Determining Effective Threshold Range of Image Pixel Values for Municipal Waste-Contaminated Clay
Abstract
1. Introduction
2. Materials and Methods
2.1. Test Soil and Equipment
2.2. Sample Preparation
3. Results
3.1. Image Processing Method: IPP and PCAS
- (1)
- Preprocessing of SEM Image
- (2)
- Thresholding of SEM Image
- (3)
- Morphological Processing of the SEM Images
3.2. Morphology of Microstructure of Contaminated Clay
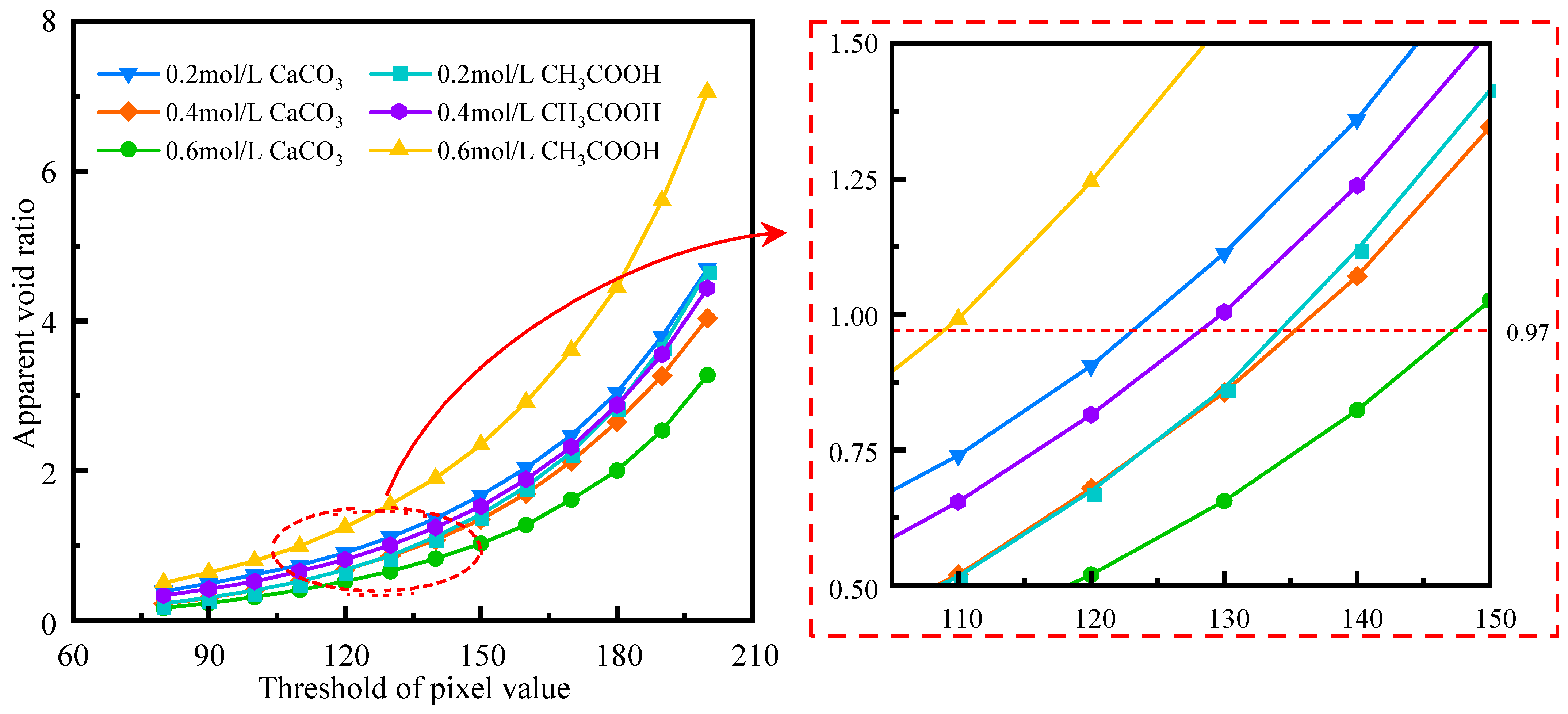
3.3. Effective Threshold Range of Image Pixel Values Based on Apparent Void Ratio of Contaminated Clay
3.4. Effective Threshold Range of Image Pixel Values Based on the Fractal Dimension of Contaminated Clay Particles
3.5. Determining Effective Threshold Range of Image Pixel Values for Contaminated Clay
4. Discussion
5. Conclusions
- (1)
- The threshold was determined by binarization and morphological processing of the SEM images using IPP and PACS. IPP was used to preprocess and binarize the SEM images to eliminate uneven brightness. The particles that came into contact and overlapped with each other were identified and separated in each image by using PACS.
- (2)
- Based on the relationship between the threshold value and apparent void ratio and the relationship between the threshold value and particle fractional dimension, the range of the pixel threshold value of municipal waste-contaminated clay was determined as 110–140.
- (3)
- The pixel threshold value range of 110–140 of municipal waste-contaminated clay was validated based on the relationship between the pixel threshold value and apparent void ratio, the variation in pore blockage with seepage depth, and the compaction factor value variation with seepage depth and contaminant concentration.
Author Contributions
Funding
Institutional Review Board Statement
Informed Consent Statement
Data Availability Statement
Acknowledgments
Conflicts of Interest
References
- Haque, E.; Jing, X.; Bostick, B.C.; Thorne, P.S. In vitro and in silico bioaccessibility of urban dusts contaminated by multiple legacy sources of lead (Pb). J. Hazard. Mater. Adv. 2022, 8, 100178. [Google Scholar] [CrossRef]
- Schiavo, B.; Meza-Figueroa, D.; Vizuete-Jaramillo, E.; Robles-Morua, A.; Angulo-Molina, A.; Reyes-Castro, P.A.; Inguaggiato, C.; Gonzalez-Grijalva, B.; Pedroza-Montero, M. Oxidative potential of metal-polluted urban dust as a potential environmental stressor for chronic diseases. Environ. Geochem. Health 2023, 45, 3229–3250. [Google Scholar] [CrossRef]
- Wang, P.; Yin, Z.Y.; Hicher, P.Y.; Cui, Y.J. Micro-mechanical analysis of one-dimensional compression of clay with DEM. Int. J. Numer. Anal. Methods Geomech. 2023, 47, 2706–2724. [Google Scholar] [CrossRef]
- Zhang, X.; Ding, Z.; He, S.H.; Zhang, G.D.; Sun, M.M.; Xia, T.D. An Experimental Study on the Microstructure Evolution of Soil under Lateral Consolidation Compression. Appl. Sci. 2022, 12, 8331. [Google Scholar] [CrossRef]
- Pedarla, A.; Puppala, A.J.; Hoyos, L.R.; Chittoori, B. Evaluation of Swell Behavior of Expansive Clays from Internal Specific Surface and Pore Size Distribution. J. Geotech. Geoenvironmental Eng. 2016, 142, 04015080. [Google Scholar] [CrossRef]
- Sergeyev, Y.M.; Grabowska, O.B.; Osipov, V.I.; Sokolov, V.N.; Kolomenski, Y.N. The classification of microstructures of clay soils. J. Microsc. 1980, 120, 237–260. [Google Scholar] [CrossRef]
- Yin, P.; Vanapalli, S.K. Model for predicting evolution of microstructural void ratio in compacted clayey soils. Can. Geotech. J. 2022, 59, 1602–1621. [Google Scholar] [CrossRef]
- Nguyen, V.; Pineda, J.A.; Romero, E.; Sheng, D. Influence of soil microstructure on air permeability in compacted clay. Géotechnique 2021, 71, 373–391. [Google Scholar] [CrossRef]
- Wei, T.; Fan, W.; Zhou, Y.; Deng, L.; Wu, Z.; Wei, Y. Quantification of the spatial-temporal evolution of loess microstructure from the Dongzhi tableland during shearing. Eng. Geol. 2023, 323, 107213. [Google Scholar] [CrossRef]
- Trzciński, J.; Wójcik, E. Application of microstructure classification for the assessment of the variability of geological-engineering and pore space properties in clay soils. Open Geosci. 2019, 11, 236–248. [Google Scholar] [CrossRef]
- Zheng, Y.M.; Sun, H.; Hou, M.X.; Ge, X.R. Microstructure evolution of soft clay under consolidation loading. Eng. Geol. 2021, 293, 106284. [Google Scholar] [CrossRef]
- Emami, S.; Negahdar, A.; Zarei, M. Investigating the Influence of the Leachate from the Municipal Solid Waste on the Mechanical and Environmental Properties of Soil around the Landfill (Case Study: The Municipal Landfill Located in Ardabil—Iran). Arab. J. Sci. Eng. 2019, 44, 8417–8428. [Google Scholar] [CrossRef]
- Guo, Y.L.; Cao, L.W.; Feng, X.H.; Liu, H. Influence of Leachate on Properties and Regions of Compacted Clay Layer: A Column Experiment. Soil Sediment Contam. Int. J. 2019, 28, 684–694. [Google Scholar] [CrossRef]
- Qi, J.F.; Yu, J.C.; Shah, K.J.; Shah, D.D.; You, Z.Y. Applicability of Clay/Organic Clay to Environmental Pollutants: Green Way—An Overview. Appl. Sci. 2023, 13, 9395. [Google Scholar] [CrossRef]
- Ari, A.; Akbulut, S. Effect of fractal dimension on sand-geosynthetic interface shear strength. Powder Technol. 2022, 401, 117349. [Google Scholar] [CrossRef]
- Dai, C.X.; Zhang, Q.F.; He, S.H.; Zhang, A.; Shan, H.F.; Xia, T.D. Variation in Micro-Pores during Dynamic Consolidation and Compression of Soft Marine Soil. J. Mar. Sci. Eng. 2021, 9, 750. [Google Scholar] [CrossRef]
- Francisca, F.M.; Glatstein, D.A. Long term hydraulic conductivity of compacted soils permeated with landfill leachate. Appl. Clay Sci. 2010, 49, 187–193. [Google Scholar] [CrossRef]
- Di, S.; Jia, C.; Ding, P.; Zhu, X. Microstructural Variation of Clay during Land Subsidence and the Correlation between Macroscopic and Microscopic Parameters. Materials 2022, 15, 1817. [Google Scholar] [CrossRef] [PubMed]
- Liu, Y.; Deng, H.; Wang, P.; Yu, S. Analysis of pore structure characteristics and strength prediction model of coarse-grained soil based on fractal theory. Environ. Earth Sci. 2023, 82, 592. [Google Scholar] [CrossRef]
- MolaAbasi, H.; Naderi Semsani, S.; Saberian, M.; Khajeh, A.; Li, J.; Harandi, M. Evaluation of the long-term performance of stabilized sandy soil using binary mixtures: A micro- and macro-level approach. J. Clean. Prod. 2020, 267, 122209. [Google Scholar] [CrossRef]
- Xiaoqin, S.; Dongli, S.; Yuanhang, F.; Hongde, W.; Lei, G. Three-dimensional fractal characteristics of soil pore structure and their relationships with hydraulic parameters in biochar-amended saline soil. Soil Tillage Res. 2021, 205, 104809. [Google Scholar] [CrossRef]
- Izdebska, M.D.; Trzciński, J. Clay soil behaviour due to long-term contamination by liquid petroleum fuels: Microstructure and geotechnical properties. Bull. Eng. Geol. Environ. 2021, 80, 3193–3206. [Google Scholar] [CrossRef]
- Ural, N. The significance of scanning electron microscopy (SEM) analysis on the microstructure of improved clay: An overview. Open Geosci. 2021, 13, 197–218. [Google Scholar] [CrossRef]
- Zeroual, A.; Bouaziz, A.; Dadda, A.; Feia, S.; Khechai, A.; Lamouri, B.; El, H.A. Experimental investigation on the desiccation cracking process in date palm fiber reinforced clayey soil using digital image correlation. Eur. J. Environ. Civ. Eng. 2024, 28, 1141–1162. [Google Scholar] [CrossRef]
- Tang, C.S.; Lin, L.; Cheng, Q.; Zhu, C.; Wang, D.W.; Lin, Z.Y.; Shi, B. Quantification and characterizing of soil microstructure features by image processing technique. Comput. Geotech. 2020, 128, 103817. [Google Scholar] [CrossRef]
- Di, R.G.; Rocchi, I.; Zania, V. New method for a SEM-based quantitative microstructural clay analysis—MiCA. Appl. Clay Sci. 2021, 214, 106248. [Google Scholar] [CrossRef]
- Liu, C.; Tang, C.S.; Shi, B.; Suo, W.B. Automatic quantification of crack patterns by image processing. Comput. Geosci. 2013, 57, 77–80. [Google Scholar] [CrossRef]
- Wang, B.J.; Shi, B.; Liu, Z.B.; Cai, Y. Fractal study on microstructure of clayey soil by GIS. Chin. J. Geotech. Eng. 2004, 26, 244–247. (In Chinese) [Google Scholar]
- Purswani, P.; Karpyn, Z.T.; Enab, K.; Xue, Y.; Huang, X. Evaluation of image segmentation techniques for image-based rock property estimation. J. Pet. Sci. Eng. 2020, 195, 107890. [Google Scholar] [CrossRef]
- Barros, W.K.P.; Dias, L.A.; Fernandes, M.A.C. Fully Parallel Implementation of Otsu Automatic Image Thresholding Algorithm on FPGA. Sensors 2021, 21, 4151. [Google Scholar] [CrossRef]
- Singh, S.; Mittal, N.; Singh, H.; Oliva, D. Improving the segmentation of digital images by using a modified Otsu’s between-class variance. Multimed. Tools Appl. 2023, 82, 40701–40743. [Google Scholar] [CrossRef] [PubMed]
- Han, N.N.; Li, S.D.; Song, Z.J. Efficient iterative thresholding algorithms with functional feedbacks and null space tuning. Signal Process. 2021, 188, 108199. [Google Scholar] [CrossRef]
- Lee, H.S.; In Cho, S. Spatial color histogram-based image segmentation using texture-aware region merging. Multimed. Tools Appl. 2022, 81, 24573–24600. [Google Scholar] [CrossRef]
- Wang, G.; Peng, B.; Feng, Z.Y.; Yang, X.Y.; Deng, J.; Wang, N.C. Adaptive filtering based on recursive minimum error entropy criterion. Signal Process. 2021, 179, 107836. [Google Scholar] [CrossRef]
- Meidani, K.; Hemmasian, A.; Mirjalili, S.; Barati, F.A. Adaptive grey wolf optimizer. Neural Comput. Appl. 2022, 34, 7711–7731. [Google Scholar] [CrossRef]
- Yan, J.H.; Zhang, L.; Luo, X.H.; Peng, H.; Wang, J. A novel edge detection method based on dynamic threshold neural P systems with orientation. Digit. Signal Process. 2022, 127, 103526. [Google Scholar] [CrossRef]
- Cao, L.W. Study on the Influence of Leachate on the Geotechnical Properties of Liner System. Doctoral Dissertation, China University of Mining and Technology, Xuzhou, China, 2006. (In Chinese). [Google Scholar]
- Hao, J.T. Properties and Stability Evaluation of Life Source Polluted Foundation Soil. Master Graduation Thesis, China University of Mining and Technology, Xuzhou, China, 2018. (In Chinese). [Google Scholar]
- Li, Y.Q.; Ma, J.W.; Ren, Y.Q.; Li, Y.J.; Yue, D.B. Calcium leaching characteristics in landfill leachate collection systems from bottom ash of municipal solid waste incineration. J. Environ. Manag. 2021, 280, 111729. [Google Scholar] [CrossRef]
- Wijekoon, P.; Koliyabandara, P.A.; Cooray, A.T.; Lam, S.S.; Athapattu, B.C.L.; Vithanage, M. Progress and prospects in mitigation of landfill leachate pollution: Risk, pollution potential, treatment and challenges. J. Hazard. Mater. 2022, 421, 126627. [Google Scholar] [CrossRef]
- Liu, C.; Shi, B.; Zhou, J.; Tang, C.S. Quantification and characterization of microporosity by image processing, geometric measurement and statistical methods: Application on SEM images of clay materials. Appl. Clay Sci. 2011, 54, 97–106. [Google Scholar] [CrossRef]
- Song, S.B.; Liu, J.F.; Ni, H.Y.; Cao, X.L.; Pu, H.; Huang, B.X. A new automatic thresholding algorithm for unimodal gray-level distribution images by using the gray gradient information. J. Pet. Sci. Eng. 2020, 190, 107074. [Google Scholar] [CrossRef]
- Anitha, J.; Pandian, S.I.A.; Agnes, S.A. An efficient multilevel color image thresholding based on modified whale optimization algorithm. Expert Syst. Appl. 2021, 178, 115003. [Google Scholar] [CrossRef]
- Liao, J.; Wang, Y.; Zhu, D.; Zou, Y.; Zhang, S.; Zhou, H. Automatic Segmentation of Crop/Background Based on Luminance Partition Correction and Adaptive Threshold. IEEE Access 2020, 8, 202611–202622. [Google Scholar] [CrossRef]
- Tang, C.S.; Shi, B.; Wang, B.J. Factors affecting analysis of soil microstructure using SEM. Chin. J. Geotech. Eng. 2008, 4, 560–565. (In Chinese) [Google Scholar]
- Song, C.; Elsworth, D.; Zhi, S.; Wang, C. The influence of particle morphology on microbially induced CaCO3 clogging in granular media. Mar. Georesources Geotechnol. 2021, 39, 74–81. [Google Scholar] [CrossRef]
- Weinhardt, F.; Deng, J.; Hommel, J.; Vahid Dastjerdi, S.; Gerlach, R.; Steeb, H.; Class, H. Spatiotemporal Distribution of Precipitates and Mineral Phase Transition During Biomineralization Affect Porosity–Permeability Relationships. Transp. Porous Media 2022, 143, 527–549. [Google Scholar] [CrossRef]










| Density (ρ) g/cm3 | Specific Gravity (Gs) | Water Content (w) % | Dry Density (ρs) g/cm3 | Void Ratio (e0) | Liquid Limit (wL) % | Plastic Limit (wP) % |
|---|---|---|---|---|---|---|
| 1.735 | 2.740 | 21 | 1.434 | 0.9722 | 40.5 | 21.3 |
| Kaolinte | Illite | Montmorillonite | Illite and montmorillonite mixed layer | Chlorite | ||
| 17% | 36% | 14% | 27% | 6% | ||
| Parameters | Parameters | Parameters | |||
|---|---|---|---|---|---|
| COD (mg/L) | 19,500 | Mg (µg/g) | 414 | Mn (µg/g) | 0.3734 |
| BOD (mg/L) | 9833 | K (µg/g) | 1639 | Pb (ug/g) | 0.0289 |
| TSS (mg/L) | 1334.59 | Na (µg/g) | 3319 | Cu (µg/g) | 0.0253 |
| VSS (mg/L) | 576.89 | As (µg/g) | 0.0855 | Si (µg/g) | 8.7 |
| NH4+-N (mg/L) | 1701.8 | B (µg/g) | 3.88 | Al (µg/g) | 2.3 |
| Ca (µg/g) | 186 | Cd (µg/g) | 0.0005 | Total hardness (mg/L) | 1746.455 |
| pH | 6.57 | Hg (µg/g) | 0.0049 | Total alkalinity (mg/L) | 12,410.09 |
| TVFA (mmol/L) | 63 | Ni (µg/g) | 0.2306 | ||
| Fe (µg/g) | 20 | Zn (µg/g) | 0.6148 |
| Depth of Sampling Hole (cm) | 3.1 | 17.3 | 36.8 | 48.5 | 56.3 | 75.8 |
| Dry density (g/cm3) | 1.55 | 1.55 | 1.5 | 1.53 | 1.53 | 1.56 |
| Void ratio | 0.34 | 0.64 | 0.73 | 0.79 | 0.81 | 0.83 |
| Saturated water content (%) | 28.38 | 29.12 | 28.42 | 28.02 | 27.78 | 26.52 |
| Organic silt produced per kg of clay (%) | 13.85 | 12.37 | 8.81 | 7.12 | 6.33 | 4.61 |
| Calcium carbonate produced per kg of clay (g) | 5.68 | 4.98 | 4.49 | 4.38 | 3.78 | 2.24 |
| Sample | Na2O (%) | MgO (%) | Al2O3 (%) | SiO2 (%) | K2O (%) | CaO (%) | Fe2O3 (%) |
|---|---|---|---|---|---|---|---|
| Uncontaminated clay | 0.60 | 1.35 | 15.48 | 62.93 | 1.88 | 2.18 | 5.77 |
| 0.2 mol/LCaCO3-contaminated clay | 1.28 | 1.41 | 14.72 | 60.67 | 1.84 | 2.79 | 5.70 |
| 0.4 mol/L CaCO3-contaminated clay | 1.22 | 1.39 | 14.74 | 60.43 | 1.85 | 2.80 | 5.64 |
| 0.6 mol/L CaCO3-contaminated clay | 1.95 | 1.39 | 13.96 | 59.83 | 1.83 | 3.04 | 5.65 |
| 0.2 mol/L CH3COOH-contaminated clay | 0.45 | 1.29 | 13.83 | 59.56 | 1.83 | 2.05 | 5.63 |
| 0.4 mol/L CH3COOH-contaminated clay | 0.46 | 1.28 | 13.64 | 59.55 | 1.84 | 2.08 | 5.58 |
| 0.6 mol/L CH3COOH-contaminated clay | 0.44 | 1.27 | 13.67 | 59.61 | 1.83 | 2.05 | 5.56 |
Disclaimer/Publisher’s Note: The statements, opinions and data contained in all publications are solely those of the individual author(s) and contributor(s) and not of MDPI and/or the editor(s). MDPI and/or the editor(s) disclaim responsibility for any injury to people or property resulting from any ideas, methods, instructions or products referred to in the content. |
© 2024 by the authors. Licensee MDPI, Basel, Switzerland. This article is an open access article distributed under the terms and conditions of the Creative Commons Attribution (CC BY) license (https://creativecommons.org/licenses/by/4.0/).
Share and Cite
Zhang, R.; Cao, L.; Guo, Y. Determining Effective Threshold Range of Image Pixel Values for Municipal Waste-Contaminated Clay. Appl. Sci. 2024, 14, 2419. https://doi.org/10.3390/app14062419
Zhang R, Cao L, Guo Y. Determining Effective Threshold Range of Image Pixel Values for Municipal Waste-Contaminated Clay. Applied Sciences. 2024; 14(6):2419. https://doi.org/10.3390/app14062419
Chicago/Turabian StyleZhang, Rui, Liwen Cao, and Yuliang Guo. 2024. "Determining Effective Threshold Range of Image Pixel Values for Municipal Waste-Contaminated Clay" Applied Sciences 14, no. 6: 2419. https://doi.org/10.3390/app14062419
APA StyleZhang, R., Cao, L., & Guo, Y. (2024). Determining Effective Threshold Range of Image Pixel Values for Municipal Waste-Contaminated Clay. Applied Sciences, 14(6), 2419. https://doi.org/10.3390/app14062419

