Noise Impact Analysis in Computer-Generated Holography Based on Dual Metrics Evaluation via Peak Signal-to-Noise Ratio and Structural Similarity Index Measure
Abstract
1. Introduction
2. Theoretical Analysis
2.1. Detour Phase CGH
2.2. Modified Off-Axis Reference Beam Cgh
2.3. Kinoform CGH
2.4. Interference-Type CGH
3. Image Quality Evaluation
4. The Verification of CGH
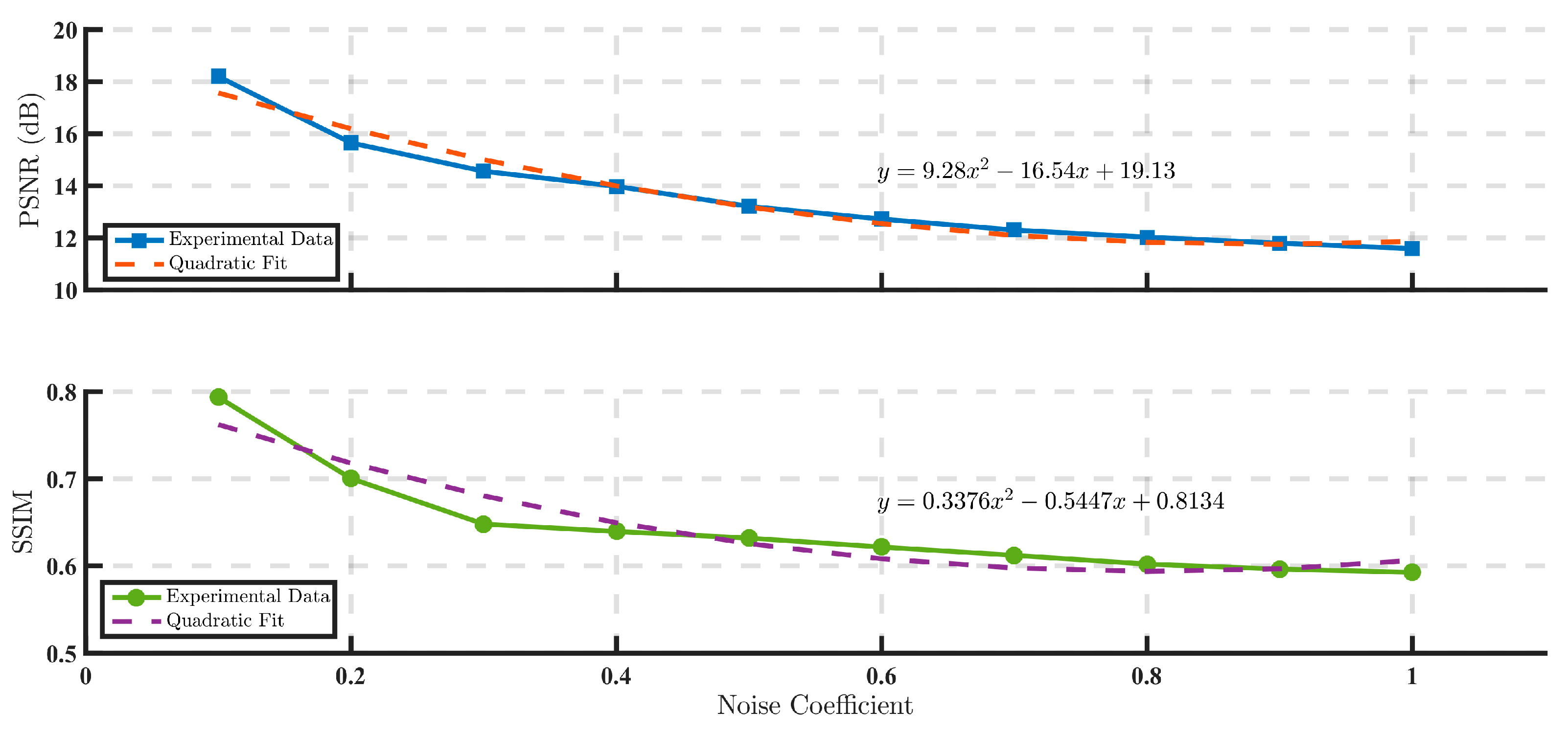
4.1. Generation of Lohmann-III Detour-Phase CGH
4.2. Generation of Modified Off-Axis Reference Beam CGH
- Loading a simulated object light image (ef1 = 0.0~1.0).
- Performing a Fast Fourier Transform (FFT) to obtain the spectrum.
- Interfering the spectrum with a tilted reference beam.
- Encoding the hologram via the Burch method to generate the CGH.
- Applying an inverse Fourier transform to the CGH to reconstruct the optical field and produce the final image.
4.3. Kinoform CGHs
4.4. Interference Type CGHs
5. Conclusions
- (1)
- Noise–SNR Correlation: PSNR exhibits monotonic decay with increasing noise coefficients, showing accelerated reduction in low-noise regimes (≤0.3, e.g., 36.3% drop for Lohmann III) and saturation attenuation in high-noise regimes (≥0.5, e.g., 10.9% reduction for kinoforms), confirming PSNR’s sensitivity to low noise but limited capacity in noise-dominant scenarios.
- (2)
- SSIM Robustness: SSIM demonstrates superior stability across all encoding methods, maintaining 0.9042 for modified Burckhardt encoding at noise coefficient 1.0 and sustaining SSIM >0.92 throughout Lee’s grayscale encoding, validating its effectiveness in preserving edge/texture features to suppress visual distortions.
- (3)
- Encoding Optimization: Noise resistance improves significantly through method refinement. Lee’s grayscale encoding achieves 19.09 dB PSNR at noise coefficient 1.0 (21% improvement over binary encoding), while Lohmann III enhances PSNR/SSIM by 94.2%/46% via aperture expansion (4→12), with most pronounced gains at low apertures (4→8).
- (4)
- (5)
- Noise Thresholds: Visual lossless quality (SSIM > 0.95) is achievable at noise coefficients ≤0.3, while imaging usability at ≥0.7 requires combined strategies like noise-resistant encoding (e.g., Li’s grayscale) or aperture optimization.
Author Contributions
Funding
Institutional Review Board Statement
Informed Consent Statement
Data Availability Statement
Conflicts of Interest
References
- Wei, C.; Zhou, R.; Ma, H.; Pi, D.; Wei, J.; Wang, Y.; Liu, J. Holographic display using layered computer-generated volume hologram. Opt. Express 2023, 31, 25153–25164. [Google Scholar] [CrossRef] [PubMed]
- Ding, X.; Chang, C.; Dai, B.; Wang, Q.; Zhang, D.; Zhuang, S. Real-time holographic 3D display using Split-Lohmann Fresnel computer-generated hologram. Opt. Express 2024, 32, 40175–40189. [Google Scholar] [CrossRef] [PubMed]
- Gan, Z.; Peng, X.; Hong, H. An Evaluation Model for Analyzing the Overlay Error of Computer-generated Holograms. Curr. Opt. Photonics 2020, 4, 277–285. [Google Scholar]
- Shi, L.; Li, B.; Matusik, W. End-to-end learning of 3D phase-only holograms for holographic display. Light Sci. Appl. 2022, 11, 2176–2193. [Google Scholar] [CrossRef]
- Zhao, T.; Liu, J.; Gao, Q.; He, P.; Han, Y.; Wang, Y. Accelerating computation of CGH using symmetric compressed look-up-table in color holographic display. Opt. Express 2018, 26, 16063–16073. [Google Scholar] [CrossRef]
- Gao, C.; Liu, J.; Li, X.; Xue, G.; Jia, J.; Wang, Y. Accurate compressed look up table method for CGH in 3D holographic display. Opt. Express 2015, 23, 33194–33204. [Google Scholar] [CrossRef]
- Noghani, F.E.; Tofighi, S.; Bahrampour, A.R. The theoretical investigation of the proposed optical fiber torsion sensor based on computer-generated-hologram (CGH). Opt. Commun. 2020, 463, 125323. [Google Scholar] [CrossRef]
- Xiao, X.; Yu, Q.; Zhu, Z. Encoding method of CGH for highly accurate optical measurement based on non-maxima suppression. Chin. Opt. Lett. 2017, 15, 45–49. [Google Scholar]
- Zhou, J.; Jiang, L.; Yu, G.; Wang, J.; Wu, Y.; Wang, J. Solution to the issue of high-order diffraction images for cylindrical computer-generated holograms. Opt. Express 2024, 32, 14978–14993. [Google Scholar] [CrossRef]
- Yao, Y.; Zhang, Y.; Fu, Q.; Duan, J.; Zhang, B.; Cao, L.; Poon, T.C. Adaptive layer-based computer-generated holograms. Opt. Lett. 2024, 49, 1481–1484. [Google Scholar] [CrossRef]
- Nanmaran, R.; Luminasree, B. Development of Wavelet Transform-Based Image Fusion Technique with Improved PSNR for CT and PET Images in Comparison with Discrete Cosine Transform-Based Image Fusion Technique. ECS Trans. 2022, 107, 13185. [Google Scholar]
- Francesco, M.; Gabriele, S. Convergence results in image interpolation with the continuous SSIM. SIAM J. Imaging Sci. 2022, 15, 1977–1999. [Google Scholar]
- Martini, M.G. Measuring Objective Image and Video Quality: On the Relationship Between SSIM and PSNR for DCT-Based Compressed Images. IEEE Trans. Instrum. Meas. 2025, 74, 5007813. [Google Scholar] [CrossRef]
- Zhu, B.; Liu, H.; Liu, Y.; Yan, X.; Chen, Y.; Chen, X. Second-harmonic computer-generated holographic imaging through monolithic lithium niobate crystal by femtosecond laser micromachining. Opt. Lett. 2020, 45, 4132–4135. [Google Scholar] [CrossRef]
- Călin, B.Ş.; Preda, L.; Jipa, F.; Zamfirescu, M. Laser fabrication of diffractive optical elements based on detour-phase computer-generated holograms for two-dimensional Airy beams. Appl. Opt. 2018, 57, 1367–1372. [Google Scholar] [CrossRef]
- Wu, H.Y.; Chavel, P.; Joyeux, D.; Brunol, J. Fresnel detour-phase circular computer generated holograms. Opt. Commun. 1983, 45, 155–159. [Google Scholar] [CrossRef]
- Liu, Z.; Xie, Y.; Zhu, W.; Fu, Q.; Gao, F.; Li, G.; Wang, Y.; Su, X.; Zhang, B.; Kumar, S. Flexible Method for Generating Arbitrary Vector Beams Based on Modified Off-Axis Interference-Type Hologram Encoding. Photonics 2022, 9, 949. [Google Scholar] [CrossRef]
- Sun, P.; Wei, Y.; Wang, Z.; Luo, Y. An analysis of the influence of the color rendition of images reconstructed from full-color computer-generated Fourier-transform holograms. Phys. Scr. 2014, 89, 035502. [Google Scholar] [CrossRef]
- Burckhardt, C.B. A Simplification of Lee’s Method of Generating Holograms by Computer. Appl. Opt. 1970, 9, 1949. [Google Scholar] [CrossRef]
- Cruz-López, M.-L.; González-Velázquez, K.G. Analysis of random-phase distributions and Perlin noise in CGH: A study of its effects on Fourier and Fresnel holograms reconstruction. Opt. Eng. 2020, 59, 102419. [Google Scholar]
- Athira, T.S.; Yadu Krishnan, K.T.; Naik, D.N. Nonlinear detection of phase difference in optical interference using computer generated hologram assisted common-path three-beam interferometry. Indian J. Phys. 2024. [Google Scholar] [CrossRef]
- Setiadi, D.R.I.M. PSNR vs SSIM: Imperceptibility quality assessment for image steganography. Multimed. Tools Appl. 2021, 80, 8423–8444. [Google Scholar] [CrossRef]



























Disclaimer/Publisher’s Note: The statements, opinions and data contained in all publications are solely those of the individual author(s) and contributor(s) and not of MDPI and/or the editor(s). MDPI and/or the editor(s) disclaim responsibility for any injury to people or property resulting from any ideas, methods, instructions or products referred to in the content. |
© 2025 by the authors. Licensee MDPI, Basel, Switzerland. This article is an open access article distributed under the terms and conditions of the Creative Commons Attribution (CC BY) license (https://creativecommons.org/licenses/by/4.0/).
Share and Cite
Li, Y.; Zhang, Y.; Jia, D.; Gao, S.; Zhang, M. Noise Impact Analysis in Computer-Generated Holography Based on Dual Metrics Evaluation via Peak Signal-to-Noise Ratio and Structural Similarity Index Measure. Appl. Sci. 2025, 15, 6047. https://doi.org/10.3390/app15116047
Li Y, Zhang Y, Jia D, Gao S, Zhang M. Noise Impact Analysis in Computer-Generated Holography Based on Dual Metrics Evaluation via Peak Signal-to-Noise Ratio and Structural Similarity Index Measure. Applied Sciences. 2025; 15(11):6047. https://doi.org/10.3390/app15116047
Chicago/Turabian StyleLi, Yucheng, Yang Zhang, Deyu Jia, Song Gao, and Muqun Zhang. 2025. "Noise Impact Analysis in Computer-Generated Holography Based on Dual Metrics Evaluation via Peak Signal-to-Noise Ratio and Structural Similarity Index Measure" Applied Sciences 15, no. 11: 6047. https://doi.org/10.3390/app15116047
APA StyleLi, Y., Zhang, Y., Jia, D., Gao, S., & Zhang, M. (2025). Noise Impact Analysis in Computer-Generated Holography Based on Dual Metrics Evaluation via Peak Signal-to-Noise Ratio and Structural Similarity Index Measure. Applied Sciences, 15(11), 6047. https://doi.org/10.3390/app15116047

