Next Article in Journal
Image Segmentation and Measurement of Trout Using a Convolutional Neural Network and Transformer Architecture
Previous Article in Journal
Predicting the Hydration of Ground Granulated Blast Furnace Slag and Recycled Glass Blended Cements
 
 
Font Type:
Arial Georgia Verdana
Font Size:
Aa Aa Aa
Line Spacing:
Column Width:
Background:
Article

A Multi-Mode Active Control Method for the Hydropneumatic Suspension of Auxiliary Transport Vehicles in Underground Mines

1
School of Mechanical and Electrical Engineering, China University of Mining and Technology (Beijing), Beijing 100083, China
2
Inner Mongolia Research Institute, University of Mining and Technology (Beijing), Ordos 017004, China
3
Key Laboratory of Intelligent Mining and Robotics, Ministry of Emergency Management, Beijing 100083, China
4
Coal Transportation Department, CHN Energy, Beijing 100013, China
*
Author to whom correspondence should be addressed.
Appl. Sci. 2025, 15(12), 6871; https://doi.org/10.3390/app15126871
Submission received: 16 May 2025 / Revised: 15 June 2025 / Accepted: 16 June 2025 / Published: 18 June 2025
(This article belongs to the Section Acoustics and Vibrations)

Abstract

Auxiliary transport vehicles are essential components of the underground mine auxiliary transportation system, primarily used for tasks such as personnel and material transportation. However, the underground environment is complex, and unstructured roads exhibit significant randomness. Traditional passive hydropneumatic suspension systems struggle to strike a balance between ride comfort and stability, resulting in insufficient adaptability of auxiliary transport vehicles in such challenging underground conditions. To address this issue, this paper proposes a multi-mode hydropneumatic suspension control strategy based on the identification of road surface grades in underground mines. The strategy dynamically adjusts the controller’s parameters in real time according to the identified road surface grades, thereby enhancing vehicle adaptability in complex environments. First, the overall framework of the active suspension control system is constructed, and models of the hydropneumatic spring, vehicle dynamics, and road surface are developed. Then, a road surface grade identification method based on Long Short-Term Memory networks is proposed. Finally, a fuzzy-logic-based sliding mode controller is designed to dynamically map the road surface grade information to the controller’s parameters. Three control objectives are set for different road grades, and the multi-objective optimization of the sliding mode’s surface coefficients and fuzzy-logic-based rule parameters is performed using the Hiking Optimization Algorithm. This approach enables the adaptive adjustment of the suspension system under various road conditions. The simulations indicate that when contrasted with conventional inactive hydropneumatic suspensions, the proposed method reduces the sprung mass’s acceleration by 21.2%, 18.86%, and 17.44% on B-, D-, and F-grade roads, respectively, at a speed of 10 km/h. This significant reduction in the vibrational response validates the potential application of the proposed method in underground mine environments.

1. Introduction

As a core piece of equipment for tunnel transportation in underground mines, auxiliary transport vehicles can replace manual labor for material transport tasks, offering advantages such as high efficiency, strong flexibility, and enhanced safety. However, subsurface conditions are highly dynamic, and unstructured roads exhibit significant randomness, leading to excessive sprung mass acceleration and increased tire dynamic load fluctuations, which severely affect the stability of the vehicle’s operation. The hydropneumatic suspension system, serving as the core load-transmitting component between the vehicle’s chassis and axle, is responsible for transmitting load and torque, as well as effectively dampening shocks from uneven road surfaces. However, relying solely on traditional passive hydropneumatic suspension systems is insufficient to adapt to the strong randomness of unstructured roads in underground mines. Therefore, the hydropneumatic suspension system must incorporate real-time road surface identification and active control functionality to effectively adjust the suspension under varying road conditions, reduce vibrations, and enhance the vehicle’s ride comfort and adaptability.
Auxiliary transport vehicles tweak their active hydropneumatic suspension settings to adapt to various road conditions. To obtain the right suspension, it is necessary to pinpoint the road’s roughness level. Techniques for recognizing this grade of roughness fall into three main categories: those that rely on physical contact, those that do not, and those that gauge the vehicle’s system response. Contact-based measurement [1,2] uses mechanical probes to directly contact the road surface. This technique ensures a high level of precision for slow-speed detection, though its capabilities are constrained by the measurement gear, and it lacks real-time road data updating. Non-contact-based measurement [3,4] uses sensors, such as LiDAR and cameras, to remotely scan and identify road surfaces in real time. However, the accuracy of LiDAR or visual sensors decreases in dimly lit and dusty environments, which are common in mining areas, affecting the precision of the results. Vehicles’ system-response-based methods identify the road surface indirectly by analyzing vehicles’ responses obtained from onboard sensors. These methods are highly adaptable and beneficial for the development of controllable suspension systems. Wang G. et al. [5] introduced a novel method for identifying road surface gradients. Their approach utilizes Support Vector Machines (SVMs) to dissect the behavior of an all-terrain crane under a variety of typical road conditions. Using hydraulic pressure and displacement data for training, this method achieved an accuracy rate of 98%. Wang Z. et al. [6] introduced an adaptive Kalman filtering method that classifies road surfaces based on vertical acceleration, optimizing the estimation accuracy by combining noise variances.
Active suspension control systems enhance vehicles’ ride comfort and stability by equipping active actuators that generate the optimal control forces based on input signals. Tayfun Abut et al. [7] developed a quarter-vehicle suspension model by applying the Lagrange–Euler approach and then fine-tuned the membership function parameters for both fuzzy-logic-based control and fuzzy-logic-based LQR control through particle swarm optimization. An S. et al. [8] suggested a semi-active hydropneumatic suspension control method, leveraging backpropagation and active disturbance rejection techniques. Shao Z. et al. [9] introduced a genetic algorithm for optimizing the fuzzy-logic-based PID control strategy for air suspension. Recently, combining sensors for high-precision road profile estimation with intelligent algorithms to optimize control strategies has become a significant direction for suspension system research. By accurately identifying road conditions, the suspension system can adjust its control strategy dynamically to optimize the vehicle’s dynamic performance. Wang R. et al. [10] introduced a semi-active suspension-switching control method using road profile estimation, enabling multi-controller switching via disturbance assessment and roughness classification. Zhou C. et al. [11] developed an innovative control approach grounded in sliding-mode theory, employing a parallel adaptive clone selection algorithm to fine-tune controller settings. This method effectively enhances passenger comfort and vehicle stability across diverse road surfaces for hydropneumatic suspension systems. Wang S. et al. [12] employed a learning vector quantization neural network to classify road surfaces and then integrated a particle swarm optimization approach to fine-tune hydropneumatic suspension settings. By implementing a fuzzy-logic-based control system for real-time suspension adjustments, their method successfully minimized vertical oscillations in wheeled loaders across various operational scenarios. Although significant strides have been made, implementing intelligent algorithms to fine-tune control strategies, detect road conditions in real time, and automate suspension adjustments continues to present considerable hurdles. This is particularly true in underground mining settings, where practical research and application still lag.
This paper proposes a multi-mode hydropneumatic suspension control method based on road surface grade identification, aiming to dynamically adjust the hydropneumatic suspension system through real-time road condition identification. This approach enhances the vehicle’s ground adaptability and ride comfort in the complex tunnels of underground mines. This paper is organized as follows: Section 2 outlines the system framework and models the hydropneumatic suspension, vehicle dynamics, and road profiles. Section 3 presents the road surface grade identification method, providing the basis for active hydropneumatic suspension adjustment. Section 4 introduces a hydropneumatic suspension control method utilizing road gradient recognition across various modes, designs a fuzzy-logic-based sliding-mode controller, and optimizes the controller’s parameters using the Hiking Optimization Algorithm (HOA). Section 5 examines the controller’s impact on suspension parameters in varied driving scenarios. Section 6 summarizes the findings.

2. Mathematical Model

Within the confined spaces of underground mine tunnels, auxiliary transport vehicles face unstructured road conditions, such as slippery mud and gravel accumulation. To address the high-frequency random shocks and low-frequency large-amplitude oscillations commonly encountered in underground environments, this system constructs a multi-mode control architecture for the hydropneumatic suspension based on road surface identification. By dynamically adjusting the controller’s parameters in real time according to the identified road surface grades, the system ensures the optimal ride comfort, stability, and safety under various operating conditions. The overall active control architecture of the hydropneumatic suspension system is shown in Figure 1.
The system first acquires the vehicle’s acceleration response through an accelerometer and is then fed into the road surface grade identification system for feature extraction and classification. Based on the identified road surface grade, three different control objectives are set. A fuzzy-logic-based sliding-mode controller is established, and the Hiking Optimization Algorithm (HOA) is used to globally optimize the control objective function. The optimized results are then used as input parameters for the fuzzy-logic-based sliding-mode controller. By adjusting the controller’s parameters, the hydropneumatic suspension system is precisely regulated. The adjusted control signals are transmitted to the hydropneumatic suspension system to dynamically adjust the suspension’s parameters, thereby improving the vehicle’s ride comfort and stability.
Table 1 details the factory’s technical parameters of the auxiliary transport vehicle used in this study (manufacturer: Inner Mongolia Bixuan Machinery Manufacturing Co., Ltd., Ordos, China).

2.1. Hydropneumatic Spring Model

Several prior studies have provided mathematical expressions for independent hydropneumatic suspensions [13]. The expression for the output force of the hydropneumatic spring is as follows:
F = F k + F c + F f
The output force of the hydropneumatic spring (Figure 2a) consists of an elastic force ( F k ), a damping force ( F c ), and a frictional force ( F f ). Because there is a lubricating oil film between the surfaces of the piston and cylinder, the frictional force is minimal. Thus, the piston–cylinder friction is disregarded, and the hydropneumatic spring’s external force consists of elasticity and damping.
The expressions for the elastic force and damping force are as follows [14]:
F k = P b V b r ( A 1 A 2 ) V b + ( A 1 A 2 ) ( x s x u ) r F c = A 2 3 ρ 2 ( x ˙ s x ˙ u ) n C d A u + A d 1 2 1 2 s g n ( x ˙ s x ˙ u ) 2 s g n ( x ˙ s x ˙ u )
The stiffness and damping ratios are calculated as the rates of change in the elastic and damping forces about the piston rod’s displacement as follows:
k s = r P b V b r ( A 1 A 2 ) 2 V b + ( A 1 A 2 ) ( x s x u ) r + 1 c s = ρ A 2 3 ( x ˙ s x ˙ u ) n C d A u + A d 1 2 1 2 s g n ( x ˙ s x ˙ u ) 2 s g n ( x ˙ s x ˙ u )
where s g n ( x ˙ s x ˙ ) is the sign function.

2.2. Active Hydropneumatic Suspension Vehicle Model

To study the dynamic response characteristics of the auxiliary transport vehicle under different road conditions, a quarter-active hydropneumatic suspension vehicle’s vibrational model is established, as shown in Figure 2b.
When modeling the auxiliary transport vehicle, the following conditions should be satisfied:
  • The four wheels exhibit identical hydropneumatic suspension configurations and dynamic characteristics, while road excitation profiles demonstrate statistical equivalence. This permits simplification to a quarter-car equivalent model;
  • The model considers only the vertical displacement of the sprung mass; the pitch, roll, and longitudinal vehicle dynamics are neglected;
  • The tire–ground interaction is idealized as a linear spring, with a stiffness coefficient of k u , neglecting tire damping and road-contact loss effects;
  • Road excitation is modeled as a vertical displacement input applied directly to the tire–road contact point.
The mathematical differential equations for the entire vehicle’s two-degree-of-freedom model are as follows:
m s x ¨ s + k s ( x s x u ) + c s ( x ˙ s x ˙ u ) F s = 0 m u x ¨ u k s ( x s x u ) c s ( x ˙ s x ˙ u ) + k u ( x u x r ) + F s = 0
Let the state vector be
x = x s x ˙ s x u x ˙ u T
Then,
x ˙ = A x + B u + C w
The system matrices A, B, and C are as follows:
A = 0 1 0 0 k s m s c s m s k s m s c s m s 0 0 0 1 k s m u c s m u k s + k u m u c s m u B = 0 1 m s 0 1 m u C = 0 0 0 k u m u
where u = [ F s ] denotes the actuator’s force per suspension subsystem; w = [ x r ] indicates the wheel’s road displacement input.

2.3. Road Surface Modeling

Road surface disturbances can be categorized into impulse disturbances and continuous vibrations. Impulse disturbances are caused by sudden protrusions or depressions on a flat road surface, lasting for a short time but with high intensity. Continuous vibrations arise from the ongoing variations along the length of a rough road surface [15]. In vehicle ride comfort studies, the focus is primarily on continuous excitations, and the road’s roughness is typically measured based on the road’s unevenness. The international standard ISO 8608 classifies road unevenness into eight grades based on PSD [16]. This study employs a filtered white noise technique for the modeling and examination of the road surface excitation’s time domain representation. The road excitation model, as detailed in [17], is presented as follows:
x r = 2 π f 0 q ( t ) + 2 π G q ( n 0 ) u w ( t )
where G q ( n 0 ) represents the road’s power spectral density at the spatial frequency of n 0 in m 3 ; n 0 is the reference spatial frequency, typically n 0 = 0.1 m 1 ; x r denotes the road surface displacement in meters; f 0 is the lower cutoff frequency in Hz; and ω ( t ) is a zero-mean, unit-variance Gaussian white noise sequence.
The ISO road surface grade (from A to F) is defined by the G q ( n 0 ) values shown in Table 2. In this paper, the geometric mean of the G q ( n 0 ) columns in Table 2 is selected as the value of the G q ( n 0 ) characteristic parameter for each road grade.

3. Road Surface Grade Identification

The road surface grade identification process is illustrated in Figure 3. First, the vertical acceleration signal of the vehicle body is extracted from the vehicle’s response to the road surface’s excitation. Through the analysis of the acceleration signal, suitable features are selected, and the Pied Kingfisher Optimizer (PKO) is used to further extract key features for distinguishing road surface grades. By constructing an algorithmic model, the classification of road surface grades can be completed based on the vehicle body’s vertical acceleration, without the need for direct measurements of road surface information.

3.1. Acquisition of the Vehicle’s Vibrational Response

Deep learning demands extensive data for network training, yet acquiring comprehensive field vehicle measurements is challenging. Therefore, different road surface roughness signals are generated using filtered white noise, and the network is trained on the vertical acceleration output from the suspension model simulation. A simulation study on ride comfort was conducted using Matlab R2023b, leveraging the previously developed vehicle vibrational model and stochastic road surface model. The experiment was designed to test six distinct vehicle speeds across six varied road surface classifications (A through F). The simulation ran for 3600 s, with a sampling rate of 200 Hz, to capture the vehicle’s vibrational responses under these conditions. In road surface grade reverse identification based on vehicle responses, directly extracting features from the vehicle’s response signal can result in complex and difficult-to-handle features. To simplify the analysis, the vehicle’s response data are divided into 3600 equal-length sequences, each with a 1 s interval. The constructed vehicle vibrational response dataset is randomly split into two sets, with 70% used for training and 30% used for testing. The former trains the model; the latter tests it.

3.2. Feature Selection

Different road grades affect the acceleration signals of the vehicle during operation, and analyzing these signal features can effectively assess the road’s surface quality [18]. Therefore, twelve features from the frequency domain, time domain, and nonlinear domain are selected for comprehensive analysis, including the RMS value, kurtosis ( κ ), mean ( μ ), standard deviation ( σ ), dominant frequency ( f d o ), spectral energy ( E s p ), energy ratio of the frequency bands (BER), maximum power spectral density (Max PSD), wavelet decomposition energy ratio (WER), mean instantaneous frequency (IFM), sample entropy (SE), and Hurst exponent (H). Table 3 summarizes the relevance of each feature in distinguishing pavement classes. By combining these features, road surface grades can be comprehensively evaluated, and different road conditions can be accurately identified.

3.3. Feature Extraction

Feature extraction involves identifying the most relevant attributes from raw data. In this paper, the Pied Kingfisher Optimizer (PKO) [19] is used to remove irrelevant or redundant features, thus improving the model’s performance, reducing the computational cost, and optimizing the system’s performance. After mathematical modeling, feature selection becomes a multi-objective optimization task, with the fitness function defined as follows:
f i t = ( l ρ ) × E + ρ × l L
where E is the classifier’s classification error rate, ρ is the weight coefficient, | l | represents the number of feature subsets selected by the algorithm, and | L | represents the feature count in the initial dataset.
The PKO achieves intrinsic fitness for the feature selection task through its unique bio-behavioral metaphor: The algorithm maps x i , the component of each individual’s position vector ( X [ 0 , 1 ] D ), to the feature importance’s confidence and generates a binary subset, ( τ = 0.5 ) , of features based on a threshold function, ϕ ( x i ) = ( x i > τ ) , where overhead water striking provides global exploration capability to avoid the locally optimal feature combinations. Dive fishing achieves local exploitation capability to refine the quality feature subset, and the otter symbiosis mechanism improves the convergence efficiency through an inter-population feature subset’s information exchange. For the dynamic characteristics of multi-speed conditions, PKO adopts an independent optimization kernel to generate an exclusive feature mask ( M v ) for each speed v, which oscillation factor enhances the global feature combination’s evaluation ability at the low-speed stage and focuses on the high-frequency feature optimization at the high-speed stage. At the same time, it introduces a speed robustness penalty term ( R v ) to ensure the feature subset’s continuity when the algorithm is switched. This bio-inspired dynamic balancing strategy, combined with the features’ mutual information-guiding mechanism, overcomes the inherent defects of the traditional optimizer, fixes the exploration–exploitation ratio, and ignores the features’ statistical dependency and the assumption of a static environment. In order to accommodate the differences in the characteristics of the different speed conditions, in this paper, the PKO is run independently to optimize the feature selection for each test speed. This means that the PKO generates a unique subset (binary vector) of optimal features for each speed, as shown in Table 4. Once it hits the ceiling on iterations, the program halts its process and churns out the top-notch subset of features and the prime fitness value. Our test run capped the population at six members and limited the cycles to one hundred.
In the inference phase, the system first identifies the velocity case (v) to which the current input data belong. Then, a pre-optimized feature selection mask, corresponding to that velocity, is loaded. The raw feature vectors of the input data are bitwise manipulated with this mask, and only the features with a mask value of 1 are retained to form the optimal subset of features for that speed. This dynamically selected subset of features is then fed into the same trained LSTM model for the classification prediction. Thus, the structure and weights of the LSTM model are fixed. However, its input feature dimensions change dynamically according to the current speed, containing only the optimized features.

3.4. Network Training

The Long Short-Term Memory(LSTM) network is a sophisticated variation of the Recurrent Neural Network. It was specifically engineered to address the classic pitfalls of vanishing and exploding gradients that tend to plague regular RNNs, particularly when dealing with extended sequences [20]. This paper applies an LSTM network to the road surface classification task to accurately identify the road surface.
The road surface grade identification model consists of an input layer, an LSTM layer, an activation layer, a fully connected layer, and a classification layer, as shown in Figure 4. First, the vehicle’s vibrational response data are used as the input to the model and are processed by the LSTM layer to learn and extract temporal features, capturing the time dependencies in the data. Then, the feature vector output by the LSTM layer is passed to the fully connected layer for further integration and processing of the features’ information. Finally, in the classification layer, the Softmax activation function is applied to classify the road surface grades, and the final road surface grade classification results are output.
This study employs a single-layer LSTM network with 16 hidden units. Each input sample consists of a single feature vector representing one time step. Consequently, the LSTM processes individual time steps. At each time step, the output from the LSTM layer is funneled into the following layers. A ReLU activation layer follows this, and the final classification is achieved through an output layer that employs the Softmax activation function. The Adam optimizer trains the model, starting with an initial learning rate of 0.01. The learning rate dives to 10% of its original value after every 80 epochs. The training wraps up after a maximum of 100 epochs, with each batch containing 128 samples. The training data are shuffled at the start of each epoch to improve the model’s ability to generalize.

4. Hydropneumatic Suspension Controller’s Design and Parameter Optimization

This paper conducted an experimental study based on a real vehicle’s road surface data collection to assess the efficacy of the suggested classification model. The experimental vehicle was operated under various typical road conditions. This study classifies road surfaces into three categories: Type 1: A- and B-grade roads, which are smooth and have low vibration, where the primary goal is to adjust the suspension to optimize the ride comfort. Type 2: C- and D-grade roads, where the conditions are average, with bumps and unevenness, requiring the suspension to enhance the traction and ensure stability. Type 3: E- and F-grade roads, which have poor conditions, with strong vibrations and potential safety risks, requiring the balanced adjustment of both the ride comfort and stability. The controller’s design and parameter optimization framework are shown in Figure 5.

4.1. Sliding-Mode Control

Before diving into the design of the Sliding-Mode Controller (SMC), it is essential to lay the groundwork by setting up a reference model. In this study, an ideal Skyhook model [21] is shown in Figure 6. The core idea behind sliding-mode control is to craft a controlled force that effectively guides the spring-loaded mass in the two-degree-of-freedom system to mirror the behavior of its counterpart in the reference Skyhook model. The reference model’s differential equation is as follows:
The equation describing the reference model reads as follows:
m s x ¨ s r + k s x s r x u r + c s x ˙ s r x ˙ u r = F s k m u x ¨ u r + k u x u r x r = k s x s r x u r + c s x ˙ s r x ˙ u r
where x s r represents the vehicle body’s reference displacement, x u r denotes the wheel’s reference displacement, c s k is the Skyhook damping coefficient, and F s k is the Skyhook damping force, F s k = c s k x ¨ s r .
The reference state vector is defined as follows:
y = y 1 y 2 y 3 y 4 T = x s r x ˙ s r x u r x ˙ u r T
Based on the body mass displacement’s integral error, the displacement error, and the velocity error of the vehicle model with a two-degree-of-freedom active suspension, as well as the suspension model with ideal Skyhook damping, the error vector (e) for the hydropneumatic suspension system is expressed as follows:
e = e 1 e 2 e 3 T = x ˙ s x ˙ s r x s x s r x s x s r T
The derivative of the error:
e ˙ = e ˙ 1 e ˙ 2 e ˙ 3 T = x ¨ s x ¨ s r x ˙ s x ˙ s r x s x s r
The error state equation:
e ˙ = D e + E x + F y + G u
where system matrices D, E, F, and G:
D = c s m s k s m s 0 1 0 0 0 1 0 , E = 0 0 k s m s c s m s 0 0 0 0 0 0 0 0 , F = 0 0 k s m s c s m s 0 0 0 0 0 0 0 0 , G = 1 m s 0 0
The sliding surface (s) is expressed as an error-weighted sum as follows:
s = c e = c 1 e 1 + c 2 e 2 + c 3 e 3
where the c values are coefficient matrices selected based on the pole placement. All the states of the sliding mode’s dynamics must exhibit satisfactory transient performance and maintain asymptotic stability throughout the reaching phase to the switching manifold. The characteristic equation of the sliding mode, denoted as D ( λ ) , is as follows:
D ( λ ) = c 1 λ 2 + c 2 λ + c 3
To ensure the minimal oscillation when the closed-loop system possesses conjugate complex poles in the left half-plane, the following design specifications are imposed: an overshoot of σ 10 % , a peak time of t p 1 s , a natural frequency of ω n = 6.32 rad/s, and a damping ratio of ξ = 0.8 . These yield the system’s eigenvalues ( λ = 5 ± 3.9 j ), consequently determining the control gain vector c = [ 1 , 10 , 40 ] .
The derivative of the sliding surface is as follows:
s ˙ = c 2 c s c 1 m s e 1 + c 3 k s c 1 m s e 2 + k s c 1 m s x u x u r + c s c 1 m s x ˙ u x ˙ u r + c 1 m s u
The speed of the convergence is selected as follows:
s ˙ = k · sgn ( s )
where k > 0 is a gain parameter.
The sliding-mode control’s output force is as follows:
u = c s e 1 k s e 2 + k s ( x u x u r ) + c s ( x ˙ u x ˙ u r ) + k m s sgn ( s )
A Lyapunov function is defined as follows:
V = 1 2 s 2
To differentiate it and substitute it, we can obtain:
V ˙ = s s ˙ = s c 2 c s c 1 m s e 1 + c 3 k s c 1 m s e 2 + k s c 1 m s ( x u x u r ) + c s c 1 m s ( x ˙ u x ˙ u r ) + c 1 m s u = k s m s sgn ( s ) = k m s | s | 0
Using Lyapunov stability theory, V ˙ 0 shows that the control system is stable.

4.2. Fuzzy-Logic-Based Sliding-Mode Controller’s Design

The SMC is widely used in complex systems due to its robustness and disturbance rejection properties, but high-frequency switching can lead to chattering, which negatively affects the system’s stability. To address this issue, a Fuzzy Control (FC) is combined with the SMC, forming a Fuzzy Sliding-Mode Controller (FSMC), which effectively reduces chattering while maintaining the robustness of the SMC [22].
In designing the FC, input and output variables need to be determined first. In this section, the sliding surface (s) and s ˙ are used as inputs, and the k values (required for the sliding mode’s control) are used as outputs, and they are defined as follows:
s = { NB , NM , NS , ZO , PS , PM , PB } , s ˙ = { NB , NM , NS , ZO , PS , PM , PB }
k = { NB , NM , NS , ZO , PS , PM , PB }
Let the fuzzy-logic-based domains for s, s ˙ , and k be defined as follows:
s = 3 , 3 , s ˙ = 3 , 3 , k = 0 , 1
The input and output membership function curves are illustrated in Figure 7a–c, while Table 5 outlines the fuzzy-logic-based control rules. By applying fuzzy-logic-based inference, the system evaluates the input variables’ membership degrees alongside the rule-based control logic to determine the appropriate output, and the fuzzy-logic-based control output is determined [23]. The defuzzification process is then carried out using the centroid method to obtain the precise control value. After this, the fuzzy-logic-based control rule’s surface, shown in Figure 7d, is generated using Matlab’s Fuzzy Logic Toolbox.
Through multiple simulation experiments, the basic domain of the controller is s = [ 0.03 , 0.03 ] , s ˙ = [ 0.03 , 0.03 ] , and k = [ 0 , 0.1 ] , with quantification factors and gains k s = 100 , k s ˙ = 100 , and k k = 0.1 calculated.

4.3. Controller’s Parameter Optimization

Based on the driving road conditions and the results of the road surface grade identification, the three types of road surfaces correspond to the ride comfort mode, stability mode, and comprehensive adjustment mode, with different suspension controller parameter settings for each mode. Traditional manual parameter selection is inefficient and prone to errors and lacks adaptability. Therefore, this paper uses the Hiking Optimization Algorithm (HOA) to optimize the FSMC parameters.
The HOA [24] simulates human decision-making behavior during hiking, adjusting strategies based on the natural environment, paths, and difficulty. As a nature-inspired metaheuristic algorithm, the HOA is mainly used for function optimization and global optimization problems. It can perform a global search across a broad solution space, avoiding local optima, thus improving the optimization effect of the controller. By adaptively adjusting the search strategy, the HOA enhances the controller’s adaptability and robustness and is particularly suitable for nonlinear and uncertain problems, aligning with the needs of the FSMC.
The core process of the HOA applied in this study consists of three key phases. First, the population is randomly initialized, and the fitness is assessed within the parameter boundaries. Second, during the iterative optimization process, (1) the current optimal and worst individuals are identified; (2) the base velocity component is computed based on random slope generation; (3) a new velocity vector is synthesized by combining the base velocity, the learning term toward the optimal individual, and the term away from the worst individual (the intensity of the learning is regulated by a random sweep factor); (4) the individual positions are updated, and boundary constraints are processed; and (5) a greedy strategy is used to decide whether or not to accept the new solution. Finally, the optimal solution and its fitness are recorded at each iteration. The algorithm achieves the global optimal search of parameters through a slope-driven velocity mechanism and an elite learning strategy of sweep factor regulation.
The HOA optimizes the FSMC’s parameters for each type of road surface. Given the complexity of the road surface types, B-, D-, and F-grade road surfaces are selected for optimization. The selected parameters for the SMC include c 1 , c 2 , c 3 , and two scaling factors ( K b s and K b s c ), along with a quantization factor ( K l e ). The optimization goal function is the weighted sum of the following three objectives: the sprung mass’s acceleration, the suspension’s dynamic deflection, and the tires’ dynamic load.
The optimization model is expressed as follows:
min f = w 1 r m s ( a ) r m s ( a 0 ) + w 2 r m s ( f d ) r m s ( f d 0 ) + w 3 r m s ( F t ) r m s ( F t 0 )
where a and a 0 represent the body’s accelerations for the HOA-FSMC and passive suspension, respectively. f d and f d 0 represent the suspension’s dynamic deflections for the HOA-FSMC and passive suspension, respectively. F t and F t 0 represent the tires’ dynamic load for the HOA-FSMC and passive suspension, respectively, and w 1 , w 2 , and w 3 represent the weights for the sprung mass’s acceleration, the suspension’s dynamic deflection, and the tires’ dynamic load, respectively.
The optimization weights for the different road surfaces are shown in Table 6. During underground mine operations, the auxiliary transport vehicle’s suspension controller should dynamically adjust the weighting coefficients of the performance metrics based on road roughness levels. Under favorable road conditions, it should focus on comfort and give more weight to the spring load’s acceleration. Under moderate road conditions, it should take into account comfort and durability, appropriately reduce the weight of the spring load’s acceleration, and increase the weight of the tires’ dynamic load. Under severe road conditions, it should give priority to guarantee the safety of the suspension and the tires’ grounding performance to improve the comprehensive performance. This adaptive weighting strategy enables context-aware optimization, where the controller emphasizes the most critical performance indices under varying terrain conditions, thereby enhancing the holistic system performance.
The initial values of the parameters to be optimized, as well as the upper and lower limits of the search range, are shown in Table 7. The search range fluctuates by 50% around the initial values, with the overall search range being 100% of the initial value.
For each road surface type, the HOA algorithm is set with a population size of 20 and a maximum number of iterations of 100. During the optimization process, the fitness of the B-grade (Type 1), D-grade (Type 2), and F-grade (Type 3) road surface conditions decreases, and the controller’s performance improves. After 100 iterations, the system converges for all three road surface types. Finally, the optimized control parameters for the various road surface grades are shown in Table 8.

5. Experimental Results

5.1. Road Surface Grade Identification Results

The performance of the LSTM neural network classifier was evaluated and trained using Matlab software under different speed conditions. The classification accuracies of the training and testing sets at various speeds are shown in Table 9. From the experimental results, it can be observed that the LSTM classifier demonstrates high classification accuracy rates and stability at various speeds, with an accuracy rate exceeding 92%.
This paper conducted an experimental study based on a real vehicle’s road surface data collection to assess the efficacy of the suggested classification model. The experimental vehicle was operated under various typical road conditions. A laser displacement sensor was used to capture the road elevation data, while accelerometers recorded the vehicle’s vibrational responses. The road surface types selected for the experiment included a mining truck road surface and a cement road surface (see Figure 8). The experimental vehicle traveled at a constant speed of 10 km/h on selected road segments. The main experimental equipment included an auxiliary transport vehicle (manufacturer: Inner Mongolia Bixuan Machinery Manufacturing Co., Ltd., Ordos, China), two sets of HWT605 accelerometers (manufacturer: WitMotion Shenzhen Co., Ltd., Shenzhen, China), one BGL-235NZ laser displacement sensor (manufacturer: Boyi Jingke Technology Co., Ltd., Shenzhen, China), and a computer for data storage and processing. One accelerometer was mounted at the vehicle’s center of gravity, and the other was fixed on the suspension arm of the left front wheel. The laser displacement sensor was installed on the bottom of the front driver’s cabin. Figure 9 shows the installation positions.
This study constructed a road surface grade evaluation system. Using single-wheel rut road spectrum measurement technology, the test road sections were systematically analyzed. The displacement data collected for the two road surfaces were adjusted (such as subtracting the initial value, taking the inverse, and unit conversion), resulting in the road elevation information for both experimental scenes, as shown in Figure 10. The raw data were first converted to the correct format, and outliers were removed. Then, polynomial fitting was used to remove the trend term and ensure the data stability. FFT was employed to calculate the PSD, which allowed the analysis of the vibration signal’s energy distribution. The smoothed PSD curve was then fitted using the least-square method. The original PSD, smoothed PSD, and fitted curves were plotted in the same figure for visual comparison and analysis, providing data support for extracting the roads’ spectral features.
In the specified frequency range, the average PSD can be calculated using the following formula:
G ( i ) = [ ( n L + 0.5 ) · B e n l ( i ) ] G ( n L ) n h ( i ) n l ( i ) + j = n L + 1 n H 1 G ( j ) · B e n h ( i ) n l ( i ) + [ n h ( i ) ( n H + 0.5 ) · B e ] G ( n H ) n h ( i ) n l ( i )
where n H = I N T ( n h ( i ) B e + 0.5 ) , n L = I N T n l ( i ) B e + 0.5 , G s ( i ) represents the power spectral density under the smoothed bandwidth conditions, and n l and n h represent the lower and upper cutoff frequencies for the frequency spectrum analysis.
The smoothed PSD function was fitted using the least-square method. The data-fitting range was between spatial frequencies of 0.011 m 1 and 2.83 m 1 , and the fitted curves are shown in Figure 11. A comparison with standards suggests that the cement road surface corresponds to a B-grade road surface, while the mining truck road surface corresponds to a D-grade road surface.
Vibration sensors were used to capture the vertical acceleration signals of the vehicle on different road surfaces (Figure 12). Because the vehicle traveled different distances on each road surface, the acceleration signals were processed using a unified method to ensure comparability. Twelve key feature indicators were extracted. In constructing the dataset, 10 continuous 10 s samples were selected from each road’s signals, and 1 s sub-samples were used for testing, resulting in 100 groups for classification. The pre-processed testing data were input into the trained algorithmic model, and the road surface grade identification results from the model were compared with the actual road surface conditions to verify the model’s accuracy in real-world scenarios.
Based on the experimental data shown in Figure 13, under the 10 km/h driving speed condition, the road surface grade identification system achieved a classification accuracy of 82% for the mining truck road surface, with approximately 82% of the samples correctly classified as D-grade. The remaining samples were misclassified as F-grade, C-grade, and B-grade at rates of 5%, 12%, and 1%, respectively. For the cement road surface, 85% of the samples were correctly classified as B-grade, while about 11% and 4% were misclassified as C-grade and A-grade, respectively. The final identification errors were all controlled within 20%, ensuring an accuracy rate of over 80%.

5.2. Active Suspension Control Effect

To validate the performance of the HOA-FSMC active hydropneumatic suspension, it was compared with the FSMC active hydropneumatic suspension, SMC active hydropneumatic suspension, and passive hydropneumatic suspension. Simulation tests were set at a 10 km/h driving speed, and simulation data from 10 s of driving on various road grades were used for the evaluation. The specific RMS values of the evaluation indicators are shown in Table 10, Table 11 and Table 12, and the vehicle’s dynamic performance simulation results for each road grade are shown in Figure 14, Figure 15 and Figure 16, where “Passive” refers to a suspension system operating without active control. “SMC” represents an actively controlled suspension system employing sliding-mode control technology. The term “FSMC” indicates an enhanced version utilizing fuzzy-logic-based sliding-mode control for improved performance. Finally, “HOA-FSMC” describes the most advanced configuration, featuring fuzzy-logic-based sliding-mode control that has been further refined through HOA optimization techniques.
The data clearly demonstrate that compared to the conventional passive hydropneumatic suspension, the HOA-FSMC-, FSMC-, and SMC-based active hydropneumatic suspensions excel in reducing the body’s acceleration, suspension’s dynamic deflection, and tires’ dynamic load. This suggests that the use of active suspension technology substantially enhances a vehicle’s performance across different types of road surfaces.
Compared to the SMC active hydropneumatic suspension, the FSMC active hydropneumatic suspension provides further optimization of these evaluation indicators, demonstrating that integrating fuzzy-logic-based control with sliding-mode control can improve the system’s performance. Among all the active suspensions, the HOA-FSMC active hydropneumatic suspension achieves the best overall vehicle performance optimization. Although the FSMC and SMC active hydropneumatic suspensions have slightly lower performance improvements than HOA-FSMC, they still outperform the passive hydropneumatic suspension, indicating that active hydropneumatic suspension systems based on sliding-mode control theory can effectively handle different road excitations and exhibit strong robustness and adaptability.
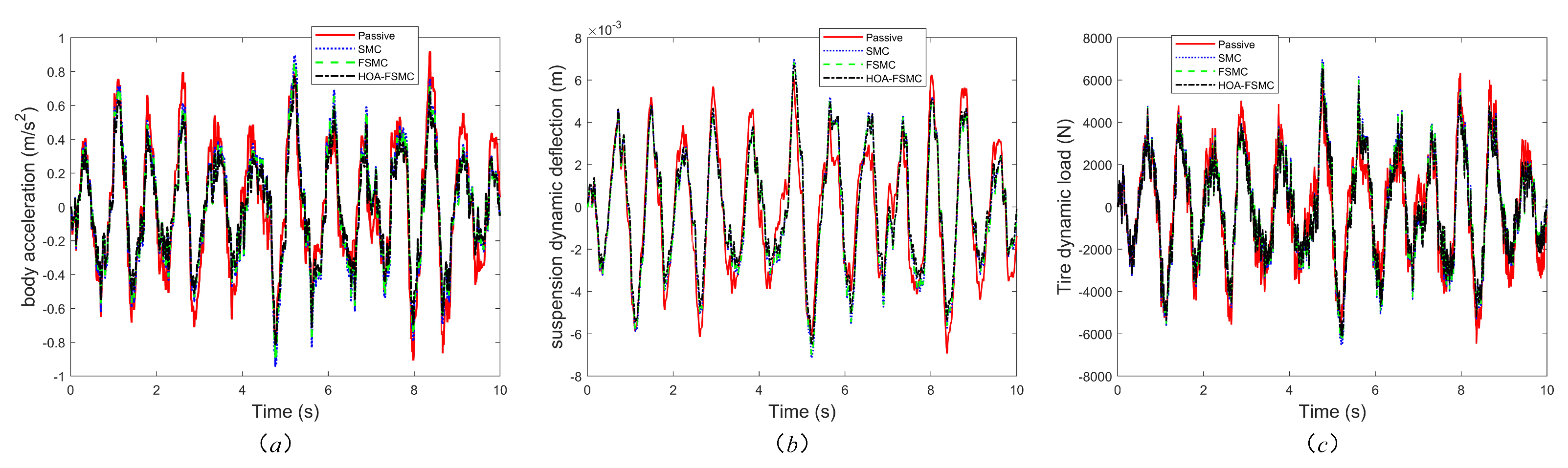
From Figure 14 and Table 10, it is clear that the HOA-FSMC active hydropneumatic suspension focuses on comfort optimization on B-grade roads. Compared with the passive hydropneumatic suspension, the RMS value of the body’s acceleration was reduced by 21.2%, and the RMS values of suspension’s dynamic deflection and tires’ dynamic load were reduced by 10.34% and 9.21%, respectively. This demonstrates that the controller significantly improved ride comfort by prioritizing body acceleration adjustments, ensuring ride comfort during the vehicle’s operation.
From Figure 15 and Table 11, it can be seen that on D-grade roads, the HOA-FSMC active hydropneumatic suspension’s optimization plan focuses more on the vehicle’s stability. Compared with the passive hydropneumatic suspension, the RMS values of the body’s acceleration, tires’ dynamic load, and suspension’s dynamic deflection decreased by 18.86%, 12.1%, and 11.55%, respectively. This result indicates that while enhancing the vehicle’s stability, the optimization plan still considers ride comfort, ensuring a balance between stability and ride comfort.
From Figure 16 and Table 12, it is clear that for F-grade roads, the HOA-FSMC active hydropneumatic suspension’s optimization plan takes multiple performance indicators into account, maintaining a balanced improvement among the body’s acceleration, suspension’s dynamic deflection, and tires’ dynamic load. The optimized RMS values of the body’s acceleration, the suspension’s dynamic deflection, and the tires’ dynamic load decreased by 17.44%, 12.99%, and 14.11%, respectively. This balanced improvement indicates that the optimization plan for F-grade roads focuses on enhancing the overall performance, ensuring both ride comfort and vehicle stability and safety.
The optimized control parameters from the HOA satisfy the dynamic performance needs across varying road conditions. Specifically, the B-grade road plan focuses on ride comfort, the D-grade road plan balances stability and comfort, and the F-grade road plan achieves balanced improvement across multiple indicators.

6. Conclusions

This paper addresses the conflict between ride comfort and stability in the hydropneumatic suspension system of auxiliary transport vehicles in complex underground mine environments. A multi-mode active control method based on road surface grade identification is proposed. Through theoretical modeling, algorithmic optimization, and simulation verification, the following conclusions are drawn:
(1) A road surface grade identification method based on LSTM networks is proposed. Vehicle field tests demonstrate that this method achieves classification accuracies exceeding 80% on a mining truck road surface and a cement road surface, accurately classifying complex underground mine road surfaces and providing reliable support for suspension parameter optimization;
(2) A multi-mode hydropneumatic suspension control strategy based on underground mine roads’ surface grade identification is proposed. By combining real-time road surface grade identification, active suspension control, and parameter optimization, the suspension parameters can be dynamically adjusted according to the characteristics of unstructured underground mine road surfaces. The experimental results show that compared to traditional passive suspensions, the proposed method reduces the sprung mass’s acceleration by 21.2%, 18.86%, and 17.44% on B-, D-, and F-grade roads, respectively. The suspension’s dynamic deflection is reduced by 10.34%, 11.55%, and 12.99%, and the tires’ dynamic load is reduced by 9.21%, 12.1%, and 14.11%, respectively.
The results demonstrate that the HOA-FSMC active hydropneumatic suspension integrates the Sliding-Mode Controller’s robustness and Fuzzy Control’s flexibility, with parameters optimized through the HOA. The system adapts to varying road conditions, significantly enhancing ride comfort, stability, and safety. The study further highlights the critical role of control parameter optimization in active suspension systems and validates the applicability and effectiveness of the HOA in parameter optimization.
This study constructs a “Perception–Decision–Action” closed-loop control framework, providing dual theoretical and technical support for advancing the intelligent operation of mine transportation equipment. The methodology is transferable to suspension optimization for specialized vehicles operating in unstructured environments, such as in field exploration and forest engineering.
In subsequent research, studies could delve into the effects of different hydraulic fluids on the suspension’s stiffness and damping characteristics. A digital-twin-based suspension lifespan prediction system could be developed, and materials for suspensions can be further developed [25]. Regarding vehicle modeling, a high-fidelity multi-body vehicle dynamic model will be established to study coupled control strategies for multi-hydropneumatic suspensions. The road identification module can employ a multi-source heterogeneous sensor fusion framework. This framework would integrate visible light camera data, LiDAR point cloud data, and inverse dynamic analysis to enhance road grade recognition accuracy under low-illumination conditions through weighted fusion. The parameter optimization process could incorporate global sensitivity analysis to quantify the weighting impacts of the sprung mass’s acceleration, suspension’s dynamic deflection, and tires’ dynamic load.
Future research could also integrate digital twin technology to enable the real-time adaptive optimization of the suspension system, advancing intelligent suspensions toward autonomous decision making.

Author Contributions

Author contributions: Conceptualization, J.Y. and K.C.; methodology, J.Y. and K.C.; software, J.Y. and K.C.; validation, K.C., Z.J. and C.Z.; formal analysis, J.Y., Z.J. and C.Z.; investigation, K.C.; resources, Z.D.; data curation, T.Z.; writing—original draft preparation, J.Y.; writing—review and editing, K.C.; visualization, Z.D.; supervision, K.C.; project administration, J.Y. All authors have read and agreed to the published version of the manuscript.

Funding

This work was supported by the National Key Research and Development Program of China (grant no.2022YFB4703703) and National Natural Science Foundation of China (grant no.U24B20162).

Institutional Review Board Statement

Not applicable.

Informed Consent Statement

Not applicable.

Data Availability Statement

The original contributions presented in this study are included in the article. Further inquiries can be directed to the corresponding author.

Conflicts of Interest

The authors declare no conflict of interest. The funders had no role in the design of the study; in the collection, analyses, or interpretation of data; in the writing of the manuscript, or in the decision to publish the results.

References

  1. Prem, H. A laser-based highway-speed road profile measuring system. Veh. Syst. Dyn. 1988, 17, 300–304. [Google Scholar] [CrossRef]
  2. Liu, F.; Dembski, N.; Rizzoni, G.; Soliman, A.; Thompson, B.; Vaughn, B. An improved design of a vehicle based off-road terrain profile measurement system. In Proceedings of the SAE World Congress, Detroit, MI, USA, 14–17 April 2008. [Google Scholar]
  3. Chen, H.T.; Lai, C.Y.; Hsu, C.C.; Lee, S.Y.; Lin, B.S.; Ho, C.P. Vision-based road bump detection using a front-mounted car camcorder. In Proceedings of the 2014 22nd International Conference on Pattern Recognition, Stockholm, Sweden, 24–28 August 2014; pp. 4537–4542. [Google Scholar]
  4. Kumar, P.; Lewis, P.; McElhinney, C.P.; Rahman, A.A. An algorithm for automated estimation of road roughness from mobile laser scanning data. Photogramm. Rec. 2015, 30, 30–45. [Google Scholar] [CrossRef]
  5. Wang, G.; Qu, W.; Chen, C.; Chen, Z.; Fang, Y. A road level identification method for all-terrain crane based on Support Vector Machine. Measurement 2022, 187, 110319. [Google Scholar] [CrossRef]
  6. Wang, Z.; Dong, M.; Qin, Y.; Du, Y.; Zhao, F.; Gu, L. Suspension system state estimation using adaptive Kalman filtering based on road classification. Veh. Syst. Dyn. 2017, 55, 371–398. [Google Scholar] [CrossRef]
  7. Abut, T.; Salkim, E. Control of quarter-car active suspension system based on optimized fuzzy linear quadratic regulator control method. Appl. Sci. 2023, 13, 8802. [Google Scholar] [CrossRef]
  8. Liu, Z.; Si, Y.; Sun, W. Ride comfort oriented integrated design of preview active suspension control and longitudinal velocity planning. Mech. Syst. Signal Process. 2024, 208, 110992. [Google Scholar] [CrossRef]
  9. Zhang, S.; Li, M.; Li, J.; Xu, J.; Wang, Z.; Liu, S. Research on ride comfort control of air suspension based on genetic algorithm optimized fuzzy PID. Appl. Sci. 2024, 14, 7787. [Google Scholar] [CrossRef]
  10. Wang, R.; Liu, W.; Ding, R.; Meng, X.; Sun, Z.; Yang, L.; Sun, D. Switching control of semi-active suspension based on road profile estimation. Veh. Syst. Dyn. 2022, 60, 1972–1992. [Google Scholar] [CrossRef]
  11. Zhou, C.; Liu, X.; Xu, F.; Chen, W. Sliding mode switch control of adjustable hydro-pneumatic suspension based on parallel adaptive clonal selection algorithm. Appl. Sci. 2020, 10, 1852. [Google Scholar] [CrossRef]
  12. Wang, S.; Lu, Z.; Liu, X.; Cao, Y.; Li, X. Active control of hydropneumatic suspension parameters of wheel loaders based on road condition identification. Int. J. Adv. Robot. Syst. 2018, 15, 1729881418817425. [Google Scholar] [CrossRef]
  13. Chen, G.; Jiang, Y.; Tang, Y.; Xu, X. Revised adaptive active disturbance rejection sliding mode control strategy for vertical stability of active hydro-pneumatic suspension. ISA Trans. 2023, 132, 490–507. [Google Scholar] [CrossRef] [PubMed]
  14. Yang, L.; Wang, R.; Ding, R.; Liu, W.; Zhu, Z. Investigation on the dynamic performance of a new semi-active hydro-pneumatic inerter-based suspension system with MPC control strategy. Mech. Syst. Signal Process. 2021, 154, 107569. [Google Scholar] [CrossRef]
  15. Duarte, M.L.; de Araújo, P.A.; Horta, F.C.; Del Vecchio, S.; de Carvalho, L.A. Correlation between weighted acceleration, vibration dose value and exposure time on whole body vibration comfort levels evaluation. Saf. Sci. 2018, 103, 218–224. [Google Scholar] [CrossRef]
  16. Liu, W.; Wang, R.; Ding, R.; Meng, X.; Yang, L. On-line estimation of road profile in semi-active suspension based on unsprung mass acceleration. Mech. Syst. Signal Process. 2020, 135, 106370. [Google Scholar] [CrossRef]
  17. Múčka, P.; Stein, G.J.; Tobolka, P. Whole-body vibration and vertical road profile displacement power spectral density. Veh. Syst. Dyn. 2020, 58, 630–656. [Google Scholar] [CrossRef]
  18. Khalid, S.; Khalil, T.; Nasreen, S. A survey of feature selection and feature extraction techniques in machine learning. In Proceedings of the 2014 Science and Information Conference, London, UK, 27 August 2014; pp. 372–378. [Google Scholar]
  19. Bouaouda, A.; Hashim, F.A.; Sayouti, Y.; Hussien, A.G. Pied kingfisher optimizer: A new bio-inspired algorithm for solving numerical optimization and industrial engineering problems. Neural Comput. Appl. 2024, 36, 15455–15513. [Google Scholar] [CrossRef]
  20. Yu, Y.; Si, X.; Hu, C.; Zhang, J. A review of recurrent neural networks: LSTM cells and network architectures. Neural Comput. 2019, 31, 1235–1270. [Google Scholar] [CrossRef] [PubMed]
  21. Kapoor, N.; Ohri, J. Fuzzy sliding mode controller (FSMC) with global stabilization and saturation function for tracking control of a robotic manipulator. J. Control Syst. Eng. 2013, 1, 50. [Google Scholar] [CrossRef]
  22. Wu, Q.; Shangguan, W.; Lu, H. Research on sliding mode control for nonlinear active suspension system with two degrees of freedom. J. Mech. Eng. 2020, 56, 58–68. [Google Scholar] [CrossRef]
  23. Ding, X.; Li, R.; Cheng, Y.; Liu, Q.; Liu, J. Design of and research into a multiple-fuzzy PID suspension control system based on road recognition. Processes 2021, 9, 2190. [Google Scholar] [CrossRef]
  24. Oladejo, S.O.; Ekwe, S.O.; Mirjalili, S. The Hiking Optimization Algorithm: A novel human-based metaheuristic approach. Knowl.-Based Syst. 2024, 296, 111880. [Google Scholar] [CrossRef]
  25. Kader, E.E.; Abed, A.M.; Radojković, M. Design of a Copolymer-Reinforced Composite Material for Leaf Springs Inside the Elastic Suspension Systems of Light-Duty Trucks. J. Compos. Sci. 2025, 9, 227. [Google Scholar] [CrossRef]
Figure 1. Active control architecture of hydropneumatic suspension.
Figure 1. Active control architecture of hydropneumatic suspension.
Applsci 15 06871 g001
Figure 2. Vehicle’s vibrational model: ((a) structure of the hydropneumatic spring; (b) quarter-vehicle’s vibrational model).
Figure 2. Vehicle’s vibrational model: ((a) structure of the hydropneumatic spring; (b) quarter-vehicle’s vibrational model).
Applsci 15 06871 g002
Figure 3. Road surface grade identification process.
Figure 3. Road surface grade identification process.
Applsci 15 06871 g003
Figure 4. Road surface grade identification model’s structure.
Figure 4. Road surface grade identification model’s structure.
Applsci 15 06871 g004
Figure 5. Controller’s design and parameter optimization framework.
Figure 5. Controller’s design and parameter optimization framework.
Applsci 15 06871 g005
Figure 6. Reference model.
Figure 6. Reference model.
Applsci 15 06871 g006
Figure 7. Membership function curves: (a) input s membership function curves; (b) input s ˙ membership function curves; (c) output k membership function curves; (d) fuzzy-logic-based control rule’s surface.
Figure 7. Membership function curves: (a) input s membership function curves; (b) input s ˙ membership function curves; (c) output k membership function curves; (d) fuzzy-logic-based control rule’s surface.
Applsci 15 06871 g007
Figure 8. Experimental scenes: (a) mining truck road surface; (b) cement road.
Figure 8. Experimental scenes: (a) mining truck road surface; (b) cement road.
Applsci 15 06871 g008
Figure 9. Experimental equipment and installation positions.
Figure 9. Experimental equipment and installation positions.
Applsci 15 06871 g009
Figure 10. Road elevation information: (a) mining truck road; (b) cement road.
Figure 10. Road elevation information: (a) mining truck road; (b) cement road.
Applsci 15 06871 g010
Figure 11. Road elevation-fitting curves: (a) mining truck road; (b) cement road.
Figure 11. Road elevation-fitting curves: (a) mining truck road; (b) cement road.
Applsci 15 06871 g011
Figure 12. Vibration acceleration responses: (a) mining truck road; (b) cement road.
Figure 12. Vibration acceleration responses: (a) mining truck road; (b) cement road.
Applsci 15 06871 g012
Figure 13. Road surface grade classification results: (a) mining truck road; (b) cement road.
Figure 13. Road surface grade classification results: (a) mining truck road; (b) cement road.
Applsci 15 06871 g013
Figure 14. Simulation results of Class B road vehicle dynamics: (a) body acceleration; (b) suspension dynamic deflection; (c) tire dynamic load.
Figure 14. Simulation results of Class B road vehicle dynamics: (a) body acceleration; (b) suspension dynamic deflection; (c) tire dynamic load.
Applsci 15 06871 g014
Figure 15. Simulation results of Class D road vehicle dynamics: (a) body acceleration; (b) suspension dynamic deflection; (c) tire dynamic load.
Figure 15. Simulation results of Class D road vehicle dynamics: (a) body acceleration; (b) suspension dynamic deflection; (c) tire dynamic load.
Applsci 15 06871 g015
Figure 16. Simulation results of Class F road vehicle dynamics: (a) body acceleration; (b) suspension dynamic deflection; (c) tire dynamic load.
Figure 16. Simulation results of Class F road vehicle dynamics: (a) body acceleration; (b) suspension dynamic deflection; (c) tire dynamic load.
Applsci 15 06871 g016
Table 1. Main parameters of the auxiliary transport vehicle.
Table 1. Main parameters of the auxiliary transport vehicle.
SymbolDescriptionValue
m s sprung mass6764 kg
m u unsprung mass236 kg
k u tire stiffness1,433,500 N/m
C d check valve flow coefficient 0.62
C z orifice flow coefficient 0.62
ρ density of hydraulic oil 860 kg / m 3
γ polytropic exponent 1.4
Drodless cavity diameter140 mm
A 1 barrel area 0.0154 m 2
ddiameter of piston rod56 mm
A 2 cavity area 0.0025 m 2
A u orifice equivalent area 2.83 × 10 5 m 2
A d check valve equivalent area 2.83 × 10 5 m 2
P b static pressure 1.8 × 10 6 Pa
V b static balance volume 2.5 × 10 3 m 3
Table 2. Pavement grade classification standards.
Table 2. Pavement grade classification standards.
Road Class G q ( n 0 ) × 10 6 / m 3
Lower LimitUpper LimitGeometric Mean
A03216
B3212864
C128512256
D51220481024
E204881924094
F819232,76816,384
Table 3. Relationship of characteristics to pavement grading.
Table 3. Relationship of characteristics to pavement grading.
FeaturePhysical Meaning
RMSRoad profile’s root-mean-square value
κ Peak characteristics in vibration signals indicate impact events
μ Permanent load redistribution
σ Dispersion of vibration signals, exhibits a positive correlation with the amplitude variability of the surface roughness
f d o Spectral location of the peak power density, corresponds to the fundamental excitation frequency component in vibratory systems
E s p Normalized energy content within the frequency band, provides a comprehensive characterization of the overall vibrational intensity
BERNormalized power content within a specified frequency band, a discriminative feature for characterizing frequency-resolved roughness distributions
Max PSDPeak magnitude of the power spectral density, indicates the maximum excitation intensity within the system
WERDistribution of the multiscale signal energy, a diagnostic feature for detecting transient impulses
IFMTemporal average of the instantaneous frequency, characterizes time-varying spectral properties
SEA metric for signal complexity quantification, where higher entropy correlates with irregular vibration patterns
HLong-range correlation index, reflects spatial aggregation effects of road irregularities
Table 4. Feature selection results.
Table 4. Feature selection results.
Feature51015202530
RMS101111
κ 011110
μ 011000
σ 111111
f d o 110100
E s p 111011
BER101111
Max PSD111111
WER110111
IFM111111
SE111111
H101001
Table 5. Fuzzy-logic-based control rules.
Table 5. Fuzzy-logic-based control rules.
k s ˙
NB NM NS ZO PS PM PB
NBNBNBNMNMNSNSZO
NMNBNBNMNSNSNSZO
NSNMNMNSZOZOZOZO
ZONMNMNSZOZOPSPS
PSNSNSZOZOPSPSPM
PMZOPSPSPSPSPMPB
PBPSPSPSPMPBPBPB
Table 6. Road surface optimization’s weight coefficients.
Table 6. Road surface optimization’s weight coefficients.
CategoryRoad Level w 1 w 2 w 3
1B0.60.20.2
2D0.50.20.3
3F0.350.30.35
Table 7. Initial values and search range of the parameters to be optimized.
Table 7. Initial values and search range of the parameters to be optimized.
ParameterInitial ValueLower LimitUpper Limit
c 1 10.51.4
c 2 10515
c 3 402060
K b s 10050150
K b s c 10050150
K l e 0.10.050.15
Table 8. Optimized control parameters for the different road surface grades.
Table 8. Optimized control parameters for the different road surface grades.
ParameterClass BClass DClass F
c 1 0.87460.92691.2657
c 2 9.894514.68896.5005
c 3 59.987759.994559.9736
K b s 67.960474.367088.0823
K b s c 109.0741105.1122112.6086
K l e 0.10170.12800.0661
Table 9. Classifier performance comparison at different speeds.
Table 9. Classifier performance comparison at different speeds.
Speed (km/h)Training Accuracy (%)Test Accuracy (%)
596.177296.0802
1096.177295.7407
1594.576794.2284
2093.128392.7623
2596.263296.1883
3094.570194.2438
Table 10. RMS values of Class B pavement evaluation indices.
Table 10. RMS values of Class B pavement evaluation indices.
ParameterControl Strategy
PassiveSMCFSMCHOA-FSMC
Body’s Acceleration (m/s2)0.35700.32880.30660.2813
Improvement (%)07.9014.1221.20
Suspension’s Deflection (m)0.00290.00280.00270.0026
Improvement (%)03.456.9010.34
Tires’ Dynamic Load (N)2458.4572371.36122311.2682232.1124
Improvement (%)03.545.979.21
Table 11. RMS values of Class D pavement evaluation indices.
Table 11. RMS values of Class D pavement evaluation indices.
ParameterControl Strategy
PassiveSMCFSMCHOA-FSMC
Body’s Acceleration (m/s2)1.18401.07651.03690.9607
Improvement (%)09.1012.4218.86
Suspension’s Deflection (m)0.00770.00740.00710.0068
Improvement (%)03.897.8011.55
Tires’ Dynamic Load (N)8177.56757754.09777528.65907188.3891
Improvement (%)05.187.9312.1
Table 12. RMS values of Class F pavement evaluation indices.
Table 12. RMS values of Class F pavement evaluation indices.
ParameterControl Strategy
PassiveSMCFSMCHOA-FSMC
Body’s Acceleration (m/s2)4.09133.81683.64373.3777
Improvement (%)06.7010.9417.44
Suspension’s Deflection (m)0.01960.01850.01770.0170
Improvement (%)04.609.7112.99
Tires’ Dynamic Load (N)32,315.068830,098.208728,690.163527,756.7824
Improvement (%)06.8611.2114.11
Disclaimer/Publisher’s Note: The statements, opinions and data contained in all publications are solely those of the individual author(s) and contributor(s) and not of MDPI and/or the editor(s). MDPI and/or the editor(s) disclaim responsibility for any injury to people or property resulting from any ideas, methods, instructions or products referred to in the content.

Share and Cite

MDPI and ACS Style

Yang, J.; Chen, K.; Ding, Z.; Zhao, C.; Zhang, T.; Jiao, Z. A Multi-Mode Active Control Method for the Hydropneumatic Suspension of Auxiliary Transport Vehicles in Underground Mines. Appl. Sci. 2025, 15, 6871. https://doi.org/10.3390/app15126871

AMA Style

Yang J, Chen K, Ding Z, Zhao C, Zhang T, Jiao Z. A Multi-Mode Active Control Method for the Hydropneumatic Suspension of Auxiliary Transport Vehicles in Underground Mines. Applied Sciences. 2025; 15(12):6871. https://doi.org/10.3390/app15126871

Chicago/Turabian Style

Yang, Jianjian, Kangshuai Chen, Zhen Ding, Cong Zhao, Teng Zhang, and Zhixiang Jiao. 2025. "A Multi-Mode Active Control Method for the Hydropneumatic Suspension of Auxiliary Transport Vehicles in Underground Mines" Applied Sciences 15, no. 12: 6871. https://doi.org/10.3390/app15126871

APA Style

Yang, J., Chen, K., Ding, Z., Zhao, C., Zhang, T., & Jiao, Z. (2025). A Multi-Mode Active Control Method for the Hydropneumatic Suspension of Auxiliary Transport Vehicles in Underground Mines. Applied Sciences, 15(12), 6871. https://doi.org/10.3390/app15126871

Note that from the first issue of 2016, this journal uses article numbers instead of page numbers. See further details here.

Article Metrics

Back to TopTop