Experimental Study of Vegetative Properties in Zeolite–Biochar-Improved Ecological Revetment Substrates
Abstract
1. Introduction
2. Materials and Methods
2.1. Experiment Design
2.1.1. Experiment Materials
- (1)
- Soil: The soil sample was collected from the backfill of a foundation pit in Wuhan. Laboratory tests confirmed that the soil was clay. Standard procedures were followed to determine the physical properties of the soil: initial moisture content was determined through oven drying at 105 °C, optimal moisture content and maximum dry density were obtained via compaction tests, natural dry density was measured using the ring knife method, and plastic limit and liquid limit were determined using the liquid limit instrument method. Each index was tested three times, and the average value was calculated. The basic parameters of the soil sample are presented in Table 1, while the elemental composition is detailed in Table 2. Before use, the soil was dried, mashed, and screened by 2 mm.
- (2)
- Cement: P.O42.5 grade ordinary Portland cement was selected. The main chemical components include Ca, Si, Al, and Fe. These elements usually exist in the form of CaSiO3, Ca2SiO4, Ca3Al2O6, etc., as bonding materials for the substrate.
- (3)
- Organic material: The main components were soybean powder, corn meal, fish bone meal, and Chinese medicine residue. These components contain Ca, Fe, P, K, and other minerals, and after natural air drying, were sieved through a 2 mm mesh for reserve.
- (4)
- pH regulator: The main component was ferrous sulfate, which regulates the alkaline environment generated by cement hydration on the basis of not significantly affecting the strength of the substrate, making it suitable for the survival and reproduction of plants and functional microorganisms.
- (5)
- Biochar: Plant straw BC was selected and formed by cracking plant straw at 600 °C under low oxygen conditions. It possesses a porous structure and a large specific surface area, resulting in a strong adsorption capacity. Table 2 displays the surface elements of BC for specific cations such as Si, Fe, Al, Na, Ca, K, and Mg, which passed through a 200-mesh sieve.
- (6)
- Zeolites: Natural clinoptilolite was selected; it is a hydroaluminosilicate mineral, which has the characteristics of a large specific surface area, abundant pores, and many adsorption sites. ZL contains rich cations such as Si, Fe, Al, Na, Ca, K, and Mg, and the specific surface elements are shown in Table 2, which passed through a 200-mesh sieve.
2.1.2. Experimental Process
2.2. Determination of Seed Germination and Growth Index
2.3. Meteorological Data
3. Results and Analysis
3.1. Effect of Different Substrate Ratios on Seed Germination
3.1.1. Effect on Seed Germination of Cynodon Dactylon
3.1.2. Effect on the Germination Characteristics of Cynodon Dactylon Seeds
3.1.3. Relationship between Seed Germination and Substrate pH
3.2. Analysis of the Effect of Substrate Ratio on Plant Growth
3.2.1. Plant Growth Rules of Different Substrates
3.2.2. Analysis of Plant Coverage Rate of Different Substrates
3.3. Comprehensive Evaluation of the Vegetative Properties of the Substrate
3.3.1. Two-Factor Variance Analysis of Vegetative Properties
3.3.2. Comprehensive Vegetative Properties Scores
4. Conclusions
- (1)
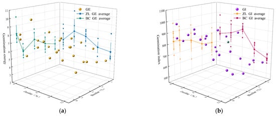
- The seed germination effect index of the modified substrate was highest at 6% ZL content, and the GP was 68.13%, showing a trend of initially increasing and then decreasing with higher ZL content. With the increase in BC content, the decreasing trend was not obvious when the content was below 3%, and the average GP before 3% was 56.64%. Both ZL and BC had an effect on substrate pH, increasing by −0.11 and 0.4 on average, respectively; the effect of BC was more significant, and the germination of each substrate was negatively correlated with pH.
- (2)
- The plant height was highest when the ZL content was 6%, followed by 3%. Additionally, plant height showed certain advantages with BC contents of 0% or 1%. The highest average plant height was observed when the BC content was 1% and ZL content was 6%; the average plant heights were 21.12 cm and 19.38 cm, respectively. As for the coverage rate, it decreased with increasing BC content. ZL contents of 3% and 6% can enhance the coverage rate, being 1.29% and 2.42% higher than the average, but excessively high ZL content inhibits plant formation.
- (3)
- In the comprehensive evaluation, ZL primarily influenced the GI of C.d., whereas BC had a more pronounced impact on the GP, GE, plant height, and coverage rate. When testing the ZL-BC-modified substrate for C.d., 17 out of 26 substrates scored above 80, resulting in good overall vegetative properties, with dominant ratios observed at 6% ZL and 0% BC.
Author Contributions
Funding
Data Availability Statement
Conflicts of Interest
References
- Tockner, K. Freshwaters: Global Distribution, Biodiversity, Ecosystem Services, and Human Pressures; Springer: Cham, Switzerland, 2021; pp. 489–501. [Google Scholar] [CrossRef]
- Akhtar, N.; Syakir Ishak, M.I.; Bhawani, S.A.; Umar, K. Various Natural and Anthropogenic Factors Responsible for Water Quality Degradation: A Review. Water 2021, 13, 2660. [Google Scholar] [CrossRef]
- Srinivas, R.; Singh, A.P.; Shankar, D. Understanding the Threats and Challenges Concerning Ganges River Basin for Effective Policy Recommendations towards Sustainable Development. Environ. Dev. Sustain. 2019, 22, 3655–3690. [Google Scholar] [CrossRef]
- Malik, D.S.; Sharma, A.K.; Sharma, A.K.; Thakur, R.; Sharma, M. A Review on Impact of Water Pollution on Freshwater Fish Species and Their Aquatic Environment. Adv. Environ. Pollut. Manag. Wastewater Impacts Treat. Technol. 2020, 1, 10–28. [Google Scholar] [CrossRef]
- Ma, J.; Ding, Z.; Wei, G.; Zhao, H.; Huang, T. Sources of Water Pollution and Evolution of Water Quality in the Wuwei Basin of Shiyang River, Northwest China. J. Environ. Manag. 2009, 90, 1168–1177. [Google Scholar] [CrossRef]
- Sun, B.; Zhang, L.; Yang, L.; Zhang, F.; Norse, D.; Zhu, Z. Agricultural Non-Point Source Pollution in China: Causes and Mitigation Measures. Ambio 2012, 41, 370–379. [Google Scholar] [CrossRef]
- Hou, L.; Zhou, Z.; Wang, R.; Li, J.; Dong, F.; Liu, J. Research on the Non-Point Source Pollution Characteristics of Important Drinking Water Sources. Water 2022, 14, 211. [Google Scholar] [CrossRef]
- Xue, L.; Hou, P.; Zhang, Z.; Shen, M.; Liu, F.; Yang, L. Application of Systematic Strategy for Agricultural Non-Point Source Pollution Control in Yangtze River Basin, China. Agric. Ecosyst. Environ. 2020, 304, 107148. [Google Scholar] [CrossRef]
- Li, H.; Zhou, X.; Huang, K.; Hao, G.; Li, J. Research on Optimal Control of Non-Point Source Pollution: A Case Study from the Danjiang River Basin in China. Environ. Sci. Pollut. Res. 2021, 29, 15582–15602. [Google Scholar] [CrossRef]
- Liu, M.; Luo, Y.; Li, F.; Hu, H.; Sun, D. Experimental Research on Erosion Characteristics of Ecological Slopes under the Scouring of Non-Directional Inflow. Sustainability 2023, 15, 14688. [Google Scholar] [CrossRef]
- Wang, P.; Ding, J.; He, Y.; Wang, D.; Cao, C.; Huang, M. Ecological Revetments for Enhanced Interception of Nonpoint Source Pollutants: A Review. Environ. Rev. 2020, 28, 262–268. [Google Scholar] [CrossRef]
- Angelaki, A.; Dionysidis, A.; Sihag, P.; Golia, E.E. Assessment of Contamination Management Caused by Copper and Zinc Cations Leaching and Their Impact on the Hydraulic Properties of a Sandy and a Loamy Clay Soil. Land 2022, 11, 290. [Google Scholar] [CrossRef]
- Selker, J.S.; Assouline, S. An Explicit, Parsimonious, and Accurate Estimate for Ponded Infiltration into Soils Using the Green and Ampt Approach. Water Resour. Res. 2017, 53, 7481–7487. [Google Scholar] [CrossRef]
- Berkowitz, B.; Dror, I.; Yaron, B. Contaminant Geochemistry; Springer: Heidelberg/Berlin, Germany, 2008; pp. 93–126. ISBN 9783540743828. [Google Scholar]
- Song, Z.; Liu, J.; Yu, Y.; Hao, S.; Jiang, B.; Song, J.; Kanungo, D.P.; Sun, S.; Bai, Y. Characterization of Artificially Reconstructed Clayey Soil Treated by Polyol Prepolymer for Rock-Slope Topsoil Erosion Control. Eng. Geol. 2021, 287, 106114. [Google Scholar] [CrossRef]
- Kim, H.-H.; Park, C.-G. Performance Evaluation and Field Application of Porous Vegetation Concrete Made with By-Product Materials for Ecological Restoration Projects. Sustainability 2016, 8, 294. [Google Scholar] [CrossRef]
- Sun, R.; Wang, D.; Cao, H.; Wang, Y.; Lu, Z.; Xia, J. Ecological Pervious Concrete in Revetment and Restoration of Coastal Wetlands: A Review. Constr. Build. Mater. 2021, 303, 124590. [Google Scholar] [CrossRef]
- Park, S.-B.; Kim, J.-H.; Seo, D.-S. Physical and Mechanical Properties of Carbon Fiber Reinforced Smart Porous Concrete for Planting. Available online: https://www.deepdyve.com/lp/spie/physical-and-mechanical-properties-of-carbon-fiber-reinforced-smart-OR18Q9XQMo?articleList=%2Fsearch%3Fauthor%3DPark%252C%2BSeung-Bum (accessed on 17 May 2005).
- Zhu, W.; Li, J.; Yang, Z.; Miao, J.; Cheng, M.; Yao, A.; Jing, Z. Hydrothermal Synthesis of a Novel Ecological Revetment Material by Sediment Mixed with Biochar. J. Clean. Prod. 2021, 326, 129380. [Google Scholar] [CrossRef]
- Chen, Y.; Li, S.; Wang, X.; Zheng, Y.; Wang, R.; Dong, G. Study on the Purification of Pollutants from Rainfall Runoff by Prefabricated Improved Multi-Aggregate Ecological Concrete (IMAEC) Revetment. Int. J. Environ. Res. 2022, 16, 41. [Google Scholar] [CrossRef]
- Abedi, T.; Mojiri, A. Constructed Wetland Modified by Biochar/Zeolite Addition for Enhanced Wastewater Treatment. Environ. Technol. Innov. 2019, 16, 100472. [Google Scholar] [CrossRef]
- Ghorbani, M.; Amirahmadi, E.; Konvalina, P.; Moudrý, J.; Bárta, J.; Kopecký, M.; Teodorescu, R.I.; Bucur, R.D. Comparative Influence of Biochar and Zeolite on Soil Hydrological Indices and Growth Characteristics of Corn (Zea mays L.). Water 2022, 14, 3506. [Google Scholar] [CrossRef]
- Zheng, X.-J.; Chen, M.; Wang, J.; Liu, Y.; Liao, Y.-Q.; Liu, Y.-C. Assessment of Zeolite, Biochar, and Their Combination for Stabilization of Multimetal-Contaminated Soil. ACS Omega 2020, 5, 27374–27382. [Google Scholar] [CrossRef]
- Cantonati, M.; Poikane, S.; Pringle, C.M.; Stevens, L.E.; Turak, E.; Heino, J.; Richardson, J.S.; Bolpagni, R.; Borrini, A.; Cid, N.; et al. Characteristics, Main Impacts, and Stewardship of Natural and Artificial Freshwater Environments: Consequences for Biodiversity Conservation. Water 2020, 12, 260. [Google Scholar] [CrossRef]
- Mondal, M.; Biswas, B.; Garai, S.; Sarkar, S.; Banerjee, H.; Brahmachari, K.; Bandyopadhyay, P.K.; Maitra, S.; Brestic, M.; Skalicky, M.; et al. Zeolites Enhance Soil Health, Crop Productivity and Environmental Safety. Agronomy 2021, 11, 448. [Google Scholar] [CrossRef]
- Liang, M.; Lu, L.; He, H.; Li, J.; Zhu, Z.; Zhu, Y. Applications of Biochar and Modified Biochar in Heavy Metal Contaminated Soil: A Descriptive Review. Sustainability 2021, 13, 14041. [Google Scholar] [CrossRef]
- Jakkula, V.S.; Wani, S.P. Zeolites: Potential Soil Amendments for Improving Nutrient and Water Use Efficiency and Agriculture Productivity. Sci. Rev. Chem. Commun. 2018, 8, 1–15. [Google Scholar]
- Nakhli, S.A.A.; Delkash, M.; Bakhshayesh, B.E.; Kazemian, H. Application of Zeolites for Sustainable Agriculture: A Review on Water and Nutrient Retention. Water Air Soil Pollut. 2017, 228, 464. [Google Scholar] [CrossRef]
- Amoakwah, E.; Frimpong, K.A.; Okae-Anti, D.; Arthur, E. Soil Water Retention, Air Flow and Pore Structure Characteristics after Corn Cob Biochar Application to a Tropical Sandy Loam. Geoderma 2017, 307, 189–197. [Google Scholar] [CrossRef]
- Garg, A.; Huang, H.; Cai, W.; Reddy, N.G.; Chen, P.; Han, Y.; Kamchoom, V.; Gaurav, S.; Zhu, H.-H. Influence of Soil Density on Gas Permeability and Water Retention in Soils Amended with In-House Produced Biochar. J. Rock Mech. Geotech. Eng. 2021, 13, 593–602. [Google Scholar] [CrossRef]
- Arthur, E.; Ahmed, F. Rice Straw Biochar Affects Water Retention and Air Movement in a Sand-Textured Tropical Soil. Arch. Agron. Soil Sci. 2017, 63, 2035–2047. [Google Scholar] [CrossRef]
- Cataldo, E.; Salvi, L.; Paoli, F.; Fucile, M.; Masciandaro, G.; Manzi, D.; Masini, C.M.; Mattii, G.B. Application of Zeolites in Agriculture and Other Potential Uses: A Review. Agronomy 2021, 11, 1547. [Google Scholar] [CrossRef]
- Belviso, C.; Satriani, A.; Lovelli, S.; Comegna, A.; Coppola, A.; Dragonetti, G.; Cavalcante, F.; Rivelli, A.R. Impact of Zeolite from Coal Fly Ash on Soil Hydrophysical Properties and Plant Growth. Agriculture 2022, 12, 356. [Google Scholar] [CrossRef]
- Kang, M.W.; Yibeltal, M.; Kim, Y.H.; Oh, S.J.; Lee, J.C.; Kwon, E.E.; Lee, S.S. Enhancement of Soil Physical Properties and Soil Water Retention with Biochar-Based Soil Amendments. Sci. Total Environ. 2022, 836, 155746. [Google Scholar] [CrossRef] [PubMed]












| Initial Moisture Content | Optimum Moisture Content | Maximum Dry Density | Natural Dry Density | Plastic Limit | Liquid Limit |
|---|---|---|---|---|---|
| 15.6% | 20% | 1.75 g·cm−3 | 1.5 g·cm−3 | 23% | 41% |
| Substrate Type | pH | Element Content (%) | ||||||
|---|---|---|---|---|---|---|---|---|
| Na | Mg | Al | Si | K | Ca | Fe | ||
| Soil | 8.13 | — | 0.76 | 4.76 | 92.03 | 0.82 | — | 1.64 |
| Zeolite | 7.83 | 9.18 | 1.33 | 18.99 | 64.93 | 1.24 | 2.31 | 2.02 |
| Biochar | 9.71 | 1.02 | 7.31 | 23.59 | 50.27 | 2.30 | 2.93 | 12.58 |
| Substrate Number | Mass Fraction (%) | ||||
|---|---|---|---|---|---|
| Zeolite | Biochar | Cement | pH Regulator | Organic Material | |
| 1# | 0 | 0 | 0 | 0 | 7 |
| 2# | 0 | 0 | 3 | 1.5 | 7 |
| 3# | 3 | 0 | 3 | 1.5 | 7 |
| 4# | 6 | 0 | 3 | 1.5 | 7 |
| 5# | 9 | 0 | 3 | 1.5 | 7 |
| 6# | 12 | 0 | 3 | 1.5 | 7 |
| 7# | 0 | 1 | 3 | 1.5 | 7 |
| 8# | 3 | 1 | 3 | 1.5 | 7 |
| 9# | 6 | 1 | 3 | 1.5 | 7 |
| 10# | 9 | 1 | 3 | 1.5 | 7 |
| 11# | 12 | 1 | 3 | 1.5 | 7 |
| 12# | 0 | 3 | 3 | 1.5 | 7 |
| 13# | 3 | 3 | 3 | 1.5 | 7 |
| 14# | 6 | 3 | 3 | 1.5 | 7 |
| 15# | 9 | 3 | 3 | 1.5 | 7 |
| 16# | 12 | 3 | 3 | 1.5 | 7 |
| 17# | 0 | 5 | 3 | 1.5 | 7 |
| 18# | 3 | 5 | 3 | 1.5 | 7 |
| 19# | 6 | 5 | 3 | 1.5 | 7 |
| 20# | 9 | 5 | 3 | 1.5 | 7 |
| 21# | 12 | 5 | 3 | 1.5 | 7 |
| 22# | 0 | 7 | 3 | 1.5 | 7 |
| 23# | 3 | 7 | 3 | 1.5 | 7 |
| 24# | 6 | 7 | 3 | 1.5 | 7 |
| 25# | 9 | 7 | 3 | 1.5 | 7 |
| 26# | 12 | 7 | 3 | 1.5 | 7 |
| Vegetative Index | BC | CL | ||||
|---|---|---|---|---|---|---|
| df | F | p | df | F | p | |
| GP | 4 | 21.976 | <0.001 | 4 | 13.528 | <0.001 |
| GE | 4 | 13.175 | <0.001 | 4 | 6.535 | 0.003 |
| GI | 4 | 3.880 | 0.022 | 4 | 11.666 | <0.001 |
| Plant height | 4 | 13.355 | <0.001 | 4 | 1.468 | 0.258 |
| Coverage rate | 4 | 73.842 | <0.001 | 4 | 4.841 | 0.009 |
| Substrate Number (#) | Coverage Rate (%) | Score (A) | Growth Height (cm) | Score (B) | GP (%) | Score (C) | Comprehensive Score |
|---|---|---|---|---|---|---|---|
| 1 | 94 | 94 | 19 | 81 | 75 | 100 | 92 |
| 2 | 90 | 90 | 21 | 88 | 69 | 92 | 90 |
| 3 | 96 | 96 | 22 | 92 | 66 | 87 | 92 |
| 4 | 100 | 100 | 24 | 100 | 68 | 91 | 97 |
| 5 | 95 | 95 | 23 | 97 | 60 | 79 | 91 |
| 6 | 92 | 92 | 24 | 100 | 57 | 76 | 89 |
| 7 | 94 | 94 | 23 | 97 | 53 | 71 | 88 |
| 8 | 100 | 100 | 23 | 95 | 63 | 84 | 94 |
| 9 | 96 | 96 | 20 | 82 | 60 | 80 | 87 |
| 10 | 93 | 93 | 21 | 86 | 57 | 75 | 86 |
| 11 | 94 | 94 | 20 | 82 | 47 | 62 | 81 |
| 12 | 91 | 91 | 20 | 85 | 62 | 83 | 87 |
| 13 | 92 | 92 | 20 | 82 | 57 | 76 | 84 |
| 14 | 94 | 94 | 19 | 79 | 65 | 86 | 87 |
| 15 | 90 | 90 | 19 | 80 | 53 | 71 | 81 |
| 16 | 88 | 88 | 18 | 76 | 49 | 66 | 78 |
| 17 | 88 | 88 | 19 | 80 | 50 | 67 | 79 |
| 18 | 89 | 89 | 20 | 83 | 54 | 72 | 82 |
| 19 | 90 | 90 | 18 | 74 | 59 | 78 | 82 |
| 20 | 85 | 85 | 18 | 76 | 50 | 67 | 77 |
| 21 | 87 | 87 | 18 | 77 | 46 | 61 | 76 |
| 22 | 73 | 73 | 19 | 80 | 42 | 56 | 70 |
| 23 | 75 | 75 | 20 | 83 | 51 | 67 | 75 |
| 24 | 78 | 78 | 17 | 70 | 54 | 71 | 74 |
| 25 | 79 | 79 | 18 | 73 | 47 | 62 | 72 |
| 26 | 76 | 76 | 18 | 76 | 40 | 53 | 69 |
Disclaimer/Publisher’s Note: The statements, opinions and data contained in all publications are solely those of the individual author(s) and contributor(s) and not of MDPI and/or the editor(s). MDPI and/or the editor(s) disclaim responsibility for any injury to people or property resulting from any ideas, methods, instructions or products referred to in the content. |
© 2024 by the authors. Licensee MDPI, Basel, Switzerland. This article is an open access article distributed under the terms and conditions of the Creative Commons Attribution (CC BY) license (https://creativecommons.org/licenses/by/4.0/).
Share and Cite
Shi, Y.; Zhou, X.; Xiao, H.; Gui, L.; Hu, K.; Liu, Z. Experimental Study of Vegetative Properties in Zeolite–Biochar-Improved Ecological Revetment Substrates. Appl. Sci. 2024, 14, 2957. https://doi.org/10.3390/app14072957
Shi Y, Zhou X, Xiao H, Gui L, Hu K, Liu Z. Experimental Study of Vegetative Properties in Zeolite–Biochar-Improved Ecological Revetment Substrates. Applied Sciences. 2024; 14(7):2957. https://doi.org/10.3390/app14072957
Chicago/Turabian StyleShi, Yunfeng, Xinlong Zhou, Henglin Xiao, Lin Gui, Kaimeng Hu, and Zebang Liu. 2024. "Experimental Study of Vegetative Properties in Zeolite–Biochar-Improved Ecological Revetment Substrates" Applied Sciences 14, no. 7: 2957. https://doi.org/10.3390/app14072957
APA StyleShi, Y., Zhou, X., Xiao, H., Gui, L., Hu, K., & Liu, Z. (2024). Experimental Study of Vegetative Properties in Zeolite–Biochar-Improved Ecological Revetment Substrates. Applied Sciences, 14(7), 2957. https://doi.org/10.3390/app14072957
