Analysis of the Vibration Characteristics of a Moving Tracked Vehicle Considering the Powertrain Magnetorheological Damping System
Abstract
1. Introduction
2. Dynamics Model of a Tracked Vehicle with Powertrain
2.1. Working Principle of Powertrain
2.2. Characterstics of MR Mount
2.3. Overall Transfer Equation of the Vehicle Body Subsystem
3. Vibration Characteristics Analysis of Powertrain Suspension System
3.1. Road Excitation
3.2. Results and Analysis of Powertrain Vibration Response
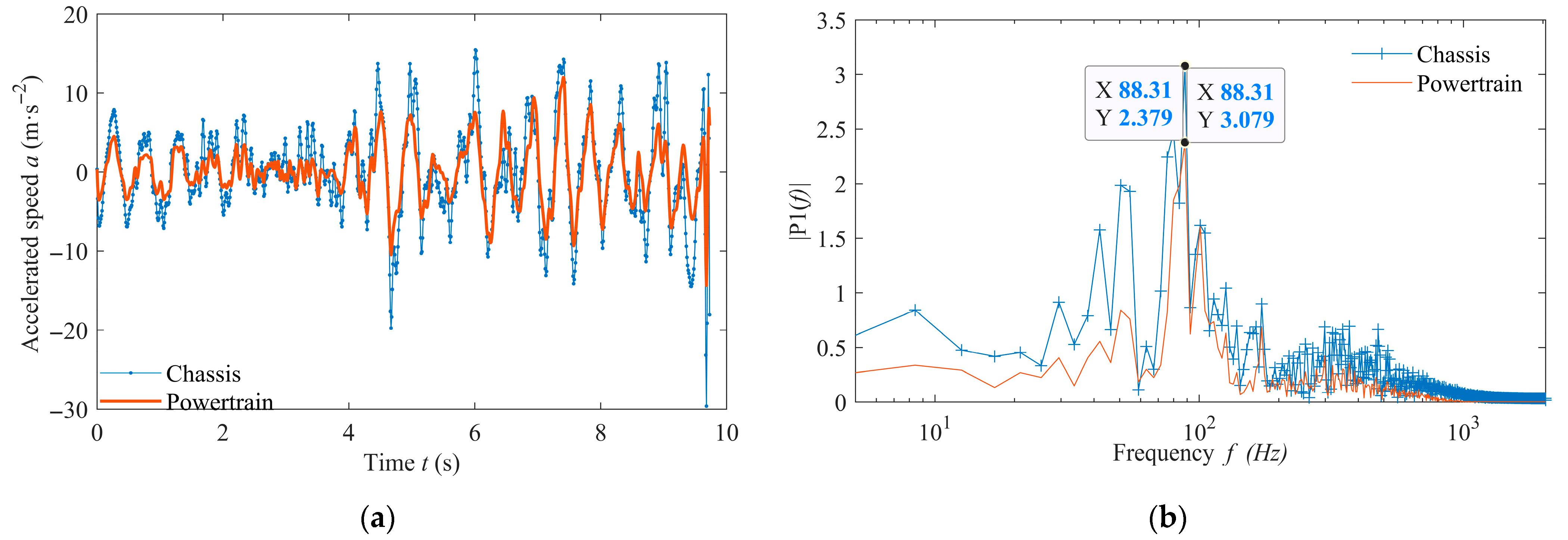
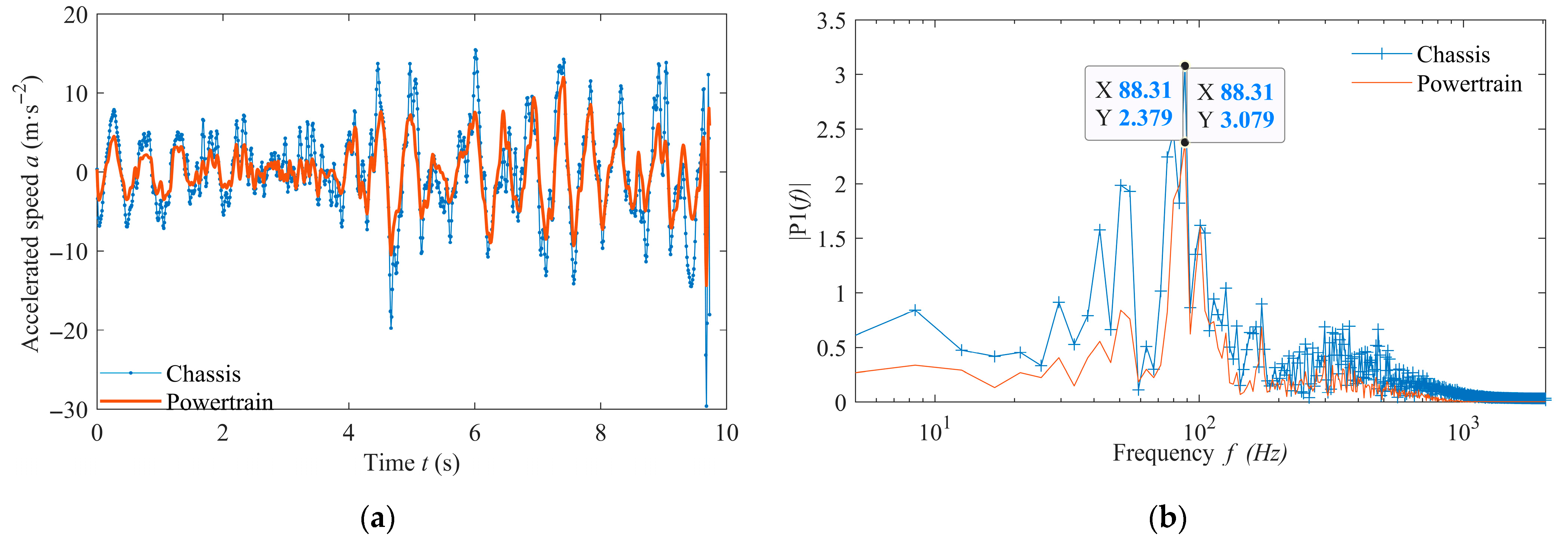
3.3. Vehicle Vibration Test in Motion
4. Conclusions
Author Contributions
Funding
Data Availability Statement
Conflicts of Interest
Nomenclature
| Symbol | Description | 
| Stiffness matrix of the MR mount | |
| Damping matrix of the MR mount | |
| Damping ratio of the MR mount | |
| Current applied to the MR mount | |
| Label of rigid body | |
| Projection of acceleration vector | |
| Projection of angular acceleration vector | |
| Projection of internal torque vector | |
| Projection of force vector | |
| State vector at the input end of element i | |
| State vector at the output end of element i | |
| Input coordinate system of hinge element 8 | |
| Output coordinate system of hinge element 8 | |
| Global inertial coordinate system | |
| Input coordinate system of element i | |
| Control force | |
| Direction cosine matrix in | |
| Angular velocity vector | |
| Projection of angular velocity vector in | |
| Projection of angular velocity vector in | |
| Relative rotation angle | |
| Position vector of input end (9th body element) relative to 26th input end (7th body element) | |
| Projection of in . | |
| Projection of in . | |
| 26th input end of the 7th body element in . | |
| Input end of the 9th body element of the magnetorheological damping device in . | |
| Overall transfer matrix of the vehicle body subsystem | |
| Overall state vector of the vehicle body subsystem | |
| Transfer matrix of element j | |
| Product of transfer matrices | |
| Coefficient matrix in the geometric equations | |
| Power spectral density | |
| Spatial frequency | |
| Temporal frequency | |
| Vehicle speed | 
References
- Danilevičius, A.; Karpenko, M.; Křivánek, V. Research on the noise pollution from different vehicle categories in the urban area. Transport 2023, 38, 1–11. [Google Scholar] [CrossRef]
 - Karpenko, M.; Prentkovskis, O.; Skačkauskas, P. Analysing the impact of electric kick-scooters on drivers: Vibration and frequency transmission during the ride on different types of urban pavements. Eksploat. I Niezawodn.–Maint. Reliab. 2025, 27, 199893. [Google Scholar] [CrossRef]
 - Kim, Y.D.; Jeong, J.E.; Park, J.S. Optimization of the lower arm of a vehicle suspension system for road noise reduction by sensitivity analysis. Mech. Mach. Theory 2013, 69, 278–302. [Google Scholar] [CrossRef]
 - Karpenko, M.; Ževžikov, P.; Stosiak, M.; Skačkauskas, P.; Borucka, A.; Delembovskyi, M. Vibration Research on Centrifugal Loop Dryer Machines Used in Plastic Recycling Processes. Machines 2024, 12, 29. [Google Scholar] [CrossRef]
 - Gkagkasa, K.; Ponnuchamyb, V.; Dašićc, S.; Miljan, I. Molecular dynamics investigation of a model ionic liquid lubricant for automotive applications. Tribol. Int. 2017, 113, 83–91. [Google Scholar] [CrossRef]
 - Cardoso, D.; Fael, P.; Gaspar, P.; Espírito-Santo, A. Balancing cam mechanism for instantaneous torque and velocity stabilization in internal combustion engines: Simulation and experimental validation. Energies 2025, 18, 3256. [Google Scholar] [CrossRef]
 - Yu, Y.; Naganathan, N.G.; Dukkipatit, R.V. Review of automotive vehicle engine mounting systems. Int. J. Veh. Des. 2000, 24, 299–319. [Google Scholar] [CrossRef]
 - Kumar, A.; Kiran, A.R.; Hombalmath, M.; Mathad, M.; Rane, S.S.; Patil, A.Y.; Kotturshettar, B.B. Design and analysis of engine mount for biodegradable and non-biodegradable damping materials. J. Phys. Conf. Ser. 2020, 1706, 012182. [Google Scholar] [CrossRef]
 - Zhang, J.; Feng, J.; Han, B. Design on vibration absorber for explosion-proof diesel engine and test analysis. Min. Process. Equip. 2020, 48, 19–24. [Google Scholar] [CrossRef]
 - Santhosh, S.; Velmurugan, V.; Paramasivam, V.; Thanikaikarasan, S. Experimental investigation and comparative analysis of rubber engine mount vibration and noise characteristics. Mater. Today Proc. 2020, 21, 638–642. [Google Scholar] [CrossRef]
 - Bian, Y.; Gao, Z.; Hu, J.; Fan, M. A semi-active control method for decreasing longitudinal torsional vibration of vehicle engine system: Theory and experiments. J. Sound Vib. 2019, 439, 413–433. [Google Scholar] [CrossRef]
 - Dong, X.M.; Li, W.F.; Yu, J.Q.; Pan, C.W.; Xi, J.; Zhou, Y.Q.; Wang, X.H. Magneto-Rheological Variable Stiffness and Damping Torsional Vibration Control of Powertrain System. Front. Mater. 2020, 7, 121. [Google Scholar] [CrossRef]
 - Elahinia, M.; Ciocanel, C.; Nguyen, T.M.; Wang, S. MR- and ER-Based Semiactive Engine Mounts: A Review. Smart Mater. Res. 2013, 2013, 1–21. [Google Scholar] [CrossRef]
 - Ladipo, I.L.; Fadly, J.D.; Faris, W.F. Characterization of Magnetorheological Elastomer (MRE) Engine Mounts. Mater. Today Proc. 2016, 3, 411–418. [Google Scholar] [CrossRef]
 - Chen, S.; Li, R.; Du, P.; Zheng, H.; Li, D. Parametric Modeling of a Magnetorheological Engine Mount Based on a Modified Polynomial Bingham Model. Front. Mater. 2019, 6, 68. [Google Scholar] [CrossRef]
 - Deng, Z.; Cai, Q.; Li, Y.; Wei, H.; Yang, Q.; Dong, S. Magnetic circuit design and optimisation of magnetorheological mount with tapered channel under the flow mode. J. Intell. Mater. Syst. Struct. 2021, 32, 1614–1623. [Google Scholar] [CrossRef]
 - Huang, J.C.; Li, S.Q.; Zhou, Y.X.; Xu, T.C.; Li, Y.C.; Wang, H.X.; Wang, S.G. A heavy-duty magnetorheological fluid mount with flow and squeeze model. Smart Mater. Struct. 2021, 30, 085012. [Google Scholar] [CrossRef]
 - Kim, M.; Yoo, S.; Yoon, D.; Jin, C.; Won, S.; Lee, J. Numerical analysis of the vehicle damping performance of a magnetorheological damper with an additional flow energy path. Appl. Sci. 2024, 14, 10575. [Google Scholar] [CrossRef]
 - Wang, Z.; Hu, H.; Yang, J.; Zheng, J.; Zhao, W.; Ouyang, Q. Experimental study on the skyhook control of a magnetorheological torsional vibration damper. Micromachines 2024, 15, 236. [Google Scholar] [CrossRef]
 - Fu, J.; Huang, C.; Shu, R.; Li, X.; Chen, M.; Chen, Z.; Chen, B. Multi-objective optimization of magnetorheological mount considering optimal damping force and maximum adjustable coefficient. Machines 2023, 11, 60. [Google Scholar] [CrossRef]
 - Wang, M.; Lu, D.; Xu, Y.; Guo, Y.; Li, B.; Wereley, N. Theoretical and experimental research on an optimal control for a magnetorheological shock mitigation system. Appl. Sci. 2024, 14, 7317. [Google Scholar] [CrossRef]
 - Phu, D.X.; Choi, S.B. Magnetorheological Fluid Based Devices Reported in 2013–2018: Mini-Review and Comment on Structural Configurations. Front. Mater. 2019, 6, 19. [Google Scholar] [CrossRef]
 - Si, Z.; Bai, X.; Qian, L.; Chen, P. Principle and Control of Active Engine Mount Based on Magnetostrictive Actuator. Chin. J. Mech. Eng. 2022, 35, 146. [Google Scholar] [CrossRef]
 - Fan, R.; Fei, Z.; Zhou, B.; Gong, H.; Song, P.J. Two-step dynamics of a semiactive hydraulic engine mount with four-chamber and three-fluid-channel. J. Sound Vib. 2020, 480, 115403. [Google Scholar] [CrossRef]
 - Hu, D.; Yan, Y.; Xu, X.; Wang, J. Dynamics analysis of the hybrid powertrain under multi-frequency excitations with two time scales. AIP Adv. 2018, 8, 065212. [Google Scholar] [CrossRef]
 - Kim, S.H.; Yoon, D.S.; Kim, G.W.; Choi, S.B.; Jeong, J.Y.; Kim, J.H.; Kim, S.J.; Kim, I.D. Road traveling test for vibration control of a wheel loader cabin installed with magnetorheological mounts. J. Intell. Mater. Syst. Struct. 2021, 32, 1336–1348. [Google Scholar] [CrossRef]
 - Xu, X.; Su, C.; Dong, P.; Liu, Y.; Wang, S. Optimization design of powertrain mounting system considering vibration analysis of multi-excitation. Adv. Mech. Eng. 2018, 10, 1687814018788246. [Google Scholar] [CrossRef]
 - Zhou, H.; Liu, H.; Gao, P.; Xiang, C. Optimization Design and Performance Analysis of Vehicle Powertrain Mounting System. Chin. J. Mech. Eng. 2018, 31, 31. [Google Scholar] [CrossRef]
 - Cai, B.; Shangguan, W.; Lu, H.; Tao, B. Hybrid uncertainties-based analysis and optimization design of powertrain mounting systems. Sci. China Technol. Sci. 2020, 63, 838–850. [Google Scholar] [CrossRef]
 - Li, W.; Ge, X.; Liang, M.; Deng, X. Magneto-rheological variable damping and variable stiffness torsional vibration control of powertrain transmission. J. Mech. Sci. Technol. 2023, 37, 3887–3900. [Google Scholar] [CrossRef]
 - Sun, G. Study on the Key Technology in Active Vibration Control of Automobile Power-Train. Ph.D. Dissertation, Jilin University, Changchun, China, 2007. [Google Scholar]
 - Deng, Z. Optimal Design and Control Strategy Research of Automotive Powertrain Magneto-Rheological Mount. Ph.D. Dissertation, Chongqing University, Chongqing, China, 2015. [Google Scholar]
 - Mo, S.; Chen, K.; Zhang, Y.; Zhang, W. Vertical dynamics analysis and multi-objective optimization of electric vehicle considering the integrated powertrain system. Appl. Math. Model. 2024, 131, 33–48. [Google Scholar] [CrossRef]
 - Zhang, J. Study Transfer on Some Matrix Issues Method of the for New Version Mulitbody of Systems. Ph.D. Dissertation, Nanjing University of Science and Technology, Nanjing, China, 2017. [Google Scholar]
 - Liu, X.; Zhang, X. A new load bearing capacity assessment method of the road pavement based on surface strain and the spectrum of the acceleration. SN Appl. Sci. 2024, 5, 169. [Google Scholar] [CrossRef]
 - Adams Car. Available online: https://hexagon.com/products/adams-car (accessed on 20 June 2025).
 - Rui, X.; Wang, X.; Zhou, Q.; Zhang, J. Transfer matrix method for multibody systems (Rui method) and its applications. Sci. China Tech. Sci. 2019, 62, 712–720. [Google Scholar] [CrossRef]
 














| Road  Spectrum Level  | Vehicle Speed (m/s) | Chassis Acceleration Response (m/s2) | Powertrain Acceleration Response (m/s2) | ||||
|---|---|---|---|---|---|---|---|
| X-Direction | Y-Direction | Z-Direction | X-Direction | Y-Direction | Z-Direction | ||
| A | 5 | 2.325 | 4.484 | 1.884 | 2.263 | 2.050 | 1.408 | 
| 10 | 4.520 | 7.602 | 3.917 | 4.414 | 4.209 | 2.296 | |
| 20 | 5.087 | 13.799 | 3.696 | 5.932 | 7.522 | 2.458 | |
| B | 5 | 2.386 | 4.402 | 1.971 | 2.314 | 2.029 | 1.485 | 
| 10 | 4.355 | 8.091 | 3.945 | 4.405 | 4.441 | 2.301 | |
| 20 | 5.034 | 14.787 | 4.051 | 6.001 | 7.858 | 2.795 | |
| C | 5 | 2.455 | 4.520 | 1.947 | 2.392 | 2.068 | 1.515 | 
| 10 | 4.424 | 7.521 | 3.185 | 4.492 | 3.975 | 2.242 | |
| 20 | 4.758 | 13.733 | 3.972 | 5.738 | 7.513 | 2.464 | |
| D | 5 | 2.446 | 4.823 | 2.041 | 2.407 | 2.260 | 1.563 | 
| 10 | 4.212 | 6.914 | 3.140 | 4.286 | 3.720 | 2.051 | |
| 20 | 4.828 | 11.776 | 4.222 | 5.392 | 6.232 | 2.608 | |
| E | 5 | 2.536 | 4.983 | 2.119 | 2.483 | 2.475 | 1.562 | 
| 10 | 4.251 | 9.948 | 4.491 | 4.555 | 5.526 | 2.870 | |
| 20 | 5.220 | 14.991 | 4.155 | 5.964 | 8.750 | 3.166 | |
| F | 5 | 2.830 | 6.025 | 2.172 | 2.756 | 3.114 | 1.635 | 
| 10 | 4.212 | 6.914 | 3.140 | 4.286 | 3.720 | 2.051 | |
| 20 | 5.457 | 11.460 | 5.175 | 6.528 | 5.871 | 2.845 | |
| G | 5 | 3.057 | 6.653 | 2.446 | 2.946 | 3.487 | 1.804 | 
| 10 | 4.696 | 9.797 | 3.687 | 4.610 | 5.720 | 2.388 | |
| 20 | 5.704 | 11.846 | 4.185 | 5.297 | 8.243 | 2.777 | |
| H | 5 | 2.696 | 5.149 | 1.956 | 2.702 | 2.528 | 1.525 | 
| 10 | 4.494 | 8.385 | 3.323 | 4.325 | 3.995 | 2.242 | |
| 20 | 7.029 | 15.734 | 4.163 | 6.303 | 8.610 | 2.820 | |
Disclaimer/Publisher’s Note: The statements, opinions and data contained in all publications are solely those of the individual author(s) and contributor(s) and not of MDPI and/or the editor(s). MDPI and/or the editor(s) disclaim responsibility for any injury to people or property resulting from any ideas, methods, instructions or products referred to in the content.  | 
© 2025 by the authors. Licensee MDPI, Basel, Switzerland. This article is an open access article distributed under the terms and conditions of the Creative Commons Attribution (CC BY) license (https://creativecommons.org/licenses/by/4.0/).
Share and Cite
Tao, Y.; Rui, X.; Liu, F.; Shan, J.; Zhang, J. Analysis of the Vibration Characteristics of a Moving Tracked Vehicle Considering the Powertrain Magnetorheological Damping System. Appl. Sci. 2025, 15, 8997. https://doi.org/10.3390/app15168997
Tao Y, Rui X, Liu F, Shan J, Zhang J. Analysis of the Vibration Characteristics of a Moving Tracked Vehicle Considering the Powertrain Magnetorheological Damping System. Applied Sciences. 2025; 15(16):8997. https://doi.org/10.3390/app15168997
Chicago/Turabian StyleTao, Yu, Xue Rui, Feifei Liu, Jinyu Shan, and Jianshu Zhang. 2025. "Analysis of the Vibration Characteristics of a Moving Tracked Vehicle Considering the Powertrain Magnetorheological Damping System" Applied Sciences 15, no. 16: 8997. https://doi.org/10.3390/app15168997
APA StyleTao, Y., Rui, X., Liu, F., Shan, J., & Zhang, J. (2025). Analysis of the Vibration Characteristics of a Moving Tracked Vehicle Considering the Powertrain Magnetorheological Damping System. Applied Sciences, 15(16), 8997. https://doi.org/10.3390/app15168997
        
