Prediction Intervals for Bus Travel Time Based on Road Segment Sharing, Multiple Routes’ Driving Style Similarity, and Bootstrap Method
Abstract
1. Introduction
- We investigated the impact of multiple routes’ driving style similarity on travel time PIs and proposed a new method to predict bus travel time PIs;
- We found that segmenting the predicted route is beneficial for improving the quality of bus travel time PIs;
- Compared to previous studies, the method proposed in this article has been validated for its effectiveness through real-world data, which can further improve the quality of PIs.
2. Related Work
3. Construction of PIs Using the Bootstrap Method
3.1. Mathematical Description of the Problem
3.2. Bootstrap Methodology
4. Proposed Method
4.1. Model Architecture
4.2. Specific Procedures
5. Experiments
5.1. Data Collection
5.2. PI Assessment Indexes
5.3. Results and Analysis
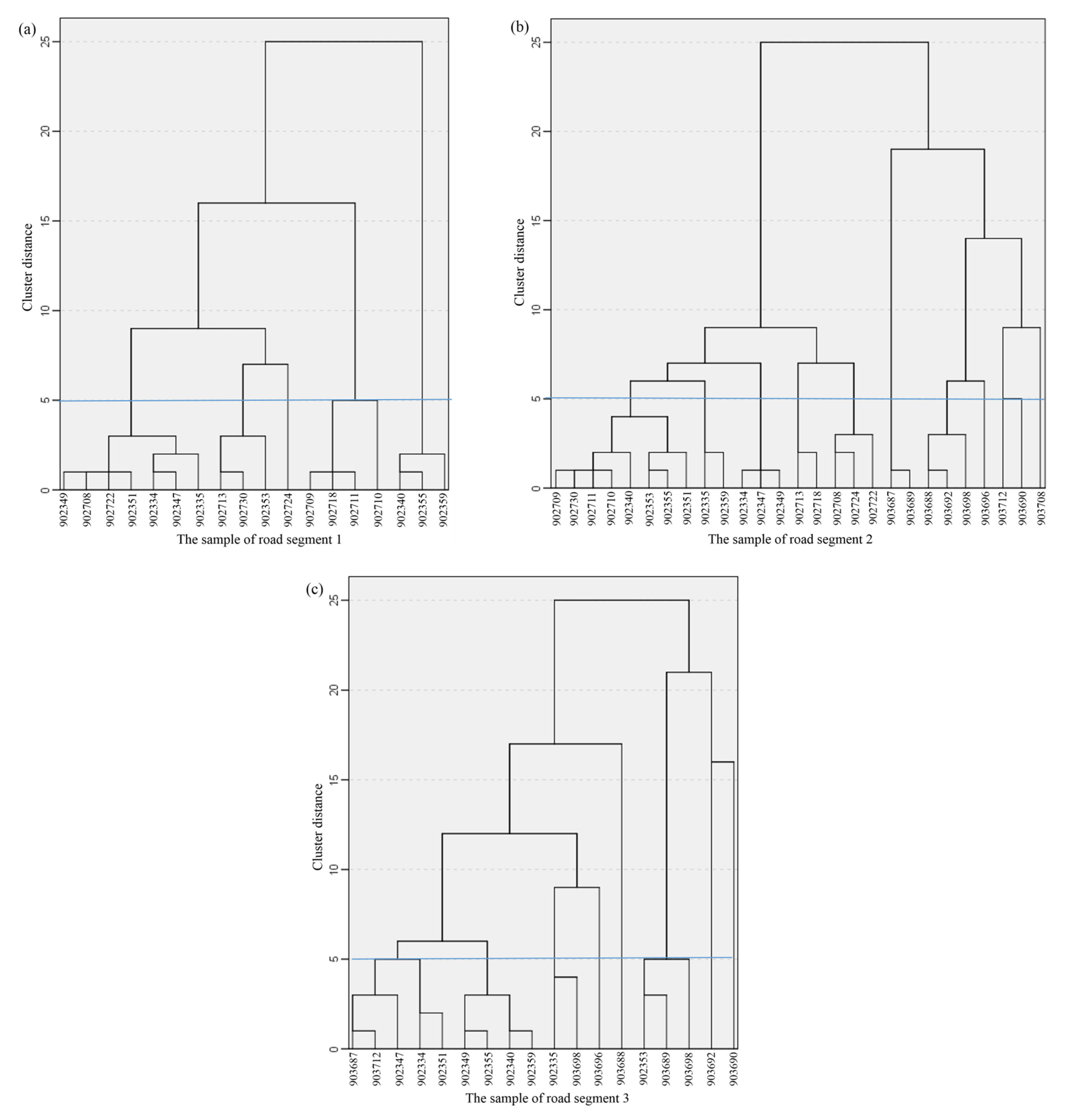
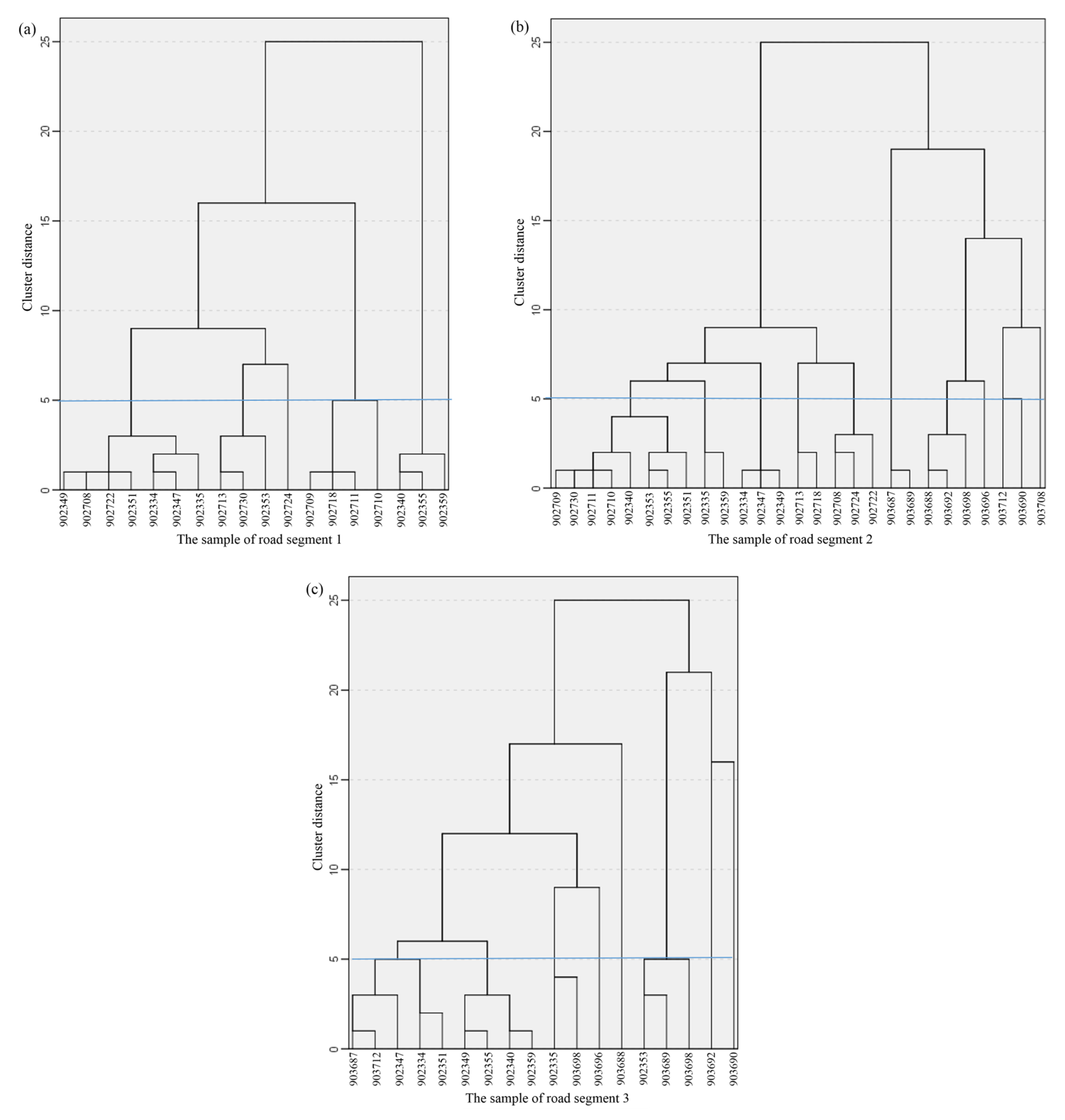
5.3.1. Clustering Results of Driving Styles for Multiple Routes Drivers
5.3.2. Travel Time Interval Prediction Results
6. Conclusions
Author Contributions
Funding
Data Availability Statement
Acknowledgments
Conflicts of Interest
References
- Bhat, C.R.; Sardesai, R. The impact of stop-making and travel time reliability on commute mode choice. Transp. Res. Part B Meth. 2006, 40, 709–730. [Google Scholar] [CrossRef]
- Song, X.; Tian, J.; Tao, P.; Li, H.; Wu, C. Traffic State Estimation of Bus Line with Sparse Sampled Data. IEEE Access 2020, 8, 216127–216140. [Google Scholar] [CrossRef]
- Yu, B.; Lam, W.H.K.; Tam, M.L. Bus arrival time prediction at bus stop with multiple routes. Transp. Res. Part C Emerg. Technol. 2011, 19, 1157–1170. [Google Scholar] [CrossRef]
- He, P.; Jiang, G.; Lam, S.K.; Sun, Y. Learning heterogeneous traffic patterns for travel time prediction of bus journeys. Inf. Sci. 2020, 512, 1394–1406. [Google Scholar] [CrossRef]
- Huang, Y.P.; Chen, C.; Su, Z.C.; Chen, T.S.; Sumalee, A.; Pan, T.L.; Zhong, R.X. Bus arrival time prediction and reliability analysis: An experimental comparison of functional data analysis and Bayesian support vector regression. Appl. Soft Comput. 2021, 111, 107663. [Google Scholar] [CrossRef]
- Yu, B.; Wang, H.; Shan, W.; Yao, B. Prediction of bus travel time using random forests based on near neighbors. Comput. Aided Civ. Infrastruct. Eng. 2017, 33, 333–350. [Google Scholar] [CrossRef]
- Wu, C.-H.; Ho, J.-M.; Lee, D.T. Travel-time prediction with support vector regression. IEEE Trans. Intell. Transp. Syst. 2004, 5, 276–281. [Google Scholar] [CrossRef]
- Yin, Z.; Zhang, B. Construction of Personalized Bus Travel Time Prediction Intervals Based on Hierarchical Clustering and the Bootstrap Method. Electronics 2023, 12, 1917. [Google Scholar] [CrossRef]
- Shalaby, A.; Farhan, A. Bus travel time prediction model for dynamic operations control and passenger information systems. In Proceedings of the 82nd Annual Meeting of the Transportation Research Board, Washington, DC, USA, 12–16 January 2003. [Google Scholar]
- Yin, Z.; Zhang, B. Bus Travel Time Prediction Based on the Similarity in Drivers’ Driving Styles. Future Internet 2023, 15, 222. [Google Scholar] [CrossRef]
- Reddy, K.K.; Kumar, B.A.; Vanajakshi, L. Bus travel time prediction under high variability conditions. Curr. Sci. 2016, 111, 700–711. [Google Scholar] [CrossRef]
- O’Sullivan, A.; Pereira, F.C.; Zhao, J.; Koutsopoulos, H.N. Uncertainty in Bus Arrival Time Predictions: Treating Heteroscedasticity With a Metamodel Approach. IEEE Trans. Intell. Transp. Syst. 2016, 17, 3286–3296. [Google Scholar] [CrossRef]
- Mazloumi, E.; Rose, G.; Currie, G.; Moridpour, S. Prediction intervals to account for uncertainties in neural network predictions: Methodology and application in bus travel time prediction. Eng. Appl. Artif. Intell. 2011, 24, 534–542. [Google Scholar] [CrossRef]
- Khosravi, A.; Mazloumi, E.; Nahavandi, S.; Creighton, D.; Van Lint, J.W.C. A genetic algorithm-based method for improving quality of travel time prediction intervals. Transp. Res. Part C Emerg. Technol. 2011, 19, 1364–1376. [Google Scholar] [CrossRef]
- Khosravi, A.; Mazloumi, E.; Nahavandi, S.; Creighton, D.; Van Lint, J.W.C. Prediction intervals to account for uncertainties in travel time prediction. IEEE Trans. Intell. Transp. Syst. 2011, 12, 537–547. [Google Scholar] [CrossRef]
- Khosravi, A.; Nahavandi, S.; Srinivasan, D.; Khosravi, R. Constructing Optimal Prediction Intervals by Using Neural Networks and Bootstrap Method. IEEE Trans. Neural Netw. Learn. Syst. 2015, 26, 1810–1815. [Google Scholar] [CrossRef] [PubMed]
- Khosravi, A.; Nahavandi, S.; Creighton, D. Quantifying uncertainties of neural network-based electricity price forecasts. Appl. Energy 2013, 112, 120–129. [Google Scholar] [CrossRef]
- Khosravi, A.; Nahavandi, S.; Creighton, D.; Atiya, A.F. Lower upper bound estimation method for construction of neural network-based prediction intervals. IEEE Trans. Neural Netw. 2011, 22, 337–346. [Google Scholar] [CrossRef]
- Efron, B.; Tibshirani, R.J. An Introduction to the Bootstrap; Chapman & Hall: New York, NY, USA, 1993. [Google Scholar]
- Lins, I.D.; Droguett, E.L.; Moura, M.D.C.; Zio, E.; Jacinto, C.M. Computing confidence and prediction intervals of industrial equipment degradation by bootstrapped support vector regression. Reliab. Eng. Syst. Saf. 2015, 137, 120–128. [Google Scholar] [CrossRef]
- Alkilane, K.; Alfateh, M.T.E.; Shen, Y. Travel time prediction based on route links’ similarity. Neural. Comput. Appl. 2023, 35, 3991–4007. [Google Scholar] [CrossRef]
- Bai, C.; Peng, Z.-R.; Lu, Q.-C.; Sun, J. Dynamic Bus Travel Time Prediction Models on Road with Multiple Bus Routes. Comput. Intell. Neurosci. 2015, 2015, 432389. [Google Scholar] [CrossRef] [PubMed]
- Gal, A.; Mandelbaum, A.; Schnitzler, F.; Senderovich, A.; Weidlich, M. Traveling time prediction in scheduled transportation with journey segments. Inf. Syst. 2017, 64, 266–280. [Google Scholar] [CrossRef]
- Jeong, R.; Rilett, L.R. Bus arrival time prediction using artificial neural network model. In Proceedings of the 7th IEEE Intelligent Transportation System Conference, Washington, DC, USA, 3–6 September 2004. [Google Scholar] [CrossRef]
- Patnaik, J.; Chien, S.; Bladikas, A. Estimation of bus arrival times using APC data. J. Public Transp. 2004, 7, 1–20. [Google Scholar] [CrossRef]
- Yu, B.; Yang, Z.Z.; Yao, B.Z. Bus arrival time prediction using support vector machines. J. Intell. Trans. Syst. 2006, 10, 151–158. [Google Scholar] [CrossRef]
- Ma, J.; Chan, J.; Ristanoski, G.; Rajasegarar, S.; Leckie, C. Bus travel time prediction with real-time traffic information. Transp. Res. Part C Emerg. Technol. 2019, 105, 536–549. [Google Scholar] [CrossRef]
- Fan, W.; Gurmu, Z. Dynamic Travel Time Prediction Models for Buses Using Only GPS Data. Int. J. Transp. Sci. Technol. 2015, 4, 353–366. [Google Scholar] [CrossRef]
- Mendes-Moreira, J.; Jorge, A.M.; Freire de Sousa, J.; Soares, C. Improving the accuracy of long-term travel time prediction using heterogeneous ensembles. Neurocomputing 2015, 150, 428–439. [Google Scholar] [CrossRef]
- Shalaby, A.; Farhan, A. Prediction models of bus arrival and departure times using AVL and APC data. J. Public Transp. 2004, 7, 41–61. [Google Scholar] [CrossRef]
- Vanajakshi, L.; Subramanian, S.C.; Sivanandan, R. Travel time prediction under heterogeneous traffic conditions using global positioning system data from buses. IET Intell. Transp. Syst. 2009, 3, 1–9. [Google Scholar] [CrossRef]
- Pang, J.; Huang, J.; Du, Y.; Yu, H.; Huang, Q.; Yin, B. Learning to Predict Bus Arrival Time from Heterogeneous Measurements via Recurrent Neural Network. IEEE Trans. Intell. Transp. Syst. 2019, 20, 3283–3293. [Google Scholar] [CrossRef]
- Petersen, N.C.; Rodrigues, F.; Pereira, F.C. Multi-output bus travel time prediction with convolutional LSTM neural network. Expert Syst. Appl. 2019, 120, 426–435. [Google Scholar] [CrossRef]
- Lee, G.; Choo, S.; Choi, S.; Lee, H. Does the Inclusion of Spatio-Temporal Features Improve Bus Travel Time Predictions? A Deep Learning-Based Modelling Approach. Sustainability 2022, 14, 7431. [Google Scholar] [CrossRef]
- Yu, B.; Ye, T.; Tian, X.-M.; Ning, G.-B.; Zhong, S.-Q. Bus travel- time prediction with a forgetting factor. J. Comput. Civ. Eng. 2014, 28, 06014002. [Google Scholar] [CrossRef]
- Liu, H.; Van Lint, H.; Van Zuylen, H.; Zhang, K. Two distinct ways of using kalman filters to predict urban arterial travel time. In Proceedings of the 2006 IEEE Intelligent Transportation Systems Conference (ITSC), Toronto, ON, Canada, 17–20 September 2006; pp. 845–850. [Google Scholar]
- Van Lint, J.W.C. Incremental and online learning through extended kalman filtering with constraint weights for freeway travel time prediction. In Proceedings of the 2006 IEEE Intelligent Transportation Systems Conference (ITSC), Toronto, ON, Canada, 17–20 September 2006; pp. 1041–1046. [Google Scholar]
- Chen, M.; Liu, X.; Xia, J.; Chien, S.I. A dynamic bus-arrival time prediction model based on APC data. Comput.-Aided Civ. Infrastruct. Eng. 2004, 19, 364–376. [Google Scholar] [CrossRef]
- Yu, B.; Yang, Z.-Z.; Chen, K.; Yu, B. Hybrid model for prediction of bus arrival times at next station. J. Adv. Transp. 2010, 44, 193–204. [Google Scholar] [CrossRef]
- Heskes, T. Practical confidence and prediction intervals. In Proceedings of the Advances in Neural Information Processing Systems, Denver, CO, USA, 2–5 December 1996; MIT Press: Cambridge, MA, USA, 1997; pp. 176–182. [Google Scholar]
- Efron, B. Bootstrap methods: Another look at the jackknife. Ann. Stat. 1979, 7, 1–26. [Google Scholar] [CrossRef]
- Khosravi, A.; Nahavandi, S.; Creighton, D. Construction of optimal prediction intervals for load forecasting problem. IEEE Trans. Power Syst. 2010, 25, 1496–1503. [Google Scholar] [CrossRef]









| Paper | Data Type | Method | Spatial | Temporal | Cluster | Target |
|---|---|---|---|---|---|---|
| [24] | AVL | ANN, LR, HA | 2 routes | 6 months | No | Point Prediction |
| [3] | Surveys data | SVM, ANN, K-NN, LR | 8 routes | 3 days | No | Point Prediction |
| [26] | Unknown | SVM, ANN | 1 route | 1 month | No | Point Prediction |
| [27] | GPS | SVM, ANN, K-NN | 3 routes | 1 month | Yes | Point Prediction |
| [28] | GPS | HA, ANN, KF | 1 route | 6 months | Yes | Point Prediction |
| [6] | GPS | RFNN | 2 routes | 3 days | No | Point Prediction |
| [29] | Unknown | RF, PPR, SVM | 6 routes | 3 months | No | Point Prediction |
| [30] | AVL, APC | KF | 1 route | 5 days | No | Point Prediction |
| [31] | GPS | KF | 1 route | 30 days | No | Point Prediction |
| [38] | APC | ANN + KF | 1 route | 12 months | No | Point Prediction |
| [39] | On-board survey | SVM + KF | 1 route | 1 month | No | Point Prediction |
| [4] | GPS | LSTM | 30 routes | 2 months | Yes | Point Prediction |
| [21] | GPS | CNN | 5 routes | 6 months | Yes | Point Prediction |
| [32] | GPS | RNN | 47 routes | 1 month | No | Point Prediction |
| [33] | GPS | ConvLSTM | 1 route | 5 months | No | Point Prediction |
| [34] | GPS | Geo-convLSTM | 2 routes | 3 months | No | Point Prediction |
| [14] | GPS | Delta | 1 route | 6 months | No | PI Prediction |
| [15] | GPS | Delta, Bayesian | 1 route | 6 months | No | PI Prediction |
| [13] | GPS | Bootstrap + ANN | 1 route | 6 months | No | PI Prediction |
| [8] | GPS | Bootstrap + ANN | 1 route | 1 month | Yes | PI Prediction |
| Ours | GPS | Bootstrap + ANN | 3 routes | 1 month | Yes | PI Prediction |
| No. 239 | No. 134 | New Area Line 1 |
|---|---|---|
| 902334 | 903687 | 902708 |
| 902335 | 903688 | 902709 |
| 902340 | 903689 | 902710 |
| 902347 | 903692 | 902711 |
| 902349 | 903696 | 902713 |
| 902351 | 903698 | 902718 |
| 902353 | 903708 | 902722 |
| 902355 | 903712 | 902724 |
| 902359 | 903690 | 902730 |
| Time Period | 21 January 2016 | 22 January 2016 | ||
|---|---|---|---|---|
| 902335 | 902359 | 902335 | 902359 | |
| 7–9 | 7:23:07 | 7:13:38 | 8:58:02 | 7:05:45 |
| 9–16 | 10:06:04 | 9:57:11 | 11:55:28 | 9:37:12 |
| 14:19:48 | 12:57:05 15:14:05 | 14:38:04 | 12:45:11 15:58:15 | |
| 16–19 | 16:42:22 | 17:36:00 | 17:00:06 | |
| Case Study | Model | PICP (%) | MPIW | NMPIW (%) | CWC | |
|---|---|---|---|---|---|---|
| 902335 | 7:00–9:00 | PIP | 88.89 | 334.46 | 63.03 | 160.73 |
| PIHC | 88.89 | 368.25 | 53.97 | 137.62 | ||
| PIMHC | 100.00 | 267.21 | 35.53 | 35.53 | ||
| 9:00–16:00 | PIP | 94.44 | 334.19 | 72.05 | 72.05 | |
| PIHC | 91.67 | 305.62 | 50.61 | 50.61 | ||
| PIMHC | 91.67 | 153.9 | 33.18 | 33.18 | ||
| 16:00–19:00 | PIP | 94.44 | 325.36 | 71.73 | 71.73 | |
| PIHC | 83.33 | 262.44 | 54.12 | 1320.4 | ||
| PIMHC | 88.89 | 228.57 | 43.04 | 109.75 | ||
| 902359 | 7:00–9:00 | PIP | 94.44 | 395.85 | 64.51 | 64.51 |
| PIHC | 100.00 | 375.27 | 58.4 | 58.4 | ||
| PIMHC | 100.00 | 248.69 | 32.98 | 32.98 | ||
| 9:00–16:00 | PIP | 100.00 | 336.43 | 57.31 | 57.31 | |
| PIHC | 100.00 | 305.5 | 47.32 | 47.32 | ||
| PIMHC | 96.3 | 178.03 | 25.66 | 25.66 | ||
| 16:00–19:00 | PIP | 100.00 | 281.1 | 67.91 | 67.91 | |
| PIHC | 100.00 | 246.89 | 55.32 | 55.32 | ||
| PIMHC | 100.00 | 229.83 | 42.5 | 42.5 | ||
Disclaimer/Publisher’s Note: The statements, opinions and data contained in all publications are solely those of the individual author(s) and contributor(s) and not of MDPI and/or the editor(s). MDPI and/or the editor(s) disclaim responsibility for any injury to people or property resulting from any ideas, methods, instructions or products referred to in the content. |
© 2024 by the authors. Licensee MDPI, Basel, Switzerland. This article is an open access article distributed under the terms and conditions of the Creative Commons Attribution (CC BY) license (https://creativecommons.org/licenses/by/4.0/).
Share and Cite
Yin, Z.; Wang, B.; Zhang, B.; Shen, X. Prediction Intervals for Bus Travel Time Based on Road Segment Sharing, Multiple Routes’ Driving Style Similarity, and Bootstrap Method. Appl. Sci. 2024, 14, 2935. https://doi.org/10.3390/app14072935
Yin Z, Wang B, Zhang B, Shen X. Prediction Intervals for Bus Travel Time Based on Road Segment Sharing, Multiple Routes’ Driving Style Similarity, and Bootstrap Method. Applied Sciences. 2024; 14(7):2935. https://doi.org/10.3390/app14072935
Chicago/Turabian StyleYin, Zhenzhong, Bin Wang, Bin Zhang, and Xinpu Shen. 2024. "Prediction Intervals for Bus Travel Time Based on Road Segment Sharing, Multiple Routes’ Driving Style Similarity, and Bootstrap Method" Applied Sciences 14, no. 7: 2935. https://doi.org/10.3390/app14072935
APA StyleYin, Z., Wang, B., Zhang, B., & Shen, X. (2024). Prediction Intervals for Bus Travel Time Based on Road Segment Sharing, Multiple Routes’ Driving Style Similarity, and Bootstrap Method. Applied Sciences, 14(7), 2935. https://doi.org/10.3390/app14072935

