Impact of Extraction Conditions on Resveratrol Content and Antioxidant Properties of Japanese Knotweed Extracts
Abstract
Featured Application
Abstract
1. Introduction
2. Materials and Methods
2.1. Chemicals and Materials
2.2. Preparation of Extracts
- temperature: 25 °C or 50 °C
- ultrasonic frequency: 37 kHz or 80 kHz
- generator power: 100% of maximum power (720 W)
- extraction time: 10 min or 20 min
- ratio of plant material to volume of extraction mixture: 0.4 g/50 mL.
2.3. Chromatographic Analysis
- -
- temperature: 25 °C
- -
- mobile phase composition: a mixture of acetonitrile (solvent B) and deionized Milli-Q water with acetic acid (5% v/v, solvent A). Each separation was performed first using isocratic elution for 15 min (85% A and 15% B), after which the measurement was carried out in gradient conditions with linear increase (increase of B = 2.5%/min, t = 10 min, final content of component B = 40%)
- -
- mobile phase flow: F = 1 mL/min
- -
- detection at a wavelength of 330 nm.
- -
- equation of the calibration curve: y = 240.80x − 0.1374 (where: y—area under the peak [mAU*min], x—concentration [mg/mL]
- -
- limit of quantification: LOQ = 0.001 mg/mL
- -
- coefficient of quantification: R2 = 0.9995. The LOQ was assumed to be 10 × Sy/slope.
2.4. Determination of Antioxidant Properties
2.4.1. Free Radical Neutralization Capacity Assessed Using ABTS and DPPH Methods
2.4.2. Ability to Reduce Metal Ions, Assessed Using FRAP and CUPRAC Methods
2.5. Determination of Polyphenolic Compounds
3. Results and Discussion
3.1. Determination of Resveratrol Content
3.2. Ability to Neutralize Free Radicals (ABTS and DPPH Methods)
3.3. Ability to Reduce Metal Ions (FRAP and CUPRAC Methods)
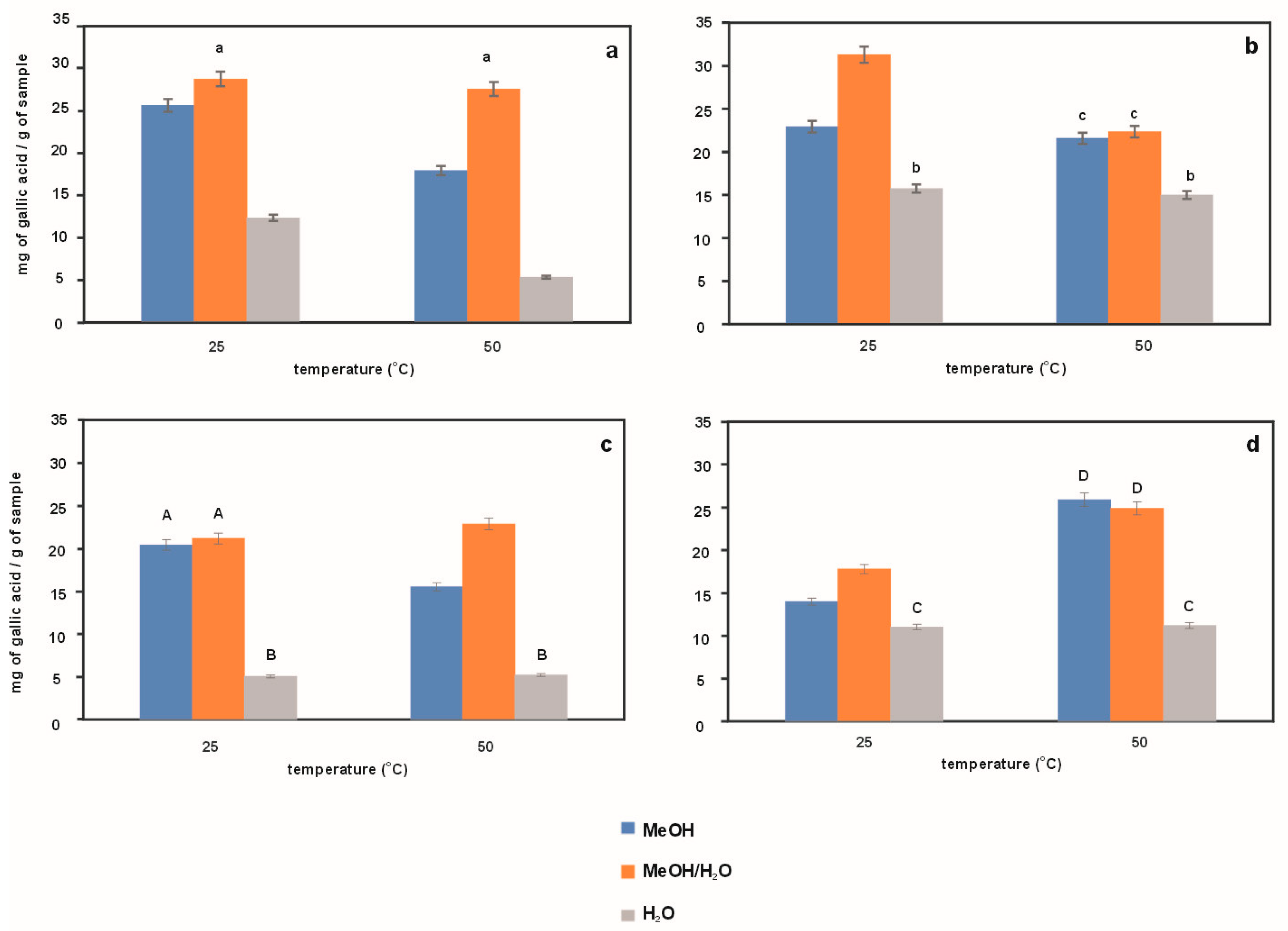
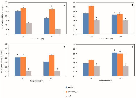
3.4. Determination of Polyphenolic Content
4. Conclusions
Author Contributions
Funding
Institutional Review Board Statement
Informed Consent Statement
Data Availability Statement
Acknowledgments
Conflicts of Interest
Abbreviations
| ABTS | 2,2′-Azinobis(3-ethylbenzothiazoline-6-sulfonic acid diammonium salt |
| CUPRAC | Cupric Reducing Antioxidant Capacity |
| DPPH | 2,2′-diphenyl-1-picrylhydrazyl |
| FRAP | Ferric Reducing Antioxidant Parameter |
| GAE | Gallic Acid Equivalent |
| Nc | 2,9-dimethyl-1,10-phenanthroline, (neocupreine) |
| TPTZ | 2,4,6-tri(2-pyridyl)-s-triazine |
| UASE | ultrasound-assisted solvent extraction |
References
- Shadyro, O.; Lisovskaya, A. ROS-induced lipid transformations without oxygen participation. Chem. Phys. Lipids 2019, 221, 176–183. [Google Scholar] [CrossRef]
- Ilari, S.; Proietti, S.; Milani, F.; Vitiello, L.; Muscoli, C.; Russo, P.; Bonassi, S. Dietary Patterns, Oxidative Stress, and Early Inflammation: A Systematic Review and Meta-Analysis Comparing Mediterranean, Vegan, and Vegetarian Diets. Nutrients 2025, 17, 548. [Google Scholar] [CrossRef] [PubMed]
- Xu, D.P.; Li, Y.; Meng, X.; Zhou, T.; Zhou, Y.; Zheng, J.; Zhang, J.-J.; Li, H.-B. Natural Antioxidants in Foods and Medicinal Plants: Extraction, Assessment and Resources. Int. J. Mol. Sci. 2017, 18, 96. [Google Scholar] [CrossRef] [PubMed]
- Aleksandrova, K.; Koelman, L.; Rodrigues, C.E. Dietary patterns and biomarkers of oxidative stress and inflammation: A systematic review of observational and intervention studies. Redox Biol. 2021, 42, 101869. [Google Scholar] [CrossRef] [PubMed]
- Rudrapal, M.; Khairnar, S.J.; Khan, J.; Dukhyil, A.B.; Ansari, M.A.; Alomary, M.N.; Alshabrmi, F.M.; Palai, S.; Deb, P.K.; Devi, R. Dietary Polyphenols and Their Role in Oxidative Stress-Induced Human Diseases: Insights Into Protective Effects, Antioxidant Potentials and Mechanism(s) of Action. Front. Pharmacol. 2022, 14, 806470. [Google Scholar] [CrossRef]
- Moreda-Piñeiro, J.; Moreda-Piñeiro, A. Combined assisted extraction techniques as green sample pre-treatments in food analysis. Trends Anal. Chem. 2019, 118, 1–18. [Google Scholar] [CrossRef]
- Olszowy-Tomczyk, M.; Wianowska, D. A Comparative Evaluation of the Antioxidant Ability of Polygonum cuspidatum Extracts with That of Resveratrol Itself. Processes 2025, 13, 9. [Google Scholar] [CrossRef]
- Quinty, V.; Colas, C.; Nasreddine, R.; Nehmé, R.; Piot, C.; Draye, M.; Destandau, E.; Da Silva, D.; Chatel, G. Screening and Evaluation of Dermo-Cosmetic Activities of the Invasive Plant Species Polygonum cuspidatum. Plants 2022, 12, 83. [Google Scholar] [CrossRef]
- Constantinescu, T.; Mihis, A.G. Resveratrol as a privileged molecule with antioxidant activity. Food Chem. Adv. 2023, 3, 100539. [Google Scholar] [CrossRef]
- Tao, W.; Zhang, H.; Jiang, X.; Chen, N. Resveratrol combats chronic diseases through enhancing mitochondrial quality. Sci. Human. Wellness 2024, 13, 597–610. [Google Scholar] [CrossRef]
- Re, R.; Pellegrini, N.; Proteggente, A.; Pannala, A.; Yang, M.; Rice-Evans, C. Antioxidant activity applying an improved ABTS radical cation decolorization assay. Free Radic. Biol. Med. 1999, 26, 1231–1237. [Google Scholar] [CrossRef]
- Garcia, E.J.; Oldoni, T.; de Alencar, S.M.; Reis, A.; Loguercio, A.D.; Grande, R.H.M. Antioxidant activity by DPPH assay of potential solutions to be applied on bleached teeth. Braz. Dent. J. 2012, 23, 22–27. [Google Scholar] [CrossRef]
- Spiegel, M.; Kapusta, K.; Kołodziejczyk, W.; Saloni, J.; Zbikowska, B.; Hill, G.A.; Sroka, Z. Antioxidant activity of selected phenolic acids–Ferric Reducing Antioxidant Power Assay and QSAR analysis of the structural features. Molecules 2020, 25, 3088. [Google Scholar] [CrossRef] [PubMed]
- Özyürek, M.; Güçlü, K.; Tütem, E.; Başkan, K.S.; Erçağ, E.; Çelik, S.E.; Baki, S.; Yildis, L.; Karaman, S.; Apak, R. A comprehensive review of CUPRAC methodology. Anal. Methods 2011, 3, 2439–2453. [Google Scholar] [CrossRef]
- Olszowy-Tomczyk, M.; Wianowska, D. Comparison of the Antioxidant Properties of Extracts Obtained from Walnut Husks as well as the Influence of Juglone on Their Evaluation. Appl. Sci. 2024, 14, 2972. [Google Scholar] [CrossRef]
- Esclapez, M.D.; Garcia-Perez, J.V.; Mulet, A.; Carcel, J.A. Ultrasound-assisted extraction of natural products. Food Eng. Rev. 2011, 3, 108–120. [Google Scholar] [CrossRef]
- Soria, A.C.; Villamiel, M. Effect of ultrasound on the technological properties and bioactivity of food: A review. Trends Food Sci. Technol. 2010, 21, 323–331. [Google Scholar] [CrossRef]
- Chemat, F.; Zille-Huma; Khan, M.K. Applications of ultrasound in food technology: Processing, preservation and extraction. Ultrason. Sonochem 2011, 18, 813–835. [Google Scholar] [CrossRef]
- Talmaciu, A.I.; Volf, I.; Popa, V.I. A comparative analysis of the “green” techniques applied for polyphenols extraction from bioresources. Chem. Biodivers. 2015, 12, 1635–1651. [Google Scholar] [CrossRef]
- Fletes-Vargas, G.; Rodríguez-Rodríguez, R.; Pacheco, N.; Pérez-Larios, A.; Espinosa-Andrews, H. Evaluation of the Biological Properties of an Optimized Extract of Polygonum cuspidatum Using Ultrasonic-Assisted Extraction. Molecules 2023, 28, 4079. [Google Scholar] [CrossRef]
- Shen, L.; Pang, S.; Zhong, M.; Sun, Y.; Qayum, A.; Liu, X.; Rashid, A.; Xu, B.; Liang, Q.; Ma, H.; et al. A comprehensive review of ultrasonic assisted extraction (UAE) for bioactive components: Principles, advantages, equipment, and combined technologies. Ultrason. Sonochem 2023, 101, 106646. [Google Scholar] [CrossRef] [PubMed]
- Liao, J.; Xu, H.; Li, J.; Peng, L. Effects of ultrasound frequency and process variables of modified ultrasound-assisted extraction on the extraction of anthocyanin from strawberry fruit. Food Sci. Technol. Campinas 2022, 42, 1–8. [Google Scholar] [CrossRef]
- Wołosiak, R.; Druzyńska, B.; Derewiaka, D.; Piecyk, M.; Majewska, E.; Ciecierska, M.; Worobiej, E.; Pakosz, P. Verification of the Conditions for Determination of Antioxidant Activity by ABTS and DPPH Assays—A Practical Approach. Molecules 2022, 27, 50. [Google Scholar] [CrossRef]
- Hsu, C.Y.; Chan, Y.P.; Chang, J. Antioxidant activity of extract from Polygonum cuspidatum. Biol. Res. 2007, 40, 13–21. [Google Scholar] [CrossRef]
- Choi, D.H.; Han, J.H.; Yu, K.H.; Hong, M.; Lee, S.Y.; Park, K.H.; Lee, S.L.; Kwon, T.H. Antioxidant and Anti-Obesity Activities of Polygonum cuspidatum Extract through Alleviation of Lipid Accumulation on 3T3-L1 Adipocytes. J. Microbiol. Biotechnol. 2020, 30, 21–30. [Google Scholar] [CrossRef] [PubMed]
- Olszowy-Tomczyk, M.; Wianowska, D. Antioxidant Properties of Selected Flavonoids in Binary Mixtures—Considerations on Myricetin, Kaempferol and Quercetin. Int. J. Mol. Sci. 2023, 24, 10070. [Google Scholar] [CrossRef]
- Munteanu, I.G.; Apetrei, C. Analytical Methods Used in Determining Antioxidant Activity: A Review. Int. J. Mol. Sci. 2021, 22, 3380. [Google Scholar] [CrossRef]
- Pan, Y.; Zhang, X.; Wang, H.; Liang, Y.; Zhu, J.; Li, H.; Zhang, Z.; Wu, Q. Antioxidant potential of ethanolic extract of Polygonum cuspidatum and application in peanut oil. Food Chem. 2007, 105, 1518–1524. [Google Scholar] [CrossRef]
- Lee, C.C.; Chen, Y.T.; Chiu, C.C.; Liao, W.T.; Liu, Y.C.; David Wang, H.M. Polygonum cuspidatum extracts as bioactive antioxidaion, anti-tyrosinase, immune stimulation and anticancer agents. J. Biosci. Bioeng. 2015, 119, 464–469. [Google Scholar] [CrossRef]
- Gan, R.Y.; Xu, X.R.; Song, F.L.; Kuang, L.; Li, H.B. Antioxidant activity and total phenolic content of medicinal plants associated with prevention and treatment of cardiovascular and cerebrovascular diseases. J. Med. Plants Res. 2010, 4, 2438–2444. [Google Scholar]
- Ardelean, F.; Moacă, E.A.; Păcurariu, C.; Antal, D.S.; Dehelean, C.; Toma, C.C.; Drăgan, S. Invasive Polygonum cuspidatum: Physico-chemical analysis of a plant extract with pharmaceutical potential. Stud. Univ. “Vasile Goldiş” Ser. Ştiinţele Vieţii 2016, 26, 415–421. [Google Scholar]






Disclaimer/Publisher’s Note: The statements, opinions and data contained in all publications are solely those of the individual author(s) and contributor(s) and not of MDPI and/or the editor(s). MDPI and/or the editor(s) disclaim responsibility for any injury to people or property resulting from any ideas, methods, instructions or products referred to in the content. |
© 2025 by the authors. Licensee MDPI, Basel, Switzerland. This article is an open access article distributed under the terms and conditions of the Creative Commons Attribution (CC BY) license (https://creativecommons.org/licenses/by/4.0/).
Share and Cite
Olszowy-Tomczyk, M.; Wianowska, D. Impact of Extraction Conditions on Resveratrol Content and Antioxidant Properties of Japanese Knotweed Extracts. Appl. Sci. 2025, 15, 7726. https://doi.org/10.3390/app15147726
Olszowy-Tomczyk M, Wianowska D. Impact of Extraction Conditions on Resveratrol Content and Antioxidant Properties of Japanese Knotweed Extracts. Applied Sciences. 2025; 15(14):7726. https://doi.org/10.3390/app15147726
Chicago/Turabian StyleOlszowy-Tomczyk, Małgorzata, and Dorota Wianowska. 2025. "Impact of Extraction Conditions on Resveratrol Content and Antioxidant Properties of Japanese Knotweed Extracts" Applied Sciences 15, no. 14: 7726. https://doi.org/10.3390/app15147726
APA StyleOlszowy-Tomczyk, M., & Wianowska, D. (2025). Impact of Extraction Conditions on Resveratrol Content and Antioxidant Properties of Japanese Knotweed Extracts. Applied Sciences, 15(14), 7726. https://doi.org/10.3390/app15147726

