An Artificial Intelligence (AI) Framework to Predict Operational Excellence: UAE Case Study
Abstract
1. Introduction
Theoretical Background
2. Materials and Methods
2.1. EFQM Overview
- The EFQM framework is made up of the following main principles, as described in [29];
- Result orientation;
- Customer orientation;
- Leadership and consistency of objectives;
- Management by processes and facts;
- Development and involvement of people;
- Development of partnerships;
- Social responsibility of the organizations.
2.2. AI Overview
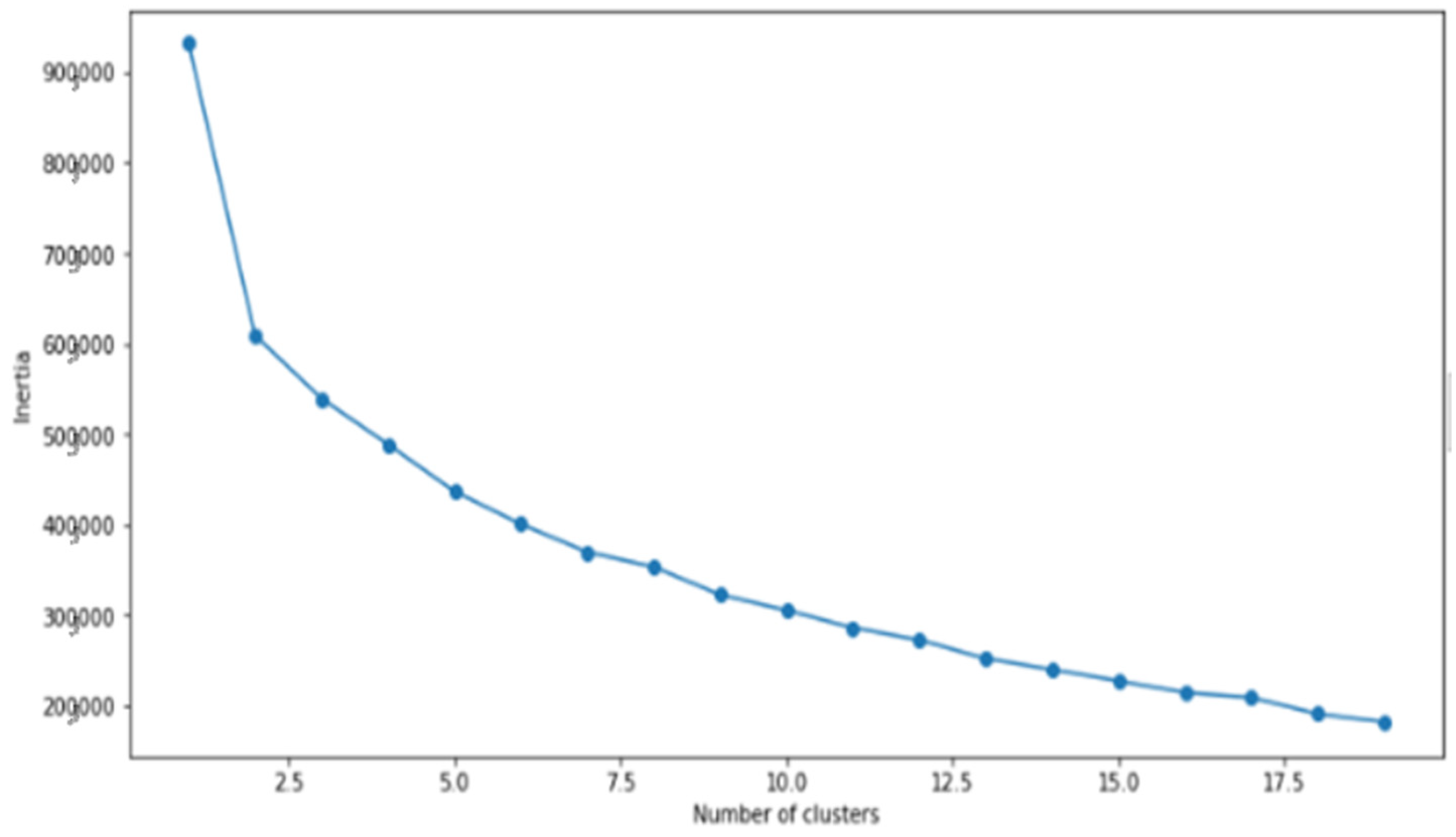
ARI = (new EFQM) = 0.62 K = 3
2.3. ISO/IEC 23053 Overview

- Enriches the knowledge body by injecting AI into a business excellence model (EFQM);
- Enhances operational excellence;
- Can be applied to any sector worldwide;
- Saves time and money before applying for the EFQM excellence award.
2.4. Research Methodology
2.5. The Integrated AI Framework
3. Results and Discussions
3.1. Old EFQM Model Results
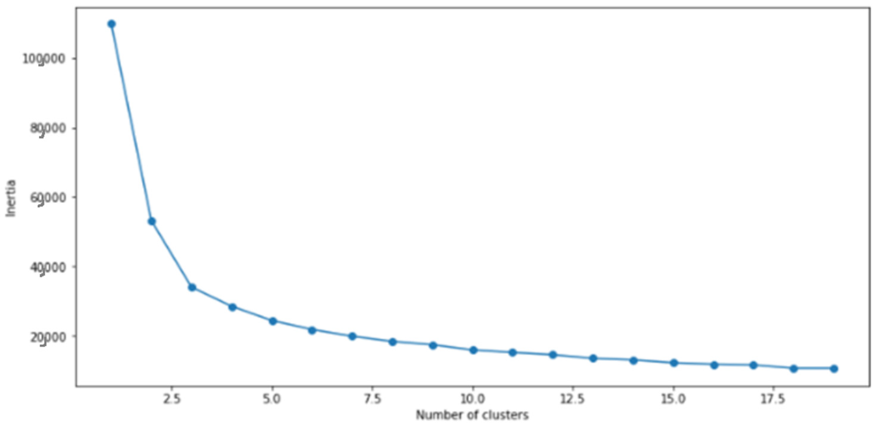
3.2. New EFQM Model Results
ARI (new EFQM) = 0.41 for K = 3.
4. Conclusions
Author Contributions
Funding
Institutional Review Board Statement
Informed Consent Statement
Data Availability Statement
Acknowledgments
Conflicts of Interest
References
- Miller, J.; Parast, M.M. Learning by applying: The case of the Malcolm Baldrige national quality award. IEEE Trans. Eng. Manag. 2018, 66, 337–353. [Google Scholar] [CrossRef]
- Sila, I. Investigating changes in TQM’s effects on corporate social performance and financial performance over time. Total Qual. Manag. Bus. Excell. 2020, 31, 210–229. [Google Scholar] [CrossRef]
- Liu, H.C.; Liu, R.; Gu, X.; Yang, M. From total quality management to Quality 4.0: A systematic literature review and future research agenda. Front. Eng. Manag. 2023, 10, 191–205. [Google Scholar] [CrossRef]
- Nenadál, J. The New EFQM Model: What is Really New and Could Be Considered as a suitable tool with respect to Quality 4.0 concept? Qual. Innov. Prosper. 2020, 24, 17–28. [Google Scholar] [CrossRef]
- ISO/IEC JTC 1/SC 42; Artificial Intelligence. ISO: Geneva, Switzerland, 2017.
- Ghufli, A.A. Implementation of Business Excellence Model: A Case Study of UAE Public Sector Organization. Ph.D. Thesis, Faculty of Humanities, University of Manchester, Manchester, UK, 2012. [Google Scholar]
- Metaxas, I.N.; Koulouriotis, D.E. Business excellence measurement: A literature analysis (1990–2016). Total Qual. Manag. Bus. Excell. 2019, 30, 1189–1218. [Google Scholar] [CrossRef]
- Sadeh, E.; Arumugam, V.C.; Malarvizhi, C.A. Integration of EFQM framework and quality information systems. Total Qual. Manag. Bus. Excell. 2013, 24, 188–209. [Google Scholar] [CrossRef]
- Goonan, K.J.; Stoltz, P.K. Leadership and management principles for outcomes-oriented organizations. Med. Care Supply 2004, 42, 31–38. [Google Scholar] [CrossRef] [PubMed]
- Quintero-Garzón, M.L.; Carrión-García, A.; Jordá-Rodríguez, M.A.; Rodríguez-Córdoba, M. Corporate social responsibility and the EFQM excellence model as a framework for integration of management systems in organizations. Ing. Compet. 2015, 17, 9–22. [Google Scholar]
- Laurett, R.; Mendes, L. EFQM model’s application in the context of higher education: A systematic review of the literature and agenda for future research. Int. J. Qual. Reliab. Manag. 2019, 36, 257–285. [Google Scholar] [CrossRef]
- Arezki, S.; Elhissi, Y. Toward an IT Governance Maturity Self-assessment model using EFQM and COBIT. In Proceedings of the International Conference on Geo informatics and Data Analysis—ICGDA ’18, Prague, Czech Republic, 20 April 2018. [Google Scholar]
- Pimentel, L.; Ramos Pires, A. The impact of EFQM awards on organizational management. In Proceedings of the 20th Excellence in Services University of Verona International Conference, Verona, Italy, 7–8 September 2017. [Google Scholar]
- Rosak-Szyrocka, J.; Roszak, M. The role of the EFQM model in precepting quality in Polish enterprises. Multidiscip. Asp. Prod. Eng. MAPE 2019, 2, 399–406. [Google Scholar] [CrossRef]
- Minkman, M.; Ahaus, K.; Huijsman, R. Performance improvement based on integrated quality management models: What evidence do we have? A systematic literature review. Int. J. Qual. Health Care 2007, 19, 90–104. [Google Scholar] [CrossRef]
- Jaeger, A.; Matyas, K. Transformation of the EFQM approach from business towards operations excellence. Prod. Eng. 2016, 10, 277–291. [Google Scholar] [CrossRef]
- Keshtegar, A.; Ghasemi, M.; Hosseini, A.; Ahang, A.F.; Ghaffari, H. The impact of business intelligence on enablers of EFQM excellence model with mediating role of knowledge sharing ARTICLE INFO 48. Int. J. Hum. Cap. Urban Manag. 2021, 6, 173–184. [Google Scholar] [CrossRef]
- Ahire, S.L.; Landeros, R.; Golhar, D.Y. Total quality management: A literature review and an agenda for future research. Prod. Oper. Manag. 1995, 4, 277–306. [Google Scholar] [CrossRef]
- Kiraz, A.; Açikgöz, N. A fuzzy-logic-based approach to the EFQM model for performance enhancement. Sādhanā 2021, 46, 43. [Google Scholar] [CrossRef]
- Asif, M.; Searcy, C.; Garvare, R.; Ahmad, N. Including sustainability in business excellence models. Total Qual. Manag. Bus. Excell. 2011, 22, 773–786. [Google Scholar] [CrossRef]
- Lee, S.; Choi, K.S.; Kang, H.Y.; Cho, W.; Chae, Y.M. Assessing the factors influencing continuous quality improvement implementation: Experience in Korean hospitals. Int. J. Qual. Health Care 2002, 14, 383–391. [Google Scholar] [CrossRef][Green Version]
- Wahyudi, R.E.; Permanasari, V.Y. Analysis of the quality of nursing services according to hospital accreditation 2012 Version, Reviewed from Baldrige Malcolm Criteria in PasarMinggu Jakarta Selatan Hospital in 2017. KnE Life Sci. 2017, 4, 232. [Google Scholar] [CrossRef]
- Hong, S.J.; Choi, D.; Chae, J. Exploring different airport users’ service quality satisfaction between service providers and air travelers. J. Retail. Consum. Serv. 2020, 52, 101917. [Google Scholar] [CrossRef]
- Brueckner, J.K.; Flores-Fillol, R. Market structure and quality determination for complementary products: Alliances and service quality in the airline industry. Int. J. Ind. Organ. 2020, 68, 102557. [Google Scholar] [CrossRef]
- Titu, A.M.; Stanciu, A.; Tarnu, L. Improving the quality of the decision-making process for management and implementation of shared artificial intelligence platforms. In Proceedings of the International Management Conference, Faculty of Management, Academy of Economic Studies, Bucharest, Romania, 5–6 November 2020. [Google Scholar]
- Mejbel, M.K.; Abdullah, S.A.; Hussein, I.A. Evaluating the performance of people in the central bank of Iraq (Cbi) According to the European excellence model. Int.J. Prof. Bus. Rev. 2023, 8, 1. [Google Scholar]
- Bag, S.; Pretorius, J.H.C.; Gupta, S.; Dwivedi, Y.K. Role of institutional pressures and resources in the adoption of big data analytics powered artificial intelligence, sustainable manufacturing practices and circular economy capabilities. Technol. Forecast. Soc. Change 2021, 163, 120420. [Google Scholar] [CrossRef]
- Hıdıroğlu, D. Self-assessment performance measurement in construction Companies: An Application of the EFQM Excellence Model on Processes and Customer stages. Procedia Comput. Sci. 2019, 158, 844–851. [Google Scholar] [CrossRef]
- Suárez, E.; Calvo-Mora, A.; Roldán, J.L.; Periáñez-Cristóbal, R. Quantitative research on the EFQM excellence model: A systematic literature review (1991–2015). Eur. Res. Manag. Bus. Econ. 2017, 23, 147–156. [Google Scholar] [CrossRef]
- Nassif, A.B.; Shahin, I.; Attili, I.; Azzeh, M.; Shaalan, K. Speech recognition using deep neural networks: A systematic review. IEEE Access 2019, 7, 19143–19165. [Google Scholar] [CrossRef]
- Soliman, G.M.; Abou-El-Enien, T.H. Terrorism Prediction Using Artificial Neural Network. Rev. Intell. Artif. 2019, 33, 81–87. [Google Scholar] [CrossRef]
- Cruz, J.A.; Wishart, D.S. Applications of machine learning in cancer prediction and prognosis. Cancer Inform. 2006, 2, 117693510600200030. [Google Scholar] [CrossRef]
- Bunker, R.P.; Thabtah, F. A machine learning framework for sport result prediction. Appl. Comput. Inform. 2019, 15, 27–33. [Google Scholar] [CrossRef]
- Franc, V.; Hlavac, V. Multi-class support vector machine. In Proceedings of the 2002 International Conference on Pattern Recognition, Quebec City, QC, Canada, 11 August 2002. [Google Scholar] [CrossRef]
- Zhang, Q.; Yang, L.T.; Chen, Z.; Li, P. A survey on deep learning for big data. Inf. Fusion 2018, 42, 146–157. [Google Scholar] [CrossRef]
- Griner, T.E.; Thompson, M.; High, H.; Buckles, J. Artificial intelligence forecasting census and supporting early decision. Nurs. Adm. Q. 2020, 44, 316–328. [Google Scholar] [CrossRef]
- Lee, C.; Kim, H.; Lee, S. Analysis of safety considerations for application of artificial intelligence in marine software systems. J. Korean Soc. Navig. Port Stud. 2022, 46, 269–279. [Google Scholar]
- Abedelgadir, M.I.O.; Mohammad, R. Operational excellence and performance measurement tool for organization self-assessment in the Sudanese aviation industry. J. Adv. Res. Bus. Manag. Stud. 2023, 30, 34–44. [Google Scholar] [CrossRef]
- Rizvi, A.T.; Haleem, A.; Bahl, S.; Javaid, M. Artificial intelligence (AI) and its applications in Indian manufacturing: A review. In Current Advances in Mechanical Engineering: Select Proceedings of ICRAMERD 2020; Springer: Berlin/Heidelberg, Germany, 2021. [Google Scholar]
- Cortes, L.L.; Silva, C.F. Artificial intelligence models for crime prediction in urban spaces. Mach. Learn. Appl. Int. J. 2021, 8, 1. [Google Scholar] [CrossRef]
- Arpaci, I.; Huang, S.; Al-Emran, M.; Al-Kabi, M.N.; Peng, M. Predicting the COVID-19 infection with fourteen clinical features using machine learning classification algorithms. Multimed. Tools Appl. 2021, 80, 11943–11957. [Google Scholar] [CrossRef]
- Mukherjee, A.; Pal, A.; Misra, P. Data analytics in ubiquitous sensor- based health information systems. In Proceedings of the 6th International Conference Next Generation Mobile Application Services Technology (NGMAST), Paris, France, 12 September 2012. [Google Scholar] [CrossRef]
- Huang, M.H.; Rust, R.T. A strategic framework for artificial intelligence in marketing. J. Acad. Mark. Sci. 2021, 49, 30–50. [Google Scholar] [CrossRef]
- Meng, S.; Zhang, X.; Xu, M.; Pignatari, M.; Gallino, R.; Heil, M. IOP Conference Series: Materials Science and Engineering. In Proceedings of the 3rd International Conference on Automation, Control and Robotics Engineering (CACRE 2018), Chengdu, China, 19–22 July 2018. [Google Scholar]
- Thirumalai, C.; Duba, A.; Reddy, R. Decision making system using machine learning and Pearson for heart attack. In Proceedings of the 2017 International conference of Electronics, Communication and Aerospace Technology (ICECA), Coimbatore, India, 20–22 April 2017; IEEE: New York, NY, USA, 2017. [Google Scholar]
- Masum, A.K.M.; Beh, L.S.; Azad, M.A.K.; Hoque, K. Intelligent human resource information system (i-HRIS): A holistic decision support framework for HR excellence. Int. Arab J. Inf. Technol. 2018, 15, 121–130. [Google Scholar]
- Schlesinger, M.I.; Hlavác, V. Supervised and unsupervised learning. In Ten Lectures on Statistical and Structural Pattern Recognition; Springer: Berlin/Heidelberg, Germany, 2013. [Google Scholar]
- Rojas, R. Unsupervised learning and clustering algorithms. In Neural Networks; Springer: Berlin/Heidelberg, Germany, 1996; pp. 99–121. [Google Scholar]
- Sharma, P. The Most Comprehensive Guide to K-Means Clustering You’ll Ever Need. 2019. Available online: https://www.analyticsvidhya.com/blog/2019/08/comprehensive-guide-k-means-clustering (accessed on 20 February 2024).
- Zhang, Y.; Weng, Y.; Lund, J. Applications of explainable artificial intelligence in diagnosis and surgery. Diagnostics 2022, 12, 237. [Google Scholar] [CrossRef]
- Thurzo, A.; Strunga, M.; Urban, R.; Surovková, J.; Afrashtehfar, K.I. Impact of artificial intelligence on dental education: A review and guide for curriculum update. Educ. Sci. 2023, 13, 150. [Google Scholar] [CrossRef]
- ISO/IEC 22989:2022(E); Information Technology—Artificial Intelligence—Artificial Intelligence Concepts and Terminology. ISO Standards: Geneva, Switzerland, 2022.
- Stark, L.; Greene, D.; Hoffmann, A.L. Critical perspectives on governance mechanisms for AI/ML systems. In The Cultural Life of Machine Learning: An Incursion into Critical AI Studies; Palgrave Macmillan: London, UK, 2021; pp. 257–280. [Google Scholar]
- Trenta, F.; Battiato, S.; Ravì, D. An Explainable Medical Imaging Framework for Modality Classifications Trained Using Small Datasets. In Proceedings of the International Conference on Image Analysis and Processing; Springer International Publishing: Berlin/Heidelberg, Germany, 2022. [Google Scholar]
- Bertassi, E. Considerations on Predictive Policing Software. Bulletin-Volume 2018, 3, 11. [Google Scholar]
- Schwalbe, N.; Wahl, B. Artificial intelligence and the future of global health. Lancet 2020, 395, 1579–1586. [Google Scholar] [CrossRef] [PubMed]
- Gao, N.; Liu, Y.; Mai, Y. WITHDRAWN: Manufacturing service innovation platform based on 5G network and machine learning. Microprocess. Microsyst. 2020, 103448. [Google Scholar] [CrossRef]
- Liu, L.T.; Wang, S.; Britton, T.; Abebe, R. Reimagining the machine learning life cycle to improve educational outcomes of students. Proc. Natl. Acad. Sci. USA 2023, 120, e2204781120. [Google Scholar] [CrossRef]
- ISO 24028; Information Technology—Artificial Intelligence—Overview of Trustworthiness in Artificial Intelligence. ISO: Geneva, Switzerland, 2020.
- Fonseca, L. Relationship between ISO 9001 certification maturity and EFQM business excellence model results. Qual. Innov. Prosper. 2015, 19, 85–102. [Google Scholar] [CrossRef]
- Dirican, C. The impacts of robotics artificial intelligence on business and economics. Procedia—Soc. Sci. Behav. 2015, 195, 564–573. [Google Scholar] [CrossRef]
- Wieringa, R.J. Design Science Methodology for Information Systems and Software Engineering; Springer: Berlin/Heidelberg, Germany, 2014. [Google Scholar]
- Wieringa, R. Relevance and problem choice in design science. In Proceedings of the International Conference on Design Science Research in Information Systems, St. Gallen, Switzerland, 4–5 June 2010; Springer: Berlin/Heidelberg, Germany, 2010. [Google Scholar]
- Zhao, W. Improving social responsibility of artificial intelligence by Using ISO 26000. IOP Conf. Ser. Mater. Sci. Eng. 2018, 428, 012049. [Google Scholar] [CrossRef]
- Zhao, W. Artificial Intelligence and ISO 26000 (Guidance on Social Responsibility). In AI and Learning Systems-Industrial Applications and Future Directions; IntechOpen: London, UK, 2021. [Google Scholar]
- Tidjon, N.L.; Khomh, F. Never trust, always verify: A roadmap for Trustworthy AI? arXiv 2022, arXiv:2206.11981. [Google Scholar]




























| Name of Paper | Country/Year | Author/Publisher | General Description | Applied Area/Field | Strengths of Applied Technique/Method | Challenges/Limitations |
|---|---|---|---|---|---|---|
| 1—Artificial Intelligence (AI) and Its Applications in Indian Manufacturing: A Review | India, 2021 | (Rizvi A. et al., 2021), Springer [39] | AI integrated into manufacturing firms in India | Manufacturing | Improve quality and reduce errors | High installation cost and maintenance |
| 2—A strategic framework for artificial intelligence in marketing. | Taiwan, USA, 2020 | (Huang M., and Rust R., 2020), Springer [43] | Injecting AI techniques into strategic marketing planning | Marketing | Enhance strategic marketing process | Biased, less human intervention |
| 3—Artificial Intelligence Forecasting Census and Supporting Early Decisions. | USA, 2020 | (Griner T. et al., 2020), Wolters Kluwer Health [36] | Alex is an AI technique that helps nurses for occupancy prediction and decision making | Healthcare, nursing | Enhance operational excellence and safety | N/A |
| 4—Predicting the COVID-19 infection with fourteen clinical features using machine learning classification algorithms | China, 2021 | (Arpaci I., Huang S., Al-Emran M., Al-Kabi M, 2021) Springer [41] | AI model is used to predict COVID-19 from 14 criteria with limited testing resources | Medicine, Healthcare | Can predict COVID-19 cases ahead of time when RT-PCT kits are limited | Low sample size. No data about COVID-19 symptoms in predicting the infection |
| AI Model | Decision Tree | Linear Regression | Gradient Boosting Regression | Random Forest | Support Vector Machine | K-Means Clustering |
|---|---|---|---|---|---|---|
| Output Accuracy | 60.96% | 68.54% | 70.37% | 63.3% | 3.64% | 86.73% |
| Hyperparameters | Default Random_state = 0 Max_depth = 2 | Default. Alpha, learning rate= 0.1, max_depth = 3 | Default Random_state = 0 Max_depth = 3 Max leaf node = 0 Learning rate = 0.1 | Default Random_state = 0 Max_depth =2 | c = 1.0 Epsilon =0.2 | k = 2 |
| AI Model | Decision Tree | Linear Regression | Gradient Boosting Regression | Random Forest | Support Vector Machine | K-Means Clustering |
|---|---|---|---|---|---|---|
| Output Accuracy | 57.20% | 58.54% | 60.34% | 53.2% | 13.65% | 59.13% |
| Hyperparameters | Default Random_state = 0 Max_depth = 2 | Default Learning rate = 0.1, alpha, max_depth = 3 | Default Random_state = 0 Max_depth = 3 Max leaf node = 0 Learning rate = 0.1 | Default Random_state = 0 Max_depth = 2 | c = 1.0 Epsilon =0.2 | k = 2 |
Disclaimer/Publisher’s Note: The statements, opinions and data contained in all publications are solely those of the individual author(s) and contributor(s) and not of MDPI and/or the editor(s). MDPI and/or the editor(s) disclaim responsibility for any injury to people or property resulting from any ideas, methods, instructions or products referred to in the content. |
© 2024 by the authors. Licensee MDPI, Basel, Switzerland. This article is an open access article distributed under the terms and conditions of the Creative Commons Attribution (CC BY) license (https://creativecommons.org/licenses/by/4.0/).
Share and Cite
Hassan, R.R.; Abu Talib, M.; Dweiri, F.; Roman, J. An Artificial Intelligence (AI) Framework to Predict Operational Excellence: UAE Case Study. Appl. Sci. 2024, 14, 2569. https://doi.org/10.3390/app14062569
Hassan RR, Abu Talib M, Dweiri F, Roman J. An Artificial Intelligence (AI) Framework to Predict Operational Excellence: UAE Case Study. Applied Sciences. 2024; 14(6):2569. https://doi.org/10.3390/app14062569
Chicago/Turabian StyleHassan, Rola R., Manar Abu Talib, Fikri Dweiri, and Jorge Roman. 2024. "An Artificial Intelligence (AI) Framework to Predict Operational Excellence: UAE Case Study" Applied Sciences 14, no. 6: 2569. https://doi.org/10.3390/app14062569
APA StyleHassan, R. R., Abu Talib, M., Dweiri, F., & Roman, J. (2024). An Artificial Intelligence (AI) Framework to Predict Operational Excellence: UAE Case Study. Applied Sciences, 14(6), 2569. https://doi.org/10.3390/app14062569

