How Do Natural Ventilation Strategies Affect Thermal Comfort in Educational Buildings? A Comparative Analysis in the Mediterranean Climate
Abstract
1. Introduction
2. Materials and Methods
2.1. Case Studies
2.2. Thermal Comfort Analysis
- Thermal environment category: B, indicating a predicted percentage of dissatisfied (PPD) < 10%;
- Metabolic rate: 1.2 MET;
- Clothing level: 1.0 clo.
2.3. Indoor Air Quality Analysis
- Good air quality: with indoor CO2 values of between 750 and 1200 ppm;
- Poor air quality: according to EN 16798-1 [7], unacceptable air quality is categorised as indoor CO2 values above 1200 ppm (800 ppm above the outdoor value considered as 400 ppm).
2.4. Air Change Rate Estimation
3. Results and Discussion
3.1. Environmental Conditions
3.2. Thermal Comfort and Indoor Air Quality Analysis
3.3. Ventilation Strategies
4. Conclusions
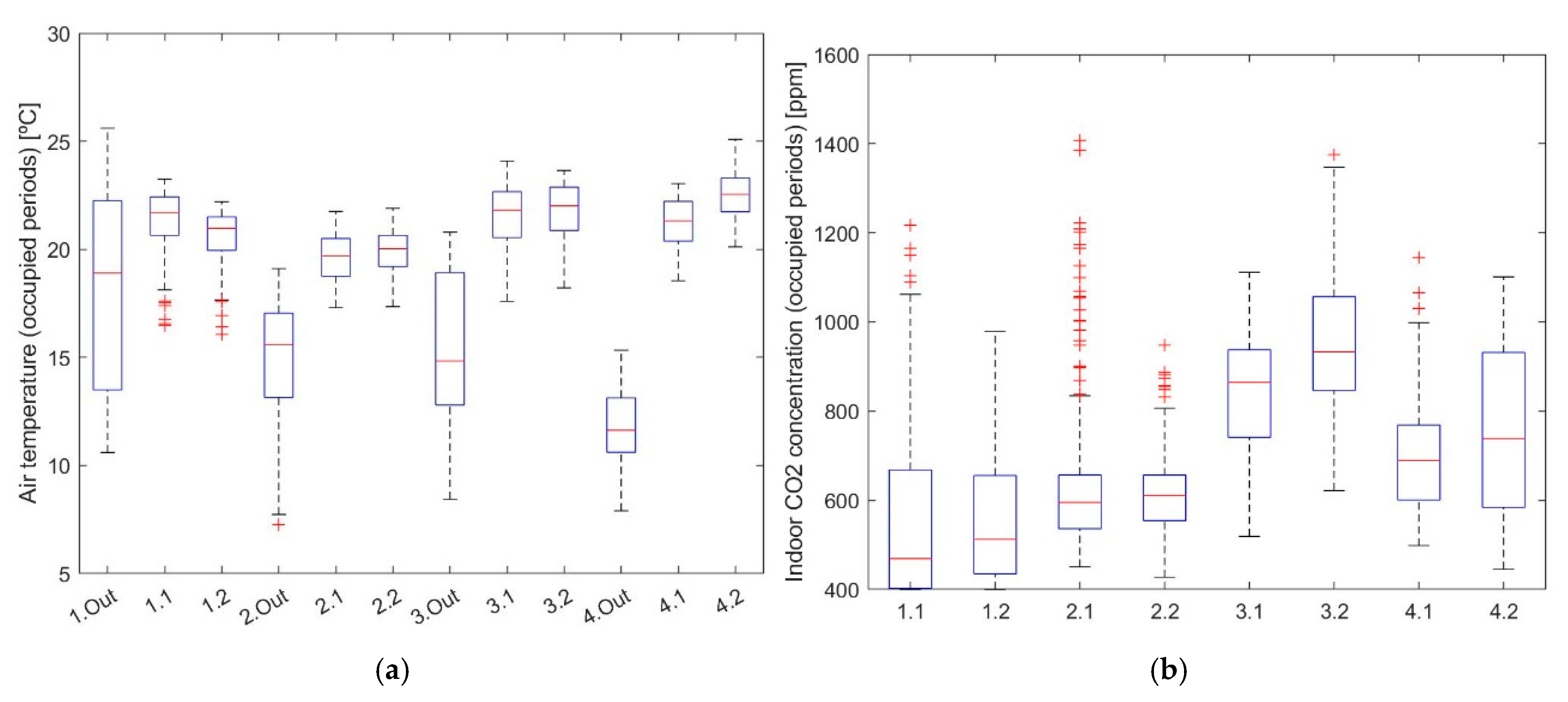
- Indoor temperatures in classrooms in southern Spain and northern Italy remained within similar ranges, generally between 20 and 22.5 °C.
- In the case of Italy, windows were gradually opened based on the needs of the indoor environment, and the classroom door remained closed. Conversely, in case studies in Spain, windows and both classroom doors were fully open throughout the lessons.
- Indoor CO2 levels showed significant differences between the cases studied, with lower values in southern Spain than in northern Italy. The Spanish schools showed optimal air quality for more than 80% of the time, whereas the Italian ones exhibited optimal air quality for just 5–25% of the time (although the quality is adequate most of the occupied hours).
- The high ventilation rates observed in southern Spain, combined with the lack of heating when outdoor temperatures are low, can lead to thermal discomfort (as seen in case 2 during approximately 30% of the occupied hours). Conversely, overheating hours were observed in northern Italian schools (10% of occupied hours in case 4.2).
Author Contributions
Funding
Institutional Review Board Statement
Informed Consent Statement
Data Availability Statement
Acknowledgments
Conflicts of Interest
References
- Wargocki, P.; Wyon, D.P. Providing better thermal and air quality conditions in school classrooms would be cost-effective. Build. Environ. 2013, 59, 581–589. [Google Scholar] [CrossRef]
- Wargocki, P.; Porras-Salazar, J.A.; Contreras-Espinoza, S.; Bahnfleth, W. The relationships between classroom air quality and children’s performance in school. Build. Environ. 2020, 173, 106749. [Google Scholar] [CrossRef]
- World Health Organisation (WHO); Regional Office for the Western Pacific. Repurposing Facilities for Quarantine or Isolation and Management of Mild COVID-19 Cases. 2020. Available online: https://www.who.int/publications/i/item/WPR-DSE-2020-006 (accessed on 19 May 2025).
- World Health Organisation (WHO); United Nations Educational, Scientific and Cultural Organization; United Nations Children’s Fund. Considerations for School-Related Public Health Measures in the Context of COVID-19. Annex to Considerations in Adjusting Public Health and Social Measures in the Context of COVID-19. 2020. Available online: https://www.who.int/publications/i/item/considerations-for-school-related-public-health-measures-in-the-context-of-covid-19 (accessed on 19 May 2025).
- Federation of European Heating; Ventilation and Air Conditioning Associations (REHVA). REHVA COVID19 GUIDANCE. Version 4.0. How to Operate HVAC and Other Building Service Systems to Prevent the Spread of the Coronavirus (SARS-CoV-2) Disease (COVID-19) in Workplaces. 2020. Available online: https://www.rehva.eu/fileadmin/user_upload/REHVA_COVID-19_guidance_document_V4_23112020.pdf (accessed on 19 May 2025).
- ISO 17772-1:2017; Energy Performance of Buildings. Indoor Environmental Quality. Indoor Environmental Input Parameters for the Design and Assessment of Energy Performance of Buildings. International Organization for Standardization (ISO): Geneva, Switzerland, 2017.
- EN16798-1:2019; Energy Performance of Buildings—Ventilation for Buildings—Part 1: Indoor Environmental Input Parameters for Design and Assessment of Energy Performance of Buildings Addressing Indoor Air Quality, Thermal Environment, Lighting and Acoustics—Module M1-6. European Committee for Standardization (CEN): Brussels, Belgium, 2019.
- Vignolo, A.; Gómez, A.P.; Draper, M.; Mendina, M. Quantitative assessment of natural ventilation in an elementary school classroom in the context of COVID-19 and its impact in airborne transmission. Appl. Sci. 2022, 12, 9261. [Google Scholar] [CrossRef]
- European Commission, Joint Research Centre; Directorate-General for Health and Consumers; Institute for Health and Consumer Protection; Csobod, E.; Annesi-Maesano, I.; Carrer, P.; Kephalopoulos, S.; Madureira, J.; Rudnai, P.; de Oliveira-Fernandez, E. SINPHONIE—Schools Indoor Pollution & Health Observatory Network in Europe—Final Report; Publications Office of the European Union: Luxembourg, 2014. [Google Scholar]
- Miranda, M.T.; Romero, P.; Valero-Amaro, V.; Arranz, J.I.; Montero, I. Ventilation conditions and their influence on thermal comfort in examination classrooms in times of COVID-19. A case study in a Spanish area with Mediterranean climate. Int. J. Hyg. Environ. Health 2022, 240, 113910. [Google Scholar] [CrossRef] [PubMed]
- Aguilar, A.J.; De La Hoz-Torres, M.L.; Martínez-Aires, M.D.; Ruiz, D.P. Monitoring and assessment of indoor environmental conditions after the implementation of COVID-19-based ventilation strategies in an educational building in southern Spain. Sensors 2021, 21, 7223. [Google Scholar] [CrossRef]
- Alonso, A.; Llanos, J.; Escandón, R.; Sendra, J.J. Effects of the COVID-19 pandemic on indoor air quality and thermal comfort of primary schools in winter in a mediterranean climate. Sustainability 2021, 13, 2699. [Google Scholar] [CrossRef]
- Meiss, A.; Jimeno-Merino, H.; Poza-Casado, I.; Llorente-Álvarez, A.; Padilla-Marcos, M.Á. Indoor air quality in naturally ventilated classrooms. Lessons learned from a case study in a COVID-19 scenario. Sustainability 2021, 13, 8446. [Google Scholar] [CrossRef]
- Monge-Barrio, A.; Bes-Rastrollo, M.; Dorregaray-Oyaregui, S.; González-Martínez, P.; Martin-Calvo, N.; López-Hernández, D.; Arriazu-Ramos, A.; Sánchez-Ostiz, A. Encouraging natural ventilation to improve indoor environmental conditions at schools. Case studies in the north of Spain before and during COVID. Energy Build. 2022, 254, 111567. [Google Scholar] [CrossRef]
- Di Perna, C.; Mengaroni, E.; Fuselli, L.; Stazi, A. Ventilation strategies in school buildings for optimization of air quality, energy consumption and environmental comfort in mediterranean climates. Int. J. Vent. 2011, 10, 61–78. [Google Scholar] [CrossRef]
- Stabile, L.; Buonanno, G.; Frattolillo, A.; Dell’Isola, M. The effect of the ventilation retrofit in a school on CO2, airborne particles, and energy consumptions. Build. Environ. 2019, 156, 1–11. [Google Scholar] [CrossRef]
- Miao, S.; Gangolells, M.; Tejedor, B. A Comprehensive Assessment of Indoor Air Quality and Thermal Comfort in Educational Buildings in the Mediterranean Climate. Indoor Air 2023, 2023, 649829. [Google Scholar] [CrossRef]
- Llanos, J.; Suárez, R.; Alonso, A.; Sendra, J.J. Objective and Subjective Indoor Air Quality and Thermal Comfort Indices: Characterization of Mediterranean Climate Archetypal Schools After the COVID-19 Pandemic. Indoor Air 2024, 2024, 2456666. [Google Scholar] [CrossRef]
- Torriani, G.; Lamberti, G.; Fantozzi, F.; Babich, F. Exploring the impact of perceived control on thermal comfort and indoor air quality perception in schools. J. Build. Eng. 2023, 63, 105419. [Google Scholar] [CrossRef]
- Aguilar-Carrasco, M.T.; López-Lovillo, R.M.; Suárez, R.; León-Rodríguez, Á.L. Ventilation Strategies to Ensure Thermal Comfort for Users in School Buildings: A Critical Review. Appl. Sci. 2025, 15, 5449. [Google Scholar] [CrossRef]
- Instituto para la Diversificación y Ahorro de la Energía (IDEA). Royal Decree 178/2021, of March 23, amending Royal Decree 1027/2007, of July 20, approving the Regulations on Thermal Installations in Buildings. 2021. Available online: https://www.boe.es/buscar/doc.php?id=BOE-A-2021-4572 (accessed on 11 May 2025).
- Moreno-Grau, S.; Álvarez-León, E.E.; García dos Santos, S.; Diego-Roza, C.; Ruiz de Adana, M.; Marín-Rodríguez, I.; Tomás-Carmona, M.M.; Cruz-Minguillón, M.; van der Haar, R. Evaluación del Riesgo de la Transmisión de SARS-CoV-2 Mediante Aerosoles. Medidas de Prevención y Recomendaciones. Documento Técnico. Ministerio de Sanidad, 2020. Available online: https://www.sanidad.gob.es/areas/alertasEmergenciasSanitarias/alertasActuales/nCov/documentos/COVID19_Aerosoles.pdf (accessed on 19 May 2025).
- Ministro dei lavori pubblici. Decreto Ministeriale 18 dicembre 1975. Norme tecniche aggiornate relative alla edilizia scolastica, ivi compresi gli indici minimi di funzionalità didattica, edilizia ed urbanistica, da osservarsi nella di opere di edilizia scolastica, December 18, p. 30, 1975. Available online: https://www.minori.gov.it/sites/default/files/dm_18_dicembre_1975.pdf (accessed on 19 May 2025).
- Ministero della transizione ecologica. Decreto 23 giugno 2022. Criteri ambientali minimi per l’affidamento del servizio di progettazione di interventi edilizi, per l’affidamento dei lavori per interventi edilizi e per l’affidamento congiunto di progettazione e lavori per interventi edilizi, June 23, 2022. Italy, Rome. Available online: https://www.gazzettaufficiale.it/eli/id/2022/08/06/22A04307/sg (accessed on 19 May 2025).
- UNI 10339:1995; Impianti aeraulici al fini di benessere. Generalità, classificazione e requisiti. Regole per la richiesta d’offerta, l’offerta, l’ordine e la fornitura. Ente Italiano di Normazione: Milan, Italy, 1995.
- Babich, F.; Torriani, G.; Corona, J.; Lara-Ibeas, I. Comparison of indoor air quality and thermal comfort standards and variations in exceedance for school buildings. J. Build. Eng. 2023, 71, 106405. [Google Scholar] [CrossRef]
- Llanos-Jiménez, J.; Suárez, R.; Alonso, A.; Sendra, J.J. Archetypes of Public Secondary Schools in Mediterranean Climate. Indoor Air Quality and Comfort Field Studies. In Proceedings of the 42nd AIVC—10th TightVent—8th Venticool Conference, Ventilation Challenges in a Changing World, Rotterdam, The Netherlands, 5–6 October 2022; pp. 808–817. [Google Scholar]
- Ferrari, S.; Blázquez, T.; Cardelli, R.; De Angelis, E.; Puglisi, G.; Escandón, R.; Suárez, R. Air change rates and infection risk in school environments: Monitoring naturally ventilated classrooms in a northern Italian urban context. Heliyon 2023, 9, e19120. [Google Scholar] [CrossRef]
- Djongyang, N.; Tchinda, R.; Njomo, D. Thermal comfort: A review paper. Renew. Sustain. Energy Rev. 2010, 14, 2626–2640. [Google Scholar] [CrossRef]
- Fanger, P.P. Thermal Comfort: Analysis and Applications on Environmental Technology; Danish Technical Press: Copenhagen, Denmark, 1970. [Google Scholar]
- ISO 7730:2005; Ergonomics of the Thermal Environment. Analytical Determination and Interpretation of Thermal Comfort Using Calculation of the PMV and PPD Indices and Local Thermal Comfort Criteria. International Organization for Standardization (ISO): Geneva, Switzerland, 2005.
- Nicol, F.; Humphreys, M. Derivation of the adaptive equations for thermal comfort in free-running buildings in European standard EN15251. Build. Environ. 2010, 45, 11–17. [Google Scholar] [CrossRef]
- Carlucci, S.; Bai, L.; de Dear, R.; Yang, L. Review of adaptive thermal comfort models in built environmental regulatory documents. Build. Environ. 2018, 137, 73–89. [Google Scholar] [CrossRef]
- ANSI/ASHRAE Standard 55-2020; Thermal Environmental Conditions for Human Occupancy. American Society of Heating, Refrigerating and Air Conditioning Engineers (ASHRAE): Atlanta, GA, USA, 2020.
- American Society of Heating, Refrigerating and Air Conditioning Engineers (ASHRAE). Position Document on Indoor Carbon Dioxide. 2022. Available online: https://www.ashrae.org/file%20library/about/position%20documents/pd_indoorcarbondioxide_2022.pdf (accessed on 19 May 2025).
- D6245-12; Standard Guide for Using Indoor Carbon Dioxide Concentrations to Evaluate Indoor Air Quality and Ventilation. ASTM: West Conshohocken, PA, USA, 2012.
- World Health Organisation (WHO). Methods for Monitoring Indoor Air Quality in Schools: Report from the Meeting, Bonn, Germany, 4–5 April 2011; World Health Organization: Geneva, Switzerland, 2011; p. 32. [Google Scholar]
- Batterman, S. Review and extension of CO2-based methods to determine ventilation rates with application to school classrooms. Int. J. Environ. Res. Public. Health 2017, 14, 145. [Google Scholar] [CrossRef]
- Romero, P.; Valero-Amaro, V.; Miranda, M.T. Indoor Air Quality and Thermal Comfort in University Classrooms in Southwestern Spain: A Longitudinal Analysis from Pandemic to Post-Pandemic. Buildings 2025, 15, 829. [Google Scholar] [CrossRef]








| School | 1 | 2 | 3 | 4 | ||||
|---|---|---|---|---|---|---|---|---|
| Classroom | 1.1 | 1.2 | 2.1 | 2.2 | 3.1 | 3.2 | 4.1 | 4.2 |
| Location | Sevilla (Spain) | Córdoba (Spain) | Milano (Italy) | Milano (Italy) | ||||
| Altitude (m) | 42 | 217 | 120 | 120 | ||||
| Year of construction | 1973 | 1962 | 1973 | 1957 | ||||
| Façade | Brick cavity wall (uninsulated) | Brick cavity wall (uninsulated) | Prefabricated panel (3–5 cm insulation) | Brick cavity wall (uninsulated) | ||||
| Windows | Aluminium frame, single glazing | Aluminium frame, single glazing | Aluminium frame, double glazing | Aluminium frame, double glazing | ||||
| Orientation | Northeast | Southwest | East | West | Southwest | Northeast | East | East |
| Floor area (m2) | 47.2 | 47.2 | 52.2 | 52.2 | 50.3 | 47.6 | 48.8 | 48.8 |
| Volume (m3) | 141.6 | 141.6 | 156.6 | 156.6 | 150.9 | 142.8 | 156.2 | 156.2 |
| Student age | 15–16 | 14–15 | 16–17 | 16–17 | 10–11 | 9–10 | 13–14 | 13–14 |
| Occupation | 28 | 28 | 30 | 30 | 24 | 24 | 20 | 22 |
| N. of people/m3 | 0.198 | 0.198 | 0.192 | 0.192 | 0.159 | 0.168 | 0.128 | 0.141 |
| Ventilation system | Natural | Natural | Natural | Natural | Natural | Natural | Natural | Natural |
| Natural ventilation strategy | All open | All open | All open | All open | Partially open (50–75%) | Partially open (50–75%) | Partially open (10–90%) | Partially open (10–70%) |
| Heating system | Radiators | Radiators | Radiators | Radiators | Radiators | Radiators | Radiators | Radiators |
| Heating pattern (% occupied hours) | 30 | 30 | 30 | 30 | 100 | 100 | 100 | 100 |
| Monitoring period (dd/mm/yy) | 20/02/22–02/03/22 | 27/03/22–04/04/22 | 18/03/22–25/03/22 | 30/03/22–06/04/22 | ||||
| Sensor ID | SENSONET | SENSONET | WSD00TH2CO | WSD00TH2CO | ||||
| Sensor ID | Installation | Variables | Accuracy | Range |
|---|---|---|---|---|
| SENSONET | Indoor | Air Temperature CO2 | ±0.5 °C ±10% | −20 … +65 °C 0 … 5000 ppm |
| WSD00TH2CO | Indoor | Air Temperature CO2 | ±0.2 °C ±50 ppm | −10 … +60 °C 0 … 5000 ppm |
| School | 1 | 2 | 3 | 4 | ||||
|---|---|---|---|---|---|---|---|---|
| Classroom | 1.1 | 1.2 | 2.1 | 2.2 | 3.1 | 3.2 | 4.1 | 4.2 |
| Max. window opening surface area (m2) | 1.95 | 1.95 | 3.8 | 3.8 | 2.5 | 2.5 | 9.9 | 7.0 |
| N. doors | 2 | 2 | 2 | 2 | 1 | 1 | 1 | 1 |
| School | 1 | 2 | 3 | 4 | ||||
|---|---|---|---|---|---|---|---|---|
| Classroom | 1.1 | 1.2 | 2.1 | 2.2 | 3.1 | 3.2 | 4.1 | 4.2 |
| Max. outdoor temperature (°C) | 25.6 | 25.6 | 19.1 | 19.1 | 20.8 | 20.8 | 15.3 | 15.3 |
| Max. indoor temperature (°C) | 23.3 | 22.2 | 21.8 | 21.9 | 24.1 | 23.7 | 23.0 | 25.1 |
| Min. outdoor temperature (°C) | 10.6 | 10.6 | 7.2 | 7.2 | 8.4 | 8.4 | 7.9 | 7.9 |
| Min. indoor temperature (°C) | 16.5 | 16.1 | 17.3 | 17.4 | 17.6 | 18.2 | 18.6 | 20.1 |
| Max. ACH (h−1) | 18.6 | 23.1 | 18.0 | 16.4 | 5.4 | 3.4 | 16.2 | 11.8 |
| Min. ACH (h−1) | 4.6 | 6.5 | 3.9 | 7.2 | 3.1 | 2.0 | 2.9 | 3.2 |
Disclaimer/Publisher’s Note: The statements, opinions and data contained in all publications are solely those of the individual author(s) and contributor(s) and not of MDPI and/or the editor(s). MDPI and/or the editor(s) disclaim responsibility for any injury to people or property resulting from any ideas, methods, instructions or products referred to in the content. |
© 2025 by the authors. Licensee MDPI, Basel, Switzerland. This article is an open access article distributed under the terms and conditions of the Creative Commons Attribution (CC BY) license (https://creativecommons.org/licenses/by/4.0/).
Share and Cite
Escandón, R.; Ferrari, S.; Cardelli, R.; Blázquez, T.; Suárez, R. How Do Natural Ventilation Strategies Affect Thermal Comfort in Educational Buildings? A Comparative Analysis in the Mediterranean Climate. Appl. Sci. 2025, 15, 6606. https://doi.org/10.3390/app15126606
Escandón R, Ferrari S, Cardelli R, Blázquez T, Suárez R. How Do Natural Ventilation Strategies Affect Thermal Comfort in Educational Buildings? A Comparative Analysis in the Mediterranean Climate. Applied Sciences. 2025; 15(12):6606. https://doi.org/10.3390/app15126606
Chicago/Turabian StyleEscandón, Rocío, Simone Ferrari, Riccardo Cardelli, Teresa Blázquez, and Rafael Suárez. 2025. "How Do Natural Ventilation Strategies Affect Thermal Comfort in Educational Buildings? A Comparative Analysis in the Mediterranean Climate" Applied Sciences 15, no. 12: 6606. https://doi.org/10.3390/app15126606
APA StyleEscandón, R., Ferrari, S., Cardelli, R., Blázquez, T., & Suárez, R. (2025). How Do Natural Ventilation Strategies Affect Thermal Comfort in Educational Buildings? A Comparative Analysis in the Mediterranean Climate. Applied Sciences, 15(12), 6606. https://doi.org/10.3390/app15126606

