Experimental Observations of Heat-Assisted Boycott Effect in Trapezoidal Enclosures
Abstract
1. Introduction
2. Materials and Methods
2.1. Experimental Apparatus
2.2. Concentration Calibration
2.3. Development and Data Acquisition
- Preparation of the mixture: For each stage, the cell is filled with 660 mL of distilled water. Subsequently, the amount of 8–12 μm particles is measured to generate a concentration of 1500 ppm or 3000 ppm, as appropriate. The initial mixing of the suspension is performed at the beginning of the experiment to ensure homogeneity. In subsequent experiments, the particles are resuspended following the procedure described in the “Experimental Start” step to maintain consistent conditions.
- Preparation of the camera and recording: In order to facilitate the organization and documentation of the experimental data, a folder is created for the storage of the images acquired during the experimental development. The camera parameters and image capture settings are configured and/or reviewed, as detailed in Table 2. The camera is programmed to capture one photo every 5 s; however, the actual interval between captures is approximately 6 s, as verified by the timestamp of the recorded images. In addition, parameters and specific measurements are recorded in a notebook. Notes are also taken regarding any events that may occur during the experimental development.
- Experimental start: At the beginning of each stage, three initial images of the cell with clear water are captured. These images are utilized as a point of reference for subsequent image processing. Subsequently, the requisite quantity of particles is introduced into the cell in order to achieve the desired concentration, as specified for each individual experiment. To ensure a homogeneous mixture, the particles are resuspended using a laboratory spatula. The flat side of the spatula is employed to lift and resuspend particles settled at the bottom of the cell. After this, the mixture is stirred in a circular motion throughout the cell for approximately two minutes to achieve uniformity. To initiate the experiment, the program that records the temperature over time is executed and the initial time of the experiment is noted. Immediately after the completion of the steps mentioned above, image capture begins, and the power source is activated with the parameters previously configured for the experiment. It should also be noted that the time interval between the beginning of the temperature readings and the initiation of image capture is documented.
- End experiment and restart: Upon the completion of the image acquisition process, the power source is deactivated, and the sensors are disconnected. Subsequently, the cell is cooled. To facilitate cooling of the cell, the mixture is stirred, a portable temperature sensor is inserted, and the cell is placed in a refrigerator until it reaches a temperature of 20 °C. Subsequently, the sample is allowed to rest at room temperature for approximately five minutes with the assistance of a fan. Upon completion of a series of experiments, all data are transferred to an external hard drive for subsequent analysis.
2.4. Processing
- Directory Definition: In this phase, the directories in which the images are stored (previously designated as “exp”) and the directories in which the results are stored are defined.
- Generation of Light Intensity vs. Concentration Function: In this phase, the matrix arrays that previously served as the calibration data set for light intensity and concentration (intensity vs. concentration) are read. Subsequently, an interpolation function f is generated and applied to the data to convert the light intensity values to concentration.
- Pre-processing: In this phase, the images are subjected to a detailed examination, during which the region of interest is identified with the objective of reducing the processing load in subsequent stages. Furthermore, if necessary, the images are rotated. It is important to note that due to the viewing angle of the lens utilized with the camera, the selected region is approximately 3 separated from the interior walls.
- Mask: In this phase, the preprocessed images (matrix arrays) are retrieved, and a matrix of equivalent dimensions but with values of 0 is generated. Subsequently, the region of interest is filled with values of 1 using the cv2.fillpoly function. Finally, the zone is verified by displaying the image with the applied mask.
- Image Processing: In this phase, a function, designated as G, is utilized to facilitate the opening of each image, represented as (), through the implementation of a loop. Subsequently, the average clear water condition, (), is subtracted, and the interpolation function f, is applied to transform the values of light intensity into concentration. Then, the initial concentration condition that was previously processed is subtracted and the result is divided by it, thereby obtaining values relative to this condition. Consequently, the concentration field for each time t is obtained as follows: . Subsequently, the rows and columns are discretized, with the data averaged every ten rows and ten columns. This is then stored in a matrix vector array, with each element of the vector containing a matrix representing the discretized concentration field.
2.5. Post-Processing
3. Results
3.1. Conducted Experiments
3.2. Effect of Heat on the Mixture Inside the Cell
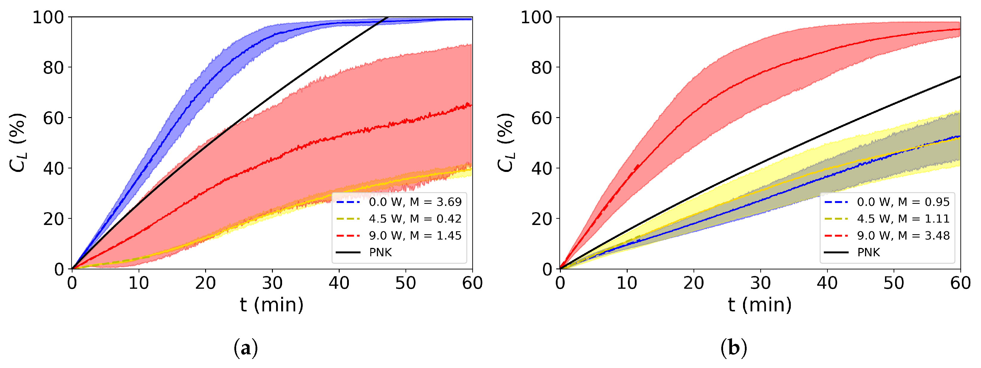
3.3. Effect of Heat on Average Concentration
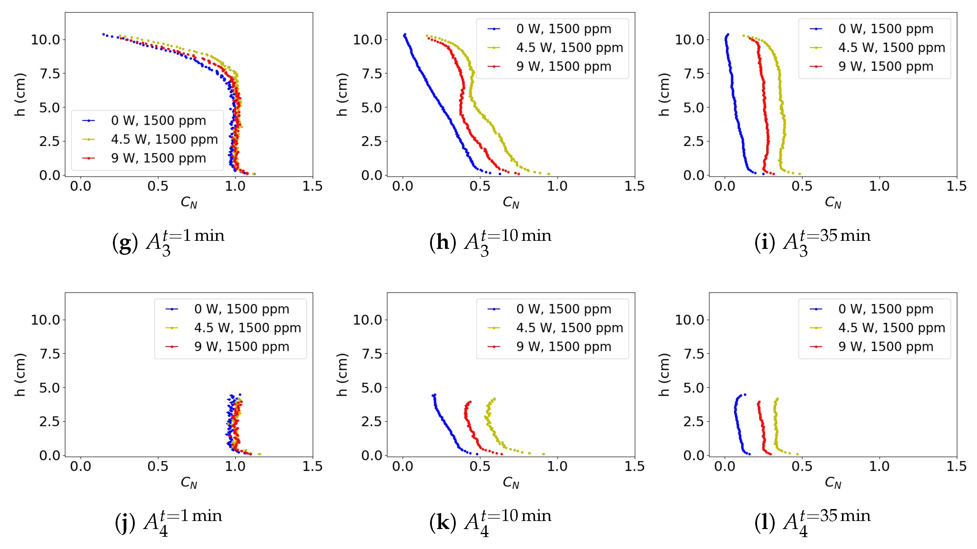
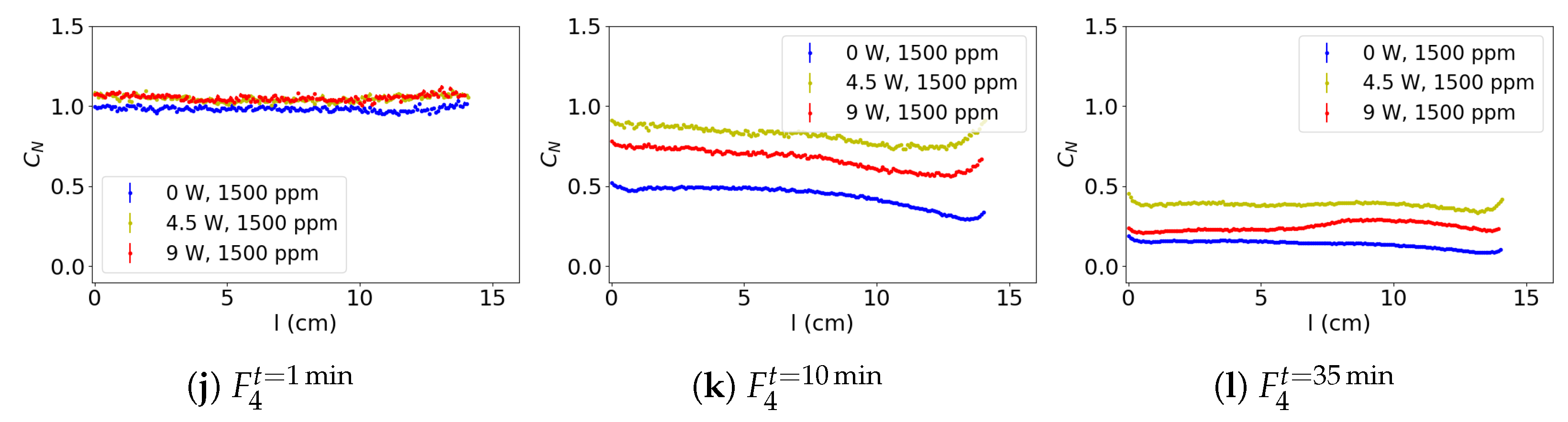
3.4. Impact of Heat on Concentration
3.4.1. Initial Concentration of 1500 ppm
3.4.2. Initial Concentration of 3000 ppm
3.5. Temperature of the Walls
4. Discussion
5. Conclusions
Author Contributions
Funding
Institutional Review Board Statement
Informed Consent Statement
Data Availability Statement
Acknowledgments
Conflicts of Interest
References
- Perazella, M.A. The urine sediment as a biomarker of kidney disease. Am. J. Kidney Dis. 2015, 66, 748–755. [Google Scholar] [CrossRef]
- Jover-Smet, M.; Martín-Pascual, J.; Trapote, A. Model of suspended solids removal in the primary sedimentation tanks for the treatment of urban wastewater. Water 2017, 9, 448. [Google Scholar] [CrossRef]
- da Silveira, A.N.; Silva, R.; Rubio, J. Treatment of acid mine drainage (AMD) in South Brazil: Comparative active processes and water reuse. Int. J. Miner. Process. 2009, 93, 103–109. [Google Scholar] [CrossRef]
- Tarpagkou, R.; Pantokratoras, A. The influence of lamellar settler in sedimentation tanks for potable water treatment—A computational fluid dynamic study. Powder Technol. 2014, 268, 139–149. [Google Scholar] [CrossRef]
- Boycott, A.E. Sedimentation of blood corpuscles. Nature 1920, 104, 532. [Google Scholar] [CrossRef]
- Ponder, E. On sedimentation and rouleaux formation-I. Q. J. Exp. Physiol. Transl. Integr. 1925, 15, 235–252. [Google Scholar] [CrossRef]
- Nakamura, H.; Kuroda, K. La propriété spécifique à l’espèce animale pour la stabilité de la suspension des hématies dans les milieux chimiquement et physiquement définis. Keijo J. Med. 1937, 8, 198. [Google Scholar]
- Hill, W.D.; Rothfus, R.R.; Li, K. Boundary-enhanced sedimentation due to settling convection. Int. J. Multiph. Flow 1977, 3, 561–583. [Google Scholar] [CrossRef]
- Probstein, R.F.; Yung, D.; Hicks, R.E. A model for lamella settlers. In Proceedings of the Theory, Practice, and Process Principles for Physical Separations’, Engineering Foundation Conference, Asilomar, CA, USA, 30 October–4 November 1977. [Google Scholar]
- Nir, A.; Acrivos, A. Sedimentation and sediment flow on inclined surfaces. J. Fluid Mech. 1990, 212, 139. [Google Scholar] [CrossRef]
- Kapoor, B.; Acrivos, A. Sedimentation and sediment flow in settling tanks with inclined walls. J. Fluid Mech. 1995, 290, 39. [Google Scholar] [CrossRef]
- Seddon, J.A. Clearing Water by Settlement—Observation and Theory. Assoc. Eng. Soc. 1889, 8, 477–494. [Google Scholar]
- Hazen, A. On sedimentation. Trans. ASCE 1904, 53, 45–71. [Google Scholar] [CrossRef]
- Herbolzheimer, E.; Acrivos, A. Enhanced sedimentation in narrow tilted channels. J. Fluid Mech. 1981, 108, 485. [Google Scholar] [CrossRef]
- Leung, W.F.; Probstein, R.F. Lamella and tube settlers. 1. Model and operation. Ind. & Eng. Chem. Process. Des. Dev. 1983, 22, 58–67. [Google Scholar] [CrossRef]
- Hansen, S.P.; Culp, G.I. Applying shallow depth sedimentation theory. J.-Am. Water Work. Assoc. 1967, 59, 1134–1148. [Google Scholar] [CrossRef]
- Culp, G.; Hansen, S.; Richardson, G. High-Rate Sedimentation in Water Treatment Works. J.-Am. Water Work. Assoc. 1968, 60, 681–698. [Google Scholar] [CrossRef]
- Leung, W.F. Lamella and tube settlers. 2. Flow stability. Ind. & Eng. Chem. Process. Des. Dev. 1983, 22, 68–73. [Google Scholar]
- Herbolzheimer, E. Stability of the flow during sedimentation in inclined channels. Phys. Fluids 1983, 26, 2043–2054. [Google Scholar] [CrossRef]
- Davis, R.H.; Herbolzheimer, E.; Acrivos, A. Wave formation and growth during sedimentation in narrow tilted channels. Phys. Fluids 1983, 26, 2055–2064. [Google Scholar] [CrossRef]
- Acrivos, A.; Davis, R.; Herbolzheimer, E. Enhanced Sedimentation in Vessels Having Inclined Walls. The Boycott Effect. In Theory of Dispersed Multiphase Flow; Elsevier: Amsterdam, The Netherlands, 1983; pp. 81–95. [Google Scholar]
- Davis, R.H.; Acrivos, A. Sedimentation of noncolloidal particles at low Reynolds numbers. Annu. Rev. Fluid Mech. 1985, 17, 91–118. [Google Scholar] [CrossRef]
- Zioło, J. Influence of the system geometry on the sedimentation effectiveness of lamella settlers. Chem. Eng. Sci. 1996, 51, 149–153. [Google Scholar] [CrossRef]
- Bandrowski, J.; Hehlmann, J.; Merta, H.; Zioło, J. Studies of sedimentation in settlers with packing. Chem. Eng. Process. Process. Intensif. 1997, 36, 219–229. [Google Scholar] [CrossRef]
- Bhorkar, M.P.; Bhole, A.G.; Nagarnaik, P.B. Application of Modified Tube Settler to Improve Sedimentation Process. In Urbanization Challenges in Emerging Economies; American Society of Civil Engineers: Reston, VA, USA, 2005. [Google Scholar]
- Sulakhe, S.; Pathak, R. Effective Method for high Rate Sedimentation. J.-Indian Waterworks Assoc. 1993, 25, 67. [Google Scholar]
- Wang, P.; Ye, N.; Han, Y.; He, X. Experimental Study on the Sedimentation Performance of an Arc-Plate Linear Sedimentation Tank. Water 2024, 16, 1075. [Google Scholar] [CrossRef]
- Goula, A.M.; Kostoglou, M.; Karapantsios, T.D.; Zouboulis, A.I. A CFD methodology for the design of sedimentation tanks in potable water treatment: Case study: The influence of a feed flow control baffle. Chem. Eng. J. 2008, 140, 110–121. [Google Scholar] [CrossRef]
- Salem, A.I.; Okoth, G.; Thöming, J. An approach to improve the separation of solid–liquid suspensions in inclined plate settlers: CFD simulation and experimental validation. Water Res. 2011, 45, 3541–3549. [Google Scholar] [CrossRef]
- Xu, Z.J.; Michaelides, E.E. A numerical simulation of the Boycott effect. Chem. Eng. Comm. 2005, 192, 532–549. [Google Scholar] [CrossRef]
- Esipov, D.; Kuranakov, D. 2D CFD-DEM numerical simulation of the sedimentation of circular particles in the rectangular inclined vessel. AIP Conf. Proc. 2023, 2504, 030011. [Google Scholar] [CrossRef]
- Reyes, C.; Apaz, F.; Niño, Y.; Barraza, B.; Arratia, C.; Ihle, C.F. A review on steeply inclined settlers for water clarification. Miner. Eng. 2022, 184, 107639. [Google Scholar] [CrossRef]
- Galvin, K.; Nguyentranlam, G. Influence of parallel inclined plates in a liquid fluidized bed system. Chem. Eng. Sci. 2002, 57, 1231–1234. [Google Scholar] [CrossRef]
- Doroodchi, E.; Fletcher, D.; Galvin, K. Influence of inclined plates on the expansion behaviour of particulate suspensions in a liquid fluidised bed. Chem. Eng. Sci. 2004, 59, 3559–3567. [Google Scholar] [CrossRef]
- Galvin, K.P.; Callen, A.; Zhou, J.; Doroodchi, E. Performance of the reflux classifier for gravity separation at full scale. Miner. Eng. 2005, 18, 19–24. [Google Scholar] [CrossRef]
- Galvin, K.; Zhou, J.; Walton, K. Application of closely spaced inclined channels in gravity separation of fine particles. Miner. Eng. 2010, 23, 326–338. [Google Scholar] [CrossRef]
- Syed, N.; Dickinson, J.; Galvin, K.; Moreno-Atanasio, R. Continuous, dynamic and steady state simulation of the reflux classifier using a segregation-dispersion model. Miner. Eng. 2018, 115, 53–67. [Google Scholar] [CrossRef]
- Azevedo, L.; Sparrow, E. Natural convection in open-ended inclined channels. J. Heat Transf. 1985, 107, 893–901. [Google Scholar] [CrossRef]
- Paolucci, S.; Chenoweth, D. Natural convection in shallow enclosures with differentially heated endwalls. J. Heat Transf. 1988, 110, 625–634. [Google Scholar] [CrossRef]
- Soong, C.; Tzeng, P.; Chiang, D.; Sheu, T. Numerical study on mode-transition of natural convection in differentially heated inclined enclosures. Int. J. Heat Mass Transf. 1996, 39, 2869–2882. [Google Scholar] [CrossRef]
- Rahman, M.; Sharif, M. Numerical study of laminar natural convection in inclined rectangular enclosures of various aspect ratios. Numer. Heat Transf. Part A Appl. 2003, 44, 355–373. [Google Scholar] [CrossRef]
- Reyes, C.; Ihle, C.F.; Apaz, F.; Cisternas, L.A. Heat-Assisted Batch Settling of Mineral Suspensions in Inclined Containers. Minerals 2019, 9, 228. [Google Scholar] [CrossRef]
- Kinosita, K. Sedimentation in tilted vessels. J. Colloid Sci. 1949, 4, 525–536. [Google Scholar] [CrossRef]
- Peacock, T.; Blanchette, F.; Bush, J.W. The stratified Boycott effect. J. Fluid Mech. 2005, 529, 33–49. [Google Scholar] [CrossRef]
- Lavorel, G.; Le Bars, M. Sedimentation of particles in a vigorously convecting fluid. Phys. Rev. E—Stat. Nonlinear Soft Matter Phys. 2009, 80, 046324. [Google Scholar] [CrossRef]
- Acrivos, A.; Herbolzheimer, E. Enhanced sedimentation in settling tanks with inclined walls. J. Fluid Mech. 1979, 92, 435. [Google Scholar] [CrossRef]
- Currie, I.G. Fundamental Mechanics of Fluids; CRC Press: Boca Raton, FL, USA, 1993. [Google Scholar]





















| Factors | Concentration (ppm) | Imposed Electrical Power (W) |
|---|---|---|
| Levels | 1500 and 3000 | 0, 4.5, and 9 |
| Stage | ISO | Shutter Speed | Aperture | Image Acquisition Frequency |
|---|---|---|---|---|
| 1 and 2 | 500 | 1/30 | 20 | 600 photos, 1 every |
| Experiment | Voltage (V) | Current I (A) | Power P (W) | ||
|---|---|---|---|---|---|
| Iinitial | Ifinal | Pinitial | Pfinal | ||
| 1A | 0 | 0 | 0 | 0 | 0 |
| 1B | 0 | 0 | 0 | 0 | 0 |
| 1C | 0 | 0 | 0 | 0 | 0 |
| 2A | 4.3 | 1.064 | 1.016 | 4.6 | 4.4 |
| 2B | 4.3 | 1.034 | 0.996 | 4.4 | 4.3 |
| 2C | 4.3 | 1.056 | 1.011 | 4.5 | 4.3 |
| 3A | 6 | 1.516 | 1.410 | 9.1 | 8.5 |
| 3B | 6 | 1.514 | 1.415 | 9.1 | 8.5 |
| 3C | 6 | 1.514 | 1.413 | 9.1 | 8.5 |
| 4A | 0 | 0 | 0 | 0 | 0 |
| 4B | 0 | 0 | 0 | 0 | 0 |
| 4C | 0 | 0 | 0 | 0 | 0 |
| 5A | 4.3 | 1.056 | 1.014 | 4.5 | 4.4 |
| 5B | 4.3 | 1.053 | 1.013 | 4.5 | 4.4 |
| 5C | 4.3 | 1.053 | 1.013 | 4.5 | 4.4 |
| 6A | 6 | 1.497 | 1.409 | 9.0 | 8.5 |
| 6B | 6 | 1.510 | 1.418 | 9.1 | 8.5 |
| 6C | 6 | 1.509 | 1.417 | 9.1 | 8.5 |
| Authors | Experimental Setup | Concentrations | Inclination Angle 1 |
|---|---|---|---|
| Kinosita [43] | Fine emery powder for an optical shop of nominal size No. 1200 in water | - | 0, 20, 30, 40, 60 |
| Rabbit’s blood was dissolved either in physiological saline or in Haycm’s solution | <30% | 0, 25, 40, 50 | |
| Hill et al. [8] 2 | Two sizes of glass spheres were used: size 1 (132 ± 0.5 µm) and size 2 (103.2 ± 0.4 µm). The working fluid consisted of 79.30% hydrogenated terphenyls (Monsanto HB-40®) and 20.70% heavy mineral oil (Fisher O-120), with a viscosity of 36.5 centipoise (0.0365 Pa·s). | ≈0.05% | Base angle 59.7 |
| Peacock et al. [44] | Fine silica particles of density 2.65 kgm−3 settling in stratified salt water. The particle radius was estimated to be 4.1 ± 0.8 µm. | 0.30% | 45 |
| MO-SCI GL-0191 glass spheres of radius 17.5 ± 1.5 µm settling in a salt-stratified solution comprising 63% glycerol and 37% water. | - | 45 | |
| Apaz and Ihle (present study) | Glass spheres with diameters of 8 to 12 µm and a density of 2.5 g/cm3 were used. Additionally, experiments included different cases with heat injections. | 0.15% and 0.30% | 30 |
Disclaimer/Publisher’s Note: The statements, opinions and data contained in all publications are solely those of the individual author(s) and contributor(s) and not of MDPI and/or the editor(s). MDPI and/or the editor(s) disclaim responsibility for any injury to people or property resulting from any ideas, methods, instructions or products referred to in the content. |
© 2024 by the authors. Licensee MDPI, Basel, Switzerland. This article is an open access article distributed under the terms and conditions of the Creative Commons Attribution (CC BY) license (https://creativecommons.org/licenses/by/4.0/).
Share and Cite
Apaz, F.; Ihle, C.F. Experimental Observations of Heat-Assisted Boycott Effect in Trapezoidal Enclosures. Appl. Sci. 2025, 15, 97. https://doi.org/10.3390/app15010097
Apaz F, Ihle CF. Experimental Observations of Heat-Assisted Boycott Effect in Trapezoidal Enclosures. Applied Sciences. 2025; 15(1):97. https://doi.org/10.3390/app15010097
Chicago/Turabian StyleApaz, Fernando, and Christian F. Ihle. 2025. "Experimental Observations of Heat-Assisted Boycott Effect in Trapezoidal Enclosures" Applied Sciences 15, no. 1: 97. https://doi.org/10.3390/app15010097
APA StyleApaz, F., & Ihle, C. F. (2025). Experimental Observations of Heat-Assisted Boycott Effect in Trapezoidal Enclosures. Applied Sciences, 15(1), 97. https://doi.org/10.3390/app15010097

