Next Article in Journal
Remote Sensing Applications in Almond Orchards: A Comprehensive Systematic Review of Current Insights, Research Gaps, and Future Prospects
Previous Article in Journal
The Bearing Surface Defect Detection Method Combining Magnetic Particle Testing and Deep Learning
 
 
Font Type:
Arial Georgia Verdana
Font Size:
Aa Aa Aa
Line Spacing:
Column Width:
Background:
Article

Application of a Variable Weight Time Function Combined Model in Surface Subsidence Prediction in Goaf Area: A Case Study in China

1
School of Surveying and Land Information Engineering, Henan Polytechnic University, Jiaozuo 454000, China
2
College of GeoScience and Surveying Engineering, China University of Mining and Technology (Beijing), Beijing 100083, China
*
Author to whom correspondence should be addressed.
Appl. Sci. 2024, 14(5), 1748; https://doi.org/10.3390/app14051748
Submission received: 6 December 2023 / Revised: 5 February 2024 / Accepted: 16 February 2024 / Published: 21 February 2024

Abstract

To attain precise forecasts of surface displacements and deformations in goaf areas (a void or cavity that remains underground after the extraction of mineral resources) following coal extraction, this study based on the limitations of individual time function models, conducted a thorough analysis of how the parameters of the model impact subsidence curves. Parameter estimation was conducted using the trust-region reflective algorithm (TRF), and the time function models were identified. Then we utilized a combined model approach and introduced the sliding window mechanism to assign variable weights to the model. Based on this, the combined model was used for prediction, followed by the application of this composite prediction to engineering scenarios for the dynamic forecasting of surface movements and deformations. The results indicated that, in comparison with DE, GA, PSO algorithms, the TRF exhibited superior stability and convergence. The parameter models obtained using this method demonstrated a higher level of predictive accuracy. Moreover, the predictive precision of the variable-weight time function combined model surpassed that of corresponding individual time function models. When employing six different variable-weight combination prediction models for point C22, the Weibull-MMF model demonstrated the most favorable fitting performance, featuring a root mean square error (RMSE) of 32.98 mm, a mean absolute error (MAE) of 25.66 mm, a mean absolute percentage error (MAPE) of 7.67%; the correlation coefficient R2 reached 0.99937. These metrics consistently outperformed their respective individual time function models. Additionally, in the validation process of the combined model at point C16, the residuals were notably smaller than those of individual models. This reaffirmed the accuracy and reliability of the proposed variable-weight combined model. Given that the variable-weight combination model was an evolution from individual time function models, its applicability extends to a broader range, offering valuable guidance for the dynamic prediction of surface movement and deformation in mining areas.

1. Introduction

Coal, serving as a critical foundational energy source and industrial resource in China, plays a significant role in driving societal progress [1]. However, during the coal mining process, the initial stress equilibrium in the overlying rock layers above the coal seam gets disrupted [2]. As the mining face steadily advances, this deformation gradually propagates to the surface, resulting in the formation of geological features like cracks, terraces, and subsidence depressions [3]. Due to the influence of geological factors and other variables, surface movements and deformations persist for a certain duration after coal seam extraction has ceased. During this period, the impacts on groundwater continue to evolve over time [4,5]. Additionally, structures on the surface, as well as the surrounding ecological environment within the mining area, are subjected to varying degrees of influence and damage during different postextraction phases [6,7]. To ensure safe mining operations, promoting environmental preservation, and fostering sustainable development, forecasting dynamic surface subsidence and the implementation of essential protective measures tailored to distinct phases of surface deformations are of paramount importance [8,9].
In order to gain a better understanding of the patterns of surface movement and deformation, many scholars both domestically and internationally have conducted extensive research on the time functions for dynamic prediction of surface movement and deformation over the past few decades. Polish scholar Knothe [10], in 1952, based on conclusions from soil compaction experiments, suggested a proportional relationship between the sinking speed of the surface at a particular moment, the final subsidence value of the surface, and the difference between the dynamic subsidence value at that moment. On this basis, the Knothe time function was derived. However, this time function falls short in effectively describing the sinking speed and acceleration of surface points, leading to disparities with actual surface subsidence processes. Consequently, many scholars have continuously refined the Knothe time function model and proposed new time function models, including Usher [11,12], Weibull [13,14,15,16,17], Richards [18,19,20,21], and MMF [22,23,24], among others. While these models partially reflect the dynamic process of surface movement and deformation to some extent, they also have their own limitations.
Research findings indicate that the Usher model makes demanding geological conditions and is suitable for fully exploited areas characterized by substantial mining depth, significant thickness, and well-developed three zones of subsidence. However, it is not applicable in cases of insufficient exploitation, noncontinuous deformations, or complex conditions in coal seam mining areas. The Weibull model, on the other hand, exhibits a rapid increase in predicted subsidence during the initial phase of surface subsidence. When the subsidence rate reaches its maximum, the surface subsidence remains below half of the maximum surface subsidence value [25], which impacts the accuracy of predictions. In the case of the Richards model, the calculation of its parameters is challenging [26]. As for the MMF model, its predictions tend to be on the higher side. To achieve better predictive accuracy, data after the inflection point of the subsidence curve is required. This model exhibits a significant reliance on measured data, with increased observed data leading to enhanced predictive precision [27]. Due to the complexity of geological conditions in coal mining, multiple factors collectively influence the mining process. The individual models cannot fully account for the time-varying and contingency of overlying strata subsidence. Each individual model has its limitations; therefore, the combination of various individual models becomes necessary.
Since the creative method of combining forecasts was introduced by Bates and Granger in 1969 [28], this approach has been utilized to address practical forecasting issues across various fields. Examples include wind power generation forecasting [29], electricity load forecasting [30,31], and parameter inversion for mining subsidence prediction [32]. Combined models allow for the comprehensive utilization of information contained within an individual model, resulting in enhanced predictive accuracy compared to the individual model [33]. Combined forecasting models can be divided into two categories: one is the fixed-weight combined model, where the weights assigned to individual predictive models remain constant throughout the forecasting process; the other is the variable-weight combined model, where different weights can be assigned to individual models based on various constraint criteria. Given that individual models exhibit varying levels of accuracy in predicting subsidence at different times, using a variable-weight combination approach is more reasonable.
The key focus of combination forecasting lies in determining the weights. Currently, most combined models use the criterion of minimizing the sum of squared prediction errors to determine these weights [34]. In addition to this method, there are other approaches such as the entropy weighting method [35,36] and improved coefficient of variation weighting [37]. In this paper, based on these three fixed-weight methods, we introduced a sliding window model [38] to transition from fixed to variable weights. This addressed the shortcomings of individual time function models and fixed-weight combined models and aimed to enhance the predictive accuracy of the combined model. This model, based on a fixed sliding window size, continually shifted to the next window to segment the entire subsidence measurement data, allowing us to obtain more localized subsidence information while considering the overall data trends. Combining this with the fixed-weight determination method, we assigned weights to the data within each window, thereby achieving the overall goal of variable weighting. To ensure a more reasonable determination of the window size instead of relying on manual assignment as utilized in the past [39], this paper employed the entropy weighting method to calculate the sliding window size.
This paper employed the concept of combination modeling and utilized a sliding window approach to transform previously fixed weights into variable weights. This approach constructed a variable-weight combined model, thereby improving the accuracy of dynamic surface subsidence prediction. Firstly, we analyzed the impact of various parameters in different models on the subsidence curve and use the trust-region reflective algorithm (TRF) [40] to determine the optimal parameters for the time function model. Secondly, by introducing the idea of combination modeling, we combined different individual time function models. Building upon the previous combined model with fixed weights, we introduced the sliding window mechanism to achieve the goal of variable weighting, resulting in the creation of variable-weight combined model. In comparison to the individual time function model, the variable-weight combined model exhibited higher predictive accuracy, providing a new approach and method to further enhance the dynamic prediction of surface subsidence via time function models.

2. Materials and Methods

2.1. Mining Subsidence Dynamic Process Analysis

Based on a substantial amount of measured data [21,41,42,43,44,45], it was evident that during a complete subsidence process, a ground point typically undergoes three phases as depicted in Figure 1.
  • Stage 1: Initial Phase
The initial phase corresponds to the time when the surface begins subsiding until the subsidence reaches 10 mm or the subsidence velocity reaches 1.67 mm/d. During this interval, at the initial moment within the mining area ( t = 0 ) before any mining activities commence, the subsidence at a specific point on the surface above the coal seam is considered as W 0 = 0 mm. Alternatively, due to factors like measurement errors, it may be assigned a relatively small value. In this phase, both the initial subsidence velocity and acceleration should be 0. Subsequently, as time t progresses, they gradually increase, the overlying rock strata progressively experience collapse and deformation, intensifying with the passage of time, and transmitting gradually to the surface.
  • Stage 2: Active Phase
The active phase corresponds to the period when the subsidence velocity exceeds 1.67 mm/d. During this phase, the subsidence velocity experiences an initial increase followed by a subsequent decrease. Simultaneously, the subsidence acceleration rises initially, then decreases until it reaches 0. Subsequently, it continues to decrease to a negative minimum and then gradually rises back to 0. Surface subsidence is notably intense during this phase, with the deformation magnitude continually increasing and transmitting to the surface.
  • Stage 3: Decline Phase
The decline phase, in other words, is the stage during which the subsidence velocity falls below 1.67 mm/d. In this phase, the subsidence velocity gradually diminishes and approaches zero. Concurrently, the subsidence acceleration shifts from negative values to gradually increase until it reaches 0. Surface subsidence gradually stabilizes during this phase, surface deformation in the short term is minimal. Furthermore, when the cumulative subsidence over the surface remains less than or equal to 30 mm for a continuous six-month period, the entire surface movement process concludes.

2.2. Four Time Function Models and Parametric Analysis

Based on the above explanation and analysis of the surface subsidence process, it was evident that the subsidence function graph should resemble an S-shaped curve. The model should be a function of the mining time t , with subsidence varying as a function of this mining time. The time function models currently proposed were built, modified, and optimized based on the dynamic process of mining-induced subsidence. They were capable of reflecting the approximate subsidence pattern. Let the time function be represented as G ( t ) , where W m signifies the maximum subsidence value of a surface point after reaching stability, measured in millimeters. The formula for calculating the subsidence at a point in the goaf area at time t is given as W ( t ) = W m G ( t ) .

2.2.1. Usher Time Function Model

The Usher model, introduced in 1980 by Usher, is a theoretical model used to describe the temporal variation of growth information. This model has found widespread applications in predicting oil and gas field production rates [46], roadbed settlement forecasts [47], and more recently, in predicting surface subsidence in goaf areas. The expression for dynamic surface subsidence prediction in conjunction with the Usher model is as follows:
W ( t ) = W m ( 1 + a e b t ) c
where a , b are settling parameters and c is curve shape parameter.
To more accurately describe the influence of different model parameters on the shapes of the three curves and the three phases of surface subsidence, we discussed parameters a , b and c separately.
When analyzing the impact of parameter a on the prediction model, we take W m = 3560 mm, b = 0.05 , and c = 4 . From Figure 2, it can be observed that parameter a has minimal influence on the changes in subsidence curves, subsidence velocity and acceleration trends, as well as their peak values. The curve shape remains nearly unchanged. As parameter a decreases, the time to reach maximum subsidence and stabilize is advanced, the time required to reach the maximum subsidence velocity and acceleration decreases, and the initial phase interval shortens, while the active and decline phases remain largely unaffected.
When analyzing the impact of parameter b , we use W m = 3560 mm, a = 10 , and c = 4 . From Figure 3, it is evident that parameter b has a more pronounced impact on the subsidence curve, subsidence velocity and acceleration curves. As the parameter b is reduced, the time taken for the three curves to reach their maximum values increases, and the curves become more gradual. The initial phase and the active phase interval of surface deformation lengthen, while the decline phase shortens. The time required to reach the maximum subsidence extends, and the maximum values of subsidence velocity and acceleration decrease.
For the parameter c , we let W m = 3560 mm, a = 10 , and b = 0.05 . From Figure 4, it is apparent that parameter c also affects the subsidence curve, subsidence velocity and acceleration curves. As the parameter c is decreased, all three curves become smoother, and the time taken to reach their maximum values decreases. The maximum values of subsidence velocity and acceleration decrease, and the initial phase of surface deformation shortens, while the active phase and decline phase slightly increase.

2.2.2. Weibull Time Function Model

The Weibull model is a continuous probability distribution model introduced by Waloddi Weibull in 1951 [48]. This model can effectively utilize known sample data to achieve good predictive results and finds wide applications in material fatigue strength analysis and lifespan prediction [49,50]. Based on the Weibull function model, a dynamic subsidence prediction model for surface deformation can be established. The expression for this model is:
W ( t ) = W m ( 1 e a t b )
where a and b are model parameters related to the nature of the overlying rock formation.
When analyzing the impact of parameter a on the predictive model, assuming W m = 3560 mm and b = 3 , as shown in Figure 5, an increase in the parameter a causes the three curves to become steeper. The time to reach peak values for each curve decreases. The initial and active phases of surface deformation were shortened, while the decline phase is advanced and lengthened, and the maximum values of subsidence velocity and acceleration increase.
When analyzing the impact of parameter b on the predictive model, we take W m = 3560 mm and a = 6 × 10 7 , as shown in Figure 6, increasing the parameter b leads to shorter durations for the initial and active phases of surface deformation, while the decline phase is prolonged, and the time to reach the peak subsidence values is advanced. The impact of parameter b is similar to that of parameter a . These two parameters have a synergistic effect on surface deformation, and when both a and b increase, the maximum values of subsidence velocity and acceleration also increase, and the time for surface deformation advances.

2.2.3. Richards Time Function Model

The Richards model is primarily used to describe the impact of various limiting factors on crop growth processes [51,52]. Wang et al. [19] applied this model to dynamically predict surface movement in mining areas, achieving favorable results. Combining the Richards model provides an expression for dynamic surface subsidence prediction as follows:
W ( t ) = W m ( 1 a e b t ) 1 c
where a is a parameter related to the initial value of surface deformation; b is a parameter describing the speed of surface subsidence; and c is a curve shape control parameter.
Analyzing the impact of parameter a on the predictive model, with W m = 3560 mm, b = 0.05 , and c = 3 × 10 5 , as shown in Figure 7, an increase in parameter a leads to an extension of the initial phase of surface subsidence, while the active and decline phases shorten. The time required to reach the maximum surface subsidence speed and acceleration increases. However, the influence of parameter a on the trends and peak values of the subsidence curve, velocity, and acceleration is not very noticeable, and the overall shape of the curves remains largely unchanged.
Regarding parameter b , with W m = 3560 mm, a = 5 × 10 3 , and c = 3 × 10 5 , Figure 8 illustrates that as parameter b increases, the initial phase and active phase of surface subsidence shorten, while the decline phase lengthens. The three curves become steeper. The maximum values of subsidence velocity and acceleration increase, and the time needed to reach the maximum subsidence velocity and acceleration decreases.
As for parameter c , with W m = 3560 mm, a = 5 × 10 3 , and b = 0.05 , Figure 9 demonstrates that parameter c has the opposite effect to parameter a . An increase in parameter c leads to a shortening of the initial phase of surface subsidence, a slight increase in the active and decline phases, and a reduction in the time required to reach the peak values of subsidence velocity and acceleration. However, in general, the shapes of the three curves remain relatively unchanged, and the effect of the parameter c on the trends and peak values of the subsidence curves, subsidence velocity, and subsidence acceleration curves are not significant.

2.2.4. MMF Time Function Model

The MMF function model is a mathematical model proposed by Morgan-Mercer-Flodin in 1975 to describe the nutrient response relationships in higher organisms [53]. This model comprehensively reflects the entire growth process of organisms. Later, as it coincided with the surface subsidence caused by coal mining, the model has been widely applied to predict surface subsidence [27]. The combined dynamic prediction expression for surface subsidence using the MMF function is as follows:
W ( t ) = W m t a b + t a
where a , b are model parameters, which are related to the nature and thickness of the overlying rock layer.
When analyzing the impact of parameter a on the prediction model, taking W m = 3560 mm and b = 3 × 10 5 , as shown in Figure 10, with an increase in parameter a , the initial phase and active phase of surface deformation shorten, while the decline phase lengthens. All three curves become steeper. The time required to reach the maximum subsidence speed and acceleration on the surface decreases, and the peak values of subsidence speed and acceleration significantly increase.
As for parameter b , assuming W m = 3560 mm and a = 3 , as shown in Figure 11, with an increase in parameter b , the effects on the curves are opposite to those of parameter a . The initial phase and active phase of surface deformation lengthen, while the decline phase shortens, and all three curves have a slowing trend. The peak values of subsidence speed and acceleration decrease, and the time required to reach the maximum subsidence speed and acceleration on the surface increases somewhat.

2.3. Trust-Region Reflective Algorithm (TRF) for Parameters

For the parameter calculation of the time function model, this paper employed the nonlinear least squares fitting method to fit the model’s predicted time function with the observed data. The objective of this fitting process was to minimize the sum of squared residuals between the observed data and the model’s predicted values in order to seek the best-fitting parameters.
There are various optimization methods for finding the optimal parameters in nonlinear least squares fitting, such as the Gauss-Newton method [54,55], the TRF algorithm [40,56,57], and the Levenberg-Marquardt algorithm [58,59]. The Gauss-Newton method transforms the nonlinear fitting problem into a linear least squares problem for solving. The TRF algorithm adopts a trust-region approach, converting the nonlinear least squares problem into a subproblem for iteratively solving the trust region. In each iteration, it establishes a trust region to control the update step size and direction of parameters and adjusts the step length through reflection and contraction. The Levenberg-Marquardt algorithm is commonly used to solve minimum unconstrained optimization problems, combining the advantages of gradient descent and Newton’s methods. However, it is sensitive to the choice of initial values. This algorithm demonstrates high accuracy and fast convergence only when the initial values are in the vicinity of the global optimum. Poor initial value selection may lead to convergence issues or getting stuck in local optima. In contrast, the TRF algorithm offers good stability and convergence performance in nonlinear optimization problems. It ensures convergence to the optimal solution in a finite number of steps even if the initial parameter values are not chosen rationally. It can quickly approach the best solution while avoiding getting trapped in local optima. In this paper, the TRF algorithm was chosen for finding the optimal parameters.
When utilizing the TRF algorithm to solve for the parameters of the time function model, the first step is to transform the optimization problem of the model parameters into a nonlinear least squares optimization problem. The objective function is defined as follows:
{ min f ( U ) = i = 1 N [ W i ( U ) W i ] 2 s . t .   l b U u b
In the formula, W i ( U ) represents the computed i -th subsidence value, W i is the i -th measured subsidence value, and i corresponds to the number of observations for each point, i = 1 , 2 , , N . U is the parameter vector to be inverted, and u b and l b denote the upper and lower bounds of U . When the time function model includes parameter c , U = [ W m a b c ] T ; when it does not include parameter c , U = [ W m a b ] T . In this paper, we assumed the function model included parameter c .
The objective function is transformed into a trust region model subproblem as follows:
{ min m k ( p ) = f ( U k ) + g k T p + 1 2 p T H k p s . t .   p Δ k
In the formula, k represents the k -th iteration, m k ( p ) is the quadratic model, f ( U k ) represents the function value of f ( U ) at the point U ( k ) , g k is the gradient of f ( U ) at the current point U ( k ) , H k represents the Hessian matrix, and Δ k is the trust region radius. p is the solution to the subproblem and the iteration step (i.e., the iteration update p k , including both step length and direction). The calculations for g k and H k are as follows:
g k = ( f W m f a f b f c )
H k = ( 2 f W m 2 2 f W m a 2 f W m b 2 f W m c 2 f a W m 2 f a 2 2 f a b 2 f a c 2 f b W m 2 f b a 2 f b 2 2 f b c 2 f c W m 2 f c a 2 f c b 2 f c 2 )
By solving the trust region model, we continuously update the iterative step to obtain the optimal solution step p k . To determine the ratio between the actual reduction in the objective function and the predicted reduction (i.e., the reduction of the second-order approximation of the model function), use the following formula:
ρ k = f ( U k ) f ( U k + p k ) m k ( 0 ) m k ( p k )
When ρ k approaches 1, it indicates that the approximate model function and the objective function are closely aligned, and the trust region radius for the current iteration step is acceptable. Conversely, when ρ k approaches 0, it suggests a significant difference between the approximate model function and the objective function, requiring a reduction in the trust region radius for the next iteration. Based on ρ k , the update for the next iteration point U k + 1 and the trust region radius Δ k + 1 follows these formulas:
U k + 1 = { U k + p k , ρ k 1 4 U k , ρ k < 1 4
Δ k + 1 = { Δ k 4 , ρ k < 1 4 Δ k , 1 4 ρ k 3 4 2 Δ k , ρ k > 3 4
The process continues using the updated iteration point and trust region radius until g k 10 6 . At this point, the obtained values represent the optimal parameters.

3. Optimization Empowerment Combined Model Based on Sliding Window

We assume that the measured subsidence data for a point on the ground surface follows a time series [ t i , W ( t i ) ] . Where i = 1 , 2 , , N , and t i represents the time of the i -th observation relative to the first observation. We select l ( l 2 ) individual time function models for dynamic ground subsidence prediction. The prediction of subsidence at time t i for the r -th ( r = 1 , 2 , , l ) individual time function model is denoted as W ^ r t i . The weight corresponding to the r -th individual model is Q r ( 0 Q r 1 ) , where r = 1 l Q r = 1 . The vector of weighting coefficients is Q = [ Q 1 , Q 2 , , Q r ] T , and the expression for the combined prediction model is as follows:
W t i ˜ = r = 1 l Q r W ^ r t i
The determination of weights directly impacts the predictive performance of the combined time function model. To accurately determine the model weights, this paper compares and selects the best weighting method among three approaches: entropy weighting, improved coefficient of variation weighting, and optimization empowerment.

3.1. Entropy Weighting Method

The entropy weighting method can determine the weights of models based on the degree of variation of errors from individual prediction models, combined with information entropy. Due to differences in the methods of weighting based on entropy in information theory and statistics, a clear definition is provided when determining the weights for the nonoptimal positive-weighted combination forecasting model: the entropy value of an indicator is inversely related to its variability. If an individual model has a higher degree of variation in prediction errors, its corresponding weight in the combined forecast should be smaller. When a method has significant fluctuations in prediction error, its predictive performance is relatively poor, so it should be assigned a smaller weight.
When using the entropy method to calculate the weights of various models, it is first necessary to normalize each model:
p r t i = | e r t i | i = 1 N e r t i
where p r t i is the weight of the absolute prediction error of the r -th prediction method at time t i , e r t i = W ( t i ) W ^ r t i .
The entropy value h r and the coefficient of variation d r corresponding to the sequence of absolute errors in the prediction of the r -th individual model are:
h r = 1 ln N i = 1 N p r t i ln p r t i
d r = 1 h r
The weights corresponding to the r -th individual prediction model are:
Q r = 1 l 1 ( 1 d r r = 1 l d r )
This method takes into account the information provided by each data indicator, allowing for a more accurate reflection of the contribution of each indicator. It also exhibits a certain degree of robustness when dealing with different data distributions and levels of dispersion.

3.2. Improved Coefficient of Variation Weighting Method

The traditional coefficient of variation method for weighting the combined model uses the standard deviation and mean of the data, but these two statistics are easily influenced by outliers, leading to unstable weights. Furthermore, the coefficient of variation weighting method only considers the data’s variability and neglects the correlations between data, making it necessary for improvement. An improved approach is to use the standard deviation of prediction accuracy to address the shortcomings of the traditional coefficient of variation weighting.
When employing the improved coefficient of variation method for weighting, the relative prediction error ( e r t i ˜ ) and prediction accuracy ( A r t i ) of the r -th prediction method at time t i are determined as follows:
e r t i ˜ = W ( t i ) W ^ r t i W ( t i )
A r t i = { 1 | e r t i ˜ | , | e r t i ˜ | 1 0 , | e r t i ˜ | > 1
Let A r t = [ A r t 1 , A r t 2 , , A r t N ] T , then the mathematical expectation E ( A r t ) , standard deviation σ ( A r t ) , and coefficient of variation d r of the prediction accuracy series of the r -th prediction method are:
E ( A r t ) = 1 N i = 1 N A r t i
σ ( A r t ) = i = 1 N ( A r t i E ( A r t ) ) 2 / N
d r = σ ( A r t ) E ( A r t )
The formula for the weight Q r can be found in Equation (16). This method uses the coefficient of variation of prediction accuracy to determine the weight vector, improving the traditional coefficient of variation weighting. It effectively reduces the impact of outliers on weight allocation, considering both the variability of data indicators and their contribution to the entire model. This leads to enhanced stability and accuracy in the prediction results.

3.3. Optimization Empowerment Method

This paper uses the criterion of minimizing the sum of squared prediction errors to construct an optimization empowerment model, as shown in Equation (22). This model utilizes an optimization mathematical model to objectively analyze and calculate the weights corresponding to different prediction methods. It takes into account the differences between predicted values and actual measurements, providing a more scientific and reliable weighting result.
{ min Y = i = 1 N Q r ( W ( t i ) W ^ r t i ) 2 s . t . r = 1 l Q r = 1 , 0 Q r 1

3.4. Combined Prediction Model under Sliding Window

This paper assumed a sliding window that continuously updated with a fixed size. When using a sliding window, a crucial step is to determine the window size, denoted as V . If the window is large, it will include more data, but it can sometimes be affected by outliers, making it challenging to accurately represent data fluctuations. On the other hand, if the window is small, it includes fewer data and may have difficulty expressing the overall data fluctuations. Additionally, due to the presence of errors, it inevitably impacts the accuracy. Therefore, determining the sliding window size V is of significant importance.
We used the entropy method to determine the window size. In statistics, a larger entropy indicates a more evenly distributed data, while a smaller entropy means a more concentrated data distribution. Therefore, when the entropy is larger, the data errors between different sliding windows are smaller, and the data’s fluctuation is reduced. Hence, the choice of window size is more appropriate. To calculate the optimal window size using the entropy method, follow these steps: (1) calculate the absolute prediction error of the r -th individual prediction method at time t i , along with the average absolute prediction error of l individual predictions corresponding to time t i . (2) Determine the average absolute prediction error for the k -th window, where k = 1 , 2 , , N V + 1 . (3) Normalize all the calculated average absolute prediction errors. (4) Calculate the entropy using the normalized results. (5) The window size V that corresponds to the maximum entropy is considered the optimal window size.
To transform from fixed-weight to variable-weight and determine the weights based on the sliding window size, the sliding window can be integrated into the weight determination process. By using the sliding window to group the observed data, we can obtain the predicted sequence W ^ r t i ( k ) = ( W ^ r t i ( k ) , W ^ r t i ( k + 1 ) , , W ^ r t i ( k + V 1 ) ) generated via the r -th prediction method within the k -th sub-window of the sliding window. The corresponding measured subsequence is W t i ( k ) = ( W t i ( k ) , W t i ( k + 1 ) , , W t i ( k + V 1 ) ) .
Because using the sliding window results in the loss of V 1 data points, when applying the three weight calculation methods mentioned above, to reduce the impact of data loss on the accuracy of subsequent data predictions, we can assume that all weights are Q V in the first sliding window. As we slide to the k -th window at time t k + V 1 , the weights are updated to Q k + V 1 = ( Q ( 1 ) k + V 1 , Q ( 2 ) k + V 1 , , Q ( l ) k + V 1 ) . Then, based on these weights, we can perform a combined prediction, achieving the goal of variable-weight combination prediction.

3.5. Evaluation of Indicators for Forecasting Results

To evaluate the predictive performance of individual time function models and variable-weight combined prediction models, this study employed several evaluation metrics, including root mean square error (RMSE), mean absolute error (MAE), mean absolute percentage error (MAPE), and the correlation coefficient (R2). The calculation methods for these metrics are as follows:
R M S E = i = 1 N ( W ( t i ) W t i ˜ ) 2 / N
M A E = i = 1 N | W ( t i ) W t i ˜ | N
M A P E = 1 N i = 1 N | W ( t i ) W t i ˜ W ( t i ) |
R 2 = 1 i = 1 N ( W ( t i ) W t i ˜ ) 2 i = 1 N ( W ( t i ) W ¯ ) 2
where W ¯ is the average of the measured subsidence data.
A higher correlation coefficient indicates a stronger correlation between the predicted values and the actual measurements, signifying better performance of the prediction model. Smaller values for root mean square error (RMSE), mean absolute error (MAE), and mean absolute percentage error (MAPE) indicate that the model’s predicted values are closer to the actual measurements, with smaller errors, reflecting higher prediction accuracy.

4. Experimental Results and Analysis

To validate the correctness of the variable-weight combination model proposed in this paper, real measurement data from an inclined observation line at a coal mine were taken as an example. The study area and the layout of the mining face and the designed observation station positions are illustrated in Figure 12. The average mining depth was 145 m, with a coal seam thickness of approximately 4.5 m, and a coal seam dip ranging from 0 to 3 degrees. The observation line C was located within the secondary mining area, consisting of 22 observation points spaced at 15 m intervals, labeled as C01, C02, and so on up to C22. For the research, we selected point C22, situated within the subsidence basin, as the focal point.
The TRF algorithm mentioned above was applied to fit real measurement data using four different time function models: Usher, Weibull, Richards, and MMF. The fitting curves for each model alongside the actual subsidence curve can be seen in Figure 13. The resulting equations for the four time function models are as follows:
  • Usher time function model:
W ( t ) = 3563.18 ( 1 + 11.45 × e 0.58 t ) 3.82
Weibull time function model:
W ( t ) = 3532.77 × ( 1 e 6.37 × 10 4 t 3.56 )
Richards time function model:
W ( t ) = 3573.99 × ( 1 3.15 × 10 3 e 0.52 t ) 1 1.21 × 10 4
MMF time function model:
W ( t ) = 3587.56 × t 5.26 2.82 × 10 4 + t 5.26
To verify the accuracy of the TRF algorithm in the parameter optimization process, this study compared it to three other algorithms: genetic algorithm (GA) [60], differential evolution algorithm (DE) [61], and particle swarm optimization algorithm (PSO) [62]. These comparisons were carried out 50 times for each of the Usher, Weibull, Richards, and MMF time function models. The accuracy of the algorithms was evaluated by comparing the mean, maximum, and minimum values of the root mean square error (RMSE) between the predicted values and the actual measurements obtained from 50 runs of each algorithm. The results of this evaluation are presented in Figure 14.
From Figure 14, it can be observed that among the four algorithms, the average, maximum, and minimum values of the root mean square error (RMSE) obtained via the TRF algorithm were superior to the other three algorithms. This indicated that using the TRF algorithm for parameter estimation resulted in higher accuracy and greater stability. Compared to the TRF algorithm, the maximum RMSE values obtained via the PSO algorithm were consistently greater than those obtained via the TRF algorithm. This indicated that the PSO algorithm exhibited lower stability in contrast to the TRF algorithm. For the Weibull time function model with poor fitting accuracy, both the DE and GA algorithms exhibited significant fluctuations in the calculation of RMSE. This was primarily due to their inherent vulnerability to local optima and slower convergence. In particular, the DE algorithm yielded a maximum RMSE value of 348.65, while the TRF algorithm demonstrated higher reliability.
To assess the feasibility of using the TRF algorithm for parameter estimation, this study employed the optimal parameters corresponding to the minimum RMSE value obtained from the 50 runs as previously mentioned. Combined with the prediction formula of the individual time function model, the obtained correlation coefficient R2 between the predicted and measured values at point C22 served as the evaluation metric. As shown in Table 1, it was evident that the R2 values obtained using the TRF algorithm for all four time function models were greater than those obtained using the other three algorithms. Notably, the MMF time function model, when employing the TRF algorithm, yielded the highest R2 value of 0.99926. This suggested that using this algorithm for parameter estimation in time function models resulted in greater accuracy and improved model fit.
After determining the parameter estimation algorithm, the optimal window size was calculated using the entropy method. Table 2 provides the entropy values for window sizes ranging V = 2 7 . From the table, it was apparent that the entropy value was greatest when V = 3 . This indicated that at this window size, the degree of variation of prediction errors within the window was minimized, making it the optimal window size.
In the case of a window size of 3, we calculated the coefficient of variation and weight for each window using the entropy weighting method, improved coefficient of variation weighting method, and optimization empowerment method. By assigning the weight of the k -th window to the combined model at time t k + V 1 , we calculated the predictions of the variable-weight combined model. Taking the Usher-Weibull combined model as an example, this paper provided the coefficient of variation and weights for the three distinct weighting methods, as shown in Table 3.
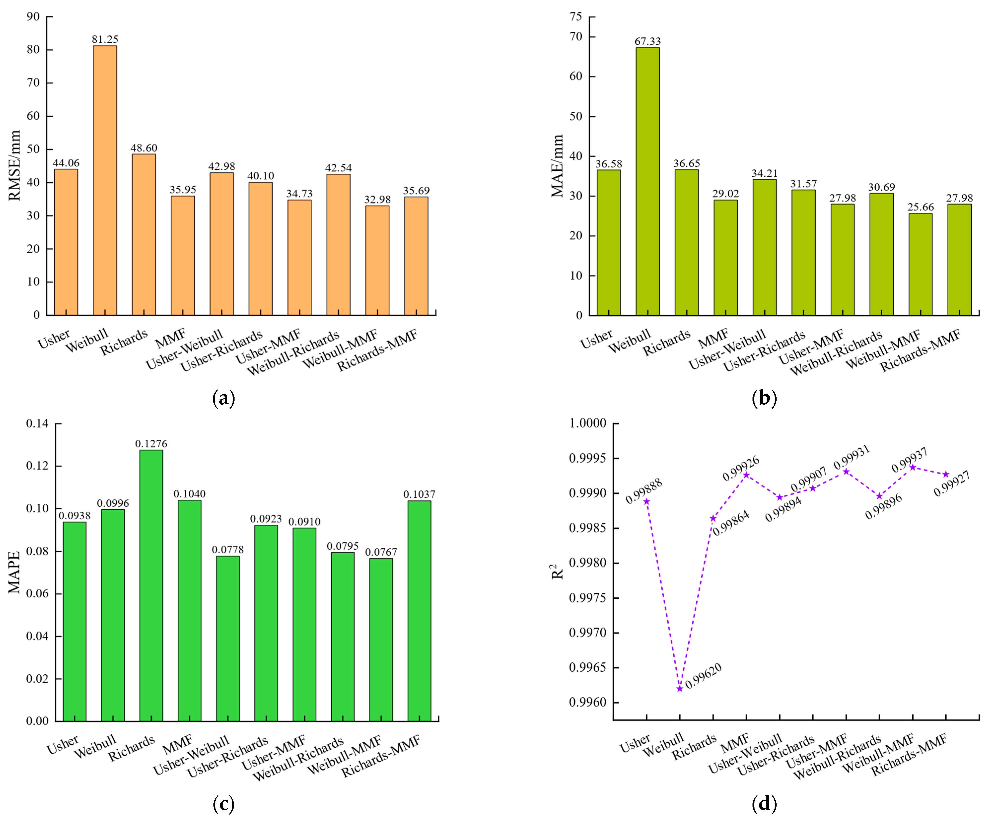
Based on the weights determined in Table 3, predictions for the Usher-Weibull combined model were calculated using the three different weighting methods. Subsequently, weight calculations were performed for other combined models of individual time function in a similar manner to the Usher-Weibull combined model. Upon comparison of the four evaluation indicators in Table 4, it was observed that the optimization empowerment method outperformed both the entropy weighting method and the improved coefficient of variation weighting method. Therefore, this paper adopted the optimization empowerment method to determine the weights for the combined models. After determining the weights, to better illustrate the superiority of the variable weight combined prediction model over individual time function model, we evaluated and compared the predictions obtained via the combined model and the four individual models for the C22 point, using the four evaluation criteria from Section 3.5. This comparison is presented in Figure 15.
From the graph, it was obvious that all models exhibited good fitting performance, with R2 values exceeding 0.99. The four evaluation metrics for the combined prediction models were superior to their corresponding individual prediction models. When combining the Weibull time function model, which had the highest RMSE among the four individual models, with the MMF time function model, which had the lowest RMSE, the resulting model outperformed these two individual models. Relative to the relatively poor-fitting Weibull individual model, the Weibull-MMF combined model experienced a greater improvement in MAPE, approximately 22.99%. Its RMSE increased by 59.41%, and MAE increased by 61.89%. Additionally, when combining two individual time function models with similar accuracies, such as the Usher and Richards models, the increase in MAPE for the Usher model was relatively small, around 1.60%. The RMSE increased by 9.00%, and MAE increased by 13.70%. Among the six combined models, the Weibull-MMF model exhibited the smallest RMSE, MAE, and MAPE, as well as the largest R2, indicating the highest prediction accuracy for this model. In addition, since the four models in Figure 14 were the same as those in Figure 15, and they were all derived from the TRF algorithm, their RMSEs were the same.
To further illustrate the applicability of the variable-weight combined model, the ten different time function models were used to predict subsidence at point C16. The resulting residual values between the predicted and measured values are shown in Figure 16. Among the ten prediction models, the Weibull time function model had the largest residual values over the entire ground movement observation period, indicating lower prediction accuracy for this model. From the 4th to the 14th day of observation, the residual values for all prediction models were relatively larger. This was because this period corresponded to the active phase of surface deformation, characterized by intense overburden movement. Additionally, due to the comprehensive effects of geological factors, mining activities, and other uncertainties during overlying rock subsidence, this phase tended to exhibit larger residuals compared to other phases. After the 14th day, surface subsidence had entered a decline phase, with smaller surface subsidence. During this stage, the predictions from these models were more accurate, with smaller residual values for all time function models except for the Weibull prediction model. Among these ten prediction models, the combined model’s prediction residuals were smaller compared to the corresponding residuals of the two individual prediction models. This indicated that the combined model provided more accurate predictions, further demonstrating the suitability of the variable-weight combined model.

5. Discussion and Conclusions

5.1. Discussion

Although the variable weight time function combined model achieved reasonably good predictive results, it also exhibited some shortcomings. In the model, different parameters had varying impacts on the accuracy of prediction results, and the model was sensitive to parameter adjustments. Extensive data was required for the training and validation of this model, especially when dealing with complex problems. Insufficient data may lead to less accurate predictions. Due to various constraints such as geological conditions and mining methods, the results of this prediction method may be less accurate in extremely complex scenarios.
In addition, the TRF algorithm had some potential limitations. Compared to DE, GA, and PSO algorithms, the TRF algorithm demonstrated superior stability and convergence. However, this algorithm involved a complex computational process, requiring the solution of an optimization subproblem in each iteration step, which entailed intricate calculations. Additionally, the algorithm typically relied on the second derivative or an approximation of the second derivative of the objective function. In certain situations, obtaining this information may pose challenges due to difficulty or high computational costs. Furthermore, the performance of the TRF algorithm was often highly dependent on parameter selection, which demanded considerable expertise.
The prediction process may involve uncertainties and could potentially incur certain errors. During the data collection process, measured data may be subject to measurement errors influenced by human factors and instrument characteristics. Additionally, due to inherent limitations such as overfitting or underfitting, the time function model may not be able to accurately depict the entire process of surface subsidence. In the coal mining process, uncertainties such as sudden increases or decreases in extraction speed, changes in mining methods, and pauses in the extraction process can impact the accuracy of predictive results.
We still have a lot of work to do in future research. The variable weight time function combined model primarily employs mathematical computation methods and falls short in fully analyzing the stress changes in overlying rocks and the surface during the mining process. Therefore, future predictive models should comprehensively consider the mechanical mechanisms of overlying rock and surface subsidence during the extraction process. The model faces challenges in applicability when lacking actual measurement data. Subsequent research can explore the suitability of different temporal functions in various mining areas and propose methods to determine the parameters of temporal functions based on geological conditions in mining areas. Even after the subsidence of the mining area stabilizes, the surface continues to undergo minor deformations. Hence, further monitoring and research are necessary for the long-term surface deformations after the stability of surface subsidence.

5.2. Conclusions

This paper leveraged the trust region reflective algorithm (TRF) to transform the parameter inversion problem of individual time function models into a nonlinear least squares optimization trust region subproblem. In the process of parameter optimization, compared to differential evolution algorithm (DE), genetic algorithm (GA), and particle swarm optimization algorithm (PSO), this algorithm demonstrated robust local search and global optimization capabilities, enabling rapid overall convergence for parameter optimization. Additionally, the time function models obtained using this algorithm exhibited predictive accuracy suitable for general engineering requirements.
Building upon the conventional practice of fixed-weight combinations, this paper introduced a novel approach by incorporating a sliding window model to convert fixed weights into variable weights, thereby achieving dynamic weighting for combined models. This introduced a new method and perspective for achieving model weighting adaptation.
Compared to individual time function models, the combined model can compensate for the shortcomings of individual models, resulting in reduced errors and improved accuracy. Through practical engineering applications, the feasibility of implementing the variable-weight combined model based on sliding windows has been validated. This method can provide guidance for dynamic subsidence prediction in other complex situations to some extent.

Author Contributions

Conceptualization, H.C.; methodology, H.C. and H.X.; software, H.X. and J.H.; validation, S.G., P.G. and H.X.; formal analysis, H.X., J.H., Y.D. and Y.Z.; investigation, H.X. and M.X.; resources, H.X. and L.C.; data curation, H.X., Y.Z. and M.X.; writing—original draft preparation, H.X.; writing—review and editing, H.C. and H.X.; visualization, H.X. and L.C.; supervision, S.G., P.G. and Y.D.; project administration, H.C.; funding acquisition, L.C. All authors have read and agreed to the published version of the manuscript.

Funding

This research was funded by the National Natural Science Foundation of China under Grant U22A20620.

Institutional Review Board Statement

Not applicable.

Informed Consent Statement

Not applicable.

Data Availability Statement

Dataset available on request from the authors.

Acknowledgments

We thank all the authors for their support. The authors are also very grateful for the kind suggestions and valuable comments by the anonymous reviewers.

Conflicts of Interest

The authors declare no conflicts of interest.

References

  1. Jia, Z.; Lin, B. How to achieve the first step of the carbon-neutrality 2060 target in China: The coal substitution perspective. Energy 2021, 233, 121179. [Google Scholar] [CrossRef]
  2. Molinda, G.M. Geologic Hazards and Roof Stability in Coal Mines; US Department of Health and Human Services, Public Health Service, Centers for Disease Control and Prevention, National Institute for Occupational Safety and Health, Pittsburgh Research Laboratory: Pittsburgh, PA, USA, 2003.
  3. Lian, X.; Hu, H.; Li, T.; Hu, D. Main geological and mining factors affecting ground cracks induced by underground coal mining in Shanxi Province, China. Int. J. Coal Sci. Technol. 2020, 7, 362–370. [Google Scholar] [CrossRef]
  4. Byrne, C.F.; Stormont, J.C.; Stone, M.C. Soil water balance dynamics on reclaimed mine land in the southwestern United States. J. Arid Environ. 2017, 136, 28–37. [Google Scholar] [CrossRef]
  5. Liu, F.; Wang, G.; Liang, X.; Qu, S.; Shi, Z.; Li, J.; Luo, A. Temporal variation of groundwater hydrochemistry and water stable isotopes under long-term mining disturbance in a coal mine, northwest China. Appl. Geochem. 2023, 158, 105802. [Google Scholar] [CrossRef]
  6. Bai, E.; Guo, W.; Tan, Y. Negative externalities of high-intensity mining and disaster prevention technology in China. Bull. Eng. Geol. Environ. 2019, 78, 5219–5235. [Google Scholar] [CrossRef]
  7. Guzy, A.; Witkowski, W.T. Land subsidence estimation for aquifer drainage induced by underground mining. Energies 2021, 14, 4658. [Google Scholar] [CrossRef]
  8. Yang, Z.; Xu, B.; Li, Z.; Wu, L.; Zhu, J. Prediction of mining-induced kinematic 3-D displacements from InSAR using a Weibull model and a Kalman filter. IEEE Trans. Geosci. Remote Sens. 2021, 60, 4500912. [Google Scholar] [CrossRef]
  9. Hu, Q.; Cui, X.; Liu, W.; Feng, R.; Ma, T.; Li, C. Quantitative and dynamic predictive model for mining-induced movement and deformation of overlying strata. Eng. Geol. 2022, 311, 106876. [Google Scholar] [CrossRef]
  10. Knothe, S. Time influence on a formation of a subsidence surface. Arch. Gor. Hut. Krakow 1952, 1, 1. (In Polish) [Google Scholar]
  11. Ming-hua, Z.; Zhao, L.; Xin-jun, Z. Prediction of roadbed settlement by Usher model. Rock Soil Mech. 2008, 29, 2973. [Google Scholar]
  12. He, L.; Wu, D.; Ma, L. Numerical simulation and verification of goaf morphology evolution and surface subsidence in a mine. Eng. Fail. Anal. 2023, 144, 106918. [Google Scholar] [CrossRef]
  13. Tu, X.-H.; Wang, Z.-L.; Liang, Z.-M.; Li, Y.-C. Study on application of modified Weibull model to settlement prediction of foundation. Yantu Lixue (Rock Soil Mech.) 2005, 26, 621–623. [Google Scholar]
  14. Zhou, A.Z.; Gu, W.W.; Wang, W. Study on Prediction Models for Time-Dependent Settlement of Soft Road Foundation. Appl. Mech. Mater. 2012, 204, 1880–1885. [Google Scholar] [CrossRef]
  15. Tao, Z.; Guo-Jun, C.; Song-Yu, L. Settlement prediction of soft ground based on Weibull model. Chin. J. Geotech. Eng. 2013, 35, 212–216. [Google Scholar]
  16. Ma, J.; Yin, D.; Jiang, N.; Wang, S.; Yao, D. Application of a superposition model to evaluate surface asymmetric settlement in a mining area with thick bedrock and thin loose layer. J. Clean. Prod. 2021, 314, 128075. [Google Scholar] [CrossRef]
  17. Xing, X.; Zhu, Y.; Yuan, Z.; Xiao, L.; Liu, X.; Chen, L.; Xia, Q.; Liu, B. Predicting mining-induced dynamic deformations for drilling solution rock salt mine based on probability integral method and weibull temporal function. Int. J. Remote Sens. 2021, 42, 639–671. [Google Scholar] [CrossRef]
  18. Zhi-Yu, X.; Chang-Fu, C. Settlement prediction of soft clay roadbed based on Richards model. J. Highw. Transp. Res. Dev. 2008, 11. [Google Scholar]
  19. Wang, Z.; Deng, K. Richards model of surface dynamic subsidence prediction in mining area. Rock Soil Mech. 2011, 32, 1664–1668. [Google Scholar]
  20. Huang, C.-F.; Li, Q.; Wu, S.-C.; Li, J.-Y.; Xu, X.-L. Application of the Richards model for settlement prediction based on a bidirectional difference-weighted least-squares method. Arab. J. Sci. Eng. 2018, 43, 5057–5065. [Google Scholar] [CrossRef]
  21. Wang, Z.; Dai, H.; Yan, Y.; Ren, J.; Liu, J.; Zhang, Y.; Xu, G. Application of the Time Function Model for Dynamic Deformation Prediction in Mining Areas under Characteristic Constraints. Sustainability 2023, 15, 14719. [Google Scholar] [CrossRef]
  22. Liao, W.; Wang, J. Study on application of MMF model to prediction of foundation settlement. Chin. J. Undergr. Space Eng. 2011, 7, 807–811. [Google Scholar]
  23. Jia-Chen, W.; Zhao-Hui, W. Stability of main roof structure during the first weighting in shallow high-intensity mining face with thin bedrock. J. Min. Saf. Eng. 2015, 32, 175. [Google Scholar]
  24. Zhou, B.; Yan, Y.; Kang, J. Dynamic Prediction Model for Progressive Surface Subsidence Based on MMF Time Function. Appl. Sci. 2023, 13, 8066. [Google Scholar] [CrossRef]
  25. Liu, D.; Deng, N.; Yao, T.; Shang, H. Study on parameters of Weibull time function model based on sited measured mining subsidence data. Coal Sci. Technol. 2021, 49, 152–158. [Google Scholar]
  26. Yan, Z.G. Parameter estimation of Richards model and algorithm effectiveness based on particle swarm optimization algorithm. J. Comput. Appl. 2014, 34, 2827. [Google Scholar]
  27. Wang, J.-B.; Liu, X.-R.; Li, P.; Guo, J.-J. Study on prediction of surface subsidence in mined-out region with the MMF model. J. China Coal Soc. 2012, 37, 411–415. [Google Scholar]
  28. Bates, J.M.; Granger, C.W. The combination of forecasts. J. Oper. Res. Soc. 1969, 20, 451–468. [Google Scholar] [CrossRef]
  29. Lin, Y.; Yang, M.; Wan, C.; Wang, J.; Song, Y. A multi-model combination approach for probabilistic wind power forecasting. IEEE Trans. Sustain. Energy 2018, 10, 226–237. [Google Scholar] [CrossRef]
  30. Xiao, L.; Wang, J.; Hou, R.; Wu, J. A combined model based on data pre-analysis and weight coefficients optimization for electrical load forecasting. Energy 2015, 82, 524–549. [Google Scholar] [CrossRef]
  31. Wang, R.; Wang, J.; Xu, Y. A novel combined model based on hybrid optimization algorithm for electrical load forecasting. Appl. Soft Comput. 2019, 82, 105548. [Google Scholar] [CrossRef]
  32. Zhang, G.; Yan, W.; Jiang, K. Inversion method for the prediction parameters of mining subsidence based on the PB combination prediction model of variable weight. J. Min. Strat. Control Eng. 2021, 3, 013524. [Google Scholar]
  33. Clemen, R.T. Combining forecasts: A review and annotated bibliography. Int. J. Forecast. 1989, 5, 559–583. [Google Scholar] [CrossRef]
  34. Granger, C.W.; Ramanathan, R. Improved methods of combining forecasts. J. Forecast. 1984, 3, 197–204. [Google Scholar] [CrossRef]
  35. Liu, D.-J.; Li, L. Application study of comprehensive forecasting model based on entropy weighting method on trend of PM2.5 concentration in Guangzhou, China. Int. J. Environ. Res. Public Health 2015, 12, 7085–7099. [Google Scholar] [CrossRef]
  36. Zhu, Y.; Tian, D.; Yan, F. Effectiveness of entropy weight method in decision-making. Math. Probl. Eng. 2020, 2020, 3564835. [Google Scholar] [CrossRef]
  37. Chen, H.; Hou, D. Combination forecasting model based on forecasting effective measure with standard deviate. J. Syst. Eng. 2003, 18, 203–210. [Google Scholar]
  38. Datar, M.; Motwani, R. The sliding-window computation model and results. In Data Stream Management: Processing High-Speed Data Streams; Springer: Berlin/Heidelberg, Germany, 2016; pp. 149–165. [Google Scholar]
  39. Tang, R.; Feng, T.; Sha, Q.; Zhang, S. A variable-sized sliding-window approach for genetic association studies via principal component analysis. Ann. Hum. Genet. 2009, 73, 631–637. [Google Scholar] [CrossRef] [PubMed]
  40. Wu, L.; Chen, Z.; Long, C.; Cheng, S.; Lin, P.; Chen, Y.; Chen, H. Parameter extraction of photovoltaic models from measured IV characteristics curves using a hybrid trust-region reflective algorithm. Appl. Energy 2018, 232, 36–53. [Google Scholar] [CrossRef]
  41. Singh, M.M. Mine Subsidence; Society of Mining Engineers of AIME: Littleton, CO, USA, 1986. [Google Scholar]
  42. Nie, L.; Wang, H.; Xu, Y.; Li, Z. A new prediction model for mining subsidence deformation: The arc tangent function model. Nat. Hazards 2015, 75, 2185–2198. [Google Scholar] [CrossRef]
  43. Wu, K.; Cheng, G.-L.; Zhou, D.-W. Experimental research on dynamic movement in strata overlying coal mines using similar material modeling. Arab. J. Geosci. 2015, 8, 6521–6534. [Google Scholar] [CrossRef]
  44. Chi, S.; Wang, L.; Yu, X.; Lv, W.; Fang, X. Research on dynamic prediction model of surface subsidence in mining areas with thick unconsolidated layers. Energy Explor. Exploit. 2021, 39, 927–943. [Google Scholar] [CrossRef]
  45. Jiang, C.; Wang, L.; Yu, X. Retrieving 3D large gradient deformation induced to mining subsidence based on fusion of Boltzmann prediction model and single-track InSAR earth observation technology. IEEE Access 2021, 9, 87156–87172. [Google Scholar] [CrossRef]
  46. Guofei, C.; Aiyin, S.; Hai, T. A comprehensive prediction model based on usher model and water drive characteristic curves. Xinjiang Pet. Geol. 2016, 37, 1. [Google Scholar]
  47. Su, Y.; Wang, X.; Fu, Y.; Zheng, X.; You, G. Research on surface settlement prediction based on the combination prediction model of S-shaped growth curves. Geosystem Eng. 2018, 21, 236–241. [Google Scholar] [CrossRef]
  48. Weibull, W. A statistical distribution function of wide applicability. J. Appl. Mech. 1951. [CrossRef]
  49. Hua, F.; Liu, J.; Pan, X.; Zhao, H.; Zhang, Z.; Lang, S. Research on multiaxial fatigue life of notched specimens based on Weibull distribution and Bayes estimation. Int. J. Fatigue 2023, 166, 107271. [Google Scholar] [CrossRef]
  50. Ţinca, I.E.; Davidescu, A. Analytical Fatigue Life Prediction of Ball Grid Array Solder Joints. J. Electron. Mater. 2023, 52, 7991–8000. [Google Scholar] [CrossRef]
  51. Hsieh, C.-Y.; Fang, S.-L.; Wu, Y.-F.; Chu, Y.-C.; Kuo, B.-J. Using sigmoid growth curves to establish growth models of tomato and eggplant stems suitable for grafting in subtropical countries. Horticulturae 2021, 7, 537. [Google Scholar] [CrossRef]
  52. Xiao, Z.; Lei, H.; Jin, C.; Pan, H.; Lian, Y. Relationship between the dynamic characteristics of tomato plant height and leaf area index with yield, under aerated drip irrigation and nitrogen application in greenhouses. Agronomy 2022, 13, 116. [Google Scholar] [CrossRef]
  53. Morgan, P.H.; Mercer, L.P.; Flodin, N.W. General model for nutritional responses of higher organisms. Proc. Natl. Acad. Sci. USA 1975, 72, 4327–4331. [Google Scholar] [CrossRef]
  54. Pes, F.; Rodriguez, G. A doubly relaxed minimal-norm Gauss–Newton method for underdetermined nonlinear least-squares problems. Appl. Numer. Math. 2022, 171, 233–248. [Google Scholar] [CrossRef]
  55. Gao, G.; Florez, H.; Vink, J.; Blom, C.; Wells, T.; Saaf, F. Performance Benchmarking of Different Methods to Solve Gauss-Newton Trust Region Subproblems. In Proceedings of the SPE Reservoir Simulation Conference, Galveston, TX, USA, 28–30 March 2023. [Google Scholar]
  56. Liu, M.; Zhou, X.; Yang, L.; Ju, X. A novel Kalman-filter-based battery internal temperature estimation method based on an enhanced electro-thermal coupling model. J. Energy Storage 2023, 71, 108241. [Google Scholar] [CrossRef]
  57. Zhu, R.; Xia, Q.; Zhang, Q.; Cao, C.; Zhang, X.; Mao, B. Dynamic Parameter Calibration of an Analytical Model to Predict Transient Groundwater Inflow into a Tunnel. Water 2023, 15, 2702. [Google Scholar] [CrossRef]
  58. Zheng, L.; Chen, L.; Ma, Y. A variant of the Levenberg-Marquardt method with adaptive parameters for systems of nonlinear equations. AIMS Math 2022, 7, 1241–1256. [Google Scholar] [CrossRef]
  59. Marumo, N.; Okuno, T.; Takeda, A. Majorization-minimization-based Levenberg–Marquardt method for constrained nonlinear least squares. Comput. Optim. Appl. 2023, 84, 833–874. [Google Scholar] [CrossRef]
  60. Katoch, S.; Chauhan, S.S.; Kumar, V. A review on genetic algorithm: Past, present, and future. Multimed. Tools Appl. 2021, 80, 8091–8126. [Google Scholar] [CrossRef] [PubMed]
  61. Qin, A.K.; Huang, V.L.; Suganthan, P.N. Differential evolution algorithm with strategy adaptation for global numerical optimization. IEEE Trans. Evol. Comput. 2008, 13, 398–417. [Google Scholar] [CrossRef]
  62. Wang, D.; Tan, D.; Liu, L. Particle swarm optimization algorithm: An overview. Soft Comput. 2018, 22, 387–408. [Google Scholar] [CrossRef]
Figure 1. The process of moving a point on the surface.
Figure 1. The process of moving a point on the surface.
Applsci 14 01748 g001
Figure 2. (a) Effect of parameter a on surface subsidence; (b) effect of parameter a on surface subsidence velocity; (c) effect of parameter a on surface subsidence acceleration. (The horizontal axis t/d represents the mining time, and its unit is days, as it is in the other figures).
Figure 2. (a) Effect of parameter a on surface subsidence; (b) effect of parameter a on surface subsidence velocity; (c) effect of parameter a on surface subsidence acceleration. (The horizontal axis t/d represents the mining time, and its unit is days, as it is in the other figures).
Applsci 14 01748 g002
Figure 3. (a) Effect of parameter b on surface subsidence; (b) effect of parameter b on surface subsidence velocity; (c) effect of parameter b on surface subsidence acceleration.
Figure 3. (a) Effect of parameter b on surface subsidence; (b) effect of parameter b on surface subsidence velocity; (c) effect of parameter b on surface subsidence acceleration.
Applsci 14 01748 g003
Figure 4. (a) Effect of parameter c on surface subsidence; (b) effect of parameter c on surface subsidence velocity; (c) effect of parameter c on surface subsidence acceleration.
Figure 4. (a) Effect of parameter c on surface subsidence; (b) effect of parameter c on surface subsidence velocity; (c) effect of parameter c on surface subsidence acceleration.
Applsci 14 01748 g004
Figure 5. (a) Effect of parameter a on surface subsidence; (b) effect of parameter a on surface subsidence velocity; (c) effect of parameter a on surface subsidence acceleration.
Figure 5. (a) Effect of parameter a on surface subsidence; (b) effect of parameter a on surface subsidence velocity; (c) effect of parameter a on surface subsidence acceleration.
Applsci 14 01748 g005
Figure 6. (a) Effect of parameter b on surface subsidence; (b) effect of parameter b on surface subsidence velocity; (c) effect of parameter b on surface subsidence acceleration.
Figure 6. (a) Effect of parameter b on surface subsidence; (b) effect of parameter b on surface subsidence velocity; (c) effect of parameter b on surface subsidence acceleration.
Applsci 14 01748 g006
Figure 7. (a) Effect of parameter a on surface subsidence; (b) effect of parameter b on surface subsidence velocity; (c) effect of parameter b on surface subsidence acceleration.
Figure 7. (a) Effect of parameter a on surface subsidence; (b) effect of parameter b on surface subsidence velocity; (c) effect of parameter b on surface subsidence acceleration.
Applsci 14 01748 g007
Figure 8. (a) Effect of parameter b on surface subsidence; (b) effect of parameter b on surface subsidence velocity; (c) effect of parameter b on surface subsidence acceleration.
Figure 8. (a) Effect of parameter b on surface subsidence; (b) effect of parameter b on surface subsidence velocity; (c) effect of parameter b on surface subsidence acceleration.
Applsci 14 01748 g008
Figure 9. (a) Effect of parameter c on surface subsidence; (b) effect of parameter c on surface subsidence velocity; (c) effect of parameter c on surface subsidence acceleration.
Figure 9. (a) Effect of parameter c on surface subsidence; (b) effect of parameter c on surface subsidence velocity; (c) effect of parameter c on surface subsidence acceleration.
Applsci 14 01748 g009
Figure 10. (a) Effect of parameter a on surface subsidence; (b) effect of parameter a on surface subsidence velocity; (c) effect of parameter a on surface subsidence acceleration.
Figure 10. (a) Effect of parameter a on surface subsidence; (b) effect of parameter a on surface subsidence velocity; (c) effect of parameter a on surface subsidence acceleration.
Applsci 14 01748 g010
Figure 11. (a) Effect of parameter b on surface subsidence; (b) effect of parameter b on surface subsidence velocity; (c) effect of parameter b on surface subsidence acceleration.
Figure 11. (a) Effect of parameter b on surface subsidence; (b) effect of parameter b on surface subsidence velocity; (c) effect of parameter b on surface subsidence acceleration.
Applsci 14 01748 g011
Figure 12. (a) Location of Yulin City in China; (b) location of Shenmu City in Yulin City; (c) location of the working face and the observation line layout.
Figure 12. (a) Location of Yulin City in China; (b) location of Shenmu City in Yulin City; (c) location of the working face and the observation line layout.
Applsci 14 01748 g012
Figure 13. Comparison of predicted and measured subsidence curves of four prediction models: (a) comparison of predicted and measured subsidence curves of Usher time function model; (b) comparison of predicted and measured subsidence curves of Weibull time function model; (c) comparison of predicted and measured subsidence curves of Richards time function model; (d) comparison of predicted and measured subsidence curves of MMF time function model.
Figure 13. Comparison of predicted and measured subsidence curves of four prediction models: (a) comparison of predicted and measured subsidence curves of Usher time function model; (b) comparison of predicted and measured subsidence curves of Weibull time function model; (c) comparison of predicted and measured subsidence curves of Richards time function model; (d) comparison of predicted and measured subsidence curves of MMF time function model.
Applsci 14 01748 g013
Figure 14. (a) Comparison of RMSE minimum values; (b) comparison of RMSE maximum values; (c) comparison of RMSE mean values.
Figure 14. (a) Comparison of RMSE minimum values; (b) comparison of RMSE maximum values; (c) comparison of RMSE mean values.
Applsci 14 01748 g014
Figure 15. Evaluation of prediction effects of individual and combined models: (a) comparison of RMSE for individual and combined model predictions; (b) comparison of MAE for individual and combined model predictions; (c) comparison of MAPE for individual and combined model predictions; (d) comparison of R2 for individual and combined model predictions.
Figure 15. Evaluation of prediction effects of individual and combined models: (a) comparison of RMSE for individual and combined model predictions; (b) comparison of MAE for individual and combined model predictions; (c) comparison of MAPE for individual and combined model predictions; (d) comparison of R2 for individual and combined model predictions.
Applsci 14 01748 g015
Figure 16. Comparison of residual plots for each individual model and the combined model: (a) comparison of residual values of Usher, Weibull, and Usher-Weibull models; (b) comparison of residual values of Usher, Richards, and Usher-Richards models; (c) comparison of residual values of Usher, MMF, and Usher-MMF models; (d) comparison of residual values of Weibull, Richards, and Weibull-Richards models; (e) comparison of residual values of Weibull, MMF, and Weibull-MMF models; (f) comparison of residual values of Richards, MMF, and Richards-MMF models.
Figure 16. Comparison of residual plots for each individual model and the combined model: (a) comparison of residual values of Usher, Weibull, and Usher-Weibull models; (b) comparison of residual values of Usher, Richards, and Usher-Richards models; (c) comparison of residual values of Usher, MMF, and Usher-MMF models; (d) comparison of residual values of Weibull, Richards, and Weibull-Richards models; (e) comparison of residual values of Weibull, MMF, and Weibull-MMF models; (f) comparison of residual values of Richards, MMF, and Richards-MMF models.
Applsci 14 01748 g016
Table 1. Comparison of R2 obtained using different models and algorithms.
Table 1. Comparison of R2 obtained using different models and algorithms.
Algorithm R2
UsherWeibullRichardsMMF
DE 0.998820.996170.998460.99925
GA0.998870.996000.998560.99925
PSO0.998870.996190.998560.99925
TRF0.998880.996200.998640.99926
Table 2. Window size and corresponding entropy values.
Table 2. Window size and corresponding entropy values.
Window Size/V234567
Entropy0.74220.94900.89920.84100.69770.6975
Table 3. Coefficients of variation and weights corresponding to the three assignment methods of Usher-Weibull.
Table 3. Coefficients of variation and weights corresponding to the three assignment methods of Usher-Weibull.
t/dEntropy WeightingImproved Coefficient of Variation WeightingOptimization Empowerment
d1d2Q1Q2d1d2Q1Q2Q1Q2
20.0360.0340.4800.5200.5370.3230.3750.6250.6840.316
40.0360.0340.4800.5200.5370.3230.3750.6250.6840.316
60.0360.0340.4800.5200.5370.3230.3750.6250.6840.316
80.0750.0670.4720.5280.0450.1530.7740.2261.0000.000
100.0420.0490.5400.4600.0180.0130.4130.5871.0000.000
120.0400.0070.1560.8440.0090.0110.5480.4521.0000.000
140.2720.1840.4040.5960.0080.0170.6820.3181.0000.000
160.3870.6120.6130.3870.0080.0190.7020.2981.0000.000
180.1520.2830.6500.3500.0020.0040.6930.3070.9820.018
200.0980.3170.7640.2360.0020.0060.7510.2491.0000.000
220.1000.0170.1480.8520.0020.0020.5490.4511.0000.000
230.0500.0110.1740.8260.0020.0020.5050.4951.0000.000
Table 4. Comparison of the prediction accuracy of three weighting methods of Usher-Weibull.
Table 4. Comparison of the prediction accuracy of three weighting methods of Usher-Weibull.
Evaluation IndicatorEntropy WeightingImproved Coefficient of Variation WeightingOptimization Empowerment
RMSE65.3655.6442.98
MAE52.8045.1734.21
MAPE0.08700.07590.0778
R20.997540.998210.99894
Disclaimer/Publisher’s Note: The statements, opinions and data contained in all publications are solely those of the individual author(s) and contributor(s) and not of MDPI and/or the editor(s). MDPI and/or the editor(s) disclaim responsibility for any injury to people or property resulting from any ideas, methods, instructions or products referred to in the content.

Share and Cite

MDPI and ACS Style

Chai, H.; Xu, H.; Hu, J.; Geng, S.; Guan, P.; Ding, Y.; Zhao, Y.; Xu, M.; Chen, L. Application of a Variable Weight Time Function Combined Model in Surface Subsidence Prediction in Goaf Area: A Case Study in China. Appl. Sci. 2024, 14, 1748. https://doi.org/10.3390/app14051748

AMA Style

Chai H, Xu H, Hu J, Geng S, Guan P, Ding Y, Zhao Y, Xu M, Chen L. Application of a Variable Weight Time Function Combined Model in Surface Subsidence Prediction in Goaf Area: A Case Study in China. Applied Sciences. 2024; 14(5):1748. https://doi.org/10.3390/app14051748

Chicago/Turabian Style

Chai, Huabin, Hui Xu, Jibiao Hu, Sijia Geng, Pengju Guan, Yahui Ding, Yuqiao Zhao, Mingtao Xu, and Lulu Chen. 2024. "Application of a Variable Weight Time Function Combined Model in Surface Subsidence Prediction in Goaf Area: A Case Study in China" Applied Sciences 14, no. 5: 1748. https://doi.org/10.3390/app14051748

APA Style

Chai, H., Xu, H., Hu, J., Geng, S., Guan, P., Ding, Y., Zhao, Y., Xu, M., & Chen, L. (2024). Application of a Variable Weight Time Function Combined Model in Surface Subsidence Prediction in Goaf Area: A Case Study in China. Applied Sciences, 14(5), 1748. https://doi.org/10.3390/app14051748

Note that from the first issue of 2016, this journal uses article numbers instead of page numbers. See further details here.

Article Metrics

Back to TopTop