Next Article in Journal
Acoustic Analysis of Semi-Rigid Base Asphalt Pavements Based on Transformer Model and Parallel Cross-Gate Convolutional Neural Network
Next Article in Special Issue
An Optimized Immersive Virtual Reality System for Exposure Therapy in Treating Amaxophobia
Previous Article in Journal
Comparison of NMPC and GPU-Parallelized MPPI for Real-Time UAV Control on Embedded Hardware
Previous Article in Special Issue
The Role of Virtual and Augmented Reality in Industrial Design: A Case Study of Usability Assessment
 
 
Font Type:
Arial Georgia Verdana
Font Size:
Aa Aa Aa
Line Spacing:
Column Width:
Background:
Article

Simulator Sickness in Maritime Training: A Comparative Study of Conventional Full-Mission Ship Bridge Simulator and Virtual Reality

Faculty of Navigation, Maritime University of Szczecin, 70-500 Szczecin, Poland
*
Authors to whom correspondence should be addressed.
Appl. Sci. 2025, 15(16), 9123; https://doi.org/10.3390/app15169123
Submission received: 17 July 2025 / Revised: 10 August 2025 / Accepted: 14 August 2025 / Published: 19 August 2025
(This article belongs to the Special Issue Recent Advances and Application of Virtual Reality)

Abstract

Featured Application

The results of this study provide direct guidance for maritime institutions planning to integrate virtual reality (VR) into their instructional and training programs. By identifying specific symptoms and triggers of simulator sickness, these findings can assist educators in refining VR simulations to enhance realism while minimizing discomfort. Consequently, this may lead to greater training effectiveness, improved participant well-being, and broader acceptance of VR technology within maritime education.

Abstract

Maritime training increasingly employs conventional full-mission bridge simulators (FMBS) and virtual reality (VR). This study aims to compare the incidence and severity of simulator sickness induced by a conventional FMBS and an equivalent VR system during a maritime navigation task. Thirty-two final-year maritime students with no prior VR experience participated in two 30 min sessions (conventional FMBS first, then VR after a minimum two-day break), performing an identical navigational watch scenario as observers. Pre- and post-session SSQ scores were collected using a standardized questionnaire, supplemented by post-study qualitative interviews. The results indicated no significant change in SSQ scores following the conventional simulator session. In the VR session, a slight increase in Total SSQ and in Oculomotor and Disorientation subscales was observed (uncorrected p-values < 0.05), but none of these remained significant after applying a Holm–Bonferroni correction. The Nausea subscale did not increase in either condition. Notably, participants’ baseline SSQ scores were lower before the VR trial than before the conventional trial, suggesting a possible novelty effect. Qualitative feedback reflected VR’s high immersion yet also some physical discomfort (e.g., headset weight and visual resolution), with most participants preferring the conventional simulator for longer training. Overall, while VR’s current hardware had comfort limitations, using a standard calm-weather training scenario in VR produced only a minimal, statistically non-significant increase in simulator sickness compared to the conventional simulator.

1. Introduction

The growing adoption of immersive displays in maritime training, spurred by rigorous STCW competence goals and economic pressures, necessitates a clearer understanding of their physiological impacts. The present study therefore offers a preliminary comparison of simulator-sickness responses among senior cadets observing an identical Gibraltar-watch scenario in two conditions: a certified full-mission bridge simulator (FMBS) and its head-mounted-display (HMD) virtual-reality (VR) counterpart. While VR’s potential in maritime training is increasingly recognized, a critical gap remains in our understanding of its relative impact on trainee well-being compared to established simulators. Specifically, it remains unknown whether the discomfort induced by VR exceeds the accepted baseline levels of conventional simulators when used for standard, calm-weather training scenarios where the trainee acts as an observer. This study addresses this precise gap by providing crucial data for institutions considering the integration of VR into their curricula.
Modern maritime training incorporates a range of advanced learning methods, including e-learning, computer-based training (CBT), simulations, and immersive technologies. Among these, immersive technologies—such as virtual reality (VR) and augmented reality (AR)—have gained significant attention for their ability to transform teaching and learning. Research has shown that these tools enhance student engagement and knowledge retention by offering interactive, realistic environments that simulate complex scenarios otherwise difficult to replicate in traditional classroom [1,2,3]. This shift reflects a broader transformation in maritime education, where immersive technologies are increasingly seen as both a supplement and potential alternative to traditional simulators [4].
Simulators in particular provide a safe and cost-effective platform for developing navigational skills [5]. They replicate real-life maritime conditions, enabling trainees to practice decision making and emergency responses with immediate feedback [6]. The adaptability of simulators to incorporate VR further enhances their realism and training value. For example, VR-based safety training, such as Helicopter Underwater Escape Training (HUET), has been shown to improve skill acquisition, reduce anxiety, and increase overall performance [7]. Moreover, VR training has demonstrated benefits across diverse populations and has been shown to improve safety training modules such as firefighting, offering cost-effective and time-efficient alternatives to traditional methods [8], including non-WEIRD groups like seafarers from the Kiribati Islands, by increasing motivation and reducing cognitive load [9].
Beyond maritime applications, VR has proven effective in various fields, including chemistry education [10], bridge design [11], physics instruction [12], medical training [13], and even underwater archaeology [14]. VR has also been applied in astronaut training, where it supports spatial orientation and navigation in simulated space station environments, helping optimize training strategies and improve performance [15]. In maritime contexts, VR offers high-fidelity simulations of ship bridge operations, providing a scalable and flexible alternative to traditional simulators [1,16,17].
The advent of advanced technologies in maritime training has revolutionized the way seafarers acquire essential skills and competencies [18,19]. Among these innovations, conventional full-mission ship bridge simulators and cutting-edge VR systems have emerged as pivotal tools in enhancing the training experience [20,21,22,23]. However, the integration of these technologies raises significant concerns regarding simulator sickness—a condition characterized by symptoms such as dizziness, nausea, and disorientation, which can adversely affect trainees’ performance and learning outcomes. Research shows that the severity of these symptoms often increases with the duration of VR exposure and may also be influenced by individual factors, such as personality traits, gaming experience, and gender [24], although some users may adapt over time, while others experience lingering effects even after the session ends [25]. Recent EEG-based studies confirm that recovery from simulator sickness can take over 11 min, especially in susceptible individuals, and it is accompanied by measurable changes in brainwave activity [26]. These temporal dynamics are crucial when designing VR-based training programs, especially in high-stakes environments like maritime operations.
Few studies have directly compared FMBS and VR under identical bridge-watch conditions; therefore, it remains unclear whether VR-induced discomfort exceeds the accepted baseline levels of conventional simulators [27,28]. It remains unclear whether VR can effectively replace traditional simulators, whether it addresses their limitations, or whether it introduces new issues that could hinder its adoption. For instance, while VR may offer greater flexibility and immersion, it may also lack the physical realism and spatial awareness provided by full-mission simulators. Conversely, conventional simulators, though well established, may be limited in scalability and cost efficiency.
This study addresses that gap by comparing a conventional full-mission bridge simulator and an immersive VR bridge simulator under the same standard navigational watch scenario and benign environmental conditions. We specifically examine whether the VR system induces any greater simulator sickness than the conventional simulator when both are used for an identical training task in calm seas with the trainee in an observer role. Our primary hypothesis, formulated as a null hypothesis, was that under these controlled conditions (calm sea state, clear weather, and passive observation), the VR simulator would not induce a statistically significant increase in simulator sickness symptoms compared to the baseline established by the traditional simulator.
Students underwent a comprehensive assessment aimed at evaluating the intensity and seriousness of the symptoms associated with simulator sickness, utilizing Simulator Sickness Questionnaire (SSQ) to gather detailed information regarding their experiences. Recent studies have shown that SSQ scores correlate with physiological indicators such as heart-rate variability (HRV), particularly RMSSD and LF/HF ratios, suggesting that SSQ may reflect not only subjective discomfort but also measurable autonomic responses to VR exposure [29]. These findings support the validity of SSQ as a diagnostic tool in immersive training environments. The results of this assessment will be analyzed to identify patterns and correlations, ultimately providing insight into how different training modalities impact trainee well-being and effectiveness.
The verification process aims to compare the characteristics and user experience of a VR simulator relative to a conventional, real-life simulator, exploring its potential role in maritime training and, most importantly, testing whether standard STCW training scenarios, under simulated calm sea and minimal wave-induced motion, implemented in VR simulator generate higher or comparable levels of simulator sickness compared to conventional simulators.

2. Materials and Methods

2.1. Ship Handling Simulator and Professional Training

The study was conducted at the Faculty of Navigation of the Maritime University of Szczecin, where students are trained in accordance with the requirements of the International Convention on Standards of Training, Certification, and Watchkeeping (STCW). As part of this structured training, students first learn to operate basic navigational equipment, such as radar systems, GPS, and electronic charts, as well as maritime traffic regulations and maneuvering techniques. The culmination of this training cycle consists of practical classes and assessments conducted on full-mission bridge simulators, where students must demonstrate the knowledge and skills acquired over three years of study. The simulators used in such training are also subject to the requirements of the STCW convention and must meet a range of both functional and technical standards. For both training and the purposes of the study described herein, the Kongsberg Maritime Polaris Bridge Simulator was used, in a version offering a 270-degree field of view generated by visual projection systems (Figure 1).

2.2. VR Simulator

A VR environment was designed and developed to accurately replicate the size, shape, and layout of the real-world simulator (Figure 2). The entire implementation was conducted using the Unity engine. The simulation was created with Unity version 2023.2.14f1 and employed the SteamVR Unity Plugin v2.7.3 (sdk 1.14.15) package provided by the Valve Corporation via the official Unity Asset Store.
Additional assets were used to render water—one of the most challenging elements to reproduce in VR environments. All remaining components of the simulation environment, including the bridge model, ships, distant land, and other visual elements, were developed by the authors of the study.
The HTC (Warszawa, Poland) Vive Pro Eye VR headset was used in the study. As per official documentation, it offers the following specifications:
  • Per-eye resolution: 1440 × 1600 pixels,
  • Horizontal field of view: 110 degrees,
  • Refresh rate: 90 Hz.
Recent studies indicate that the actual horizontal field of view is slightly overestimated by the manufacturer and is, in practice, approximately 94 degrees [10]. The application was optimized to ensure a consistent and stable frame rate of 90 frames per second.

2.3. Simulated Scenario

The simulation scenario was based on exercises used in training of students and seafarers as part of the Safety of Navigation course. It represented a segment of a navigational watch in the area of the Strait of Gibraltar during a transit through the Traffic Separation Scheme, proceeding from the Atlantic Ocean toward the Mediterranean Sea. As a result, the nearest fixed, immovable object visible in the participants’ field of view—excluding their own vessel—was located approximately 8 km away. The ship traffic included typical participants of the Gibraltar TSS—container ships, tankers, and small craft—arranged along the cyan target-vessel paths shown in Figure 3. Their 3 min course over ground (COG) vectors (white) intersected the own-ship COG (red) at staggered bearings and times, creating a workload that demanded continuous lookout vigilance. The traffic density and vessel interactions were designed to maintain a moderate level of required observational vigilance throughout the session.
As the study was of a preliminary nature, it was deliberately conducted under optimal, low-motion conditions: good daytime visibility, sea state 1 (calm water), minimal wind, and no current. The simulation involved a supply vessel MSV Challenger with a length of 111 m and a draft of 8.2 m. These parameters ensured only minimal vessel motion (roll ≤ 3°), and the ship’s movement profile was recorded in the conventional simulator, then exactly replicated in the VR condition. This calm scenario was chosen to mirror a typical training watch and to minimize extraneous motion-induced sickness, allowing a focused comparison of the two simulator types.

2.4. Simulator Sickness Questionnaire

To assess the intensity of simulator sickness symptoms, it was necessary to use standardized questionnaires. While numerous versions exist, including those specifically designed for VR environments, the study sample consisted of Polish-speaking students. To eliminate the potential issue of varying levels of English language proficiency, a Polish-language version of the questionnaire, as described by Biernacki et al., was used [30]. The questionnaire consists of 8 questions and 26 symptoms associated with simulator sickness. When using the SSQ, participants are asked to subjectively assess the severity of specific symptoms they are experiencing. A four-point scale is used for this purpose:
  • 0—None—No simulator sickness symptoms,
  • 1—Slight—Mild simulator sickness symptoms,
  • 2—Moderate—Moderate simulator sickness symptoms,
  • 3—Severe—Pronounced simulator sickness symptoms.
The SSQ provides not only an overall simulator sickness score (SSQ Total) but also separate indicators corresponding to three partially overlapping subscales:
  • Nausea (N)—Symptoms include salivation, sweating, nausea, stomach awareness, and burping,
  • Oculomotor Disturbance (O)—Symptoms include fatigue, headache, eye strain, and difficulty concentrating,
  • Disorientation (D)—Symptoms include dizziness, a sense of disorientation (with both eyes open and closed), and blurred vision.

2.5. Study Protocol

A total of 32 fourth-year students specializing in maritime transport participated in the study. The mean age of the participants was M = 20.5 years (σ = 0.8). All participants reported having no visual impairments and no prior experience with VR technology. Each participant first took part in the experiment using the conventional ship simulator, followed—after a minimum interval of two days—by the VR simulator experiment. This conservative washout period was chosen to ensure a complete resolution of any potential simulator sickness symptoms and to prevent carry-over effects, aligning with established findings on the temporal dynamics of recovery [25]. Each session lasted exactly 30 min. Participants completed the Simulator Sickness Questionnaire both before (pre-) and after (post-) each simulator session (Figure 4). The decision to fix the order of simulators by type was made to factor in and minimize the novelty bias. For users who have not experienced VR technology before, its novelty can lead to emotional arousal and lead to some symptoms attributed to cybersickness [31]. Since the study participants had prior experience with the conventional ship simulator used in the study, they started with the environment that was already familiar to them. Afterward, they were introduced to a VR environment that resembled very closely what they experienced in the first session, both in terms of visual representation and the task.
To eliminate potential difficulties associated with operating navigational equipment—particularly challenges related to interaction via VR controllers, which can lead to increased effort, stress, and frustration [32]—participants assumed the role of observers rather than active operators. Their task was to conduct visual lookout and provide continuous verbal reports regarding the maneuvers of nearby vessels, the appearance of small craft that might not be detected by radar, and any potentially hazardous situations like vessels deviating from COLREGs or standard TSS procedures. This observer-only role, akin to a standard lookout duty, was intended to avoid confounding the results with any additional stress or difficulty in operating controls in VR.
A significant concern in the design of the experiment was the so-called Hawthorne effect, wherein participants might alter their behavior by focusing excessively on the measured feature—in our case, the intensity of simulator sickness symptoms. To mitigate this risk, participants were given the following instruction:
“Thank you for volunteering to participate in our study. The aim of this research is to verify a hypothesis concerning the comparison of accuracy in assessing distance, direction, and the relative positioning of vessels in open-sea conditions under simulation—between a physical ship simulator and a virtual reality simulator. The study protocol requires participants to refrain from taking any medications or consuming alcohol for at least three days prior to the session, to obtain a minimum of seven hours of sleep the night before the experiment, and to complete a standardized questionnaire assessing their psychophysical condition. These steps are necessary to eliminate the influence of participants’ health status on the experimental results”.
Additionally, upon completion of the experimental sessions, interviews were conducted in which participants compared both simulation experiences and expressed their opinions regarding their preferred form of simulator-based training.

2.6. Data Analysis

All statistical analyses were performed using R version 4.4.3 [33] and RStudio 2024.12.1 Build 563. The Wilcoxon signed-rank test was chosen to compare pre- and post-session Simulator Sickness Questionnaire (SSQ) scores (Total, Nausea, Oculomotor, and Disorientation) for both the conventional full-mission bridge simulator and the VR conditions due to the paired nature of the data and without assuming a normal distribution of the differences. A p-value of less than 0.05 was considered indicative of a statistically significant difference. Given the preliminary and exploratory nature of this study, which aimed to identify potential differences and areas for future investigation in the novel application of VR for maritime training, and the limited set of pre-defined comparisons focusing on these four primary SSQ outcomes, the p-values for these outcomes in the VR condition were adjusted for multiple comparisons using the Holm–Bonferroni procedure. While this more conservative approach was adopted to control for Type I errors, uncorrected p-values are also referred to in an exploratory context, with the aim of not overlooking potentially relevant effects (Type II errors) in this initial investigation. Consequently, any significant uncorrected findings reported herein, such as the observed increases in Oculomotor (p = 0.015), Disorientation (p = 0.021), and Total SSQ scores (p = 0.018) in the VR condition, should be interpreted with particular caution in light of the corrected results, and all findings warrant replication in subsequent, larger-scale confirmatory studies employing stricter alpha control. Effect sizes were calculated and interpreted using Cohen’s conventional benchmarks: small (r = 0.1), medium (r = 0.3), and large (r = 0.5). Upon completion of the experimental sessions, interviews were conducted in which participants compared both simulation experiences and expressed their opinions regarding their preferred form of simulator-based training.
No artificial-intelligence tools were used in the research itself. AI—in the form of the ScholarAI software (https://scholarai.io/, accessed on 1 February 2025)—was employed only during the manuscript-writing stage to search for additional literature sources.

3. Results

3.1. Simulator Sickness Questionnaire Results

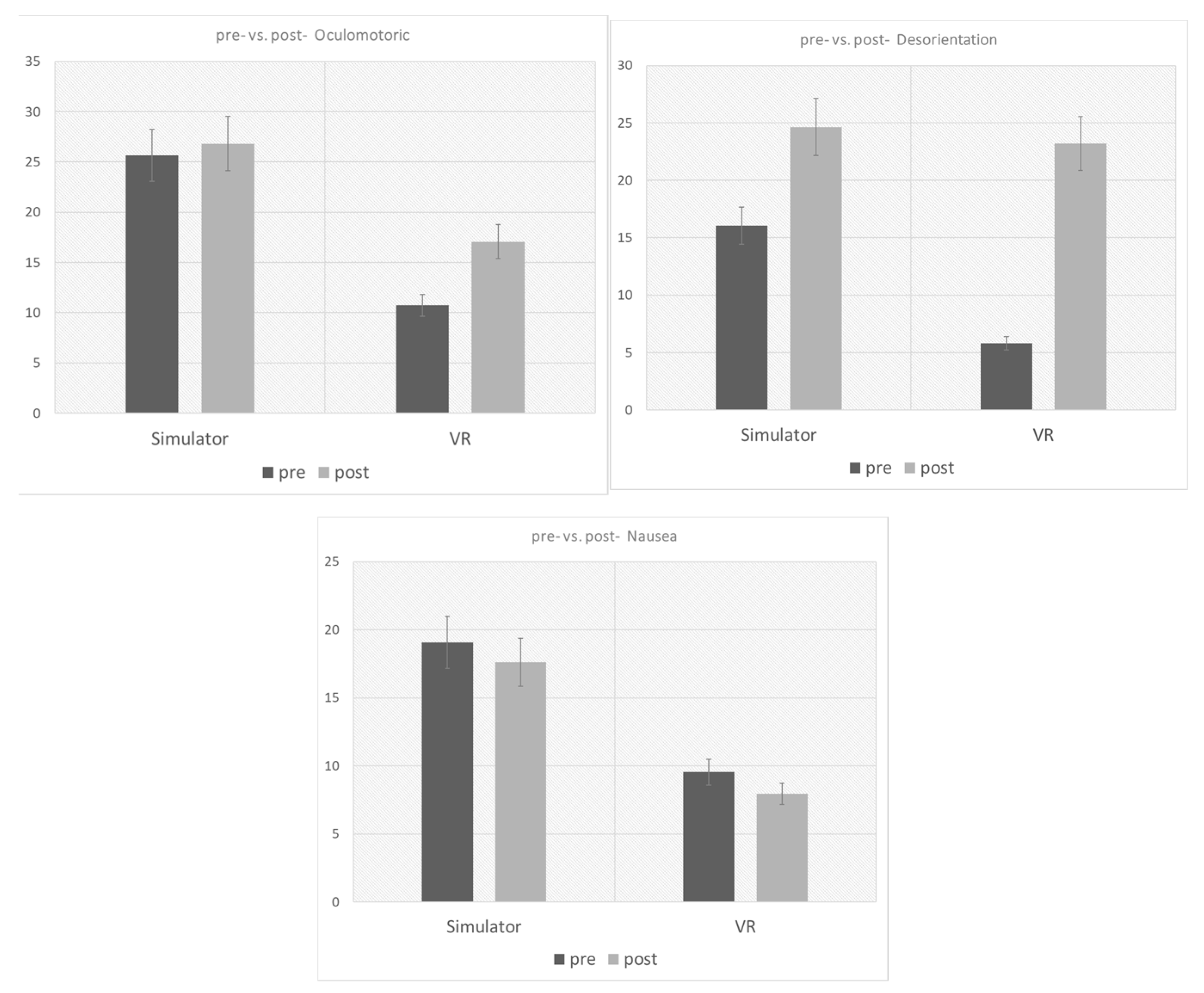
The analysis of results included the calculation of the overall SSQ score as well as the three subscale scores: Nausea, Oculomotor, and Disorientation. For every pre- vs. post-exposure comparison, we additionally computed the effect size (Cohen’s r = Z/√N) to quantify the magnitude of the observed differences. The results are presented in Figure 5 and Figure 6.
In the case of the conventional simulator, no statistically significant increase in simulator sickness symptoms was observed following the 30 min session. However, the same scenario conducted in VR conditions revealed a statistically significant increase in the overall SSQ score (significance lost after applying the Holm–Bonferroni correction).
Analysis of the SSQ subscales (Nausea, Oculomotor, Disorientation) revealed that Nausea symptoms did not increase significantly in either condition. Disorientation symptoms showed an increase in the VR condition (raw p = 0.021), whereas the conventional simulator showed no significant change in Disorientation. The increase in Disorientation was notably larger in VR than in the conventional session (consistent with participants’ reports of feeling more “swaying” in VR). Oculomotor symptoms increased significantly in VR (raw p = 0.015) but not in the conventional simulator. However, after applying the Holm–Bonferroni correction for multiple comparisons, none of the subscale changes in VR remained statistically significant. In summary, no reliable increases were found in any subscale for either simulator once corrections were made, although the VR condition did exhibit a trend toward higher Oculomotor and Disorientation scores.
We also examined how the individual symptom indicators changed before and after the sessions, separately for the conventional and VR simulators, to identify the most prominent symptoms. The results are presented in Figure 7. The greatest increases were observed for the following factors:
  • 1—General discomfort,
  • 5—Headache,
  • 7—Difficulty concentrating,
  • 16—Feeling of swaying with eyes open,
  • 17—Feeling of swaying with eyes closed,
  • 19—Visual disturbances,
  • 24—Increased salivation,
  • 26—Disorientation.
The Wilcoxon signed-rank test results showed that in the full-mission bridge simulator condition, the increase in simulator sickness intensity was not statistically significant, neither in the Total nor in the Nausea, Oculomotor, and Disorientation categories. Consistently, all corresponding effect sizes were small (Cohen’s r ≤ 0.27). The test results together with descriptive statistics for each category are presented in Table 1.
In the VR condition, there were significant pre–post increases in Total SSQ and in the Oculomotor and Disorientation subscales (all p < 0.03, with medium effect sizes r ≈ 0.42–0.46), while Nausea showed no significant change. However, after applying the Holm–Bonferroni correction for the four comparisons, none of these VR increases remained statistically significant. In other words, the VR session did induce more discomfort symptoms than baseline by nominal statistics, but those differences did not meet a corrected significance threshold. Complete descriptive and test statistics are presented in Table 2.

3.2. Qualitative Interview Results

Between two and seven days after the VR simulator session, each participant was individually interviewed. The findings are presented below according to a descriptive thematic analysis, where key themes were identified from the interviews, and their frequencies were quantified. The interviews focused on general impressions of the VR system, evaluations of graphical quality, perceived strengths and weaknesses of each simulator, and participants’ personal preferences regarding simulator-based training.
As the study involved participants with no prior experience with VR technology, a significant proportion (n = 29) expressed overall amazement at the technology and its capabilities, recognizing its substantial potential in education, particularly in the context of training simulators.
A substantial portion of the responses highlighted the superior graphical quality of the VR simulator (n = 29), as well as the sense of full immersion in the simulated environment (n = 28). Participants emphasized that, unlike the conventional simulator, which retains visible physical boundaries, such as ceiling structures, hallways, or other simulation stations, the VR environment created a much more convincing illusion of presence. As one participant noted, “In the conventional simulator, you’re constantly aware that it’s just a mock-up—you see the ceiling above you, the hallway behind you, and other stations around. In VR, wherever you look, you’re still on the bridge and still on the ship” (p6). Another added, “After a while, I started behaving as if the environment around me were real—I was actually trying to avoid bumping into the steering column” (p21).
At the same time, the technical limitations of current VR displays were frequently noted (n = 16), particularly the relatively low resolution and pixel density of the headsets, resulting in the so-called screen-door effect. As one participant described it, “I constantly felt like I was looking through a fine mesh. At first, it was really annoying” (p2). A considerable number of participants also expressed dissatisfaction with the visual resolution in VR (n = 11). As one participant noted, “The graphics looked much better than on the conventional simulator, but the low resolution in VR bothered me. On the projectors, it’s not as noticeable” (p7).
In terms of physical comfort, negative opinions were predominant. Many participants reported increasing discomfort over time (n = 26), especially due to the weight of the headset (n = 21). As one participant remarked, “The experience would be much more pleasant if the headset were lighter or if its weight were more evenly distributed across the head” (p7). Additional negative feedback included issues related to facial perspiration (n = 17) and lens fogging (n = 12), both of which negatively affected comfort and immersion. Interestingly, only two participants spontaneously mentioned simulator sickness symptoms during the interviews, referring to mild dizziness and headache (n = 3).
At the end of each interview, participants were asked whether, given the choice, they would prefer to conduct future training sessions using the conventional simulator or the VR system. The majority expressed a preference for the conventional simulator, citing greater comfort and a reluctance to engage in longer VR sessions (n = 25). As one participant noted, “VR is much more visually impressive, and it really makes an impact—it’s truly remarkable technology—but doing exercises and learning in that format would be too exhausting for me” (p20). Another added, “VR would be a nice change of pace from time to time, but even 30 min felt like a lot. I wouldn’t want to sit with that on my face for an hour” (p7).
Some participants also highlighted the importance of teamwork in conventional simulator sessions (n = 8), where students typically work in teams of 3–5, sharing roles and responsibilities while performing exercises collaboratively. As one student observed, “What makes the sessions on the conventional simulator more enjoyable is that other students are present, and we work together—just like on a real ship” (p11). Another commented, “What I missed in VR was the presence of other students. It felt very lonely in that environment, and it was quite unnatural” (p14).

4. Discussion

This preliminary study compared simulator sickness outcomes in 32 senior cadets using a conventional full-mission bridge simulator versus an immersive VR bridge simulator under identical, optimal conditions. Both sessions took place in calm daylight conditions (Strait of Gibraltar scenario, sea state 1) and followed the same navigational watch task. The participants were fourth-year maritime students (no prior VR experience) and served as observers (not handling controls) to keep conditions consistent and avoid extra strain from VR interactions. With this tightly controlled design, we aimed to isolate differences in sickness between the two simulator types. The findings suggest that under these conditions, the VR system did not provoke significantly more simulator sickness than the conventional simulator. Overall SSQ scores did rise after the VR session (median SSQ Total from 10.6 before to 22.8 after), but this increase was not statistically reliable once a Holm–Bonferroni correction was applied, and the conventional session showed no change. In fact, the average post-session discomfort levels in VR remained in the “moderate” range and were comparable to those seen with the conventional simulator. These results indicate that, at least for a 30 min exercise in calm seas, an HMD-based VR bridge simulator can deliver an immersive experience without a major increase in simulator sickness symptoms relative to a traditional simulator.
Overall SSQ scores showed a modest increase after the VR session (uncorrected p = 0.018), but importantly, this did not remain significant after the Holm–Bonferroni correction. In contrast, scores after the conventional session were essentially unchanged. Thus, in our study, the VR condition did not produce a statistically reliable elevation in sickness symptoms. Nevertheless, the trend of higher post-VR SSQ scores is consistent with reports from other domains, where immersive VR displays tend to provoke slightly stronger sickness responses than conventional simulators [34]. Numerous studies of virtual environments document simulator/cyber sickness occurrences (e.g., [35]); therefore, our findings align with this general pattern, even though our VR effects were small. This suggests that while VR can induce sickness, under controlled conditions, its impact can be kept to a minimum. It is also recognized that factors which can heighten presence in VR, such as wide-field stereoscopy or high contrast, may also contribute to visuo-vestibular conflict, highlighting the need to weigh the pedagogical gains of VR against potential sensory costs [1].
An unexpected pattern emerged in the pre-exposure SSQ data: baseline symptoms were markedly lower before the VR trial than before the conventional simulator trial, even though both sessions took place under identical physical and temporal conditions. A definitive explanation lies outside the scope of the present study; yet, several clues point to a novelty-driven psychological effect. Participants described the forthcoming VR experience as “intense”, “new”, and “surprisingly real”, suggesting that first-time anticipation may have heightened excitement or mild apprehension, thereby diverting attention from subtle bodily sensations and suppressing their self-report. The role of physiological responses in cybersickness is an area of ongoing research, with studies exploring EEG correlates of VR sickness and recovery patterns (e.g., ref. [26]). Similarly, [36] underscored the importance of emotion regulation and psychological priming in VR exposure therapy. Together, these studies imply that elevated arousal associated with novelty can recalibrate symptom awareness in VR users.
Additional factors may have magnified the effect. The fixed protocol exposed students first to the familiar bridge simulator and only then to the new VR laboratory. Familiarity with the conventional setup—and its minor discomforts—contrasted sharply with the heightened sense of novelty and visual immersion typically reported during a first VR exposure. It has been discussed that high levels of perceived realism and attentional absorption in immersive VR [37] might, particularly in early exposures, influence how users attend to and report subtle bodily sensations or baseline discomfort. Ref. [38] demonstrated that repeated exposure in VR environments induces a measurable habituation response, lowering simulator sickness across sessions. Similarly, studies investigating the user experience in VR, such as those examining the impact of introductory tutorials, have found that lower levels of cybersickness are associated with better scores on factors like presence and immersion [39], which may suggest a link between perceptual immersion and sensory adaptation processes. Future research should therefore counterbalance session order and include objective arousal measures (e.g., heart-rate variability) to disentangle novelty, expectation, and genuine physiological strain—an essential step before rolling out immersive technology to novice maritime trainees.
Further analysis of the SSQ subscales revealed a clear symptom profile: only Disorientation (raw p = 0.021) and Oculomotor (raw p = 0.015) increased after VR, whereas Nausea remained unchanged in either environment. This observed ocular-spatial dominance is consistent with reviews of cybersickness literature, which indicate that Disorientation symptoms are predominant in cybersickness, while Oculomotor symptoms are typical of simulator use in general [40]. A consistent picture therefore emerges: visuo-vestibular conflict, display latency, and fixed-focus stereoscopy selectively tax oculomotor control and spatial orientation, leaving gastric symptoms comparatively unaffected [41,42]. A notable predominance of disorientation symptoms was also observed by [43] in a study involving a VR flight simulator, where mean disorientation scores were found to be higher than those for nausea and oculomotor discomfort in both virtual and mixed-reality conditions. Stereoscopic depth cues, although indispensable for judging bearing and range, impose a built-in mismatch between vergence (eye convergence) and accommodation (lens focus) whenever the display’s focal plane is fixed. This vergence–accommodation conflict (VAC) forces the oculomotor system to decouple normally linked mechanisms, elevating extra-ocular muscle load and suppressing fusion [40,42]. In ship-bridge tasks, the problem is magnified because relative bearing is extracted from sub-2° angular shifts against the horizon. Research investigating stereoscopic displays has shown that such viewing conditions can lead to increased visual discomfort and measurable changes in binocular vision parameters, such as fusion range, particularly in individuals with moderate binocular status [41]. Furthermore, review studies highlight that the vergence–accommodation conflict inherent in fixed-focus stereoscopic displays can decrease the accuracy of binocular fusion and potentially affect depth judgments in VR environments [40,42]. Our headset’s optical architecture therefore likely exacerbated the oculomotor strain captured by the SSQ and could have biased students’ closest-point-of-approach estimates by several cables. Future maritime-VR designs should evaluate dynamic-focus (varifocal) optics or multilayer light-field displays, as these are considered promising approaches for reducing vergence–accommodation conflict and associated visual fatigue [42], with ongoing developments in varifocal systems designed for this purpose [40,44]. Participants also noted a faint screen-door pattern—a pixel-grid artefact commonly reported when pixel density falls below approximately 20 PPD. The screen-door effect is known to reduce visual clarity and can contribute to visual discomfort or oculomotor strain [45], while other display performance issues, such as motion blur, can also impair visual acuity and overall visual clarity [46]. Both artefacts are consistent with the optical and temporal limits of the headset used in this study: an HTC Vive Pro Eye (90 Hz, ≈ 615 ppi, 110° FoV). Because VAC distorts the perceived depth of distant objects [42], and the screen-door effect degrades fine visual detail [45], both phenomena could impair a watchkeeper’s judgement of relative distance and closing speed—critical cues for early collision-avoidance decisions at sea.
Applying the step-down Holm–Bonferroni procedure to the four Wilcoxon signed-rank tests (Total, Nausea, Oculomotor, Disorientation) showed that none of the raw p-values survives family-wise correction. The smallest raw value, 0.015 for Oculomotor, exceeds the first Holm threshold (α/4 = 0.0125), stopping the sequence and rendering all comparisons non-significant. For completeness, the adjusted p-values are 0.060 (Oculo-motor), 0.060 (Total), 0.060 (Disorientation), and 0.359 (Nausea). The corresponding Wilcoxon statistics were as follows: Total Z = −2.40, Oculomotor Z = −2.57, Disorientation Z = −2.39, and Nausea Z = −0.98 (N = 32). Thus, while the descriptive rank order remains Oculomotor > Disorientation ≫ Nausea, the family-wise test indicates no statistically reliable differences. The median post-VR SSQ Total was 27 (IQR 14–38), with a mean of 22.75 ± 17.79; both indices place the cohort in the moderate-severity band of the original SSQ classification (0–10 none, 10–30 moderate, >30 severe; Kennedy et al., 1993 [47]). Thus, while the average discomfort level remained mid-range, the large inter-individual spread (SD = 17.79) means some students approached the severe range; therefore, any inference about meaningful change must be made with caution.
While our study did not directly measure task performance, it is important to consider the potential operational implications of increased SSQ scores based on the wider literature. Operationally, even a moderate rise in SSQ can translate into measurable performance deficits, as reviews suggest that cybersickness symptoms can negatively impact attention, concentration, and reaction times, potentially reducing students’ performance in VR tasks [40,48]. We adopt this order-of-magnitude estimate for bridge watchkeeping, recognizing the task and environment differences. The potential for such performance decrements resulting from increased SSQ scores warrants careful consideration, especially in the context of time-sensitive maritime operational tasks. Disorientation reinforces the risk. For instance, ref. [49] found that higher scores on the Disorientation subscale of the SSQ were a significant predictor of poorer spatial ability in a VR task, indicating increased error in spatial judgments. Given that disorientation can impair spatial judgments, significant increases in this symptom, such as those observed in our study, could plausibly affect critical maritime tasks like estimating the closest point of approach, thereby increasing operational risk. To curb these risks, we endorse striving for low motion-to-photon latency, as values around or below 20 ms are generally considered important for comfort (cf. [40]), and we further recommend limiting initial HMD sessions by adopting strategies such as initially shorter exposure times with adequate rest periods (consistent with the general advice reviewed in Souchet et al., 2023) and considering established discomfort thresholds for aborting sessions (e.g., an SSQ Total score exceeding 40, as discussed by [48]). Further research may be needed to establish specific, validated thresholds for objective measures like ocular-vergence variance. Optimizing the hardware by considering factors such as higher refresh rates (e.g., 75–95 Hz or more, as noted by [40] for reducing cybersickness), adequate pixel density (with current devices offering around 20–22 PPD, e.g., ref. [46]), and appropriate field-of-view optics is important for minimizing potential visual stressors like vergence–accommodation conflict and screen-door artefacts. Stepwise exposure and objective sickness monitoring thus become integral elements of a safe, competency-based VR curriculum for students.
Several limitations temper these conclusions. Cognitive load was not quantified; yet, psychophysiological evidence from maritime VR simulations shows that high mental workload can amplify fatigue and reduce navigational accuracy. EEG-based monitoring revealed that elevated cognitive demand was associated with poorer task performance and increased likelihood of failure in immersive bridge scenarios [50]. The study also omitted a validated presence scale, such as the ITC-SOPI or the Igroup Presence Questionnaire, leaving the moderating role of subjective immersion unexplored. A fixed exposure order, with the conventional session always preceding VR, may have inflated novelty effects, and the observer-only role limits generalization to hands-on helm operations. However, this sequence was also chosen for its ecological validity, as it mirrors the likely real-world scenario where VR is introduced as a supplement to existing, familiar simulator training. Future research should therefore counterbalance session order, combine the SSQ with presence and workload measures, and integrate biometric sensors plus eye-tracking to map psychophysiological load during fully interactive bridge tasks.
Translating these findings into practice, we recommend three mutually reinforcing measures for the safe rollout of VR in maritime curricula. First, optimize the hardware: select headsets aiming for robust ergonomic characteristics, such as high refresh rates (e.g., 75–95 Hz or more, noted by [40] as beneficial), adequate pixel densities (with current devices often featuring around 20–22 PPD, as contextualized by [46]), and low motion-to-photon latency (striving for levels well below 20 ms, cf. [40]). These specifications target the main visual stressors identified in this study, such as vergence–accommodation conflict, which contributes to oculomotor strain and spatial misjudgment (e.g., ref. [42]), and screen-door artefacts, which degrade image clarity and can contribute to visual fatigue (e.g., refs. [45,51]).
Second, codify a safety protocol and prepare instructors. Students should complete a brief medical and motion-sickness screen, receive a supervised orientation session, and follow explicit abort criteria—such as terminating exposure when SSQ Total exceeds 40, a threshold commonly associated with high discomfort levels in immersive VR scenarios [40]. Managing exposure duration, for example by starting with shorter sessions (e.g., in the range of 10–30 min, as suggested by some authors reviewed in [48]) interspersed with adequate rest periods, and gradually extending duration based on user comfort (e.g., ensuring discomfort remains within a non-severe range, such as below an SSQ Total of 30–40 points) is advisable. Instructors need dedicated preparation, covering both pedagogical sequencing and real-time symptom management. Continuous monitoring—via eye-tracking, heart-rate variability, and a five-point discomfort scale—may be valuable for detecting emerging problems before learning quality deteriorates. Similar onboarding routines and safety protocols were introduced during the national rollout of immersive pilotage training in Norway, where preliminary evidence suggests successful integration into professional curricula despite technical and instructional challenges [52].
Gradual acclimatization remains the most practical countermeasure for novice students. Short, largely static watch modules should precede dynamic maneuvering tasks, so that physiological adaptation can occur without overwhelming sensory conflict. Furthermore, it is generally understood that for effective learning in VR, cybersickness levels should be minimized, as high discomfort can impede immersion and knowledge transfer. This aligns with theoretical frameworks, such as the Cognitive Affective Model of Immersive Learning (CAMIL), which posits that factors like cybersickness can create extraneous load, thereby reducing the learning benefits of VR (as discussed in [9]). The importance of managing user state is underscored by evidence linking lower cybersickness levels (often assessed via self-report) to better learning outcomes and by psychophysiological research using EEG that has correlated user states with performance in VR training scenarios, where cybersickness was also a measured factor [50]. Our own data reinforce the need to pace exposure accordingly. Alongside stepwise exposure, students should be taught to recognize early symptoms and apply self-regulation strategies—briefly closing the eyes, slowing head turns, or requesting a pause—thereby cultivating autonomy in symptom control.
In summary, our findings show that an immersive VR bridge simulator can be integrated into maritime training with minimal simulator sickness, provided the scenarios are carefully controlled. VR can reproduce bridge sightlines, lighting, and traffic complexity with a level of realism unattainable in conventional mock-ups, and in our study, this came without a significant increase in sickness symptoms under calm conditions. That said, the current VR setup did impose some moderate physical discomfort on first-time users (headset weight, visual strain)—a trade-off, which must guide curriculum design. Lesson blocks should remain short and progressively paced until technical parameters, such as motion-to-photon latency (aiming for levels well below 20 ms, cf. [40]) and pixel density (striving for levels that minimize the screen-door effect, with current devices around 20–22 PPD, cf. [46]), are further improved to enhance user comfort and performance. It is acknowledged, however, that the hardware meeting these high-end specifications often requires a significant financial investment and may not be readily accessible to all institutions, highlighting a practical trade-off between ideal performance and widespread adoption. Furthermore, it is important to emphasize that these findings are constrained to the specific conditions tested: a passive observer role under benign, calm-sea conditions. Future research is therefore essential to investigate how these outcomes might change under more demanding and operationally realistic scenarios, such as those involving active vessel control, complex maneuvering, and rough sea states. The baseline SSQ values were paradoxically lower before the VR session, reinforcing evidence that novelty-driven arousal can mask incipient symptoms—a pattern that may be linked to psychological factors such as novelty-driven arousal potentially influencing self-report and symptom awareness.
Only objective arousal indices and counterbalanced designs will disentangle this psychological confounder. Future research should therefore evaluate varifocal or light-field optics that resolve the vergence–accommodation conflict, which are considered promising approaches for reducing associated oculomotor strain (cf. [40,42,44]); quantify how cumulative exposure shapes sickness trajectories over multiple voyages in the virtual Strait of Gibraltar; and determine whether higher-resolution, lighter headsets (an area the authors are currently exploring using Varjo XR technology) further reduce oculomotor strain without sacrificing presence.

Author Contributions

Conceptualization, B.M. and R.G.; methodology, B.M. and R.G.; software, B.M.; validation, B.M. and R.G.; formal analysis, B.M. and R.G.; investigation, M.B.; resources, B.M. and M.B.; data curation, B.M.; writing—original draft preparation, B.M.; writing—review and editing, B.M., R.G. and M.B.; visualization, B.M. and R.G.; funding acquisition, B.M. and M.B. All authors have read and agreed to the published version of the manuscript.

Funding

This research received no external funding.

Institutional Review Board Statement

Ethical review and approval were waived for this study, as it falls within the scope of standard professional practice, consistent with acceptable practices in maritime education and training under the STCW convention. Furthermore, the study methodology ensured that the dissemination of results would not generate any identifiable information, and no direct identifiers were collected from participants during the study (Research Ethics Committee of Maritime University of Szczecin, protocol code 2/2025, date of approval 3 June 2025).

Informed Consent Statement

Informed consent was obtained from all subjects involved in the study.

Data Availability Statement

Data, including anonymized SSQ results and detailed scenarios, are available upon request from the corresponding author.

Acknowledgments

During the preparation of this manuscript, the authors used the latest version of ScholarAI for the purposes of search for additional literature sources. The authors have reviewed and edited the output and take full responsibility for the content of this publication.

Conflicts of Interest

The authors declare no conflicts of interest.

Abbreviations

The following abbreviations are used in this manuscript:
CBTComputer-Based Training
COGCourse Over Ground
COLREGConvention on the International Regulations for Preventing Collisions at Sea
SSQSimulator Sickness Questionnaire
STCWStandards of Training, Certification, and Watchkeeping
VRVirtual Reality

References

  1. Dewan, M.H.; Godina, R.; Chowdhury, M.R.K.; Noor, C.W.M.; Wan Nik, W.M.N.; Man, M. Immersive and Non-Immersive Simulators for the Education and Training in Maritime Domain—A Review. J. Mar. Sci. Eng. 2023, 11, 147. [Google Scholar] [CrossRef]
  2. Türkistanli, T.T. Advanced learning methods in maritime education and training: A bibliometric analysis on the digitalization of education and modern trends. Comput. Appl. Eng. Educ. 2024, 32, e22690. [Google Scholar] [CrossRef]
  3. Norambuena, N.; Ortega, J.; Muñoz-La Rivera, F.; Covarrubias, M.; Valín Rivera, J.L.; Ramírez, E.; Ketterer, C.I.G. Integrating Digital Twins of Engineering Labs into Multi-User Virtual Reality Environments. Appl. Sci. 2025, 15, 3819. [Google Scholar] [CrossRef]
  4. Mallam, S.C.; Nazir, S.; Renganayagalu, S.K. Rethinking Maritime Education, Training, and Operations in the Digital Era: Applications for Emerging Immersive Technologies. J. Mar. Sci. Eng. 2019, 7, 428. [Google Scholar] [CrossRef]
  5. Maung, C.T. Simulation Training and Assessment in Maritime Education and Training. Master’s Thesis, World Maritime University, Malmö, Sweden, 2019. Available online: https://commons.wmu.se/all_dissertations/1140/ (accessed on 14 May 2025).
  6. Evidente, L.G.; Kannan, K.; Loginovsky, V.A.; Mori, Y.; Shoshin, A.R. The effect of preparatory bridge simulator training on development of situation awareness skills of watchkeepers. Russ. J. Water Transp. 2022, 73, 226–242. [Google Scholar] [CrossRef]
  7. Gadalla, H.; Helal, H.; Rashed, S. Incorporating Virtual Reality into Maritime Safety Training for Enhanced Competency-Based Learning Methodology. In Proceedings of the Maritime Transport—9th International Conference on Maritime Transport (Maritime Transport IX), Barcelona, Spain, 27–29 June 2022. [Google Scholar] [CrossRef]
  8. Kazura, M.R.; Suhrab, M.I.R. Enhancing Maritime Education and Training (MET) through Virtual and Augmented Reality: A Voyage into Immersive Learning. J. Marit. Res. 2024, 21, 339–348. [Google Scholar]
  9. Makransky, G.; Klingenberg, S. Virtual reality enhances safety training in the maritime industry: An organizational training experiment with a non-WEIRD sample. J. Comput. Assist. Learn. 2022, 38, 1127–1140. [Google Scholar] [CrossRef]
  10. Nechypurenko, P.P.; Stoliarenko, V.G.; Selivanova, T.V.; Markova, O.M.; Modlo, Y.O.; Shmeltser, E.O. Development and Implementation of Educational Resources in Chemistry with Elements of Augmented Reality. Kiv, A.E., Shyshkina, M.P., Eds. 2020. Available online: https://ceur-ws.org/Vol-2547/paper12.pdf (accessed on 13 August 2025).
  11. Li, W.; Zhu, J.; Dang, P.; Wu, J.; Zhang, J.; Fu, L.; Zhu, Q. Immersive virtual reality as a tool to improve bridge teaching communication. Expert Syst. Appl. 2023, 217, 119502. [Google Scholar] [CrossRef]
  12. Castillo, J.F.V.; Santiago, L.B.; García, S.M. Optimization of Physics Learning Through Immersive Virtual Reality: A Study on the Efficacy of Serious Games. Appl. Sci. 2025, 15, 3405. [Google Scholar] [CrossRef]
  13. Obeid, M.F.; Ewais, A.; Asia, M.R. NursingXR: Advancing Nursing Education Through Virtual Reality-Based Training. Appl. Sci. 2025, 15, 2949. [Google Scholar] [CrossRef]
  14. Korniejenko, K.; Kontny, B. The Usage of Virtual and Augmented Reality in Underwater Archeology. Appl. Sci. 2024, 14, 8188. [Google Scholar] [CrossRef]
  15. Liu, X.; Liu, Y.; Zhu, X.; An, M.; Hu, F. Virtual Reality Based Navigation Training for Astronaut Moving in a Simulated Space Station. In Virtual, Augmented and Mixed Reality; Lackey, S., Shumaker, R., Eds.; Springer International Publishing: Cham, Switzerland, 2016; pp. 416–423. [Google Scholar] [CrossRef]
  16. Pitana, T.; Pramudhita, M.T.; Siswantoro, N.; Napitupulu, J.R.C. Application of virtual reality as an alternative training media as complement of ship bridge simulator (case study: Port of tanjung emas semarang). IOP Conf. Ser. Earth Environ. Sci. 2023, 1166, 012049. [Google Scholar] [CrossRef]
  17. Yin, J.; Ren, H.; Zhou, Y. The Whole Ship Simulation Training Platform Based on Virtual Reality. IEEE Open J. Intell. Transp. Syst. 2021, 2, 207–215. [Google Scholar] [CrossRef]
  18. Liker, L.; Barić, D.; Hadžić, A.P.; Bačnar, D. Profiling Students by Perceived Immersion: Insights from VR Engine Room Simulator Trials in Maritime Higher Education. Appl. Sci. 2025, 15, 3786. [Google Scholar] [CrossRef]
  19. Chae, C.-J.; Kim, D.; Lee, H.-T. A Study on the Analysis of the Effects of Passenger Ship Abandonment Training Using VR. Appl. Sci. 2021, 11, 5919. [Google Scholar] [CrossRef]
  20. Kim, J.; Lee, C.; Jeong, M.; Cho, E.; Lee, Y. Identifying Optimal Approaches for Sustainable Maritime Education and Training: Addressing Technological, Environmental, and Epidemiological Challenges. Sustainability 2023, 15, 8092. [Google Scholar] [CrossRef]
  21. Tan, Y.; Niu, C.; Zhang, J. Head-Mounted, Display-Based Immersive Virtual Reality Marine-Engine Training System: A Fully Immersive and Interactive Virtual Reality Environment. IEEE Syst. Man Cybern. Mag. 2020, 6, 46–51. [Google Scholar] [CrossRef]
  22. Voloshynov, S.A.; Popova, H.V.; Dyagileva, O.S.; Bobrysheva, N.N.; Fedorova, O.V. Formation of professional competency in life saving appliances operation of future seafarers by means of online and simulation VR technologies. CTE Workshop Proc. 2022, 9, 365–380. [Google Scholar] [CrossRef]
  23. Sandurawan, D.; Kodikara, N.; Keppitiyagama, C.; Rosa, R. A Six Degrees of Freedom Ship Simulation System for Maritime Education. Int. J. Adv. ICT Emerg. Reg. (ICTer) 2011, 3, 34–47. [Google Scholar] [CrossRef]
  24. Grassini, S.; Laumann, K.; Luzi, A.K. Association of Individual Factors with Simulator Sickness and Sense of Presence in Virtual Reality Mediated by Head-Mounted Displays (HMDs). Multimodal Technol. Interact. 2021, 5, 7. [Google Scholar] [CrossRef]
  25. Dużmańska, N.; Strojny, P.; Strojny, A. Can Simulator Sickness Be Avoided? A Review on Temporal Aspects of Simulator Sickness. Front. Psychol. 2018, 9, 2132. [Google Scholar] [CrossRef] [PubMed]
  26. Woo, Y.S.; Jang, K.-M.; Nam, S.G.; Kwon, M.; Lim, H.K. Recovery time from VR sickness due to susceptibility: Objective and quantitative evaluation using electroencephalography. Heliyon 2023, 9, e14792. [Google Scholar] [CrossRef] [PubMed]
  27. Kim, T.; Sharma, A.; Bustgaard, M.; Gyldensten, W.C.; Nymoen, O.K.; Tusher, H.M.; Nazir, S. The continuum of simulator-based maritime training and education. WMU J. Marit. Aff. 2021, 20, 135–150. [Google Scholar] [CrossRef]
  28. Tusher, H.M.; Munim, Z.H.; Nazir, S. An evaluation of maritime simulators from technical, instructional, and organizational perspectives: A hybrid multi-criteria decision-making approach. WMU J. Marit. Aff. 2024, 23, 165–194. [Google Scholar] [CrossRef]
  29. Choi, M.-H.; Kang, K.-Y.; Lee, T.-H.; Choi, J.-S. Correlations between SSQ Scores and ECG Data during Virtual Reality Walking by Display Type. Appl. Sci. 2024, 14, 2123. [Google Scholar] [CrossRef]
  30. Biernacki, M.; Kennedy, R.; Dziuda, Ł. Simulator sickness and its measurement with Simulator Sickness Questionnaire (SSQ). Med. Pr. 2016, 67, 545–555. [Google Scholar] [CrossRef]
  31. Gavgani, A.M.; Nesbitt, K.V.; Blackmore, K.L.; Nalivaiko, E. Profiling subjective symptoms and autonomic changes associated with cybersickness. Auton. Neurosci. 2017, 203, 41–50. [Google Scholar] [CrossRef]
  32. De Paolis, L.T.; De Luca, V. The effects of touchless interaction on usability and sense of presence in a virtual environment. Virtual Real. 2022, 26, 1551–1571. [Google Scholar] [CrossRef]
  33. R Core Team. R: A Language and Environment for Statistical Computing; R Foundation for Statistical Computing: Vienna, Austria, 2025; Available online: https://www.r-project.org (accessed on 14 May 2025).
  34. Chang, E.; Kim, H.-T.; Yoo, B. Virtual Reality Sickness: A Review of Causes and Measurements. Int. J. Hum.–Comput. Interact. 2020, 36, 1658–1682. [Google Scholar] [CrossRef]
  35. Pettijohn, K.A.; Peltier, C.; Lukos, J.R.; Norris, J.N.; Biggs, A.T. Virtual and augmented reality in a simulated naval engagement: Preliminary comparisons of simulator sickness and human performance. Appl. Ergon. 2020, 89, 103200. [Google Scholar] [CrossRef]
  36. Wang, S.; Deng, Z.; Yin, G. An Accurate GPS-IMU/DR Data Fusion Method for Driverless Car Based on a Set of Predictive Models and Grid Constraints. Sensors 2016, 16, 280. [Google Scholar] [CrossRef] [PubMed]
  37. Weber, S.; Weibel, D.; Mast, F.W. How to Get There When You Are There Already? Defining Presence in Virtual Reality and the Importance of Perceived Realism. Front. Psychol. 2021, 12, 628298. [Google Scholar] [CrossRef] [PubMed]
  38. Palmisano, S.; Constable, R. Reductions in sickness with repeated exposure to HMD-based virtual reality appear to be game-specific. Virtual Real. 2022, 26, 1373–1389. [Google Scholar] [CrossRef]
  39. Miguel-Alonso, I.; Rodriguez-Garcia, B.; Checa, D.; Bustillo, A. Countering the Novelty Effect: A Tutorial for Immersive Virtual Reality Learning Environments. Appl. Sci. 2023, 13, 593. [Google Scholar] [CrossRef]
  40. Caserman, P.; Garcia-Agundez, A.; Gámez Zerban, A.; Göbel, S. Cybersickness in current-generation virtual reality head-mounted displays: Systematic review and outlook. Virtual Real. 2021, 25, 1153–1170. [Google Scholar] [CrossRef]
  41. Lambooij, M.; Fortuin, M.; Ijsselsteijn, W.; Evans, B.; Heynderickx, I. Measuring visual fatigue and visual discomfort associated with 3-D displays. J. Soc. Inf. Disp. 2010, 18, 931–943. [Google Scholar] [CrossRef]
  42. Kramida, G. Resolving the Vergence-Accommodation Conflict in Head-Mounted Displays. IEEE Trans. Visual. Comput. Graph. 2016, 22, 1912–1931. [Google Scholar] [CrossRef]
  43. Lindberg, C.K.K. Cybersickness in a Virtual and Mixed Reality Flight Simulator with a Video See-Through Head-Mounted Display. KTH Royal Institute of Technology. 2023. Available online: https://urn.kb.se/resolve?urn=urn:nbn:se:kth:diva-340950 (accessed on 30 May 2025).
  44. Li, D.; Tang, Y.M.; To, S. Neutral density filter-based catadioptric optical design for thin virtual reality head-mounted device. Opt. Laser Technol. 2023, 165, 109623. [Google Scholar] [CrossRef]
  45. Mosher, R. Effects of Immersive Virtual Reality Displays on Oculomotor Function. Master’s Thesis, California State University, Northridge, CA, USA, 2021. [Google Scholar]
  46. Rao, L.; Argaman, N.; Zhuang, J.; Ninan, A.; Kim, C.; Wang, D. Display and Optics Architecture for Meta’s AR/VR Development. IEEE Open J. Immersive Disp. 2024, 1, 71–78. Available online: https://ieeexplore.ieee.org/document/10452750 (accessed on 13 August 2025).
  47. Kennedy, R.S.; Lane, N.E.; Berbaum, K.S.; Lilienthal, M.G. Simulator Sickness Questionnaire: An Enhanced Method for Quantifying Simulator Sickness. Int. J. Aviat. Psychol. 1993, 3, 203–220. [Google Scholar] [CrossRef]
  48. Souchet, A.D.; Lourdeaux, D.; Pagani, A.; Rebenitsch, L. A narrative review of immersive virtual reality’s ergonomics and risks at the workplace: Cybersickness, visual fatigue, muscular fatigue, acute stress, and mental overload. Virtual Real. 2023, 27, 19–50. [Google Scholar] [CrossRef]
  49. Thorp, S.O.; Rimol, L.M.; Lervik, S.; Evensmoen, H.R.; Grassini, S. Comparative analysis of spatial ability in immersive and non-immersive virtual reality: The role of sense of presence, simulation sickness and cognitive load. Front. Virtual Real. 2024, 5, 1343872. [Google Scholar] [CrossRef]
  50. Liu, Y.; Lan, Z.; Cui, J.; Krishnan, G.; Sourina, O.; Konovessis, D.; Ang, H.E.; Mueller-Wittig, W. Psychophysiological evaluation of seafarers to improve training in maritime virtual simulator. Adv. Eng. Inform. 2020, 44, 101048. [Google Scholar] [CrossRef]
  51. Cho, J.; Kim, Y.; Jung, S.H.; Shin, H.; Kim, T. 78-4: Screen Door Effect Mitigation and Its Quantitative Evaluation in VR Display. SID Symp. Dig. Tech. Pap. 2017, 48, 1154–1156. [Google Scholar] [CrossRef]
  52. Weissenberger, F. Implementation of Virtual Reality (VR) Simulators in Norwegian Maritime Pilotage Training. Master’s Thesis, UiT The Arctic University of Norway, Tromsø, Norwegen, 2022. Available online: https://munin.uit.no/handle/10037/26258 (accessed on 29 May 2025).
Figure 1. Kongsberg Maritime Polaris Full-Mission Ship Bridge Simulator used in the study.
Figure 1. Kongsberg Maritime Polaris Full-Mission Ship Bridge Simulator used in the study.
Applsci 15 09123 g001
Figure 2. VR Full-Mission Ship Bridge Simulator used in the study, as seen in a VR headset by study participants.
Figure 2. VR Full-Mission Ship Bridge Simulator used in the study, as seen in a VR headset by study participants.
Applsci 15 09123 g002
Figure 3. Navigational scenario used for the experiment in the Strait of Gibraltar Traffic Separation Scheme (TSS). The red vector shows the own-ship course over ground (COG). White vectors represent 3 min COG projections for each target vessel. Solid cyan lines trace the full paths of the target vessels, while gray lines outline the TSS lane boundaries. Together, these elements visualize the dynamic encounters that participants were required to monitor and report on during both the full-mission and VR bridge-simulator sessions.
Figure 3. Navigational scenario used for the experiment in the Strait of Gibraltar Traffic Separation Scheme (TSS). The red vector shows the own-ship course over ground (COG). White vectors represent 3 min COG projections for each target vessel. Solid cyan lines trace the full paths of the target vessels, while gray lines outline the TSS lane boundaries. Together, these elements visualize the dynamic encounters that participants were required to monitor and report on during both the full-mission and VR bridge-simulator sessions.
Applsci 15 09123 g003
Figure 4. Flow diagram of the study protocol illustrating the sequence of simulator sessions and SSQ assessments.
Figure 4. Flow diagram of the study protocol illustrating the sequence of simulator sessions and SSQ assessments.
Applsci 15 09123 g004
Figure 5. Comparison of SSQ total score before and after exposure to conventional and VR simulators.
Figure 5. Comparison of SSQ total score before and after exposure to conventional and VR simulators.
Applsci 15 09123 g005
Figure 6. Comparison of Oculomotor, Disorientation, and Nausea SSQ scores before and after exposure to conventional and VR simulators.
Figure 6. Comparison of Oculomotor, Disorientation, and Nausea SSQ scores before and after exposure to conventional and VR simulators.
Applsci 15 09123 g006
Figure 7. Comparison of individual symptoms reflected in SSQ total scores following exposure to conventional and VR simulators. (Note: Although several symptoms were elevated in VR, overall sickness levels remained moderate).
Figure 7. Comparison of individual symptoms reflected in SSQ total scores following exposure to conventional and VR simulators. (Note: Although several symptoms were elevated in VR, overall sickness levels remained moderate).
Applsci 15 09123 g007
Table 1. Descriptive statistics and differences in the Simulator Sickness Questionnaire (SSQ) results in the classic simulator scenario. (1) raw, uncorrected; (2) adjusted (Holm–Bonferroni correction) p-values are reported.
Table 1. Descriptive statistics and differences in the Simulator Sickness Questionnaire (SSQ) results in the classic simulator scenario. (1) raw, uncorrected; (2) adjusted (Holm–Bonferroni correction) p-values are reported.
WilcoxonCohen’s
r
SSQMeanSt.dev.Min.Max.Zp (raw)p (adj.)
Nausea −0.7960.4630.6180.14
small
  • pre-
19.0819.47066.78
  • post-
19.0811.02038.16
Oculomotor −1.4900.1500.5680.26
small
  • pre-
25.6621.78068.22
  • post-
32.6521.30075.8
Disorientation −1.0800.3090.6180.19
small
  • pre-
16.0617.83055.68
  • post-
23.5620.00055.68
Total −1.5100.1420.5680.27
small
  • pre-
24.4520.233.7467.32
  • post-
29.9217.073.7467.32
Table 2. Descriptive statistics and differences in the Simulator Sickness Questionnaire (SSQ) results in the VR simulator scenario. Raw, uncorrected, and adjusted (Holm–Bonferroni correction) p-values are reported. Statistically significant differences are indicated in bold.
Table 2. Descriptive statistics and differences in the Simulator Sickness Questionnaire (SSQ) results in the VR simulator scenario. Raw, uncorrected, and adjusted (Holm–Bonferroni correction) p-values are reported. Statistically significant differences are indicated in bold.
WilcoxonCohen’s
r
SSQMeanSt.dev.Min.Max.Zp (raw)p (adj.)
Nausea −0.9790.3590.3590.17
small
  • pre-
9.5415.220.0047.70
  • post-
14.3116.020.0038.16
Oculomotor −2.5700.0150.0600.45
medium
  • pre-
10.7411.410.0030.32
  • post-
22.7419.920.0068.22
Disorientation −2.3900.0210.0600.42
medium
  • pre-
5.809.310.0027.84
  • post-
22.0417.260.0041.76
Total −2.4000.0180.0600.42
medium
  • pre-
10.6012.440.0041.14
  • post-
22.7517.793.7459.84
Disclaimer/Publisher’s Note: The statements, opinions and data contained in all publications are solely those of the individual author(s) and contributor(s) and not of MDPI and/or the editor(s). MDPI and/or the editor(s) disclaim responsibility for any injury to people or property resulting from any ideas, methods, instructions or products referred to in the content.

Share and Cite

MDPI and ACS Style

Muczyński, B.; Gralak, R.; Bilewski, M. Simulator Sickness in Maritime Training: A Comparative Study of Conventional Full-Mission Ship Bridge Simulator and Virtual Reality. Appl. Sci. 2025, 15, 9123. https://doi.org/10.3390/app15169123

AMA Style

Muczyński B, Gralak R, Bilewski M. Simulator Sickness in Maritime Training: A Comparative Study of Conventional Full-Mission Ship Bridge Simulator and Virtual Reality. Applied Sciences. 2025; 15(16):9123. https://doi.org/10.3390/app15169123

Chicago/Turabian Style

Muczyński, Bartosz, Rafał Gralak, and Mateusz Bilewski. 2025. "Simulator Sickness in Maritime Training: A Comparative Study of Conventional Full-Mission Ship Bridge Simulator and Virtual Reality" Applied Sciences 15, no. 16: 9123. https://doi.org/10.3390/app15169123

APA Style

Muczyński, B., Gralak, R., & Bilewski, M. (2025). Simulator Sickness in Maritime Training: A Comparative Study of Conventional Full-Mission Ship Bridge Simulator and Virtual Reality. Applied Sciences, 15(16), 9123. https://doi.org/10.3390/app15169123

Note that from the first issue of 2016, this journal uses article numbers instead of page numbers. See further details here.

Article Metrics

Back to TopTop