS searches order sequences and calls BS–RS ( B W , C ) to evaluate each candidate, returning l π . The best per station is l s * and the final objective is l total = s = 1 S l s * .
Applsci 15 09173 g002
Figure 3. Convergence history when using a nested approach. (a): Order similarity strategy. (b): Order association strategy.
Figure 3. Convergence history when using a nested approach. (a): Order similarity strategy. (b): Order association strategy.
Applsci 15 09173 g003
Figure 4. Relationship between the number of picking stations and the number of rack movements. Note. (* adjusted p < 0.05 ; 95% t-CIs.)
Figure 4. Relationship between the number of picking stations and the number of rack movements. Note. (* adjusted p < 0.05 ; 95% t-CIs.)
Applsci 15 09173 g004
Figure 5. Relationship between the number of orders processed simultaneously per picking station and the number of rack movements. Note. (* adjusted p < 0.05 ; 95% t-CIs.)
Figure 5. Relationship between the number of orders processed simultaneously per picking station and the number of rack movements. Note. (* adjusted p < 0.05 ; 95% t-CIs.)
Applsci 15 09173 g005
Figure 6. Relationship between the maximum number of item types per rack and the number of rack movements. Note. (* adjusted p < 0.05 ; 95% t-CIs.)
Figure 6. Relationship between the maximum number of item types per rack and the number of rack movements. Note. (* adjusted p < 0.05 ; 95% t-CIs.)
Applsci 15 09173 g006
Figure 7. Comparison of order similarity and order association strategies under different values of S and K.
Figure 7. Comparison of order similarity and order association strategies under different values of S and K.
Applsci 15 09173 g007
Table 1. Summary of relevant literature on order picking optimization in G2P systems.
Table 1. Summary of relevant literature on order picking optimization in G2P systems.
ReferenceOrder
Allocation
Order
Sequencing
Rack
Allocation
Rack
Sequencing
Solution
Method
Wu et al. (2016) [27] Improved K-means heuristic
Xia et al. (2019) [28] Weighted K-means heuristic
Boysen et al. (2018) [29] Heuristic + simulation
Ouzidan et al. (2020) [32] ILP + GVNS heuristic
Xie et al. (2021) [33] Heuristic
Valle & Beasley (2021) [34] Heuristic
Boysen et al. (2017) [6] MIP + dynamic programming
Wang et al. (2023) [35]MILP + two-stage hybrid heuristic
This studyTwo-phase heuristic
Table 2. Description of model parameters.
Table 2. Description of model parameters.
ParameterMeaning and Description
TNumber of picking rounds (time periods).
NNumber of orders to be picked.
RNumber of storage racks.
KMaximum number of distinct item (goods) types that can be stored on a single rack.
SNumber of picking stations.
QAllocation capacity per station: the maximum number of orders that can be assigned to each station.
CConcurrent processing capacity per station: the maximum number of orders that can be processed simultaneously at each station.
MNumber of item (goods) types (SKU types).
UOrder–item incidence matrix: u i m = 1 if item m is contained in order i, and  u i m = 0 otherwise.
VRack–item incidence matrix: v j m = 1 if item m is stored on rack j, and  v j m = 0 otherwise.
Table 3. Description of model variables.
Table 3. Description of model variables.
VariableMeaning and Description
d s t 0–1 variable; equals 1 if the identity of the rack served at station s changes between rounds t 1 and t, and 0 otherwise.
x i s 0–1 variable; equals 1 if order i is assigned to station s, and 0 otherwise.
y i s t 0–1 variable; equals 1 if order i is active (being picked) in round t at station s, and 0 otherwise.
z j s t 0–1 variable; equals 1 if rack j is visited in round t at station s, and 0 otherwise.
w m i s t 0–1 variable; equals 1 if item m of order i is picked in round t at station s, and 0 otherwise.
Table 4. Small-scale results: Gurobi vs. heuristics (10 runs).
Table 4. Small-scale results: Gurobi vs. heuristics (10 runs).
GurobiFirst Come First Served (FCFS)Order SimilarityOrder Association
Target Value Time (s) Target Value Time (s) Target Value Time (s) Target Value Time (s)
Run 12242.5420.24210.62211.48
Run 22139.6020.37210.60210.57
Run 32182.1320.48210.34212.13
Run 42226.6520.48211.69213.83
Run 53524.4830.4038.56312.24
Run 62281.2220.25212.88213.36
Run 72211.1630.95210.41311.95
Run 8258.7120.30210.30211.49
Run 92161.0920.63211.19215.45
Run 102152.7130.67212.85214.34
Statistic Summary
Mean2.10218.032.300.482.1010.942.2012.68
SD0.32124.260.480.220.321.290.421.51
% impr (p in parentheses; positive = improvement for lower-is-better metrics)
vs. Gurobi−10.0%
(0.168)
+99.7%
(<0.001)
0.0%
(–)
+93.3%
(<0.001)
−5.0%
(0.343)
+92.4%
(<0.001)
vs. FCFS+6.7%
(0.168)
−2639.5%
(<0.001)
+3.3%
(0.343)
−3015.6%
(<0.001)
Cor vs. Sim−5.0%
(0.343)
−16.6%
(0.004)
“% impr” uses the mean of per-run percent changes: 100 × ( Baseline Method ) / Baseline (positive = improvement). Values in parentheses are two-sided p-values from paired t-tests on per-run percent changes ( n = 10 ). For “Similarity vs. Gurobi” on target, all paired differences were 0, so p is omitted.
Table 5. Algorithm results for a medium-scale calculations.
Table 5. Algorithm results for a medium-scale calculations.
First Come First Served (FCFS)Order SimilarityOrder Association
Target Value Time (s) Target Value Time (s) Target Value Time (s)
Run 161.0457.6558.19
Run 261.0657.8858.56
Run 361.6658.75610.11
Run 493.6269.90710.93
Run 561.8659.07610.51
Run 692.6658.88710.63
Run 761.5449.1869.98
Run 861.6548.94510.10
Run 972.0469.88510.00
Run 1062.0048.91711.32
Statistic Summary
Mean6.701.914.908.905.9010.03
SD1.250.760.740.720.880.98
% impr (p in parentheses)
vs. FCFS+25.9%
(<0.001)
−416.9%
(<0.001)
+10.6%
( 0.0406 )
−478.7%
(<0.001)
Cor vs. Sim−23.0%
( 0.0234 )
−12.7%
(<0.001)
“% impr” uses the mean of per-run percent changes: 100 × ( Baseline Method ) / Baseline (positive = improvement). p-values are from paired t-tests on the per-run percent changes (two-sided, n = 10 ).
Table 6. Parameters for large-scale instances.
Table 6. Parameters for large-scale instances.
InstanceNRMSCK
Instance 1505010333
Instance 25010010333
Instance 310010010333
Table 7. Algorithm results for a large-scale calculation.
Table 7. Algorithm results for a large-scale calculation.
First Come First Served (FCFS)Order SimilarityOrder Association
Instance Target Value Time (s) Target Value Time (s) Target Value Time (s)
Instance 1
Mean18.90268.7710.90285.2116.60322.51
SD1.2052.801.1046.770.9763.15
% impr
vs. FCFS+42.3%
(<0.001)
−7.3%
( 0.811 )
+11.8%
( 0.001 )
−22.5%
( 0.015 )
Cor vs. Sim−53.2%
(<0.001)
−41.8%
( 0.011 )
Instance 2
Mean19.90128.9211.00137.6413.20179.79
SD0.7421.881.2518.892.5728.48
% impr
vs. FCFS+44.8%
(<0.001)
−7.9%
( 0.089 )
+33.5%
(<0.001)
−40.6%
(<0.001)
Cor vs. Sim−21.6%
( 0.041 )
−31.2%
(<0.001)
Instance 3
Mean18.6095.0716.20105.9218.10144.33
SD1.1710.431.3213.661.2911.40
% impr
vs. FCFS+12.8%
(<0.001)
−11.4%
( 0.001 )
+2.5%
( 0.309 )
−52.4%
(<0.001)
Cor vs. Sim−12.2%
( 0.004 )
−37.4%
(<0.001)
Each mean and SD are computed over 10 runs per instance. “% impr” uses the mean of per-run percent changes: 100 × ( Baseline Method ) / Baseline (positive = improvement). Parentheses show two-sided p-values from paired t-tests on per-run percent changes (df = 9 per instance).
Table 8. The set of racks-contained goods in illustrative example.
Table 8. The set of racks-contained goods in illustrative example.
Rack R 1 R 2 R 3 R 4
Goods { B , C } { A , C } { C , D } { D }
Table 9. The sets of orders in illustrative example.
Table 9. The sets of orders in illustrative example.
Order O 1 O 2 O 3 O 4 O 5 O 6 O 7 O 8 O 9 O 10
Goods { A } { C } { D } { C , D } { A , D } { D } { C } { C } { B } { A }
Table 10. Order allocation results under two order allocation strategies.
Table 10. Order allocation results under two order allocation strategies.
OrderOrder Similarity StrategyOrder Association Strategy
Orders assigned to picking station S 1 B ,   C , D ,   C ,   C ,   { C } A ,   A , D ,   { C } D ,   { C , D }
Orders assigned to picking station S 2 A ,   A ,   A , D ,   D ,   { D } A ,   B ,   C ,   C ,   { D }
Disclaimer/Publisher’s Note: The statements, opinions and data contained in all publications are solely those of the individual author(s) and contributor(s) and not of MDPI and/or the editor(s). MDPI and/or the editor(s) disclaim responsibility for any injury to people or property resulting from any ideas, methods, instructions or products referred to in the content.

Share and Cite

MDPI and ACS Style

Zhao, J.; Zhang, C. Order Allocation Strategy Optimization in a Goods-to-Person Robotic Mobile Fulfillment System with Multiple Picking Stations. Appl. Sci. 2025, 15, 9173. https://doi.org/10.3390/app15169173

AMA Style

Zhao J, Zhang C. Order Allocation Strategy Optimization in a Goods-to-Person Robotic Mobile Fulfillment System with Multiple Picking Stations. Applied Sciences. 2025; 15(16):9173. https://doi.org/10.3390/app15169173

Chicago/Turabian Style

Zhao, Junpeng, and Chu Zhang. 2025. "Order Allocation Strategy Optimization in a Goods-to-Person Robotic Mobile Fulfillment System with Multiple Picking Stations" Applied Sciences 15, no. 16: 9173. https://doi.org/10.3390/app15169173

APA Style

Zhao, J., & Zhang, C. (2025). Order Allocation Strategy Optimization in a Goods-to-Person Robotic Mobile Fulfillment System with Multiple Picking Stations. Applied Sciences, 15(16), 9173. https://doi.org/10.3390/app15169173

Note that from the first issue of 2016, this journal uses article numbers instead of page numbers. See further details here.

Article Metrics

Back to TopTop