Multi-Dimensional AE Signal Features in Eccentrically Loaded Concrete Structures: A Machine Learning Classification for Damage Progression
Abstract
1. Introduction
2. Materials and Methods
2.1. Experimental Setup
2.2. Acoustic Emission Analysis Methods
2.2.1. K-Means Cluster
- Determine the preset number of K clusters;
- Randomly select K sample points as initial centroids;
- Assign the remaining data points to the nearest neighboring centroid’s cluster based on the Euclidean distance criterion;
- Iteratively update the coordinates of each cluster’s centroid.
2.2.2. RA-AF Analysis
2.2.3. GMM Cluster
3. Results and Analyses
3.1. Damage Process of Specimens
- Phase I (Elastic Compression): Inter-particle compression within the concrete aggregate densifies the internal structure. Macroscopic cracks are generally absent during this stage.
- Phase II (Tensile Crack Initiation and Propagation): Visible cracks initiate on the tension face, penetrating the cross-section and propagating laterally onto adjacent side faces.
- Phase III (Crack Widening and Reinforcement Yielding): Cracks on the tension face widen significantly, while propagation continues on the side faces until longitudinal reinforcement in the tension zone yields.
- Phase IV (Compressive Zone Failure and Capacity Degradation): Vertical cracks develop in the concrete compression zone. The subsequent yielding of compression reinforcement and crushing of the compressive concrete precipitate a decline in the member’s load-bearing capacity.
3.2. Results of AE
3.3. Results of K-Means Cluster Analysis
3.4. RA-AF Analysis Results
4. Discussion
5. Conclusions
- (1)
- AE signal characteristics exhibit strong correlation with damage progression in RC columns. Variations in AE signatures effectively identify damage stages, while eccentricity significantly influences both failure mechanisms and corresponding AE patterns.
- (2)
- The damage stages of reinforced concrete eccentrically compressed columns are divided into four stages using acoustic emission signals and experiments. Different stages have different acoustic emission signal patterns with varying amplitudes and energy ranges. As the damage stage changes, the amplitude and energy range of the acoustic emission further increases.
- (3)
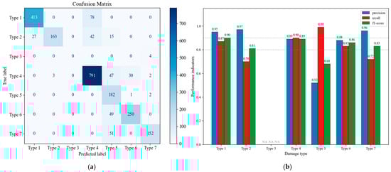
- K-means clustering partitioned AE data into four clusters. However, high-dimensional AE parameter space limits cluster differentiation. Therefore, cluster interpretation incorporated GMM-processed RA-AF results and experimental observations, establishing seven distinct damage labels for classification, which provides a more comprehensive and detailed overview of the different types of damage that occur.
- (4)
- The integrated K-means/GMM supervised learning model achieved an 85% overall accuracy in identifying damage states. Nevertheless, predictive performance warrants further refinement through enhancements such as temporal feature optimization.
- (a)
- Temperature, humidity, and other factors should be introduced into the model to improve its applicability;
- (b)
- Combined with a time series, the classification model should be strengthened to predict the occurrence and location of the structural damage.
Author Contributions
Funding
Data Availability Statement
Acknowledgments
Conflicts of Interest
References
- Chen, T.; Luo, Y.; Shen, Y.; Zhang, L. Dynamic behaviors of corroded RC column under low-velocity impact loading. Ocean Eng. 2025, 324, 120679. [Google Scholar] [CrossRef]
- Abdallah, M.; Dua, A.; Hajiloo, H.; Braimah, A. Dynamic response of RC and CFFT columns under impact loading caused by vehicle collison: Numerical simulation. Structures 2024, 64, 106575. [Google Scholar] [CrossRef]
- Xiao, S.; Fomin, N.I. Development and systematic review of connection techniques for RC Precast structural elements: Beam and Column Connection. Heliyon 2024, 10, e35886. [Google Scholar] [CrossRef] [PubMed]
- Li, D.; Zhou, J.; Ou, J. Damage, nondestructive evaluation and rehabilitation of FRP composite-RC structure: A review. Constr. Build. Mater. 2021, 271, 121551. [Google Scholar] [CrossRef]
- Verstrynge, E.; Steen, C.V.; Vandecruys, E.; Wevers, M. Steel corrosion damage monitoring in reinforced concrete structures with the acoustic emission technique: A review. Constr. Build. Mater. 2022, 349, 128732. [Google Scholar] [CrossRef]
- Behnia, A.; Chai, H.K.; Shiotani, T. Advanced structural health monitoring of concrete structures with the aid of acoustic emission. Constr. Build. Mater. 2014, 65, 282–302. [Google Scholar] [CrossRef]
- Wang, X.; Liu, J.; Li, X.; Chen, Y.F. Behavior of eccentrically loaded circular tubed steel-reinforced concrete short columns using high-strength concrete. Structures 2022, 37, 32–43. [Google Scholar] [CrossRef]
- Yang, Y.; Chen, Y.; Zhang, W.; Feng, S. Behavior of partially precast steel reinforced concrete columns under eccentric loading. Eng. Struct. 2019, 197, 109429. [Google Scholar] [CrossRef]
- Ombres, L.; Verre, S. Structural behaviour of fabric reinforced cementitious matrix (FRCM) strengthened concrete columns under eccentric loading. Compos. Part B Eng. 2015, 75, 235–249. [Google Scholar] [CrossRef]
- Gharehbaghi, V.R.; Noroozinejad Farsangi, E.; Noori, M.; Yang, T.Y.; Li, S.; Nguyen, A.; Nguyen, A.; Málaga-Chuquitaype, C.; Gardoni, P.; Mirjalili, S. A Critical Review on Structural Health Monitoring: Definitions, Methods, and Perspectives. Arch. Comput. Methods Eng. 2022, 29, 2209–2235. [Google Scholar] [CrossRef]
- Pan, T.; Zhang, Z.; Zheng, Y.; Wang, K. Acoustic emission-based analysis of mechanical behavior and damage evolution in corroded RC square columns. Constr. Build. Mater. 2025, 469, 140458. [Google Scholar] [CrossRef]
- Aggelis, D.G. Classification of cracking mode in concrete by acoustic emission parameters. Mech. Res. Commun. 2011, 38, 153–157. [Google Scholar] [CrossRef]
- Emmanuel, R.; Thierry, D.; Gaël, C. Clustering acoustic emission data streams with sequentially appearing clusters using mixture models. Mech. Syst. Signal Process. 2022, 181, 109504. [Google Scholar]
- de Oliveira, R.; Marques, A.T. Health monitoring of FRP using acoustic emission and artificial neural networks. Comput. Struct. 2008, 86, 367–373. [Google Scholar] [CrossRef]
- Arash, E.; Serge, A.K.; Patrice, R.; Ghasem, S. Machine-learning-based crack mode classification in plain concrete considering acoustic emission wave propagation effects. Constr. Build. Mater. 2025, 489, 142188. [Google Scholar]
- Yu, B.; Liang, J.; Ju, J.W. Classification method for crack modes in concrete by acoustic emission signals with semi-parametric clustering and support vector machine. Measurement 2025, 244, 116474. [Google Scholar] [CrossRef]
- Radhika, V.; Kishen, J.C. A comparative study of crack growth mechanisms in concrete through acoustic emission analysis: Monotonic versus fatigue loading. Constr. Build. Mater. 2024, 432, 136568. [Google Scholar]
- Ju, S.; Li, D.; Jia, J. Machine-learning-based methods for crack classification using acoustic emission technique. Mech. Syst. Signal Process. 2022, 178, 109253. [Google Scholar] [CrossRef]
- Diez, A.; Khoa, N.L.D.; Makki Alamdari, M.; Wang, Y.; Chen, F.; Runcie, P. A clustering approach for structural health monitoring on bridges. J. Civ. Struct. Health Monit. 2016, 6, 429–445. [Google Scholar] [CrossRef]
- Yue, J.G.; Wang, Y.N.; Beskos, D.E. Uniaxial tension damage mechanics of steel fiber reinforced concrete using acoustic emission and machine learning crack mode classification. Cem. Concr. Compos. 2021, 123, 104205. [Google Scholar] [CrossRef]
- Yu, X.; Silvio, M.; Mourad, B.; Charfeddine, M. Cluster analysis of acoustic emission signals for the damage pattern recognition of polymer concrete. Appl. Acoust. 2023, 211, 109533. [Google Scholar] [CrossRef]
- Wang, X.; Yue, Q.; Liu, X. Crack pattern identification in cementitious materials based on acoustic emission and machine learning. J. Build. Eng. 2024, 87, 109124. [Google Scholar] [CrossRef]
- Hamdi, S.E.; Duff, A.L.; Simon, L.; Plantier, G.; Sourice, A.; Feuilloy, M. Acoustic emission pattern recognition approach based on Hilbert–Huang transform for structural health monitoring in polymer-composite materials. Appl. Acoust. 2013, 74, 746–757. [Google Scholar] [CrossRef]
- Godin, N.; Huguet, S.; Gaertner, R.; Salmon, L. Clustering of acoustic emission signals collected during tensile tests on unidirectional glass/polyester composite using supervised and unsupervised classifiers. NDT E Int. 2004, 37, 253–264. [Google Scholar] [CrossRef]
- Benavent, A.; Castro, E.; Gallego, A. Evaluation of low-cycle fatigue damage in RC exterior beam-column subassemblages by acoustic emission. Constr. Build. Mater. 2010, 24, 1830–1842. [Google Scholar] [CrossRef]
- Ganasan, R.; Tan, C.G.; Ibrahim, Z.; Bunnori, N.M.; Nazri, F.M.; Nayaka, R.R. Crack assessment of RC beam–column joints subjected to cyclic lateral loading using acoustic emission (AE): The influence of shear links aspect. Can. J. Civ. Eng. 2021, 48, 1274–1286. [Google Scholar] [CrossRef]
- Chen, Z.; Zhang, G.; He, R.; Tian, Z.; Fu, C.; Jin, X. Acoustic emission analysis of crack type identification of corroded concrete columns under eccentric loading: A comparative analysis of RA-AF method and Gaussian mixture model. Case Stud. Constr. Mater. 2023, 18, e02021. [Google Scholar] [CrossRef]
- Shen, W.; Bai, H.; Wang, F.; Li, C.; Du, F. Acoustic Emission characteristics and damage evolution of Concrete-Encased CFST columns under compressive load. Eng. Fract. Mech. 2024, 311, 110578. [Google Scholar] [CrossRef]


















| Time (ms) | Load (kN) | ||
|---|---|---|---|
| C-1 | Phase I | 0~500 | 0~40 |
| Phase II | 500~2100 | 40~180 | |
| Phase III | 2100~5200 | 180~316 | |
| Phase IV | 5200~5800 | 316~235 | |
| C-2 | Phase I | 0~1140 | 0~60 |
| Phase II | 1140~2470 | 40~160 | |
| Phase III | 2470~3000 | 160~290 | |
| Phase IV | 3000~3600 | 290~220 |
| Parameters | PC1 | PC2 | PC3 | PC4 | PC5 | |
|---|---|---|---|---|---|---|
| C-1 | Amplitude (dB) | 0.4958 | 0.3195 | −0.3417 | −0.5386 | −0.4952 |
| Duration (μs) | 0.4079 | 0.0743 | 0.8507 | −0.2754 | 0.1688 | |
| Energy (KpJ) | 0.3276 | 0.6968 | −0.0412 | 0.6238 | 0.1276 | |
| Rise count | 0.5289 | −0.3219 | −0.3868 | −0.0824 | 0.6784 | |
| Rise time (us) | 0.448 | −0.5507 | 0.0904 | 0.488 | −0.4998 | |
| Explained variance ratio (%) | 0.4783 | 0.2164 | 0.1515 | 0.1095 | 0.0443 | |
| C-2 | Amplitude (dB) | 0.4686 | 0.2729 | 0.6413 | −0.1147 | 0.5307 |
| Duration (μs) | 0.5241 | 0.1293 | 0.053 | 0.7166 | −0.4385 | |
| Energy (KpJ) | 0.2728 | 0.7277 | −0.557 | −0.2929 | −0.0053 | |
| Rise count | 0.4956 | −0.3623 | −0.0935 | −0.6073 | −0.4955 | |
| Rise time (us) | 0.4309 | −0.498 | −0.5167 | 0.137 | 0.5297 | |
| Explained variance ratio (%) | 0.551 | 0.2126 | 0.129 | 0.075 | 0.0328 |
| Energy (KpJ) | Amplitude (dB) | ||
|---|---|---|---|
| C-1 | Cluster 1 | 0.031~125.174, mean = 0.8 | 45.3~60.8, mean = 49.5 |
| Cluster 2 | 0.329~566.5, mean = 16.2 | 46.1~82, mean = 58.2 | |
| Cluster 3 | 0.246~701.9, mean = 65 | 46.3~78.5, mean = 59 | |
| Cluster 4 | 980~3140.5, mean = 1568.4 | 74~83.7, mean = 79.9 | |
| C-2 | Cluster 1 | 0.031~125.174, mean = 0.8 | 45.3~60.8, mean = 49.5 |
| Cluster 2 | 0.329~566.5, mean = 16.2 | 46.1~82, mean = 58.2 | |
| Cluster 3 | 0.246~701.9, mean = 65 | 46.3~78.5, mean = 59 | |
| Cluster 4 | 980~3140.5, mean = 1568.4 | 74~83.7, mean = 79.9 |
| Type 1 | Type 2 | Type 3 | Type 4 | Type 5 | Type 6 | Type 7 |
|---|---|---|---|---|---|---|
| Microcrack generation | Microcrack development | Concrete crushing | Mixed cracks | Destruction of ITZ | Aggregate slippage | Shear crack development |
Disclaimer/Publisher’s Note: The statements, opinions and data contained in all publications are solely those of the individual author(s) and contributor(s) and not of MDPI and/or the editor(s). MDPI and/or the editor(s) disclaim responsibility for any injury to people or property resulting from any ideas, methods, instructions or products referred to in the content. |
© 2025 by the authors. Licensee MDPI, Basel, Switzerland. This article is an open access article distributed under the terms and conditions of the Creative Commons Attribution (CC BY) license (https://creativecommons.org/licenses/by/4.0/).
Share and Cite
Ding, S.; Jierula, A.; Kali, A.; Han, T.; Oh, T.-M. Multi-Dimensional AE Signal Features in Eccentrically Loaded Concrete Structures: A Machine Learning Classification for Damage Progression. Appl. Sci. 2025, 15, 7243. https://doi.org/10.3390/app15137243
Ding S, Jierula A, Kali A, Han T, Oh T-M. Multi-Dimensional AE Signal Features in Eccentrically Loaded Concrete Structures: A Machine Learning Classification for Damage Progression. Applied Sciences. 2025; 15(13):7243. https://doi.org/10.3390/app15137243
Chicago/Turabian StyleDing, Shilong, Alipujiang Jierula, Abudusaimaiti Kali, Tong Han, and Tae-Min Oh. 2025. "Multi-Dimensional AE Signal Features in Eccentrically Loaded Concrete Structures: A Machine Learning Classification for Damage Progression" Applied Sciences 15, no. 13: 7243. https://doi.org/10.3390/app15137243
APA StyleDing, S., Jierula, A., Kali, A., Han, T., & Oh, T.-M. (2025). Multi-Dimensional AE Signal Features in Eccentrically Loaded Concrete Structures: A Machine Learning Classification for Damage Progression. Applied Sciences, 15(13), 7243. https://doi.org/10.3390/app15137243

