Research on the Remanence Measurement Method of Transformers Based on the Degaussing Hysteresis Loop
Abstract
1. Introduction
2. The Principle of Remanence Generation and Elimination
2.1. Remanence Generation
2.2. The Principle of Demagnetization of Remanence in the Core
3. Remanence Measurement Method Based on Degaussing Hysteresis Loop
3.1. Principle of Attenuation Oscillation of Energy Storage Capacitors
3.2. Determination of the Size of Capacitor Energy Storage
3.3. Verification Method of Remanence Measurement Results
3.4. Overall Methodology Flow
- Calculate the energy storage capacitance according to Equation (17).
- Apply DC voltage to the energy storage capacitor to make the voltage reach Uc(0).
- After the capacitor voltage is reached and stabilized, the attenuation oscillation current is released to the transformer winding.
- Record the voltage and current data during the release process.
- Convert the voltage and current data into a demagnetization hysteresis loop.
- Calculate the remanence based on the demagnetization hysteresis loop.
- Verify the calculation results based on the change in excitation inductance of the transformer.
4. Analysis of the Simulation Results of the Proposed Method
4.1. Model Building
4.2. Simulation Results
4.3. Calculation of Simulation Results and Error Analysis
- Confirm the intersection of the hysteresis loop with the longitudinal axis (i = 0).
- To determine the intersection point with the longitudinal axis (i = 0) in the dynamic hysteresis loop, two intersection points should be determined. One is the intersection point with the largest absolute value of the flux, which can be determined as the starting point of the measurement, and the other is the intersection point with the smallest absolute value of the flux, which can be determined as the endpoint of the measurement.
- Calculate the amount of change in remanence during the drawing of the dynamic hysteresis loops.
- Subtract the magnitude of the remanent flux represented by the two intersections to obtain the remanence measurement.
5. Experimental Verification Based on a Toroidal Transformer
5.1. Experimental Platform Construction
5.2. Methods of Degaussing and Magnetization Before Experiments
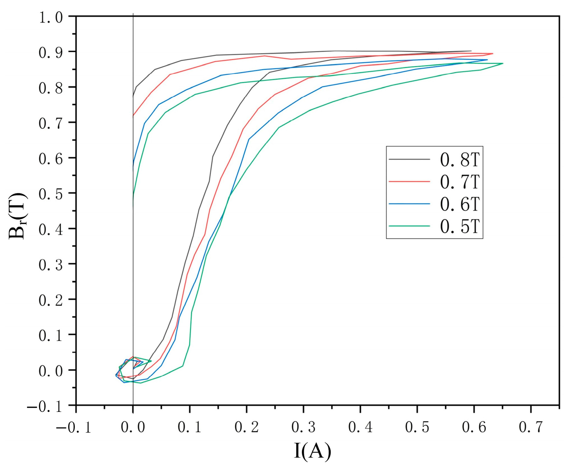
5.3. Remanence Measurement Results and Error Analysis
6. On-Site Experimental Measurement and Results Analysis of Converter Transformer
6.1. Introduction to Converter Transformer Parameters
6.2. Introduction and Operation Process of Integrated Device for Residual Magnetism Measurement and Demagnetization
- (1)
- Place the device in a safe environment, correctly connect the output voltage output terminal and ground wire before starting the device, and then connect the device to the power supply and start it.
- (2)
- Set the voltage value for impedance measurement and measure the impedance of the tested converter transformer at low voltage as a judgment for demagnetization completion.
- (3)
- Set the voltage of the capacitor and pre-charge it.
- (4)
- After the pre-charging is completed, release energy from the transformer to generate a demagnetizing current that decays and oscillates. During this period, observe the instrument and numerical changes.
- (5)
- Generate a demagnetization hysteresis loop based on the experimental data and calculate the residual magnetism.
- (6)
- Perform impedance measurement under low voltage again to determine the demagnetization evaluation based on the changes in impedance magnitude twice. If it is not ideal, continue with the experimental steps in (2).
6.3. Measurement Results and Error Analysis
7. Discussion
7.1. Validity of Results
7.2. Process Automation
7.3. Integration into Transformer Design
7.4. Potential Interference of the Power Grid
7.5. Comparison with Other Demagnetization Methods
7.6. Future Research Directions
- Demagnetization methods for complex transformers: Develop demagnetization methods suitable for transformers with multiple windings and phases to further enhance the versatility of the method.
- Real-time demagnetization technology: Create technology that can demagnetize transformers during operation to reduce downtime.
- Intelligent demagnetization systems: Combine artificial intelligence and machine learning techniques to optimize the control strategies of the demagnetization process and improve demagnetization efficiency.
8. Conclusions
- Experiments show that the method does not require complex control strategies, and has both high precision and high efficiency. Under different set values, the error percentage can be kept at a low level, the remanence value of the starting point is close to the set value, and the remanence value of the endpoint is close to zero, which further proves the effectiveness and reliability of the method. This advantage makes the method highly feasible in practical engineering applications, which can meet the strict requirements of power systems for transformer remanence measurement and demagnetization and provides strong technical support for ensuring the safe and stable operation of the power grid.
- This method has important value and significance in practical application. First of all, it is simple to operate, does not require complex control strategies, and reduces the technical requirements for operators and equipment costs. Secondly, the measurement accuracy is high, which can accurately detect the remanence of the transformer core, which provides reliable data support for the maintenance and overhaul of the transformer. Thirdly, the degaussing effect is remarkable, which can effectively eliminate remanence, reduce the harm of excitation inrush current to the transformer and power grid, and improve the stability and reliability of the power system.
- In addition, this method is suitable for different types of transformers, has good versatility and adaptability, can meet the remanence measurement and demagnetization needs of various transformers in the power system, and provides strong technical support and a guarantee for the safe operation and maintenance of the power system.
Author Contributions
Funding
Institutional Review Board Statement
Informed Consent Statement
Data Availability Statement
Conflicts of Interest
References
- Li, J.L.; He, P.W.; Qiu, Z.S.; Guo, L.Y. Research Overview of Measurement Methods for Residual Magnetism in Power Transformer Cores. High-Volt. Appar. 2018, 54, 98–105. [Google Scholar]
- Yang, Y.; Zhang, Z.L.; Pan, Z.C.; Lv, J.Z.; Dong, Z.J.; Zhu, L. Research on the Residual Magnetic Flux Density Measurement of Single-Phase Transformer Based on Magnetomotive Force. IEEE Trans. Instrum. Meas. 2025, 74, 6002516. [Google Scholar] [CrossRef]
- Vulin, D.; Milicevic, K.; Biondic, I.; Petrovic, G. Determining the residual magnetic flux value of a single-phase transformer using a minor hysteresis loop. IEEE Trans. Power Deliv. 2021, 36, 2066–2074. [Google Scholar] [CrossRef]
- Huo, C.; Yang, Y. A novel residual magnetism detection method of power transformer cores based on magnetization time. IEEE Sens. J. 2024, 24, 2647–2656. [Google Scholar] [CrossRef]
- Vulin, D.; Biondic, I.; Milicevic, K.; Vinko, D. Laboratory setup for determining residual magnetic flux value using low voltage DC source. Electr. Eng. 2020, 102, 1707–1714. [Google Scholar] [CrossRef]
- Sung, B.C.; Kim, S. Accurate transformer inrush current analysis by controlling closing instant and residual flux. Electr. Power Syst. Res. 2023, 223, 109638. [Google Scholar] [CrossRef]
- Pan, Z.; Zheng, T.; Guo, Y.; Pan, L. Cause analysis and anti-vibration performance study of gas relay in the process of no-load closing of converter transformer. In Proceedings of the Annual Meeting of CSEE Study Committee on HVDC Power Electronics (HVDC), Nanjing, China, 22–25 October 2023; pp. 17–22. [Google Scholar]
- Zhang, S.; Lv, J.; Li, B.; Ding, L. Improved flux-controlled VFCV strategy for eliminating and measuring the residual flux of three-phase transformers. IEEE Trans. Power Deliv. 2020, 35, 1237–1248. [Google Scholar] [CrossRef]
- Nilsson, L.; Eriksson, M.; Johansson, J. Sensitivity analysis of transformer frequency responses. In Proceedings of the 14th International Electrical Insulation Conference (INSUCON), Birmingham, UK, 18–20 April 2023; pp. 54–59. [Google Scholar]
- Han, P.; Tong, Q.; Zhang, J. An inrush current suppression strategy for UHV converter transformer based on simulation of magnetic bias. IEEE Trans. Power Deliv. 2022, 37, 5179–5189. [Google Scholar] [CrossRef]
- Chen, X.; Wang, Y.; Zhang, Z.; Li, J. Energization transient suppression of 750 kV AC filters using a preinsertion resistor circuit breaker with a controlled switching device. IEEE Trans. Power Deliv. 2022, 37, 3381–3390. [Google Scholar] [CrossRef]
- Cao, Y.; Zhang, Z.; Lu, H.; Li, B. Analysis and suppression of operational overvoltage and inrush current for high-speed trains by automatic phase-switching technique. High Volt. 2024, 9, 509–761. [Google Scholar] [CrossRef]
- Pachore, P.; Gupta, Y.; Anand, S.; Sarkar, S.; Mathur, P.; Singh, P.K. Flux error function based controlled switching method for minimizing inrush current in 3-phase transformer. IEEE Trans. Power Deliv. 2021, 36, 870–879. [Google Scholar] [CrossRef]
- Wang, Y.; Yin, X.; Qiao, J.; Tan, L.; Xu, W. Inrush current suppression technology for floating nuclear power plants based on connecting preT in series. Int. J. Electr. Power Energy Syst. 2022, 135, 107508. [Google Scholar] [CrossRef]
- Mitra, J.; Xu, X.; Benidris, M. Reduction of three-phase transformer inrush currents using controlled switching. IEEE Trans. Ind. Appl. 2020, 56, 890–897. [Google Scholar] [CrossRef]
- Ni, H.; Fang, S.; Lin, H. A simplified phase-controlled switching strategy for inrush current reduction. IEEE Trans. Power Deliv. 2021, 36, 215–222. [Google Scholar] [CrossRef]
- Jiang, C.; Xia, S.; Zhou, F.; Yin, X. Detecting CVT measurement errors using a voltage online monitoring system and maximum approximate coefficient growth rate. IEEE Sens. J. 2024, 24, 35181–35190. [Google Scholar] [CrossRef]
- Duan, J.; Zhang, Z.; Lu, H.; Li, B.; Ding, L. A novel method for CVT transient transform characteristics improvement integrated with digital filter suppressing voltage oscillation. IEEE Trans. Instrum. Meas. 2024, 73, 9002412. [Google Scholar] [CrossRef]
- Zhang, Z.; Lu, H.; Li, B.; Ding, L. Research on data-driven self-diagnosis for measurement errors in capacitor voltage transformers. IEEE Trans. Instrum. Meas. 2024, 73, 3524712. [Google Scholar] [CrossRef]
- Guan, C.; Wang, Y.; Wu, S.; Yang, Y. Study on short-circuit current interruption characteristics of double-break fast vacuum circuit breaker within the minimum arcing time. Int. J. Electr. Power Energy Syst. 2023, 147, 108865. [Google Scholar] [CrossRef]
- Zhang, H.; Wang, Y.; Zhao, Z.; Liu, C. A new method to measure the residual flux by magnetic sensors and a finite-element model. IEEE Trans. Instrum. Meas. 2023, 72, 6006010. [Google Scholar] [CrossRef]
- Song, J.; Zheng, T.; Guo, Y.; Pan, L. Suppression strategy of the inrush current in the transformer phase selection closing considering the residual flux. In Proceedings of the 6th Asia Conference on Energy and Electrical Engineering (ACEEE), Chengdu, China, 21–23 July 2023; pp. 140–145. [Google Scholar]
- Huo, C.; Wang, Y.; Zhao, Z.; Liu, C. Residual flux measurement of the single-phase transformer based on transient current method. IEEE Trans. Appl. Supercond. 2020, 30, 5500505. [Google Scholar] [CrossRef]
- Huo, C.; Wang, Y.; Wu, S.; Liu, C. Research on residual flux density measurement for single-phase transformer core based on energy changes. IEEE Trans. Instrum. Meas. 2021, 70, 6011909. [Google Scholar] [CrossRef]
- Huo, C.; Wang, Y.; Wu, S.; Yang, Y.; Zhao, Z. Residual flux density measurement method for transformer core considering relative differential permeability. IEEE Trans. Magn. 2021, 57, 8400204. [Google Scholar] [CrossRef]
- Huo, C.; Yang, Y. A review of research progress on residual magnetism detection methods for power transformer cores. IEEE Sens. J. 2024, 24, 7636–7645. [Google Scholar] [CrossRef]
- Sima, W.; Zou, B.; Yang, M.; de León, F. New method to measure deep-saturated magnetizing inductances for dual reversible models of single-phase two-winding transformers. IEEE Trans. Power Deliv. 2021, 36, 488–491. [Google Scholar] [CrossRef]
- Lv, J.; Zhang, Z.; Lu, H.; Li, B.; Ding, L. Measurement method of deeply saturated excitation characteristics of converter transformer under AC-DC hybrid excitation. Electronics 2024, 13, 4691. [Google Scholar] [CrossRef]
- Michna, M.; Dworakowski, P.; Mermet-Guyên, M. Modified Preisach Model of Hysteresis in Multi Air Gap Ferrite Core Medium Frequency Transformer. IEEE Trans. Power Deliv. 2022, 37, 116–124. [Google Scholar] [CrossRef]
- Beyranvand, M.; Rezecaalam, B.; Rezæel-Zare, A. Impacts of Ferroresonance and Inrush Current Forces on Transformer Windings. IET Electr. Power Appl. 2019, 13, 914–921. [Google Scholar] [CrossRef]
- Negara, I.M.Y. Demagnetization Method for Reducing Inrush Current of Single Phase 1 kVA Transformer. J. Adv. Res. Electr. Eng. 2017, 1, 1–5. [Google Scholar] [CrossRef]
- Brunke, J.H.; Fröhlich, K.J. Elimination of Transformer Inrush Currents by Controlled Switching—Part I: Theoretical Considerations. IEEE Trans. Power Deliv. 2001, 16, 276–280. [Google Scholar] [CrossRef]
- Himata, Y.; Nakajima, T.; Maruyama, S. Residual Magnetic Flux of On-Load Transformer for Controlled Switching. IEEE Trans. Electr. Electron. Eng. 2020, 15, 1134–1138. [Google Scholar] [CrossRef]
- Hodgdon, M.L. Applications of a Theory of Ferromagnetic Hysteresis. IEEE Trans. Magn. 1988, 24, 218–221. [Google Scholar] [CrossRef]
- de León, F.; Farazmand, A.; Levi, R. Elimination of Residual Flux in Transformers by the Application of an Alternating Polarity DC Voltage Source. IEEE Trans. Power Deliv. 2015, 30, 1727–1734. [Google Scholar] [CrossRef]
- Gerdrodbari, Y.; Davarpanah, M.; Farhangi, S. Remanent Flux Negative Effects on Transformer Diagnostic Test Results and a Novel Approach for Its Elimination. IEEE Trans. Power Deliv. 2018, 33, 2938–2945. [Google Scholar] [CrossRef]
- Guo, Y.; Zheng, Z.; Zhao, J. Study of Resistive Type SFCL for Limiting Inrush Current of LCC-HVDC Converter Transformer. IEEE Trans. Appl. Supercond. 2021, 31, 5500804. [Google Scholar] [CrossRef]
- Huo, C.L.; Wang, Y.H.; Lei, G. Study on the Residual Flux Density Measurement Method for Power Transformer Cores Based on Magnetising Induction. IET Electr. Power Appl. 2022, 16, 224–235. [Google Scholar] [CrossRef]
- Islam, M.M.; Muttagi, K.M.; Sutanto, D. A Saturated Amorphous Alloy Core-Based Inrush Current Limiter to Eliminate Inrush Currents and Restrain Harmonics during Transformer Energization. IEEE Trans. Ind. Appl. 2021, 57, 6634–6645. [Google Scholar] [CrossRef]





















| Name | Parameters |
|---|---|
| Commutation capacity | 237.4 (MVA) |
| Rated voltage | 525,000 grid side/161,200 valve side (V) |
| Current rating | 783.2 grid side/2250.8 Valve side (A) |
| No-load loss | 142.8 (kW) |
| No-load current | 0.082% |
| Saturation magnetic induction intensity | 1.7 (T) |
| Set the Remanence Value | Flux Value at the Starting Point (Wb) | Measurement of Remanence (Wb) | Error (%) |
|---|---|---|---|
| 2290.7 Wb | 2231.165 Wb | 2228.181 | 2.09 |
| 2054.3 Wb | 2094.832 Wb | 2091.848 | 2.42 |
| 1818 Wb | 1863.71 Wb | 1860.726 | 3.24 |
| 1781.7 Wb | 1731.013 Wb | 1728.029 | 4.54 |
| Name | Parameter |
|---|---|
| Rated power | 200 W |
| Number of turns on the high-pressure side | 80 turns |
| Rated voltage | 30 V/10 V |
| Inner and outer diameters | 50 mm/100 mm |
| Preset Residual Magnetization Value (T) | Starting Remanence (T) | Endpoint Remanence Value (T) | Error (%) |
|---|---|---|---|
| 0.8 | 0.78477 | −0.00148 | 1.719 |
| 0.7 | 0.72231 | 0.01384 | −1.21 |
| 0.6 | 0.59941 | 0.02367 | 4.043 |
| 0.5 | 0.50399 | 0.02466 | 4.134 |
| Parameter | Value |
|---|---|
| Rated capacity | 237.4 MVA |
| Transformer type | Converter transformer |
| Rated frequency | 50 Hz |
| Short-circuit time | 2 s |
| Tap position | +20, N, −6 |
| Voltage (V) | 656,250, 616,120, 485,625 |
| Current (A) | 627.6, 673.2, 846.7 |
| Secondary voltage (V) | 616,120 |
| Secondary current (A) | 2250.8, 2250.8, 2250.8 |
| Rated current | 2 × 1300 A |
| Rated voltage | Um 72.5 kV |
| Load loss | 485.4 kW |
| No-load loss | 142.8 kW |
| No-load current | 0.082% |
| Item | Technical Specifications |
|---|---|
| Demagnetization voltage | 0–1500 V DC |
| Demagnetization current accuracy | 0.1 mA |
| Demagnetization voltage accuracy | 0.1 V |
| Measurement voltage | 0–1500 V AC |
| Measurement voltage accuracy | 1 V |
| Measurement current accuracy | 0.1 mA |
| Demagnetization time | ≤60 s |
| Measurement frequency | Adjustable from 10–100 Hz |
| Power supply | 220 V AC, 400 W |
| Applicable voltage level | Transformers rated from 10 kV to 1000 kV |
| Parameter | Value |
|---|---|
| Estimated demagnetization time (ms) | 2000 |
| Demagnetization start voltage (V) | 1100 |
| Demagnetization end voltage (V) | 2 |
| Demagnetization end current (mA) | 1 |
| Resistance measurement voltage (V) | 380 |
| Resistance measurement frequency (Hz) | 50 |
| Demagnetization Cycle | Measured Inductance Value (mH) |
|---|---|
| 0 | 7.8 |
| 1 | 14.5 |
| 2 | 18.9 |
| 3 | 20.7 |
| 4 | 22.8 |
| 5 | 23.4 |
Disclaimer/Publisher’s Note: The statements, opinions and data contained in all publications are solely those of the individual author(s) and contributor(s) and not of MDPI and/or the editor(s). MDPI and/or the editor(s) disclaim responsibility for any injury to people or property resulting from any ideas, methods, instructions or products referred to in the content. |
© 2025 by the authors. Licensee MDPI, Basel, Switzerland. This article is an open access article distributed under the terms and conditions of the Creative Commons Attribution (CC BY) license (https://creativecommons.org/licenses/by/4.0/).
Share and Cite
Li, D.; Zhou, J.; Zhang, Z.; Yang, Y.; Dong, Z.; He, W.; Pei, X.; Gao, J.; Chen, S.; Pan, Z. Research on the Remanence Measurement Method of Transformers Based on the Degaussing Hysteresis Loop. Appl. Sci. 2025, 15, 5375. https://doi.org/10.3390/app15105375
Li D, Zhou J, Zhang Z, Yang Y, Dong Z, He W, Pei X, Gao J, Chen S, Pan Z. Research on the Remanence Measurement Method of Transformers Based on the Degaussing Hysteresis Loop. Applied Sciences. 2025; 15(10):5375. https://doi.org/10.3390/app15105375
Chicago/Turabian StyleLi, Dingyuan, Jing Zhou, Zhanlong Zhang, Yu Yang, Zijian Dong, Wenhao He, Xichen Pei, Jiatai Gao, Siyang Chen, and Zhicheng Pan. 2025. "Research on the Remanence Measurement Method of Transformers Based on the Degaussing Hysteresis Loop" Applied Sciences 15, no. 10: 5375. https://doi.org/10.3390/app15105375
APA StyleLi, D., Zhou, J., Zhang, Z., Yang, Y., Dong, Z., He, W., Pei, X., Gao, J., Chen, S., & Pan, Z. (2025). Research on the Remanence Measurement Method of Transformers Based on the Degaussing Hysteresis Loop. Applied Sciences, 15(10), 5375. https://doi.org/10.3390/app15105375

