Next Article in Journal
Hardware-in-Loop Modules for Testing Automated Ventilator Controllers
Previous Article in Journal
Stock Market Bubble Warning: A Restricted Boltzmann Machine Approach Using Volatility–Return Sequences
 
 
Font Type:
Arial Georgia Verdana
Font Size:
Aa Aa Aa
Line Spacing:
Column Width:
Background:
Article

Heat Transfer Intensification in a Heat Exchanger Tube with Continuous V-Rib Twisted Tapes Installed

1
School of Engineering and Industrial Technology, Mahanakorn University of Technology, Bangkok 10530, Thailand
2
School of Engineering, King Mongkut’s Institute of Technology, Ladkrabang, Bangkok 10520, Thailand
3
Department of Mechanical Engineering, Faculty of Engineering, Srinakharinwirot University, Bangkok 10110, Thailand
4
Engineering Innovation Unit, Graduate School of Regional Innovation Studies, Mie University, Tsu 514-8507, Mie, Japan
5
Department of Mechanical Engineering, Faculty of Engineering, Mie University, Tsu 514-8507, Mie, Japan
6
Department of Mechanical Engineering, Faculty of Engineering, Aichi Institute of Technology, Toyota 470-0392, Aichi, Japan
*
Author to whom correspondence should be addressed.
Appl. Sci. 2025, 15(10), 5612; https://doi.org/10.3390/app15105612
Submission received: 8 April 2025 / Revised: 6 May 2025 / Accepted: 14 May 2025 / Published: 17 May 2025
(This article belongs to the Section Energy Science and Technology)

Abstract

This article reports the effect of twisted tapes with continuous V-ribs on the thermal performance index characteristics of a heat exchanger tube. Numerical and experimental studies were conducted to investigate the influence of V-rib attack angles (β = 15°, 30°, and 45°) in forward and backward arrangements. This investigation employed 0.9 mm thick, continuous V-rib twisted tapes (CVRTs) made from aluminum sheets formed with a twist ratio of y/w = 4.0. The experimental results indicated that a continuous V-rib twisted tape (CVRT) was more effective in heat transfer improvement than a typical twisted tape (TT). This was due to swirl and longitudinal vortex flows that helped increase flow mixing and reduce boundary layer thickness. Decreased V-rib attack angles (β) led to greater heat transfer enhancement, pressure drop, and thermal performance index values due to the greater turbulent mixing of fluid. The numerical result revealed that a continuous V-rib twisted tape created strong longitudinal vortex flow, especially with higher attack angles. The Turbulent Kinetic Energy (TKE) and core fluid temperature increased with the insertion of CVRTs. Local Nusselt numbers also remained relatively high for heat exchanger tubes with CVRTs. The experimental study illustrated that a tube with a CVRT installed augmented heat transfer. In the experimentally studied cases, a backward arrangement had more heat transfer, a greater friction factor, and a better thermal performance index. Compared to a plain tube, a tube with CVRT installed, having β = 15°, 30°, and 45°, showed 76.8, 71.6, and 66.2% improved heat transfer, respectively. CVRTs with these three β-values, respectively, exhibited higher thermal performance than a TT. Among the investigated CVRTs, the backward-arranged tape with β = 15° offered the maximum thermal performance index, 1.13 at Re = 6000. The results are congruent with the simulation outcomes, hence supporting the CFD analysis.

1. Introduction

The chemical, refrigeration, power, and nuclear industries, among others, extensively utilize heat transfer systems. Thermohydraulic performance of heat exchanger tubes, as a fundamental component in heat transfer systems, directly influences system efficiency [1,2]. The global energy consumption in industries is expected to increase by 40% by the year 2040 [3]. Augmenting heat thermal performance has become a crucial strategy for reducing energy consumption and operating costs. Increasingly, researchers are investigating active and passive approaches to improve heat transfer and enhance thermal performance. Among the heat transfer enhancements, those that utilize inserted devices have significantly enhanced the performance of conventional heat exchangers. Researchers frequently employ twisted tapes to improve the performance of heat exchange tubes because of their reliability, uncomplicated design, and ease of installation. The use of twisted tapes has two opposing effects: a disadvantageous pressure drop and an advantageous heat transfer augmentation [4,5]. These phenomena are caused by (1) intensification of turbulence and disruption of the boundary layer region, (2) an enlarged heat transfer region, and (3) creation of swirling flows [6,7,8].
Researchers have systematically optimized heat exchangers with twisted tape insert augmentation through three-dimensional parametric studies. These include modifying tape geometry (e.g., twist ratio, edge curvature), configuration or multiple tape configurations (e.g., co/counter-swirl arrangements), and working fluid selection (e.g., nanofluids, phase-change slurries). Chammam et al. [2] examined the thermohydraulic performance behaviors of AIN-Al2O3/water hybrid nanofluids with twisted tapes mounted in a tube. Twisted tapes with various twist pitches were selected. The Reynolds numbers ranged from 800 to 2000. They used a twisted tape with a pitch ratio of 2.0 and a hybrid nanofluid with a 0.04 volume fraction. In these experiments, the hybrid nanofluid performed excellently in terms of Nusselt number, heat transfer coefficient, and friction factor. Moreover, as the Reynolds number increases, axial convection becomes greater, optimizing heat transfer, disturbing the boundary layer, and thereby enhancing heat transfer from the wall to the fluid. Eiamsa-ard et al. [6] examined the performance of tubes with a full-length single twisted tape, full-length double-tapes, and double-spaced tapes with varying twist and space ratios (space length-to-tube diameter). Their research illustrated that double-tapes and/or double-spaced tapes with a smaller space ratio (0.75) perform the greatest heat transfer performance. This was due to more complex swirl flow and greater fluid mixing, which augmented heat transfer. Harish and Manjunath [7] evaluated the fluid dynamics and thermohydraulic performance of a tube with twisted tapes employing circular protuberances (CPTTs). The twist ratio was fixed, and tapes were installed in an isothermal tube. They indicated that a twisted tape with circular protuberances provided a 1.5 times greater thermal augmentation factor than a typical twisted tape (TT). Its Nusselt number and friction factor were 15–24% and 12–22% higher than those of a TT, respectively. Dandoutiya and Kumar [8] conducted a numerical study on double-pipe thermal exchangers utilizing W-cut twisted tapes to improve heat transfer performance. W-cut twisted tapes with 0.2–0.6 depth-to-width ratios were tested. These results observed that the vortices produced by the twisted tapes enhanced heat transfer, and increasing the cutting depth intensified turbulence and improved fluid mixing. The thermal performance factor increased with cutting depth, reaching its maximum value of 1.5. The W-shaped cut twisted tape exhibited a superior performance at high Reynolds numbers.
Altun et al. [9] investigated heat transfer enhancement in a tube by twisted trapezoidal and trapezoidal tapes. Their results showed that under an isothermal condition with Reynolds numbers ranging from 5000 to 25,000, the twisted trapezoidal tapes improved not only thermal transfer but also increased pressure losses. Twisted trapezoidal tapes showed an overall performance factor greater than unity. The highest Nusselt number, 118, and overall performance factor, 1.16, were obtained by employing twisted trapezoidal tapes with a thread height of a quarter of the tape’s width and an 80° twisted pitch length that was 4.0 times the inner diameter. Their results indicated that twisted trapezoidal tapes combined the advantages of twisting and trapezoidal shapes performed well in turbulent heat transfer. Zheng et al. [10] carried out the effect of twisted tapes with dimples on heat transfer, demonstrating both considerably improved thermal transfer with a moderately increased pressure drop. The dimpled tape had better performance on the dimpled and protrusion sides compared to a typical twisting tape. The heat transfer was improved with a smaller twist ratio and deeper dimples. The highest thermal performance was achieved with a 3.0 twist ratio and a 0.3 dimple depth to tube diameter ratio. Turbulence intensity in the depressions was markedly increased, particularly at the tube wall and in the core region, potentially resulting in intensified secondary flows and thus enhanced heat transfer. Heeraman et al. [11] performed the thermal and frictional behaviors of water flowing through a dual-pipe heat exchanger installed with twisted tapes. They are tested with various dimple ratios, maintaining a 5.5 twist ratio. They revealed that the heat transfer increased with the Reynolds number, while the best configuration for a higher heat transfer rate was at a D/H of 3.0 among different diameters. The friction factor was lowest when the diameter-to-depth ratio was 4.5. Considering the heat transfer and pressure drop behaviors, the combination of D = 4.0 mm and D/H = 4.5 yields the best performance.
In their study [12], Fetuga et al. examined how surface-grooved twisted tapes, toroidal rings, and stents affected the heat transfer behavior. Their results indicated a positive correlation between thickness and width ratios with two metrics, the heat transfer enhancement and the pressure loss. Nevertheless, thermal performance decreases due to increased pitch ratios. When the width-to-thickness ratio increased, the heat transfer and pressure loss significantly increased, and the thermal performance rose to 1.4. At a 0.68 width-to-thickness ratio, the Nusselt number was 105% higher than that of a smooth tube. At greater pitch ratios, both the heat transfer rate and pressure loss decreased, and thermal performance was greater as the pitch ratio decreased. Increased thickness led to greater heat transfer rate and pressure drops.
Abidi et al. [13] revealed the thermohydraulic characteristics of a parabolic solar trough utilizing twisted tapes with circular holes filled with a water–copper oxide nanofluid in the turbulent zone. The hole diameter ratios were 0.5, 0.7, and 0.9. Their results indicated that the greatest heat transfer performance factor was achieved under the condition that the diameter-to-width ratio was 0.9, the nanoparticle volume fraction was 0.4%, and Re = 10,000. The highest heat transfer performance was 64% greater than that of other modes. Kola et al. [14] identified the optimal parameters to improve heat transfer while decreasing the friction coefficient in dual pipe heat exchangers having twisted tapes of variable cross-sectional cuts. Their findings indicated that the relationship between the cut radius and cut angle markedly affected heat transfer, 1965 W/m2 K with a 0.077 friction coefficient, as a function of mass flow rate. The best performance coefficient was observed with a cut radius of 5.46 mm and a cut angle of 12°. Chang and Huang [15] examined enhancements in heat transfer (HTE) utilizing twisted tapes with spiky ribs, with and without edge notches. They considered related increases in pressure drop and efficiency in heat convection. Their research examined distributions of heat transfer in tubular flows augmented with several types of twisted tapes with spiky ribs. The tape with a low twist ratio (1.56), having notches and installed in a forward condition, provided higher heat transfer and pressure drops. These results indicated that twisted tapes exhibited elevated levels of heat transfer with minimal pressure drop. Chang et al. [16] employed twisted tapes with conjugate inclined ribs to augment performance and reduce pressure loss. The ribs turned flow recirculation cells into solenoidal vortices, while the slots enabled the exchange of mass, momentum, and energy across axial swirls. These flow systems enhanced heat transfer and diminished the form drag generated by ribs. The observed thermal performance factor was 1.31 with a 45° rib inclination angle, twist ratio of 2.0, and a rib-pitch–rib height ratio of 11.2. The combined effect of the inclined ribs with the slots mostly explained the best thermal performance index since it broke the boundary layer, increased turbulence, and lowered the friction factor, thereby improving thermal performance. Sedaghat et al. [17] studied the influence of twisted tapes on thermohydraulic performance in a heat exchanger under laminar flow. Plain tubes, TT, and holed twisted tapes with varying W-ratios and blade numbers were examined. Their results showed a beneficial relationship between the blade numbers and two metrics, the Nusselt number and the pressure loss. The performance index decreased with greater blade numbers. A holed, twisted tape with six blades presented an optimal performance coefficient. Wang et al. [18] reported how the twisted tape’s location affected the fluid character and thermal enhancement in the tube. With a similar twist ratio, 2.0, tape widths were varied from 12–20 mm, and Reynolds numbers ranged from 2600–8760. Their research illustrated that a twisted tape placed against the wall had 3–18% higher heat transfer than a tape located at the core of the tube. Eiamsa-ard et al. [19] focused on the effects of co/counter-swirl flows on thermal augmentation. Their experiments covered dual-twisted tapes with twist ratios of 2.5–4.0. The results observed that the dual-counter-swirl tapes with a 2.5 twist ratio provided the greatest thermal performance, 1.39. Eiamsa-ard and Changcharoen [20] studied the thermohydraulic properties of ducts into which dual and quadruple twisted-tapes were installed in various arrangements. The results were contrasted with the performance of smooth ducts and ducts with TTs. The thermohydraulic properties of ducts rely on the number of tapes and their configuration. The number of tapes was more significant. Heat transfer rate and pressure losses rose with increased numbers of tapes. The quadruple twisted tape provided better heat transfer than a dual twisted tape, but with a lower thermal performance factor. Maximal thermal performance was obtained by the configuration of diagonal double counter-tapes and diagonal double co-tapes.
The effects of twisted tape width with various arrangements on heat transfer performance were studied by Sheikholeslami et al. [21]. Their results showed that tapes and nanofluids can significantly improve heat transfer efficiency and reduce energy losses. The performance of the thermal system was optimal, and the entropy generation was minimal at high Reynolds numbers and with multiple twisted tapes. At four twisted tapes and a 0.03% concentration of Al2O3 nanofluid, the maximum friction entropy of the system reached 1605. Chen et al. [22] employed a two-phase simulation to analyze water/MWCNT nanofluid flow and thermohydraulic performance using a triple-perforated twisted-tape. A nanofluid was utilized as the working medium, and the Reynolds numbers ranged from 6000 to 24,000. Their study indicated that a triple-perforated tape significantly affected the channel heat transfer coefficient. The studied cases caused fluctuating flow and increased heat transfer efficiency and pressure loss. A triple-perforated tape having four complete waves with high-concentration MWCNT nanofluids (φ = 0.8%) offered the best performance evaluation criterion, 1.92.
The results of heat transfer enhancement using modified twisted tapes with various surface designs are summarized in Table 1. Among these, twisted tapes featuring uneven surfaces, such as dimpled tapes [10] and inclined rib-slot tapes [16], have demonstrated promising improvements in both heat transfer and thermal performance. Building on this concept, the present study employs V-ribs as the surface modification for twisted tapes. V-ribs were selected due to their advantages over both dimpled surfaces and inclined ribs, as highlighted in previous studies. Unlike dimples, which create localized turbulence [23], V-ribs induce continuous boundary layer disruption along the flow path, resulting in more uniform heat transfer enhancement. Furthermore, V-shaped ribs generate vortices and give higher thermal performance than the typical orthogonal or angled ribs [24]. In addition, the geometry of V-shaped ribs can be easily modified by adjusting their attack angle to optimize heat transfer performance. Based on these findings, this study focuses on twisted tapes with continuous V-ribs (CVRT). The investigation explores the effects of CVRT inserts, with protruding V-ribs, on heat transfer characteristics, pressure drop, and thermal performance in a heat exchanger. The heat transfer coefficient is evaluated for three V-rib attack angles (β): 15°, 30°, and 45°, considering both forward and backward tape orientations. Air is used as the working fluid within a Reynolds number range of 6000 to 20,000. All test cases are conducted under consistent rib extrusion depth and rib-to-edge distances.

2. Continuous V-Rib Twisted Tapes

The new continuous V-rib twisted tapes (CVRTs) tested in this study are shown in Figure 1a–e. Their design aims to improve heat transfer by combining continuous V-ribs with helical flow patterns, which would be an effective method that integrates geometric disruption and rotational momentum effects to enhance performance. This structure might enhance thermal performance through a synergistic interplay of turbulent flow disruption, augmented surface area, and secondary flow generation. The continuous V-rib twisted tapes were formed from 0.9 mm thick aluminum sheets because of their excellent thermal conductivity, lightweight properties, and ease of manufacturability. The sheets were cut into tapes that were 1500 mm long (y) and 60 mm wide (w). Each tape was placed between two meshed gear rollers, which imprinted ribs onto the plate’s surface in a rolling process. The rib attack angle is determined by the gear rollers’ helix angle. This attack angle might play a critical role in influencing the fluid and heat transfer mechanisms of the testing structure. Specifically, ribs with a fixed attack angle are first rolled on one side of the tape, and the centerline is used as a reference to assure symmetry and uniformity. The tape was then flipped, and the rolling process was repeated on the opposite side, resulting in a continuous V-rib pattern that spanned both surfaces. This continuous V-rib shape not only increased the surface area but also created a more complex flow path for the working fluid, thereby enhancing turbulence and heat transfer. After the ribs were formed on the tape, the tape was transferred to a twisting machine for further processing. One end of the tape was fixed, while the other was attached to a rotating clamp. By rotating the clamp, the tape was twisted along its axis with a twist ratio of 4.0. Three CVRTs were fabricated with varying attack angles (β) at 15°, 30°, and 45° while maintaining consistent rib extrusion depth and edge distance, which would avoid introducing additional variables that could complicate the interpretation of results.

3. Experimental Facility

A detailed configuration of the experimental facility is displayed in Figure 2a,b. The test configuration has four segments: the intake, pressure stabilization and temperature regulation, testing, and data measurement and processing systems. The intake system comprises an inverter and a 7.5 kW high-pressure fan, employing air as the working medium. The pressure stabilization and temperature regulation system includes two orifice flow indicators, pressure gauges, a temperature-controlled heater, and a resistance temperature detector (RTD). It is designed to precisely regulate the intake temperature and pressure at specified values. Moreover, the gas line system utilizes stainless steel piping with a diameter identical to that of the test section. This is conducted to eliminate the impact on test outcomes resulting from variables such as alterations in pipe diameter. The testing apparatus has a uniform heat distribution due to a continuous V-rib twisted tape, two pressure gauges, two RTDs, and several thermocouples. A constant heat flux was maintained in the system’s copper tube. This tube was 1500 mm long, had a 60 mm inside diameter, and a 2 mm wall thickness. Its outside was wrapped with 0.7 mm diameter nichrome heating wire with a 46 Ω resistance. The pipe surface was insulated to ensure uniform heat flux.
The external surface of the test section was sufficiently insulated to reduce heat loss to the environment. In addition, crucial steps were implemented to avert leaks from the system. In the experiment, the heat losses from the test section comprise around 3 to 7% of the overall heat supplied (Q = IV). The calm part was 1900 mm in length, which is approximately 31 times its interior diameter (31D). The calming part was employed to stabilize the entering air at a temperature of 25 °C. The temperatures of the inlet and outlet were recorded using T-type thermocouples and a data recorder. Fifteen T-type thermocouples were employed to measure the local wall temperatures of the test section. Each thermocouple was soldered in a V-groove within the test section wall (copper tube) and secured with thermal glue. Each V-groove cavity had a depth of 0.8 mm. To prevent the glued thermocouples from direct exposure to the heater, high-temperature silicon insulation was applied to the crevice following the soldering process. Fifteen T-type thermocouples were attached every 100 mm along the 1500 mm length of the tube, starting from the entrance of the test section at 50 mm (X1) and continuing to 1450 mm (X15), as shown in Figure 2b. The circumferential temperature variation turned out to be negligible after all T-type thermocouples were affixed to the tube’s surface and placed around it. The T-type thermocouples’ readings were used to calculate the mean wall temperature. Resistance Temperature Detectors (RTDs) were utilized to measure the temperatures of the fluid (air). The entry temperature (Ti) RTD was installed at the core section of the entry clam, while the outlet temperature (To) RTD was installed at the exit test section. The radial locations of the RTDs were varied (r/D = 0.0, 0.15, 0.3, and 0.45). The average air temperature was determined by averaging the corresponding RTD values. The mean values of the inlet and outlet temperatures were obtained from two and four RTDs that were affixed at the entry and exit locations, respectively. The thermocouples were calibrated with a thermostat and were determined to have a precision of 0.1 °C. A data recorder (HIOKI LR8401, HIOKI, Tokyo, Japan, 10 ms high-speed sampling with 30 channels as standard) was employed to capture all temperature sensor signals produced by the system. All local surface temperatures were recorded once the system had attained a stable state. At least three repetitions of each experiment were conducted, and the wall and bulk fluid temperatures were recorded under steady-state conditions. The outside tube wall was insulated with phenolic foam rubber to mitigate heat loss to the environment.
The pressure drop, which was measured by a differential pressure sensor (Dwyer DM-2004, DwyerOmega, Michigan City, IN, USA; accuracy: ±2% for 250 Pa, ±1% for 250–1250 Pa) under isothermal conditions or without a heating conduit, was used to calculate the friction factor. In the experiment, pressure probes were placed approximately 50 mm upstream and 150 mm downstream of the test section. The distance between the two twisted tapes was about 1800 mm. Before conducting the tests, each pressure gauge was calibrated using a micromanometer. The volumetric flow rate was measured with an orifice flow meter, which was itself calibrated using a thermo-anemometer. (TSI/Alnor 9565-A, TSI Incorporated, Shoreview, MN, USA; accuracy: ±3% for reading, ±0.015 m/s, range: 0–50 m/s). For each test run, data on the volumetric flow rate and pressure drop of air under steady-state conditions were recorded, with the inlet air temperature maintained at 25 °C. The Reynolds numbers and various flow friction characteristics were determined based on the inlet temperature. Fluid properties were evaluated using the overall mean temperature collected during the experiments. The average Nusselt numbers were then calculated and analyzed accordingly.
In addition, the temperature measurements and pressure differentials of the entire system were processed using a data logger linked to a host computer. A data logger was employed to visualize temperature at each measurement site. The experimental setup was run for more than ten minutes after adjusting the flow to specified values to ensure data reliability. This facilitates temperature and micromanometer reading stabilization before data collection. The experimental configuration and operating parameters are listed in Table 2.
In the experiments, a uniform wall heat flux condition was set at the test tube’s inner surface. The entry fluid temperature (Ti) was kept at 25 °C. During the experiments, heat (Qair) was passed through the air within the tube by convective heat transfer from the electrical heating wire. Consequently, Qair is considered equivalent to the convective heat transfer (Qconv) of the tube wall.
Q a i r = Q c o n v
where Qair is as follows:
Q a i r = m ˙ C p , a i r T o T i
The mean quantity of the heat obtained from air is employed to determine the thermal performance for internal convection as follows:
Q c o n v = h A T ~ W T b
where Tb represents the average temperature of bulk flow as follows:
T b = T o + T i 2
The average wall temperature (Tw) is found from the temperatures measured by the thermocouple probes between the system intake and exhaust as follows:
T w = T w 15
The heat exchanger convection coefficient (h) between the air and the test tube is expressed as follows:
h = m ˙ C p , a i r T o T i / A T ~ w T b
The Nusselt number (Nu) is determined by the following:
N u = h D k
where k is the air heat conduction coefficient.
The Reynolds number in a circular tube is calculated as follows:
R e = ρ U D / μ
Friction factors (f) are evaluated from pressure variation in the test section as follows:
f = 2 D Δ P / ρ L U 2
Evaluating the thermal performance based on the Nusselt number is not advisable. Since the pressure loss increases rapidly as the Nusselt number rises, this will lead to higher energy consumption. A comprehensive thermal performance index (TPI) is adopted based on a balance between augmented friction losses and enhanced thermal exchange [25,26]. The thermal performance index (TPI) is a ratio of the thermal exchange coefficient with an augmentation device compared to that with no augmentation device at an identical pumping power, as follows:
T P I = N u / N u p f / f p 3
It is essential to conduct an uncertainty analysis to assess the reliability and accuracy of test results, thereby ensuring the validity of the derived conclusions. Previously delineated methodologies were employed to conduct an uncertainty analysis of the current work [27,28]. Uncertainty analyses were conducted for important parameters, including Re, Nu, and f, to determine data reliability. It is possible for the Nusselt number and the pressure drop to be uncertain. These uncertainties are set according to previously published guidelines [27,28]. Moreover, Table 3 thoroughly concludes the uncertainties associated with all test parameters used in the present work.
The twist ratio of the continuous V-rib twisted tapes (CVRT) was maintained at 4.0 for all test runs. The twist ratio (TR), also denoted as y/w, is defined as the axial length required for the tape to complete a 180° twist, measured between two corresponding points on co-planar surfaces perpendicular to the tape axis, and normalized by the tape width.
Nusselt Number (Nu)
Δ N u N u = 1 N u h N u Δ h 2 + D N u Δ D 2 + k N u Δ k a 2 0.5 = Δ h h 2 + Δ D D 2 0.5
where h = q T w T b .
Δ h h = 1 h h q Δ q 2 + h T w Δ T w 2 + h T b Δ T b 2 0.5 = Δ q q 2 + Δ T w T w T b 2 + Δ T b T w T b 2 0.5
where q = 0.5 π D L V 2 / R + m ˙ C p T o T i .
Friction factor (f)
Δ f f = 1 f f Δ P Δ Δ P 2 + f L Δ L 2 + f D Δ D 2 + f Re Δ Re 2 0.5 = Δ Δ P Δ P 2 + Δ L L 2 + 3 Δ D D 2 + 2 Δ Re Re 2 0.5
where Δ Δ P Δ P = Δ h h and Δ Re Re = Δ m ˙ m ˙ 2 + Δ D D 2 0.5 .
The variability for Re, Nu, f, and TPI was ±3.62%, ±4.77%, ±5.73%, and ±4.21%, respectively.

4. Numerical Method

This study utilizes a finite volume method to perform a simulation of periodic turbulent flow in incompressible air, as well as heat transfer for uniform heat flux in round tubes. The study incorporates a variety of swirl generator inserts, such as typical twisted tapes and continuous V-rib twisted tapes, arranged for both forward and backward flows. The current numerical simulation was based on four main assumptions. These are (1) the flow of fluid and heat within a round tube with continuous V-rib twisted-tapes is turbulent, (2) the flow is steady, (3) it does not consider natural convection to the environment, and (4) the fluid’s thermophysical properties do not change with temperature. The governing equations, including the continuity equation, the time-averaged incompressible Navier–Stokes equations, and the energy equation, were applied to describe the conservation of mass, momentum, and thermal energy within the system [29]. This approach ensures accurate representation of turbulent heat and fluid flow characteristics and their effect on heat transfer processes. Consequently, choosing a proper turbulence model that fits the flow behaviors of each application is crucial. For generating precise aerodynamic predictions for the tube fitted with a continuous V-rib twisted tape, the capability to forecast the renormalized group (RNG) k-ε turbulence model was studied. The finite-volume method and the SIMPLE algorithm were used to solve the equations that governed the system [29].

4.1. Procedure for Resolution

In this study, a finite volume technique was used to discretize the steady-state incompressible Navier–Stokes equations, together with a turbulent model, which would achieve stable and reliable solutions. The convective factors were addressed with the QUICK technique to accurately characterize heat and momentum transfer, whilst the diffusive terms were estimated using central differencing to depict viscous and thermal diffusion effects. To enhance numerical stability, the resultant nonlinear equations were solved implicitly. Furthermore, the SIMPLE algorithm was performed to integrate pressure/velocity fields, guaranteeing precise pressure resolution and mass conservation.
The tube surface was reinforced with impermeability and no-slip conditions, while the lower wall of the test area was exposed to an isothermal flux to simulate regulated heating. To restrict heat transfer solely within the test section, both the external tube surface and the transverse twisted-tape surfaces were thermally insulated. Fluid flow periodicity was simulated by applying a periodic boundary condition to emulate cyclical flow characteristics. Under-relaxation coefficients of 0.4 and 0.6 were applied to the pressure and momentum equations, respectively, to maintain a stable iterative solution procedure. Convergence thresholds required the residuals of the mass, momentum, and energy conservation equations to be below 10−6, guaranteeing precise adherence to fundamental physical conservation principles. The numerical simulations were performed at a Reynolds number of 10,000, defined based on the inlet flow conditions. The following assumptions were applied:
-
A constant mass flow rate was used to maintain periodic flow conditions at each Reynolds number.
-
The thermophysical properties of air were assumed constant and evaluated at the bulk mean temperature.
-
A constant wall heat flux of 1000 W/m2 was applied to the tube surface.
-
The continuous V-rib twisted tapes were assumed to be adiabatic, modeled by imposing a high thermal resistance at their surfaces.
In this study, the Reynolds number is used to characterize the flow regime, which is determined by the mass flow rate at the inlet and outlet of the test section. The average inlet velocity is 0.4748 m/s, corresponding to a Reynolds number (Re) of 10,000, indicating fully developed, single-phase turbulent flow within the tube. In the absence of inserts, the flow inside the tube is purely axial. When a continuous V-rib twisted tape insert is introduced, the flow becomes more complex, transitioning from axial to swirling due to the tape-induced flow modification. For simplicity, the tape thickness is assumed to be negligible. The inlet temperature, working fluid, and thermal boundary conditions are maintained consistently for both with and without the tape insert. A constant wall heat flux of 1000 W/m2 is applied as the boundary condition on the tube surface. The interaction between the fluid (air) and the continuous V-rib twisted tape is modeled using a fluid-structure interaction boundary condition. The presence of the twisted tape significantly alters the velocity and thermal boundary layers, leading to enhanced heat transfer performance. These changes arise from the generation of swirl flow, which results in a distinct velocity profile compared to the plain tube under identical conditions. To evaluate the effects of this modified flow on heat transfer and friction factor, the plain tube (without inserts) is used as a reference case.
In this study, fluid flow behavior is governed by pressure differences, as the flow is pressure-driven. Since the precise pressure values are not critical in this context, the inlet boundary condition is set to zero gauge pressure. The outlet pressure is defined as atmospheric pressure (P = 1.013 × 105 Pa). The pressure drop can be estimated from the difference between the inlet and outlet pressures. The inlet air temperature is maintained at a constant 298 K. A summary of the applied boundary conditions is provided in Table 4.

4.2. Computational Domain

Figure 3 illustrates the discretization of the computational domain using an unstructured mesh. An enhanced wall treatment model was selected for near-wall modeling, as it relies on a finely resolved near-wall mesh to accurately capture the viscous sublayer. To determine an optimal mesh size for the continuous V-rib twisted tapes (CVRTs), a grid independence study was conducted using Richardson extrapolation on grids with varying cell counts. Polyhedral cells were employed to mesh the surfaces of both the twisted tape and the tube wall, with localized grid refinement applied in the boundary layer regions.
A grid independence study was performed using the periodic module of the typical twisted tape with a twist ratio (y/w) of 4.0 at a Reynolds number of 10,000 by using the RNG k-ε turbulence model. Five different grid densities: 52,055; 192,835; 371,245; 520,002; and 721,271 cells were evaluated. The results indicate that the Nusselt number and friction factor exhibited negligible variation when the grid size increased from 520,002 to 721,271 cells. This suggests that the simulation with a grid number of 520,002 generates data that are sufficiently precise and requires less time to execute than the one with a grid number of 721,271. Nu and f are estimated to have a deviation of approximately ±12.1% and ±14.7%, respectively, in comparison to the current experimental data. For the continuous V-rib twisted tapes (CVRTs) with rib angles (β) of 15°, 30°, and 45°, simulations were carried out using grids of 1,075,742; 1,083,549; and 1,057,525 cells, respectively. The predicted values of Nu and f were found to be sufficiently accurate. The deviations in Nu and f compared to experimental results were ±12.13% and ±14.71% for β = 15°, ±13.39% and ±15.59% for β = 30°, and ±13.17% and ±14.78% for β = 45°, confirming the adequacy of the selected grid resolutions.
The numerical study focused on tapes with specific geometric parameters. These include (1) a rib depth of 1.5 mm, (2) a twist ratio of 4.0, and (3) attack angles of 15°, 30°, and 45°. Tapes arranged in forward and backward configurations were simultaneously considered. These configurations were selected to systematically investigate the continuous V-rib twisted tape effects on flow turbulence, thermal enhancement, and performance of the system.

5. Numerical Findings

Before the simulation of tubes equipped with continuous V-rib twisted tapes, the numerical results were verified by comparing the current findings (Nusselt number and friction factor) for the plain tube with established correlations found in the literature by Bergman et al. [30]. The validation was conducted for Reynolds numbers (Re) of 10,000 in turbulent flow conditions. In the current simulation, the Nusselt numbers diverge from the Dittus–Boelter correlation by ±6.8%, while the numerical friction factor deviates from the Blasius correlation by ±8.9%, respectively. This study also evaluates the reliability of the renormalized group (RNG) k-ε turbulence model by comparing numerical findings from a tube with a classical twisted tape to previous experimental data [31]. It can be found that the current numerical Nusselt number and friction factor deviate from previous data by ±12.1% and ±14.7%, respectively.
The flow structures within the tubes, including the continuous V-rib twisted tapes, are demonstrated to raise understanding of the heat transfer mechanisms. Figure 4a–d present the flow structures. All twisted tape inserts, on both the left and right sides of the tape, clearly display axial swirl flows. The boundary layer in the typical twisted tape (TT) configuration is considerably thicker than that in the continuous V-rib twisted tape (CVRT), which contributes to a larger flow separation zone. The continuous V-rib induces longitudinal vortex flows by deflecting the mainstream fluid along its inclined surfaces to both sides, generating a symmetrical secondary flow that enhances fluid mixing and heat transfer. Compared to a conventional twisted tape (TT), the continuous V-rib twisted tape exhibits distinct thermal boundary layer behavior. On the protrusion side of the V-rib, the thermal boundary layer is notably thinner, whereas it becomes thicker on the depression side. These alternating protrusion and depression features enhance flow disturbances, promoting more vigorous fluid motion. The continuous V-ribs generate multiple vortices that form a dense reattachment zone, which significantly enhances fluid mixing and improves near-wall heat transfer performance. Backward V-ribs create a secondary flow along the flow direction and better enhance fluid mixing. Forward V-ribs create a forward vortex flow, which produces a different mixing effect. For a large 45° attack angle, the flow separation is gentle, and the vortex scale is large, but the intensity is weak. As the attack angle decreases, flow separation and reattachment are balanced. The boundary layer becomes increasingly thinner. The vortex structure is denser, the turbulence intensity is significantly enhanced, and the boundary layer is periodically shed, forming a region of high turbulent kinetic energy. The continuous V-rib twisted tapes create both swirling and longitudinal vortex flows, which improve fluid mixing, especially at a smaller attack angle (β = 15°) arranged backward. This is because they have the largest blockage area, which creates the strongest longitudinal vortex flows.
Figure 5 and Figure 6 demonstrate the contours of velocity vectors, TKE, and fluid temperature within a round tube containing twisted tape inserts. As displayed in Figure 5a, a typical twisted tape insert provides relatively low and symmetrical TKE distribution. The flow is smooth, no significant vortex structure can be found, and the boundary layer is thick. The continuous V-rib twisted tape inserts exhibit higher TKE with a distribution mode, which is accompanied by significantly alternating and disordered vector directions. The phenomenon indicates that the V-ribs increase flow complexity. Figure 5b,c illustrate the differences between the forward and backward arrangement. The backward-arranged tape creates more disturbance. Figure 5d shows that the tape with a smaller attack angle, β = 15°, has the most complex distribution and irregular vector distribution. The wall displays streams of swirling flow, while the continuous V-rib twisted tapes, positioned behind the tube core, induce longitudinal vortex flow. The CVRTs induced additional swirling flow near the ribs. Swirling and longitudinal vortex flows promote wall and core flow zone mixing. The vortex structure is dense and evenly distributed, while the boundary layer is periodically broken and reattached. The temperature distribution (Figure 6) is consistent with the TKE region, which verifies the effect of continuous V-ribs on turbulent disturbance with thermal boundary layer destruction and air mixing.
Figure 7a–d present the contour plots of streamlines and temperature fields for tubes fitted with a typical twisted tape (TT) and continuous V-rib twisted tapes (CVRTs) at various attack angles (β), evaluated at a Reynolds number of 10,000. The temperature distribution for the TT case reveals two distinct regions of extremely high and low temperatures, indicating poor thermal mixing and limited disruption of the thermal boundary layer. This non-uniformity suggests that the TT generates relatively weak secondary flow structures, which are insufficient to enhance heat transfer effectively across the tube’s cross-section. In contrast, the CVRT configurations exhibit significantly more uniform temperature fields and thinner thermal boundary layers along the tube wall. The presence of continuous V-shaped ribs promotes stronger secondary flows and more vigorous fluid mixing.
Figure 8a–d illustrate the local Nusselt number along the tube wall with various continuous V-rib twisted tape inserts. Overall, the Nusselt number distributions in tubes with continuous V-rib twisted tapes exhibit more uniformity compared to those with a TT, as seen in Figure 8a. Swirl and longitudinal flows facilitate enhanced fluid mixing, resulting in more uniform Nusselt number distributions. In Figure 8a, elevated Nusselt numbers are observed at only one location adjacent to the borders of the TT. Nevertheless, the continuous V-rib twisted tape exhibits two or more locations with high Nusselt numbers, especially for the backward-arranged tape, which had two of these locations at the center of the continuous V-rib, as illustrated in Figure 8b–d. This is attributed to the greater protrusions of the CVRTs. Continuous V-rib twisted tapes generate enhanced turbulence, resulting in better heat transfer. These twisted tapes at all attack angles (β = 15°, 30°, and 45°) have superior heat transfer compared to a TT, especially at the lowest attack angle (β = 15°).

6. Experimental Results and Analysis

This section presents a comparative analysis of the heat transfer rate (Nu), pressure drop (f), and thermal performance index (TPI) for round tubes with a continuous V-rib twisted tape installed at various attack angles compared to a tube with a TT and plain tubes. The working conditions defined in the current study include (1) a TT with a 0.9 mm thickness, (2) three uniform twisted tapes with rib attack angles (β = 15°, 30°, and 45°) at identical twist ratio of 4.0 (y/w), and (3) two tape arrangements (forward and backward).

6.1. Verification of the Experimental Setup

Research on fluid characteristics under turbulent flow within plain tubes has reached a relatively mature stage. In these experiments, data from a plain tube were examined, and the test results were compared with established theories on fluid characteristics under turbulent flow within a plain tube. This is conducted to verify the reliability of the current outcomes. The current study compares the values of the tested Nusselt numbers and friction coefficients of the plain tube, calculated using the corrected formulae of Dittus–Boelter, Gnielinski, and Blasius [30].
For Reynolds numbers (Re) greater than 10,000 and Prandtl numbers (Pr) between 0.6 and 160, the Dittus–Boelter correlation is as follows:
N u = 0.023 R e 0.8 P r 0.4
When the Reynolds numbers range from 3000 to 5 × 106 and Prandtl numbers are between 0.5 and 2000, Gnielinski’s correlation is as follows:
N u = f / 8 R e 1000 P r 1 + 12.7 f / 8 P r 0.66 1
where f denotes the Darcy friction factor.
For Reynolds numbers ranging from 3000 < Re ≤ 2 × 104, turbulent flow in tubes is described according to the Blasius equation as follows:
f = 0.316 / R e 0.25
Figure 9 compares data from a plain tube with the theoretical calculations for Nu and f. From this figure, as Re increases, the trends of both predicted and experimental values are identical, and their values are quite close. Using the Dittus–Boelter equation, the maximum relative error is 7.98% at Re = 8000 and 0.68% lower at Re = 12,000. The maximum relative error for the friction factor is 9.64%. All errors are within 10%, which indicates that the experimental apparatus is dependable and the results are accurate.

6.2. Influence of V-Rib Attack Angles (β)

6.2.1. Heat Transfer Rate Results

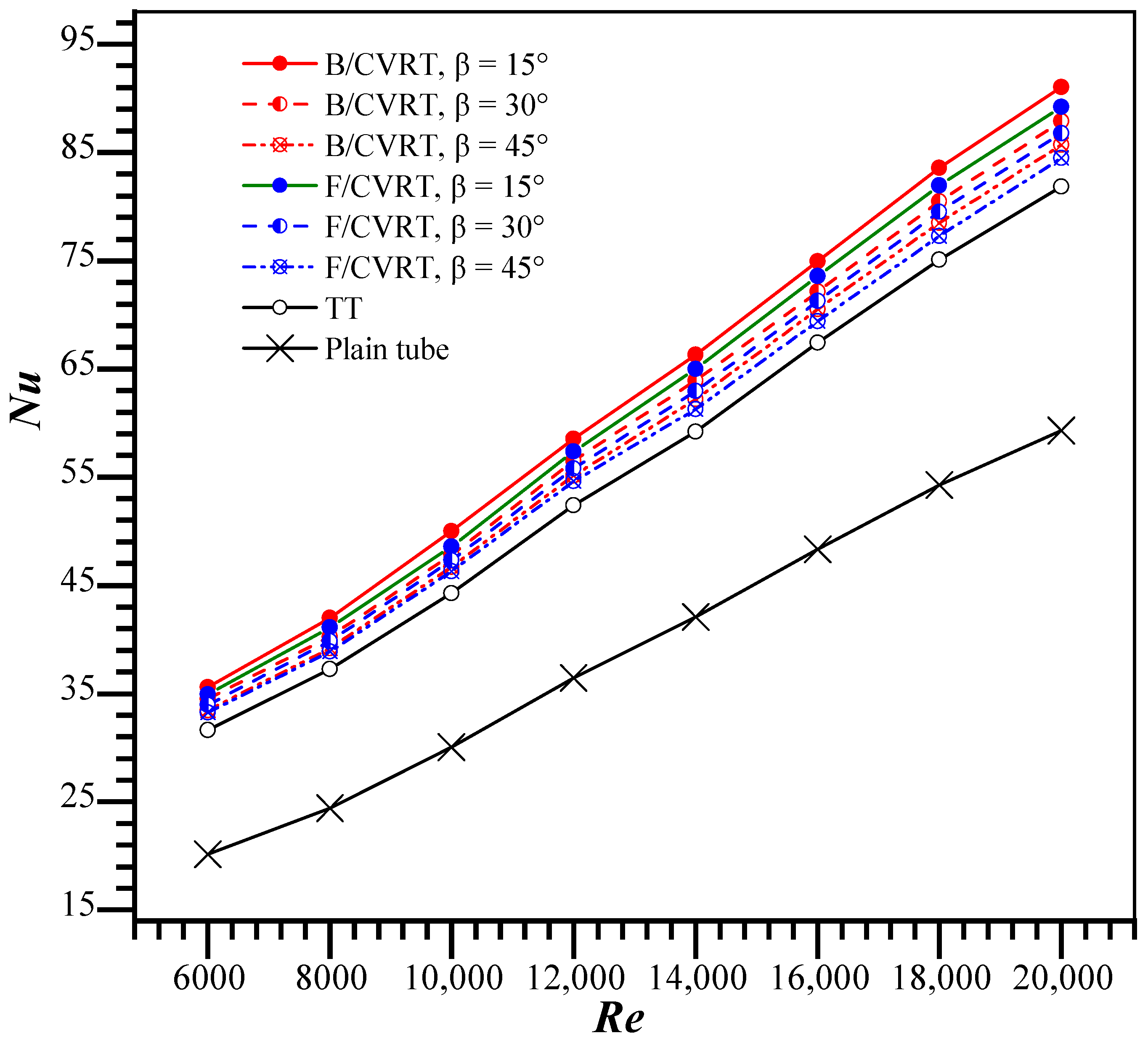
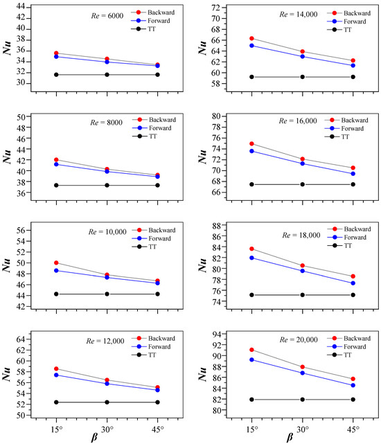
As demonstrated in Figure 10, the heat transfer (Nu) enhances with the Reynolds number (Re). The increased Nu for heat transfer improvement exceeds that of a plain tube, which suggests that the heat exchange tube into which twisted tapes are installed demonstrates greater sensitivity to air velocity. A continuous V-rib twisted tape (CVRT) generates stronger longitudinal vortices and more air mixing, which leads to marked heat transfer augmentation. At a constant Re, the heat transfer rate decreases as the attack angle (β) increases. A twisted tape with β = 15° yields the most increase in heat transfer, with a Nusselt number exceeding that of a TT, and CVRTs with attack angles (β) of 30° and 45° by 29.1%, 4.6%, and 7.1%, respectively. Figure 10 demonstrates that the attack angle affects the thermal augmentation of the twisted tape at elevated Reynolds numbers. This occurs since at greater Reynolds numbers, the air velocity and turbulence intensity within tubes containing CVRT inserts increase, resulting in improved heat transfer relative to a plain tube and a TT.

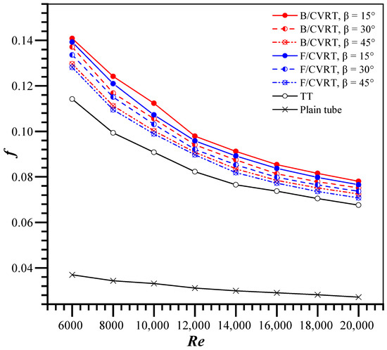
6.2.2. Friction Factor Results

Variations in the friction factor (f) with the Reynolds number for the tested tubes are presented in Figure 11. From the experimental results, f for tubes with CVRTs having attack angles (β) of 15°, 30°, and 45° are 383, 373, and 352% greater than a plain tube, respectively. At a given Reynolds number, the friction factor shows an identical trend as the angle variation. Regardless of the Reynolds number, a CVRT with β = 15° generates maximal friction losses. This suggests that within the range of heat transfer augmentation reported in this paper, increased heat transfer augmentation inevitably leads to greater pump work losses. The friction coefficient corresponding to the twisted tape with β = 15° is 6.4% and 12.1% higher than those corresponding to CVRTs with β = 30° and 45°, respectively. This shows that a twisted tape with a smaller attack angle has a stronger capability to promote and disturb fluid flow, which elevates the fluid velocity and flow resistance. It also explains the variation in the Nusselt number.

6.2.3. Thermal Performance Index Results

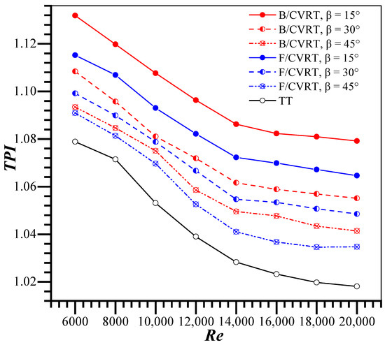
The thermal performance indices (TPI) for continuous V-rib twisted tapes (CVRTs) at attack angles (β) of 15°, 30°, and 45° are approximately 1.13, 1.11, and 1.10, respectively, all exceeding unity. This indicates that the twisted tape structure effectively improves thermal performance in heat exchanger tubes. Figure 12 illustrates changes in the TPI for CVRTs with varied attack angles at Re from 6000 to 20,000. The figure illustrates that the TPI for all twisted tapes increased with decreased Reynolds numbers. The variation is initially more noticeable but gradually stabilizes as Re increases. This behavior results from a combination of factors, including the transition of the flow regime, the saturation of the thermal boundary layer, a nonlinear increase in frictional losses, and a diminishing influence of geometric disturbances. At lower Reynolds numbers, viscous forces dominate the flow field, and twisted tapes can effectively induce secondary flows and vortices. These flow disturbances significantly enhance mixing near the wall, making the Nusselt number highly sensitive to increases in Reynolds number. However, as the Reynolds number increases further, the baseline turbulence intensity within the exchanger tube becomes comparable to, or exceeds, that induced by the enhancement devices. In this regime, the incremental contribution of the twisted tape to turbulence generation is reduced. This convergence leads to a plateau in the thermal performance index (TPI), indicating that further increases in the Reynolds number yield diminishing returns in terms of thermal enhancement relative to pressure loss. At a constant Re, the TPI value reduces as the attack angle increases. The CVRT at β = 15° exhibits the highest TPI value, exceeding the CVRTs at β = 30° and β = 45° by 0.6 and 2.6%, respectively. The difference is smaller at lower Reynolds numbers, indicating that the attack angle is indeed a crucial factor affecting the heat transfer of the CVRTs. A lower attack angle results in improved thermal performance indices (TPI).

6.3. Influence of Tape Arrangement

6.3.1. Heat Transfer Rate Results

The effect of forward and backward flow arrangements of CVRTs on heat transfer augmentation is depicted in Figure 13. Both tape arrangements have greater heat transfer than the TT, and the heat transfer increases with the attack angle (β). The heat transfer with the tape arranged in the backward direction is 1.01–1.03 times that with the tape arranged in the forward direction. A tape in a backward arrangement created a continuous vortex core along the flow direction, and induced greater turbulence and longitudinal vortices, with increased air mixing. It had a larger surface area, which enhanced heat transfer.

6.3.2. Friction Factor Results

The influence of the CVRT arrangement on the friction coefficient (f) is analogous to its impact on heat transfer, depicted in Figure 14. In this figure, the friction factor (f) rises with the attack angle. The backward CVRT provides 1–5% higher friction than a forward one. The backward arrangement extends the flow path. A longitudinal vortex covers the core area, increasing the contact surface between the hot surface and fluid flow, which provides greater shear stress.

6.3.3. Thermal Performance Index Results

The variation in the thermal performance index for the CVRT arrangements with respect to the attack angle is illustrated in Figure 15. The experimental outcomes demonstrate that the TPI for the backward CVRT arrangement is 1.01–1.02, which is lower than that for the forward arrangement. The maximum TPI values for the backward and forward arrangements are 1.13 and 1.11, respectively.
The experimental findings are strongly in agreement with the numerical predictions. Among the configurations studied, the backward-arranged twisted tape with the lowest rib attack angle was observed to generate the most intense longitudinal vortex flows. This configuration exhibited the highest levels of turbulent kinetic energy (TKE) and temperature gradients in both the near-wall and core flow regions. These flow characteristics significantly reduced the separation zone behind the ribs and promoted more stable and effective flow reattachment. As a result, this configuration achieved the highest Nusselt number and friction factor values.
The enhancement in convective heat transfer, as indicated by the increased Nusselt number, plays a dominant role in determining the thermal performance index (TPI). Although the associated frictional losses are also elevated, the proportional gain in heat transfer more than compensates for this increase. Consequently, the twisted tape with the lowest attack angle delivers the most favorable TPI, reflecting the optimal balance between heat transfer enhancement and pressure loss.

6.4. Empirical Correlations

Experimental correlations using a tube mounted with continuous V-rib twisted tapes (CVRTs) for Nu, f, and TPI were created with least squares regression analysis. This methodology utilized V-rib attack angles (β = 15°, 30°, and 45°), forward and backward arrangements utilizing air as a test fluid under turbulent conditions with Re ranging from 6000 to 20,000, as the independent variable. The correlations derived from the current investigation are presented below.
Backward arrangement:
Nu = 0.046Re0.801Pr0.4β−0.069
f = 15.034Re−0.503β−0.096
TPI = 1.847Re−0.044β−0.037
Forward arrangement:
Nu = 0.037Re0.799Pr0.4β−0.004
f = 10.85Re−0.505β−0.004
TPI = 1.646Re−0.045β−0.003
Figure 16a–c compare the experimental data (Nuexp, fexp, and TPIexp) with the predicted results (Nupred, fpred, and TPIpred). The current testing results and predicted values of V-rib attack angles (β = 15°, 30°, and 45°) in the forward arrangement vary by ±6%, ±5%, and ±2% for Nu, f, and TPI, respectively. In the backward arrangement, they vary by ±4%, ±2%, and ±1%, respectively.

6.5. Comparison with the Previous Works

Figure 17 presents a benchmark comparison of the thermal performance index (TPI) for the continuous V-rib twisted tapes (CVRTs) investigated in this study against various twisted tape configurations reported in the literature. The comparison includes twisted trapezoidal and trapezoidal tapes at a twist ratio of y/w = 4.0, using air as the working fluid and a thread height ratio of H/w = 1/6, as reported in [9]. Also considered are twisted tapes with dimples at y/w = 3.0, using an Al2O3-water nanofluid as the working fluid with a depth-to-diameter ratio of δ/Dp = 0.25 as detailed in [10]. Additionally, the study includes saw-tooth twisted tapes at y/w = 3.0 with air as the working fluid and a saw-tooth angle of α = 30° [32], twisted wavy tapes at y/w = 4.0, also with air, having a wave amplitude of D/4 and a wave number of 3 [33], and punched twisted tapes using water as the working fluid and a circular cut diameter of 5 mm [34]. The results indicate that the CVRT with an attack angle of β = 15°, arranged in a backward orientation, exhibits superior TPI performance compared to all other geometries studied, with the exception of the saw-tooth twisted tape at a Reynolds number of 6000. This suggests that the CVRT design offers a strong balance between heat transfer enhancement and pressure drop.
Importantly, the CVRT structure demonstrates not only excellent thermal performance but also practical advantages in terms of fabrication. The design requires only a pair of meshing gears and a twisting device. This simplicity translates to enhanced feasibility for industrial-scale heat exchange applications, where both performance and manufacturability are critical considerations. As such, the CVRT configuration represents a highly promising solution for future thermal system designs.

7. Conclusions

An investigation of the flow field and thermohydraulic behaviors of a tube mounted with continuous V-rib twisted tapes (CVRTs) was carried out. The influences of attack angles (β) of 15°, 30°, and 45°, and the tape arrangement were examined in turbulent flow. This was conducted to determine the optimal thermal performance parameters under similar pumping power conditions. The principal findings are as follows:
  • The continuous V-rib twisted tapes (CVRTs) generated swirl and longitudinal vortex flows, enhancing heat transfer rate by promoting fluid mixing between the inner flow and wall areas, while concurrently diminishing the thermal boundary thickness.
  • For a particular Reynolds number (Re), both the Nusselt number (Nu) and the friction factor (f) increased with attack angle (β). The variation in the friction factor with respect to the angle of attack closely aligns with the turbulent flow characteristics observed in the numerical analysis. Utilization of continuous V-rib twisted tape (CVRT) installed over the investigated range resulted in increased Nu and f that surpassed those of a plain tube by approximately 1.38–1.76 and 2.5–3.83 times, respectively.
  • The dependence of the Nusselt number on the angle of attack exhibits a trend that is in good agreement with the turbulence behavior predicted by computational fluid dynamics. The Nusselt numbers generated by utilization of continuous V-rib twisted tapes (CVRTs) with β values of 15°, 30°, and 45° were 76, 71, and 66% greater than those of the plain tube, and 13, 9.2, and 5.7%, superior to those of a TT, respectively.
  • The backward-arranged continuous V-rib twisted tape (CVRT) revealed better heat transfer, lower pressure losses, and higher thermal performance index values.
  • The presented results suggest that attack angles (β) and the tape arrangement significantly influenced the TPI, which reached its highest value, 1.13, at β = 15° in a backward arrangement.
  • This study overlooked the effect of rib depth on heat transfer rate, pressure drop, and TPI. In the future, it will be beneficial to determine the rib depth to achieve a better tradeoff between enhanced heat transfer and reduced pressure loss, thereby improving TPI. Additionally, increasing rib depth could strengthen the flow along the length of the surface, while increasing the spacing between ribs may reduce pressure drop without significantly compromising the heat transfer rate.
  • The present results suggest that the V-rib attack angles (β) play a crucial role in enhancing heat transfer characteristics in tubes fitted with continuous V-rib twisted tapes (CVRT). Reducing the attack angle (β) improves heat transfer rates and thermal performance. The thermal performance index exceeds unity at low Reynolds numbers, suggesting that CVRTs can reduce the size and cost of thermal systems. This design is not only thermally efficient but also practical in terms of fabrication, requiring only a pair of meshing gears and a twisting device. This simplicity enhances its feasibility for industrial-scale applications, where both performance and ease of manufacture are critical. Therefore, the CVRT configuration offers a promising solution for future thermal system designs.

Author Contributions

Conceptualization, P.N.; Software, Y.D.; Validation, Y.D.; Formal analysis, K.W., V.C., P.N., N.M. and M.H.; Investigation, Y.D. and V.C.; Data curation, Y.D., N.M. and M.H.; Writing—original draft, Y.D. and K.W.; Writing—review & editing, V.C. and S.E.-a.; Supervision, S.E.-a.; Project administration, V.C.; Funding acquisition, V.C. All authors have read and agreed to the published version of the manuscript.

Funding

This research was funded by King Mongkut’s Institute of Technology, Ladkrabang (Grant No. RE-KRIS/FF68/31), has received funding support from the NSRF. And The APC was funded by King Mongkut’s Institute of Technology, Ladkrabang (KMITL).

Data Availability Statement

The original contributions presented in this study are included in the article. Further inquiries can be directed to the corresponding author.

Acknowledgments

The Research on “Heat transfer intensification in a heat exchanger tube with continuous V-rib twisted tapes installed” (Grant No. RE-KRIS/FF68/31) by King Mongkut’s Institute of Technology, Ladkrabang (KMITL), has received funding support from the NSRF.

Conflicts of Interest

The authors declare no conflicts of interest.

Nomenclature

AArea of heat transfer inside the tube surface, m2
CpSpecific heat, J/kg K
DTest section diameter, m
fFriction factor, -
hHeat transfer coefficient, W/m2 K
kAir heat conduction capacity, W/m K
m ˙ Mass flow rate, kg/s
NuNusselt number, -
PPressure, Pa
PrPrandtl number, -
QHeat transfer, W
ReReynolds number, -
TTemperature, K
T ~ Average temperature, K
TPIThermal performance index, dimensionless
wTape width, m
yTwist length, m
UVelocity, m/s
Greek letters
βAttack angle of V-shaped ribbed twisted tape, °
μDynamic viscosity of air, kg/s m
ρDensity of air, kg/m
Subscripts
bBulk
convConvection
iInlet
pPlain tube
oOutlet
wWall
Abbreviations
CVRTContinuous V-rib twisted tape
TKETurbulent kinetic energy
TPIThermal performance index
TTTypical/Conventional twisted tape

References

  1. Bergles, A.E. Heat Transfer Enhancement—The Encouragement and Accommodation of High Heat Fluxes. J. Heat Mass Transf. 1997, 119, 8–19. [Google Scholar] [CrossRef]
  2. Chammam, W.; Farooq, U.; Sediqmal, M.; Waqas, H.; Yasmin, S.; Zulfqar, F.; Liu, D.; Khan, S.A. Estimation of heat transfer coefficient and friction factor with showering of aluminum nitride and alumina water based hybrid nanofluid in a tube with twisted tape insert. Sci. Rep. 2023, 13, 23071. [Google Scholar] [CrossRef]
  3. International Energy Agency (IEA). World Energy Outlook 2021; OECD Publishing: Paris, France, 2021. [Google Scholar]
  4. Kadhim, S.A.; Ashour, A.M.; Sherza, J.S.; Bouabidi, A.; Hussein, A.K.; Togun, H.; Rashid, F.L.; Ahmad, S. Review of insertion scenarios in enhancement performance of double-pipe heat exchanger: Case of cut twist tape. Chem. Eng. Process. Process Intensif. 2025, 213, 110308. [Google Scholar] [CrossRef]
  5. Marzouk, S.A.; Almehmadi, F.A.; Aljabr, A.; Sharaf, M.A. Numerical and experimental investigation of heat transfer enhancement in double tube heat exchanger using nail rod inserts. Sci. Rep. 2024, 14, 9637. [Google Scholar] [CrossRef]
  6. Ashnaaf Abajja, K.M.; Selimli, S.; Abdullah Shaneb, A.M.; Eljetlawi, I.A.M. Enhancing heat transfer for laminar flow in heat pipes using perforated and jagged-edged twisted tapes: An experimental study. Energy 2025, 325, 136141. [Google Scholar] [CrossRef]
  7. Harish, H.V.; Manjunath, K. Heat and fluid flow behaviors in a laminar tube flow with circular protruded twisted tape inserts. Case Stud. Therm. Eng. 2022, 32, 101880. [Google Scholar]
  8. Dandoutiya, B.K.; Kumar, A. W-cut twisted tape’s effect on the thermal performance of a double pipe heat exchanger: A numerical study. Case Stud. Therm. Eng. 2022, 34, 102031. [Google Scholar] [CrossRef]
  9. Altun, A.H.; Nacak, H.; Canli, E. Effects of trapezoidal and twisted trapezoidal tapes on turbulent heat transfer in tubes. Appl. Therm. Eng. 2022, 211, 118386. [Google Scholar] [CrossRef]
  10. Zheng, L.; Xie, Y.; Zhang, D. Numerical investigation on heat transfer performance and flow characteristics in circular tubes with dimpled twisted tapes using Al2O3-water nanofluid. Int. J. Heat Mass Transf. 2017, 111, 962–981. [Google Scholar] [CrossRef]
  11. Heeraman, J.; Kumar, R.; Chaurasiya, P.K.; Beloev, H.I.; Iliev, I.K. Experimental evaluation and thermal performance analysis of a twisted tape with dimple configuration in a heat exchanger. Case Stud. Therm. Eng. 2023, 46, 103003. [Google Scholar] [CrossRef]
  12. Fetuga, I.A.; Olakoyejo, O.T.; Abolarin, S.M.; Adelaja, A.O.; Oluwatusin, O.; Sobamowo, G.M.; Gbegudu, J.K.; Onwuegbusi, A.U.; Meyer, J.P. Numerical thermal augmentation of ternary nanofluid in a tube with stent, torus-ring and surface-grooved twisted tapes under non-uniform wall temperature. Case Stud. Therm. Eng. 2023, 49, 103308. [Google Scholar] [CrossRef]
  13. Abidi, A.; El-Shafay, A.S.; Degani, M.; Guedri, K.; Sajadi, S.M.; Sharifpur, M. Improving the thermal-hydraulic performance of parabolic solar collectors using absorber tubes equipped with perforated twisted tape containing nanofluid. Sustain. Energy Technol. Assess. 2022, 52, 102099. [Google Scholar] [CrossRef]
  14. Kola, P.V.K.V.; Pisipaty, S.K.; Mendu, S.S.; Ghosh, R. Optimization of performance parameters of a double pipe heat exchanger with cut twisted tapes using CFD and RSM. Chem. Eng. Process. Process Intensif. 2021, 163, 108362. [Google Scholar] [CrossRef]
  15. Chang, S.W.; Huang, B.J. Thermal performances of tubular flows enhanced by ribbed spiky twist tapes with and without edge notches. Int. J. Heat Mass Transf. 2014, 73, 645–663. [Google Scholar] [CrossRef]
  16. Chang, S.W.; Wu, P.S.; Liu, J.H. Aerothermal performance of square duct enhanced by twisted tape with inclined ribs and slots. Int. J. Heat Mass Transf. 2021, 177, 121547. [Google Scholar] [CrossRef]
  17. Sedaghat, R.; Dalili, K.M.; Hosseinalipour, S.M. A comprehensive analysis of heat transfer in a heat exchanger with simple and perforated twisted tapes based on numerical simulations. Case Stud. Therm. Eng. 2024, 56, 104227. [Google Scholar] [CrossRef]
  18. Wang, L.; Ni, P.; Xi, G. The effect of off-center placement of twisted tape on flow and heat transfer characteristics in a circular tube. Sci. Rep. 2021, 11, 6844. [Google Scholar] [CrossRef]
  19. Eiamsa-ard, S.; Thianpong, C.; Eiamsa-ard, P. Turbulent heat transfer enhancement by counter/co-swirling flow in a tube fitted with twin twisted tapes. Exp. Therm. Fluid Sci. 2010, 34, 53–62. [Google Scholar] [CrossRef]
  20. Eiamsa-ard, S.; Changcharoen, W. Flow structure and heat transfer in a square duct fitted with dual/quadruple twisted-tapes: Influence of tape configuration. J. Mech. Sci. Technol. 2015, 29, 3501–3518. [Google Scholar] [CrossRef]
  21. Sheikholeslami, M.; Farshad, S.A.; Said, Z. Analyzing entropy and thermal behavior of nanomaterial through solar collector involving new tapes. Int. Commun. Heat Mass Transf. 2021, 123, 105190. [Google Scholar] [CrossRef]
  22. Chen, P.; Zhang, Y.; Qu, Y.; Xu, T.; He, X.; Gao, B.; Golzar, A.; Nasajpour-Esfahani, N.; Hekmatifar, M. Analysis of efficiency and performance evaluation criterion of nanofluid flow within a tube enhanced with perforated triple twisted tape: A two-phase analysis. Case Stud. Therm. Eng. 2023, 48, 103151. [Google Scholar] [CrossRef]
  23. Ran, S.; Zhang, P.; Rao, Y. Numerical study of heat transfer and flow structure over channel surfaces featuring miniature V rib-dimples with various configurations. Int. J. Therm. Sci. 2022, 172, 107342. [Google Scholar] [CrossRef]
  24. Lau, S.; Kukreja, R.; McMillin, R. Effects of V-shaped rib arrays on turbulent heat transfer and friction of fully developed flow in a square channel. Int. J. Heat Mass Transf. 1991, 34, 1605–1616. [Google Scholar] [CrossRef]
  25. Saha, S.K. Thermohydraulics of turbulent flow through rectangular and square ducts with axial corrugation roughness and twisted-tapes with and without oblique teeth. Exp. Therm. Fluid. Sci. 2010, 34, 744–752. [Google Scholar] [CrossRef]
  26. Webb, R.L.; Kim, N.H. Principles of Enhanced Heat Transfer, 2nd ed.; Taylor & Francis: New York, NY, USA, 2005; p. 785. [Google Scholar]
  27. ANSI/ASME. Measurement Uncertainty: Part 1: Instruments and Apparatus: ANSI/ASME PTC 19.1—1985; American Society of Mechanical Engineers: New York, NY, USA, 1991. [Google Scholar]
  28. Kline, S.J.; McClintock, F.A. Describing uncertainties in single sample experiments. Mech. Eng. 1953, 75, 3–8. [Google Scholar]
  29. Patankar, S.V. Numerical Heat Transfer and Fluid Flow; Hemisphere Publishing Corporation: Washington, DC, USA, 2018. [Google Scholar]
  30. Bergman, T.L.; Lavine, A.S.; Incropera, F.P.; Dewitt, P.D. Fundamentals of Heat and Mass Transfer, 7th ed.; John Wiley & Sons Inc.: Hoboken, NJ, USA, 2011. [Google Scholar]
  31. Eiamsa-ard, S.; Promvonge, P. Performance assessment in a heat exchanger tube with alternate clockwise and counter-clockwise twisted-tape inserts. Int. J. Heat Mass Transf. 2010, 53, 1364–1372. [Google Scholar] [CrossRef]
  32. Samutpraphut, B.; Eiamsa-ard, S.; Chuwattanakul, V.; Thianpong, C.; Maruyama, N.; Hirota, M. Influence of sawtooth twisted tape on thermal enhancement of heat exchanger tube. Energy Rep. 2023, 9, 696–703. [Google Scholar] [CrossRef]
  33. Altun, A.H.; Ors, S.; Dogan, S. Investigation of effects on turbulent heat transfer of twisted wavy tape elements in the tube. Int. J. Therm. Sci. 2023, 185, 108068. [Google Scholar] [CrossRef]
  34. Abed, A.M.; Chauhan, B.S.; Ayed, H.; Mouldi, A.; Ghoushchi, S.P.; Deifalla, A.; Mahariq, I. Hydrothermal performance analyses of an isothermal tube with punched twisted tape turbulator (PTT). Case Stud. Therm. Eng. 2024, 57, 104308. [Google Scholar] [CrossRef]
Figure 1. Geometric features of continuous V-rib twisted tapes (CVRT). (a) Typical twisted tape (twist ratio, y/w = 4.0). (b) V-shaped ribbed tape. (c) Model of typical twisted tape and continuous V-rib twisted tapes. (d) Image of typical twisted tape and continuous V-rib twisted tapes. (e) Tape arrangements of continuous V-rib twisted tapes.
Figure 1. Geometric features of continuous V-rib twisted tapes (CVRT). (a) Typical twisted tape (twist ratio, y/w = 4.0). (b) V-shaped ribbed tape. (c) Model of typical twisted tape and continuous V-rib twisted tapes. (d) Image of typical twisted tape and continuous V-rib twisted tapes. (e) Tape arrangements of continuous V-rib twisted tapes.
Applsci 15 05612 g001
Figure 2. Experimental heat transfer enhancement setup. (a) Experimental facility. (b) Testing section layout.
Figure 2. Experimental heat transfer enhancement setup. (a) Experimental facility. (b) Testing section layout.
Applsci 15 05612 g002aApplsci 15 05612 g002b
Figure 3. Computational domain of a periodic tube module fitted with continuous V-rib twisted tapes.
Figure 3. Computational domain of a periodic tube module fitted with continuous V-rib twisted tapes.
Applsci 15 05612 g003
Figure 4. Effect of V-rib attack angle (β) and tape arrangement on flow structure at Re = 10,000. (a) Typical twisted tape (TT). (b) Forward arrangement, CVRT, β = 45°. (c) Backward arrangement, CVRT, β = 45°. (d) Backward arrangement, CVRT, β = 15°.
Figure 4. Effect of V-rib attack angle (β) and tape arrangement on flow structure at Re = 10,000. (a) Typical twisted tape (TT). (b) Forward arrangement, CVRT, β = 45°. (c) Backward arrangement, CVRT, β = 45°. (d) Backward arrangement, CVRT, β = 15°.
Applsci 15 05612 g004
Figure 5. Effect of V-rib angle (β) and tape arrangement on the flow field and TKE at Re = 10,000 and x/D = 2.0. (a) TT. (b) Forward arrangement, CVRT, β = 45°. (c) Backward arrangement, CVRT, β = 45°. (d) Backward arrangement, CVRT, β = 15°.
Figure 5. Effect of V-rib angle (β) and tape arrangement on the flow field and TKE at Re = 10,000 and x/D = 2.0. (a) TT. (b) Forward arrangement, CVRT, β = 45°. (c) Backward arrangement, CVRT, β = 45°. (d) Backward arrangement, CVRT, β = 15°.
Applsci 15 05612 g005
Figure 6. Effect of V-rib attack angle (β) and tape arrangement on temperature fields at Re = 10,000 and x/D = 2.0. (a) TT. (b) Forward arrangement, CVRT, β = 45°. (c) Backward arrangement, CVRT, β = 45°. (d) Backward arrangement, CVRT, β = 15°.
Figure 6. Effect of V-rib attack angle (β) and tape arrangement on temperature fields at Re = 10,000 and x/D = 2.0. (a) TT. (b) Forward arrangement, CVRT, β = 45°. (c) Backward arrangement, CVRT, β = 45°. (d) Backward arrangement, CVRT, β = 15°.
Applsci 15 05612 g006
Figure 7. Contour plots of streamlines and temperature fields for tubes equipped with typical twisted tape and V-rib twisted tapes at various attack angles (β) and arrangements under a Reynolds number of 10,000. (a) TT. (b) Forward arrangement, CVRT, β = 45°. (c) Backward arrangement, CVRT, β = 45°. (d) Backward arrangement, CVRT, β = 15°.
Figure 7. Contour plots of streamlines and temperature fields for tubes equipped with typical twisted tape and V-rib twisted tapes at various attack angles (β) and arrangements under a Reynolds number of 10,000. (a) TT. (b) Forward arrangement, CVRT, β = 45°. (c) Backward arrangement, CVRT, β = 45°. (d) Backward arrangement, CVRT, β = 15°.
Applsci 15 05612 g007aApplsci 15 05612 g007b
Figure 8. Effect of V-rib attack angle (β) and tape arrangement on the local Nusselt number at Re = 10,000. (a) Typical twisted tape (TT). (b) Forward arrangement, CVRT, β = 45°. (c) Backward arrangement, CVRT, β = 45°. (d) Backward arrangement, CVRT, β = 15°.
Figure 8. Effect of V-rib attack angle (β) and tape arrangement on the local Nusselt number at Re = 10,000. (a) Typical twisted tape (TT). (b) Forward arrangement, CVRT, β = 45°. (c) Backward arrangement, CVRT, β = 45°. (d) Backward arrangement, CVRT, β = 15°.
Applsci 15 05612 g008
Figure 9. Comparison of predicted and experimental Nu and f values of plain tubes. (a) Nu. (b) f.
Figure 9. Comparison of predicted and experimental Nu and f values of plain tubes. (a) Nu. (b) f.
Applsci 15 05612 g009
Figure 10. Effect of V-rib attack angle (β) on the heat transfer rate.
Figure 10. Effect of V-rib attack angle (β) on the heat transfer rate.
Applsci 15 05612 g010
Figure 11. Effect of V-rib attack angle (β) on the friction factor.
Figure 11. Effect of V-rib attack angle (β) on the friction factor.
Applsci 15 05612 g011
Figure 12. Effect of V-rib attack angle (β) on the thermal performance index.
Figure 12. Effect of V-rib attack angle (β) on the thermal performance index.
Applsci 15 05612 g012
Figure 13. Effect of tape arrangement on the heat transfer rate.
Figure 13. Effect of tape arrangement on the heat transfer rate.
Applsci 15 05612 g013
Figure 14. Effect of tape arrangement on the friction factor.
Figure 14. Effect of tape arrangement on the friction factor.
Applsci 15 05612 g014
Figure 15. Effect of tape arrangement on the thermal performance index.
Figure 15. Effect of tape arrangement on the thermal performance index.
Applsci 15 05612 g015
Figure 16. Comparisons between the present work and predicted data. (a) Nu. (b) f. (c) TPI.
Figure 16. Comparisons between the present work and predicted data. (a) Nu. (b) f. (c) TPI.
Applsci 15 05612 g016aApplsci 15 05612 g016b
Figure 17. Comparisons between the current and previous studies [9,10,32,33,34].
Figure 17. Comparisons between the current and previous studies [9,10,32,33,34].
Applsci 15 05612 g017
Table 1. Summary of previous research.
Table 1. Summary of previous research.
ResearchersTypeResultsModel or Image
Chammam et al. [2]Twisted tape at various twist ratiosThe Nusselt number increased by 8.45%, and the friction factor increased by 3.35%.Applsci 15 05612 i001
Eiamsa-ard et al. [6]Twisted tapes had configurations of different lengths, numbers, and widthsDual twisted tape with full length at the twist ratio of 3.0 provides the highest Nusselt number, which was 146% greater than that of a plain tube. Applsci 15 05612 i002
Harish and Manjunath [7]Twisted tape with circular protrusionsThe overall performance factor was 1.7–2.8 with a twist ratio of 3.0.Applsci 15 05612 i003
Dandoutiya and Kumar [8]W-cut twisted tapeThe highest thermal performance factor was 1.5.Applsci 15 05612 i004
Altun et al. [9]Twisted trapezoidal tapesThe overall performance factor was 1.03–1.164.Applsci 15 05612 i005
Zheng et al. [10]Twisted tape with dimples at a twist ratio of 3.0The overall performance factor was 1.33–1.6.Applsci 15 05612 i006
Heeraman et al. [11]Dimpled twisted tape at a twist ratio of 5.5The maximum Nusselt number was 111 at Re = 13,987.Applsci 15 05612 i007
Fetuga et al. [12]Surface-grooved twisted tapeAn optimal twist ratio, 1.77, achieves a 1.26 times higher thermal performance factor than a smooth tube.Applsci 15 05612 i008
Abidi et al. [13]Perforated twisted tapeThe highest performance index was 1.6 at a twist ratio of 3.0 and a Reynolds number of 10,000.Applsci 15 05612 i009
Kola et al. [14]Variable cross-sectional cut twisted tapesThe ideal process parameter provides the highest heat transfer coefficient, which reached 1965 W/m2 K.Applsci 15 05612 i010
Chang and Huang [15]Ribbed and spiky twisting tapes at various twist ratios, having notched and unnotched edgesThe highest thermal performance factor was 0.71–1.31 with Reynolds numbers ranging from 5000 to 40,000.Applsci 15 05612 i011
Chang et al. [16]Twisted tapes with inclined ribs and slotsThe observed thermal performance factor was 1.31.Applsci 15 05612 i012
Sedaghat et al. [17]Solid and perforated twisted tapes with different numbers of blades.The friction factor is reduced by 22.3%, while the thermal performance coefficient increases by 18.1%, compared to a TT.Applsci 15 05612 i013
Wang et al. [18]Off-center placed twisted tapeThe twisted tape placed against the wall had 3–18% higher heat transfer than that of a tape located at the center of a tube.Applsci 15 05612 i014
Eiamsa-ard et al. [19]Counter/Co-swirling flow arranged twisted tapesThe dual-counter-swirl twisted tapes with a twist ratio of 2.5 had the highest thermal performance factor, 1.39.Applsci 15 05612 i015
Eiamsa-ard and Changcharoen [20]Configurations of twisted tape inside the square ductDoubled tapes placed at the corners with counter arrangement give the highest thermal performance index, 1.38.Applsci 15 05612 i016
Sheikholeslami et al. [21]Double/triple/quadruple twisted tapesAt high Reynolds numbers and with multiple twisted tapes, the thermal performance of the system is optimal, and entropy generation is minimal.Applsci 15 05612 i017
Chen et al. [22]Solid and perforated twisted tapesThe best performance evaluation criterion was 1.92.Applsci 15 05612 i018
Table 2. Experimental configuration and operating parameters.
Table 2. Experimental configuration and operating parameters.
ParameterValues
Testing fluidair
Inlet temperature, Ti25 °C
Heat flux, q1000 W/m2
V-rib attack angle, β15°, 30°, and 45°
Twist ratio, y/w4.0
Tape thickness, δ0.9 mm
Tape width, W60 mm
Twisted tape length1500 mm
Copper tube thickness, t2 mm
Inner copper tube diameter, D62 mm
Outer copper tube diameter66 mm
Test tube length, L1500 mm
Diameter of nichrome heating wire0.7 mm
Reynolds number6000, 8000, 10,000, 12,000, 14,000, 16,000, 18,000, and 20,000
Table 3. Specifications of experimental uncertainties.
Table 3. Specifications of experimental uncertainties.
Variables(%) Uncertainties
Kinematic viscosity, µ±0.05
Pressure, P±2.99
Ammeter, A±1.77
Thermal conductivity, k±0.38
Temperature, T±0.09
Velocity, U±2.98
Voltmeter, V±1.54
Table 4. The boundary conditions of a tube fitted with continuous V-rib twisted tape.
Table 4. The boundary conditions of a tube fitted with continuous V-rib twisted tape.
ElementInletOutletContinuous V-Rib Twisted TapeTube Wall
Boundary conditionsT = 298 K
U = 0.4748 m/s
ρ = 1.225 kg/m3
µ = 1.7894 × 10−5 kg/m·s
k = 0.0257 W/m·K
Cp = 1006.43 J/kg·K
P = 1.013 × 105 PaTape thickness is considered zeroq″ = 1000 W/m2
Disclaimer/Publisher’s Note: The statements, opinions and data contained in all publications are solely those of the individual author(s) and contributor(s) and not of MDPI and/or the editor(s). MDPI and/or the editor(s) disclaim responsibility for any injury to people or property resulting from any ideas, methods, instructions or products referred to in the content.

Share and Cite

MDPI and ACS Style

Du, Y.; Wongcharee, K.; Chuwattanakul, V.; Naphon, P.; Maruyama, N.; Hirota, M.; Eiamsa-ard, S. Heat Transfer Intensification in a Heat Exchanger Tube with Continuous V-Rib Twisted Tapes Installed. Appl. Sci. 2025, 15, 5612. https://doi.org/10.3390/app15105612

AMA Style

Du Y, Wongcharee K, Chuwattanakul V, Naphon P, Maruyama N, Hirota M, Eiamsa-ard S. Heat Transfer Intensification in a Heat Exchanger Tube with Continuous V-Rib Twisted Tapes Installed. Applied Sciences. 2025; 15(10):5612. https://doi.org/10.3390/app15105612

Chicago/Turabian Style

Du, Yuexiang, Khwanchit Wongcharee, Varesa Chuwattanakul, Paisarn Naphon, Naoki Maruyama, Masafumi Hirota, and Smith Eiamsa-ard. 2025. "Heat Transfer Intensification in a Heat Exchanger Tube with Continuous V-Rib Twisted Tapes Installed" Applied Sciences 15, no. 10: 5612. https://doi.org/10.3390/app15105612

APA Style

Du, Y., Wongcharee, K., Chuwattanakul, V., Naphon, P., Maruyama, N., Hirota, M., & Eiamsa-ard, S. (2025). Heat Transfer Intensification in a Heat Exchanger Tube with Continuous V-Rib Twisted Tapes Installed. Applied Sciences, 15(10), 5612. https://doi.org/10.3390/app15105612

Note that from the first issue of 2016, this journal uses article numbers instead of page numbers. See further details here.

Article Metrics

Back to TopTop