An Experimental Study and Numerical Simulation Analysis of Thermal Oxidation Characteristics Based on Kinetic Parameters in Heavy Oil Reservoirs
Abstract
1. Introduction
2. Materials and Experiments
2.1. Materials
2.1.1. Oils
- (1)
- Take a certain amount of crude oil sample, dissolve it in chloroform, and prepare a solution with a concentration of 10–20 mg/mL.
- (2)
- Place the chromatography stick on the spotting plate. Using a micro-syringe (Shandong Runyang Instrument Company, Sheng, China), extract 1 μL of the sample solution and spot it at the end of the thin-layer chromatography stick in five separate rounds. Place the chromatography stick in a humidity chamber (saturated NaOH solution) and keep it for 10 min until the solvent evaporates.
- (3)
- Place the chromatography stick into the first chromatography jar (n-heptane). Wait for the solvent to migrate 8 cm on the chromatography stick and then remove the stick and place it in a humidity chamber. Allow it to stand for 10 min to allow the eluent to evaporate.
- (4)
- Place the chromatography stick into the second chromatography jar (n-heptane mixed with dichloromethane in a volume ratio of 1:1). Wait for the solvent to migrate 5 cm on the chromatography stick and then remove the stick and place it in a humidity chamber. Allow it to stand for 10 min to allow the eluent to evaporate.
- (5)
- Place the chromatography stick into the third chromatography jar (n-heptane mixed with isopentanol in a volume ratio of 9:1). Wait for the solvent to migrate 2.5 cm on the chromatography stick and then remove the stick and let it stand for 2 min to allow the eluent to evaporate.
- (6)
- Place the chromatography stick with separated samples into a hydrogen flame ionization scanner for scanning to obtain the chromatogram of the oil sample components.
2.1.2. Other Materials
2.2. Experiment 1: RTO Experiments
2.2.1. Equipment
2.2.2. Procedures
- (1)
- Mix dehydrated crude oil with silicon dioxide at a mass ratio of 3% crude oil to 97% silicon dioxide to prepare the experimental oil sand.
- (2)
- Weigh approximately 4.0 g of oil sand and place it at the central position of the reaction tube. Fill the remaining space with densely packed pure silica. Connect the necessary thermocouples.
- (3)
- Add insulation to the reaction tube filled with oil sand and place it in the heating furnace. Connect the injection and output pipelines, gas analyzer, and experimental circuit.
- (4)
- Set the experimental pressures to 1.0, 3.0, and 5.0 MPa; the heating rate to 5.0 K/min; and the air injection rate to 400 mL/min. Use two injection channels during the experiment, with nitrogen as the protective gas and air as the reaction gas entering the reaction tube and reacting with the sample.
- (5)
- Start the experiment and record the changes in O2, CO2, and CO component concentrations.
- (6)
- End the experiment when the temperature in the RTO experiment reaches 550 °C.
2.3. Experiment 2: PDSC Experiments
2.3.1. Equipment
2.3.2. Procedures
- (1)
- Mix dehydrated crude oil with silicon dioxide at a mass ratio of 10% crude oil to 90% silicon dioxide to prepare experimental oil sand. Weigh approximately 30.0 mg for each experiment and place it in a crucible.
- (2)
- Start the DSC power supply. After the instrument is fully started, open the pressure chamber cover, place the sample crucible in the reaction chamber, and cover it successively.
- (3)
- Set the experimental pressure to 1.0, 3.0, and 5.0 MPa; the heating rate to 10.0 K/min; and the airflow rate to 50 mL/min. During the experiment, divide nitrogen and air into two injection channels, with nitrogen as the protective gas and air as the reaction gas entering the reaction chamber and reacting with the sample on the crucible surface.
- (4)
- End the experiment when the temperature in the DSC experiment reaches 550 °C.
2.4. Experiment 3: TGA Experiments
2.4.1. Equipment
2.4.2. Procedures
- (1)
- Mix dehydrated crude oil with silicon dioxide at a mass ratio of 10% crude oil to 90% silicon dioxide to prepare experimental oil sand. Weigh approximately 50.0 mg for each experiment and place it in a crucible.
- (2)
- Open the nitrogen chamber, adjust the pressure to 0.1 MPa, and continuously inject nitrogen as a protective gas to maintain atmospheric pressure.
- (3)
- Start the TGA power supply. After the instrument is fully started, open the pressure chamber cover, place the sample crucible on the balance in the reaction chamber, and then cover it successively.
- (4)
- Set the experimental heating rates to 3.0, 5.0, and 7.0K/min. End the experiment when the temperature in the TGA experiment rises from room temperature (25 °C) to 650 °C.
3. Results and Discussion
3.1. Experiment 1: The Thermal Reaction Process
- ①
- Heavy oil cracking: 16 heavy oil → 29 light oil + 296 coke;
- ②
- Heavy oil burning: 3 heavy oil + O2 → 5 light oil + 8 H2O + 6 CO2 + 3 CO + 50 coke;
- ③
- Light oil burning: 1 light oil + 13 O2 → 6 CO2 + 2 CO + 12 H2O;
- ④
- Coke oil burning: 6 coke + 8 O2 → 4 CO2 + 2 CO + 3 H2O.
- (1)
- Low-temperature oxidation (LTO) stage: In this stage, the dominant reaction in the oxidation process is light oil burning. The light components in crude oil undergo intense oxidation reactions, and hydrocarbons undergo oxygenation reactions, leading to the formation of alcohols, aldehydes, ketones, esters, etc. This is typically accompanied by the formation and breaking of carbon–oxygen and carbon–hydrogen bonds. Due to the higher content of light components in the M oil sample, the reaction intensity of the M oil sample was higher than that of the G oil sample in this stage. As the temperature increased, the oxidation reaction rate gradually decreased, laying the foundation for the subsequent stages.
- (2)
- Fuel deposition (FD) stage: In this stage, the dominant reaction is heavy oil burning, accompanied by heavy oil cracking. The consumption of O2 slows down. This stage is characterized by the oxidative cracking of heavy oil, leading to the formation of coke and light hydrocarbons as fuels for the HTO phase. Typically, carbon–carbon and carbon–hydrogen bonds break, resulting in the formation of radicals and carbon–carbon double bonds. This stage provides the basis for high-temperature oxidation.
- (3)
- High-temperature oxidation (HTO) stage: In this stage, the dominant reaction is coke oil burning, accompanied by heavy oil cracking. As crude oil undergoes thermal cracking, coke and light hydrocarbons are formed as fuels for combustion, leading to a significant high-temperature oxidation reaction. This process involves the breaking of carbon–carbon and carbon–hydrogen bonds, as well as the formation of carbon–oxygen and hydrogen–oxygen bonds. Due to the higher content of heavy components in the G oil sample, the reaction intensity of the G oil sample was higher than that of the M oil sample, which had components closer to light oil in this stage.
3.2. Experiment 2: The Heat-Flow Process
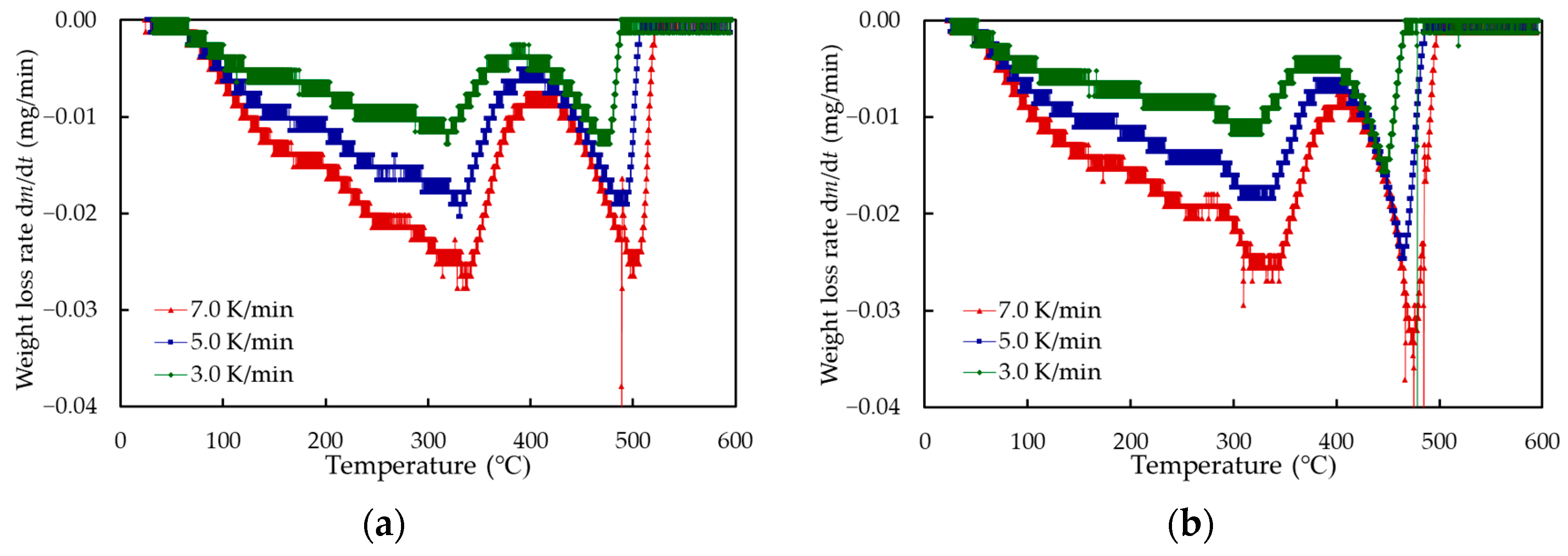
3.3. Experiment 3: The Weight Loss Process and Dynamic Parameter Analysis
3.4. Determination of Kinetic Parameters
4. Simulations
4.1. Model
4.2. The Impact of Activation Energies
4.3. The Impact of Pre-Exponential Factors
5. Conclusions
- (1)
- The RTO and PDSC experiments indicated that, with an increase in pressure, the contact area between oxygen and crude oil expanded, intensifying and accelerating the oxidation process of crude oil. The oxidation process of the two heavy oil samples was divided into three stages, LTO, FD, and HTO, with descriptions of the reactions occurring in each stage.
- (2)
- The TGA experiments revealed that, with an increase in the heating rate, the overall oxidation rate of oil sands increased. The peak regions of both LTO and HTO reactions widened, and the corresponding temperatures shifted to the right. Using the Flynn–Wall–Ozawda method, the activation energy (E) and pre-exponential factor (A) for oil sample G were determined as E = 131.2 kJ/mol and A = 9.46 × 104 (kPa·s)−1, while for oil sample M, E = 127.9 kJ/mol and A = 1.26 × 105 (kPa·s)−1.
- (3)
- The numerical simulation revealed that changes in the activation energy and pre-exponential factor generally had opposite effects on the crude oil oxidation process. For light oil burning, an increase in activation energy led to a decrease in oil recoveries, while an increase in the pre-exponential factor resulted in higher recovery rates. In the case of heavy oil burning, heavy oil cracking, and coke oil burning, an increase in activation energy led to higher recovery rates, while an increase in the pre-exponential factor resulted in lower oil recoveries.
- (4)
- The impact of activation energy on ISC recovery rates was primarily influenced by changes in activation energy in coke oil burning, with a recommended value of 130 kJ/mol. The influence of the pre-exponential factor on ISC recovery rates was mainly attributed to changes in the pre-exponential factor in heavy oil cracking, with a recommended value of 4.17 × 109 (kPa·s)−1. Altering the activation energy and pre-exponential factor for light oil burning and heavy oil burning had a relatively minor effect on the final oil recoveries.
Author Contributions
Funding
Institutional Review Board Statement
Informed Consent Statement
Data Availability Statement
Conflicts of Interest
References
- Xi, C.; Wang, B.; Zhao, F.; Liu, T.; Qi, Z.; Zhang, X.; Tang, J.; Jiang, Y.; Guan, W.; Wang, H.; et al. Oxidization characteristics and thermal miscible flooding of high pressure air injection in light oil reservoirs. Pet. Explor. Dev. 2022, 49, 874–885. [Google Scholar] [CrossRef]
- Yolcan, O.O. World energy outlook and state of renewable energy: 10-Year evaluation. Innov. Dev. 2023, 2, 100070. [Google Scholar] [CrossRef]
- Zhang, H.; Yan, J.; Lu, Y.; Shu, Y.; Zhao, S. Experimental study of low-damage drilling fluid to minimize waterblocking of low-permeability gas reservoirs. Pet. Sci. 2009, 6, 271–276. [Google Scholar] [CrossRef]
- Park, H.; Park, Y.; Lee, Y.; Sung, W. Efficiency of enhanced oil recovery by injection of low-salinity water in barium-containing carbonate reservoirs. Pet. Sci. 2018, 15, 772–782. [Google Scholar] [CrossRef]
- Liu, Q.; Wu, K.; Li, X.; Tu, B.; Zhao, W.; He, M.; Zhang, Q.; Xie, Y. Effect of displacement pressure on oil–water relative permeability for extra-low-permeability reservoirs. ACS Omega 2021, 6, 2749–2758. [Google Scholar] [CrossRef]
- Kang, W.-L.; Zhou, B.-B.; Issakhov, M.; Gabdullin, M. Advances in enhanced oil recovery technologies for low permeability reservoirs. Pet. Sci. 2022, 19, 1622–1640. [Google Scholar] [CrossRef]
- Sun, X.; Xu, B.; Qian, G.; Li, B. The application of geomechanical SAGD dilation startup in a Xinjiang oil field heavy-oil reservoir. J. Pet. Sci. Eng. 2021, 196, 107670. [Google Scholar] [CrossRef]
- Sun, X.; Cai, J.; Li, X.; Zheng, W.; Wang, T.; Zhang, Y. Experimental investigation of a novel method for heavy oil recovery using supercritical multithermal fluid flooding. Appl. Therm. Eng. 2021, 185, 116330. [Google Scholar] [CrossRef]
- Zhang, F.; Jiang, Y.; Liu, P.; Wang, B.; Sun, S.; Hua, D.; Zhao, J. Laboratory experimental study on polymer flooding in high-temperature and high-salinity heavy oil reservoir. Appl. Sci. 2022, 12, 11872. [Google Scholar] [CrossRef]
- Wang, Y.; Liu, H.; Zhang, Q.; Chen, Z.; Wang, J.; Dong, X.; Chen, F. Pore-scale experimental study on EOR mechanisms of combining thermal and chemical flooding in heavy oil reservoirs. J. Pet. Sci. Eng. 2020, 185, 106649. [Google Scholar] [CrossRef]
- Manrique, E.J.; Muci, V.E.; Gurfinkel, M.E. EOR field experiences in carbonate reservoirs in the United States. SPE Reserv. Eval. Eng. 2007, 10, 667–686. [Google Scholar] [CrossRef]
- Liu, B.; Xi, C.; Liang, J.; Liu, P.; Zhao, F.; He, H.; Hua, D.; Liu, F. Experimental Study on Displacement Characteristics and Water/Air Ratio Limit for Wet In-Situ Combustion in Ultraheavy Oil Reservoirs. SPE J. 2024, 29, 493–504. [Google Scholar] [CrossRef]
- Li, Q.; Yi, L.; Tang, J.; Guan, W.; Jiang, Y.; Zheng, H.; Zhou, J.; Wang, X. Mechanisms and influencing factors of the oil bank in fire flooding. Pet. Explor. Dev. 2018, 45, 491–498. [Google Scholar] [CrossRef]
- Zhang, J.; Wu, Y.; Wang, C.; Lv, B.; Jiang, Y.; Liu, P. Experimental Study on Improvement Mechanism of Electric Heating-Assisted Cyclic Steam Stimulation of Horizontal Well. Appl. Sci. 2022, 12, 11294. [Google Scholar] [CrossRef]
- Wang, K.; Liu, P.; Wang, B.; Wang, C.; Liu, P.; Zhao, J.; Chen, J.; Zhang, J. Experimental Study and Numerical Simulation of W/O Emulsion in Developing Heavy Oil Reservoirs. Appl. Sci. 2022, 12, 11867. [Google Scholar] [CrossRef]
- Liu, B.; Liang, J.; Zhao, F.; Liu, T.; Qi, Z.; Liu, F.; Liu, P. Study of Displacement Characteristics of Fire Flooding in Different Viscosity Heavy Oil Reservoirs. Geofluids 2021, 2021, 8151777. [Google Scholar] [CrossRef]
- Fraim, M.; Moffitt, P.; Yannimaras, D. Laboratory Testing and Simulation Results for High Pressure Air Injection in a WaterFlooded North Sea oil Reservoir. In Proceedings of the SPE Annual Technical Conference and Exhibition, San Antonio, TX, USA, 5–8 October 1997. [Google Scholar]
- Das, A.; Nguyen, N.; Nguyen, Q.P. Low tension gas flooding for secondary oil recovery in low-permeability, high-salinity reservoirs. Fuel 2020, 264, 116601. [Google Scholar] [CrossRef]
- Xu, Z.-X.; Li, S.-Y.; Li, B.-F.; Chen, D.-Q.; Liu, Z.-Y.; Li, Z.-M. A review of development methods and EOR technologies for carbonate reservoirs. Pet. Sci. 2020, 17, 990–1013. [Google Scholar] [CrossRef]
- Pu, W.; Liu, Z.; Li, Y.; Wei, B.; Jia, H.; Kong, L. A novel insight of laboratory investigation and simulation for high pressure air injection in light oil reservoir. J. Nat. Gas Sci. Eng. 2017, 38, 333–344. [Google Scholar] [CrossRef]
- Wang, Y.; Ren, S.; Zhang, L.; Deng, J.; Peng, X.; Cheng, H. New insights into the oxidation behaviors of crude oils and their exothermic characteristics: Experimental study via simultaneous TGA/DSC. Fuel 2018, 219, 141–150. [Google Scholar] [CrossRef]
- Millour, J.P.; Moore, R.G.; Bennion, D.W.; Ursenbach, M.G.; Gie, D.N. A Simple Implicit Model for Thermal Cracking of Crude oils. In Proceedings of the SPE Annual Technical Conference and Exhibition, Las Vegas, NV, USA, 22–26 September 1985. [Google Scholar]
- Gutiérrez, D.; Moore, R.G.; Ursenbach, M.G.; Mehta, S.A. The ABCs of in-situ-combustion simulations: From laboratory experiments to field scale. J. Can. Pet. Technol. 2012, 51, 256–267. [Google Scholar] [CrossRef]
- Chen, B.; Castanier, L.; Kovscek, A. Consistency measures for isoconversional interpretation of in-situ combustion reaction kinetics. Energy Fuels 2014, 28, 868–876. [Google Scholar] [CrossRef]
- Fan, C.; Zan, C.; Zhang, Q.; Shi, L.; Hao, Q.; Jiang, H.; Wei, F. Air injection for enhanced oil recovery: In situ monitoring the low-temperature oxidation of oil through thermogravimetry/differential scanning calorimetry and pressure differential scanning calorimetry. Ind. Eng. Chem. Res. 2015, 54, 6634–6640. [Google Scholar] [CrossRef]
- Lin, C.; Chen, W.; Lee, S.; Culham, W.E. Numerical simulation of combustion tube experiments and the associated kinetics of in-situ combustion processes. SPE J. 1984, 24, 657–666. [Google Scholar] [CrossRef]
- Kök, M. Effect of clay on crude oil combustion by thermal analysis techniques. J. Therm. Anal. Calorim. 2006, 84, 361–366. [Google Scholar] [CrossRef]
- Bousaid, I.; Ramey Jr, H. Oxidation of crude oil in porous media. SPE J. 1968, 8, 137–148. [Google Scholar] [CrossRef]
- Al-Saadoon, F.T. Experimental and Statistical Study of Residual Oil Saturation after Gas, Water, and Steam Drive, and Fuel Availability for the In-Situ Combustion Process; U.S. Department of Energy Office of Scientific and Technical Information: Oak Ridge, TN, USA, 1970.
- Thomas, G.; Buthod, A.; Allag, O. Experimental Study of the Kinetics of Dry, Forward Combustion; Final Report; U.S. Department of Energy Office of Scientific and Technical Information: Oak Ridge, TN, USA, 1979.
- Townsend, D.I.; Tou, J.C. Thermal hazard evaluation by an accelerating rate calorimeter. Thermochim. Acta 1980, 37, 1–30. [Google Scholar] [CrossRef]
- Kok, M.V. Use of thermal equipment to evaluate crude oils. Thermochim. Acta 1993, 214, 315–324. [Google Scholar] [CrossRef]
- Vargas, J.A.V.; dos Santos, R.G.; Trevisan, O.V. Evaluation of crude oil oxidation by accelerating rate calorimetry: Effects of combustion process variables on thermal and kinetic parameters. J. Therm. Anal. Calorim. 2013, 113, 897–908. [Google Scholar] [CrossRef]
- dos Santos, R.G.; Vidal Vargas, J.A.; Trevisan, O.V. Thermal analysis and combustion kinetic of heavy oils and their asphaltene and maltene fractions using accelerating rate calorimetry. Energy Fuels 2014, 28, 7140–7148. [Google Scholar] [CrossRef]
- Xu, T.; Huang, X. A TG-FTIR investigation into smoke suppression mechanism of magnesium hydroxide in asphalt combustion process. J. Anal. Appl. Pyrolysis 2010, 87, 217–223. [Google Scholar] [CrossRef]
- Padilla, J.; Muñoz, S.F.; Trujillo, M.L.; Rodríguez, E. Kinetic of an In Situ Combustion Process in A Colombian Heavy Oil Using the Isoconversional Principle. In Proceedings of the SPE Latin America and Caribbean Petroleum Engineering Conference, Buenos Aires, Argentina, 17–19 May 2017. [Google Scholar]
- Zhao, S.; Pu, W.; Sun, B.; Gu, F.; Wang, L. Comparative evaluation on the thermal behaviors and kinetics of combustion of heavy crude oil and its SARA fractions. Fuel 2019, 239, 117–125. [Google Scholar] [CrossRef]
- Liu, D.; Zhang, X.; Li, G.; Kanni, Z.; Song, Q.; Zheng, R. Comparative study on the coking characteristics of two low-asphaltene heavy oils and their main fractions. J. Pet. Sci. Eng. 2020, 184, 106500. [Google Scholar] [CrossRef]
- Romel, P.-R.; Javier, G.-A.; Héctor, R.-P. In-situ steam generation using mist water-air injection as enhanced oil recovery and energy efficiency process: Kinetic modeling and numerical simulation approach. SPE Reserv. Eval. Eng. 2022, 26, 365–381. [Google Scholar]
- Galeev, R.I.; Sakharov, B.V.; Khasanova, N.M.; Volkov, V.Y.; Fazlyyyakhmatov, M.G.; Shamanov, I.N.; Emelianov, D.A.; Kozlova, E.V.; Petrashov, O.V.; Varfolomeev, M.A.; et al. Novel low-field NMR method for characterization content and SARA composition of bitumen in rocks. J. Pet. Sci. Eng. 2022, 214, 110486. [Google Scholar] [CrossRef]
- Lin, R.; Yuan, R.; Yang, Z.; Zhai, C.; Wang, X. Combustion characteristics and kinetic analysis of heavy oil during in-situ combustion process. Recovery Util. Environ. Eff. 2021, 1–12. [Google Scholar] [CrossRef]
- Ren, S.R.; Greaves, M.; Rathbone, R. Air injection LTO process: An IOR technique for light-oil reservoirs. SPE J. 2002, 7, 90–99. [Google Scholar] [CrossRef]
- Tang, J.; Guan, W.; Liang, J.; Jiang, H.; Wang, B. Determination on high-temperature oxidation kinetic parameters of heavy oils with thermogravimetric analyzer. Acta Petrol. Sin. 2013, 34, 775. [Google Scholar]














| Reservoir Conditions | G Block | M Block |
|---|---|---|
| Depth (m) | 1540~1610 | 760~900 |
| Thickness (m) | 34.1 | 18.0 |
| Permeability (mD) | 1037.0 | 344.8 |
| Pressure (MPa) | 16.10 | 7.58 |
| Temperature (°C) | 60.0 | 37.2 |
| Porosity (%) | 17.5 | 22.1 |
| Oil saturation (%) | 51.7 | 31.0 |
| Component | Oil Sample G | Oil Sample M |
|---|---|---|
| Saturate (%) | 31.96 | 36.99 |
| Aromatic (%) | 23.56 | 23.99 |
| Resin (%) | 35.41 | 26.40 |
| Asphaltene (%) | 9.07 | 12.61 |
| Sample | Oil Sample G | Oil Sample M | ||||
|---|---|---|---|---|---|---|
| Pressure (MPa) | 1.0 | 3.0 | 5.0 | 1.0 | 3.0 | 5.0 |
| Sample weight (g) | 3.95 | 4.08 | 4.03 | 3.98 | 4.06 | 3.85 |
| Sample | Oil Sample G | Oil Sample M | ||||
|---|---|---|---|---|---|---|
| Pressure (MPa) | 1.0 | 3.0 | 5.0 | 1.0 | 3.0 | 5.0 |
| Sample weight (mg) | 29.62 | 30.09 | 30.70 | 29.71 | 30.20 | 30.25 |
| Sample | Oil Sample G | Oil Sample M | ||||
|---|---|---|---|---|---|---|
| Heating rate (K/min) | 3.0 | 5.0 | 7.0 | 3.0 | 5.0 | 7.0 |
| Sample weight (mg) | 49.19 | 49.92 | 50.22 | 49.76 | 52.62 | 50.57 |
| Sample | Heating Rate β (K/min) | lgβ | Specified Conversion Rate α (%) | Corresponding Temperature Tα (K) | 1/Tα | 1/Tα (103 K−1) |
|---|---|---|---|---|---|---|
| G | 3.0 | 0.477 | 0.965 | 748.55 | 0.001336 | 1.3359 |
| 5.0 | 0.699 | 0.965 | 765.75 | 0.001306 | 1.3059 | |
| 7.0 | 0.845 | 0.965 | 778.35 | 0.001285 | 1.2848 | |
| M | 3.0 | 0.477 | 0.940 | 720.75 | 0.001387 | 1.3874 |
| 5.0 | 0.699 | 0.940 | 737.95 | 0.001355 | 1.3551 | |
| 7.0 | 0.845 | 0.940 | 748.95 | 0.001335 | 1.3352 |
| Effective Grids | Grid Size (m) | Permeability (mD) | Depth (m) | Temperature (°C) | Pressure (MPa) | Porosity (%) | Oil Saturation (%) | Oil Viscosity (mPa·s) | |||
|---|---|---|---|---|---|---|---|---|---|---|---|
| I | J | K | Transverse | Vertical | |||||||
| 21 × 21 × 5 = 2205 | 10 | 10 | 2 | 1200 | 600 | 1000 | 50 | 10 | 20 | 40 | 4440 |
| Reaction Models | Pre-Exponential Factor A (kPa·s)−1 | Activation Energy E (kJ/mol) | Reaction Heat Release (J/mol) |
|---|---|---|---|
| Heavy oil cracking | 4.17 × 109 | 182 | |
| Heavy oil burning | 3.02 × 106 | 64 | 1.53 × 106 |
| Light oil burning | 1.20 × 107 | 74 | 6.59 × 107 |
| Coke oil burning | 8.17 × 105 | 59 | 6.16 × 105 |
| Component | H2O | Heavy Oil | Light Oil | CO2 | CO | N2 | O2 | Coke |
|---|---|---|---|---|---|---|---|---|
| Molecular weight (g·mol−1) | 18 | 458 | 120 | 44 | 28 | 28 | 32 | 13 |
| Critical pressure (kPa) | 22048 | 827 | 2110 | 7376 | 3496 | 3394 | 5046 | |
| Critical temperature (°C) | 374 | 614 | 344 | 21 | −140 | −147 | −119 | |
| Equilibrium constant KV1 (Pa) | 0 | 0 | 3.5 × 106 | 8.6 × 108 | ||||
| Equilibrium constant KV4 (°C) | 0 | 0 | −3818 | −3103 | ||||
| Equilibrium constant KV5 (°C) | 0 | 0 | −273 | −273 |
Disclaimer/Publisher’s Note: The statements, opinions and data contained in all publications are solely those of the individual author(s) and contributor(s) and not of MDPI and/or the editor(s). MDPI and/or the editor(s) disclaim responsibility for any injury to people or property resulting from any ideas, methods, instructions or products referred to in the content. |
© 2024 by the authors. Licensee MDPI, Basel, Switzerland. This article is an open access article distributed under the terms and conditions of the Creative Commons Attribution (CC BY) license (https://creativecommons.org/licenses/by/4.0/).
Share and Cite
Fang, C.; Wang, C.; Zheng, H.; Liu, P.; Guo, W.; Chen, Y.; He, H.; Liu, P. An Experimental Study and Numerical Simulation Analysis of Thermal Oxidation Characteristics Based on Kinetic Parameters in Heavy Oil Reservoirs. Appl. Sci. 2024, 14, 2511. https://doi.org/10.3390/app14062511
Fang C, Wang C, Zheng H, Liu P, Guo W, Chen Y, He H, Liu P. An Experimental Study and Numerical Simulation Analysis of Thermal Oxidation Characteristics Based on Kinetic Parameters in Heavy Oil Reservoirs. Applied Sciences. 2024; 14(6):2511. https://doi.org/10.3390/app14062511
Chicago/Turabian StyleFang, Chang, Chao Wang, Haoran Zheng, Peng Liu, Wen Guo, Yajing Chen, Houfeng He, and Pengcheng Liu. 2024. "An Experimental Study and Numerical Simulation Analysis of Thermal Oxidation Characteristics Based on Kinetic Parameters in Heavy Oil Reservoirs" Applied Sciences 14, no. 6: 2511. https://doi.org/10.3390/app14062511
APA StyleFang, C., Wang, C., Zheng, H., Liu, P., Guo, W., Chen, Y., He, H., & Liu, P. (2024). An Experimental Study and Numerical Simulation Analysis of Thermal Oxidation Characteristics Based on Kinetic Parameters in Heavy Oil Reservoirs. Applied Sciences, 14(6), 2511. https://doi.org/10.3390/app14062511

