Location-Aware Deep Interaction Forest for Web Service QoS Prediction
Abstract
1. Introduction
- We designed a scanning interactive structure (SIS). It interacts user features and service features, and selects different size combinations of local features to generate more effective feature interaction information and alleviate the effect of sparse data. It also designs a new interactive calculation to express the feature interaction information under different orders.
- We proposed the LDIF model based on deep forests. By fusing the location similarity information of users and services, and using SIS to compose a layer-by-layer cascade, which automatically fuses feature interaction information from low- to high-order, it can find more effective feature information and improve the accuracy of QoS prediction.
- The approach proposed in this paper is experimentally verified under six kinds of data sparsity by using the real public WS-DREAM service dataset. The experiment’s result shows that our approach has higher prediction accuracy compared with eight other state-of-the-art approaches.
2. Related Work
2.1. Collaborative Filtering Methods
2.2. Deep Learning Methods
3. Proposed Approach
3.1. Problem Description
3.2. LDIF Approach
3.2.1. Geographic Similarity
3.2.2. Scan Interact Structure
3.2.3. Algorithm Complexity Analysis
| Algorithm 1 The algorithm of LDIF |
| Input: |
| User Service QoS dataset X, |
| User location information , |
| Service location information , |
| Word Table |
| Output: |
| The prediction value |
|
4. Experiment
4.1. Dataset Description
- User Information: User ID, IP Address, Country, IP No., AS (Autonomous System), Latitude, and Longitude.
- Service Information: Service ID, WSDL Address, Service Provider, IP Address, Country, IP No., AS, Latitude, and Longitude.
4.2. Evaluation Metric
- Mean Absolute Error: MAE is the average of the absolute values of the deviations of all individual observations from the arithmetic mean.
- Root Mean Square Error: RMSE indicates the deviation between the observed value and the truth.where is the QoS value actually recorded by user u calling service s, is the predicted QoS value when user u calls service s. N represents the size of the number in the test set.
4.3. Baselines
- UPCC [39]: User-based collaborative filtering, using Pearson’s correlation coefficient (PCC) to calculate the similarity between users, then using the real values of the top k similar user neighbors on the service to predict the missing values, so as to provide web service recommendations.
- IPCC [40]: An item-based collaborative filtering algorithm, which first uses PCC to calculate the similarity between web services, and then uses the real values of its top k similar service neighbors on users to predict missing values, so as to provide web service recommendations.
- UIPCC: This approach is a combination of UPCC and IPCC methods, and the values obtained by the two methods are weighted and summed to recommend web services.
- PMF [41]: Probabilistic matrix factorization is a approach that adds a probability distribution to the traditional matrix decomposition. It uses Bayes to derive the posterior probability of the implicit features of users and items, so as to analyze web services and make a recommendation.
- DeepFM [42]: This approach uses a deep neural network combined with a classical factorization machine, and comprehensively considers the interaction effects of low-order features and high-order features to predict the QoS value of web services.
- DCN: This approach is the deep and cross network, which combines a cross network with a deep neural network to achieve more efficiency and comprehensively consider the interaction information from low- and high-order features, so as to predict the QoS value of web services.
- WDL: This approach is the wide and deep network, which combines polynomial regression and deep neural networks to describe linear and nonlinear relationships, respectively.
- DCN-V2 [43]: This approach is the improved deep and cross network, which is a mixture of low-rank DCN (DCN-Mix) to achieve a healthier trade-off between model performance and latency.
4.4. Experimental Results and Analysis
4.5. The Impact of Data Sparsity
4.6. The Effectiveness of the Scan Interaction Structure
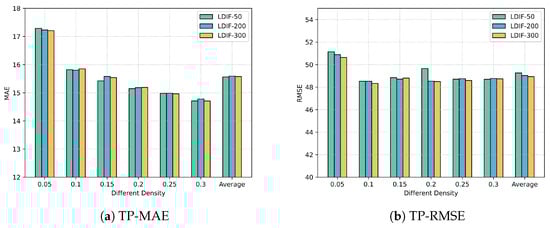
4.7. The Impact of Word-Embedding Dimensions
4.8. The Impact of Highest Feature Interaction Order
4.9. The Impact of Layer Depth
5. Conclusions
Author Contributions
Funding
Institutional Review Board Statement
Informed Consent Statement
Data Availability Statement
Conflicts of Interest
References
- Ghafouri, S.H.; Hashemi, S.M.; Hung, P.C. A survey on web service QoS prediction methods. IEEE Trans. Serv. Comput. 2022, 15, 2439–2454. [Google Scholar] [CrossRef]
- Goudarzi, A.; Ghayoor, F.; Waseem, M.; Fahad, S.; Traore, I. A Survey on IoT-Enabled Smart Grids: Emerging, Applications, Challenges, and Outlook. Energies 2022, 15, 6984. [Google Scholar] [CrossRef]
- Waseem, M.; Adnan Khan, M.; Goudarzi, A.; Fahad, S.; Sajjad, I.A.; Siano, P. Incorporation of blockchain technology for different smart grid applications: Architecture, prospects, and challenges. Energies 2023, 16, 820. [Google Scholar] [CrossRef]
- Ma, Y.; Yu, C.; Yan, M.; Sangaiah, A.K.; Wu, Y. Dark-Side Avoidance of Mobile Applications with Data Biases Elimination in Socio-Cyber World. IEEE Trans. Comput. Soc. Syst. 2023, 1–10. [Google Scholar] [CrossRef]
- Zheng, Z.; Zhang, Y.; Lyu, M.R. Investigating QoS of Real-World Web Services. IEEE Trans. Serv. Comput. 2014, 7, 32–39. [Google Scholar] [CrossRef]
- Zheng, Z.; Zhang, Y.; Lyu, M.R. Distributed QoS Evaluation for Real-World Web Services. In Proceedings of the 2010 IEEE International Conference on Web Services, Miami, FL, USA, 5–10 July 2010; pp. 83–90. [Google Scholar] [CrossRef]
- Shao, L.; Zhang, J.; Wei, Y.; Zhao, J.; Xie, B.; Mei, H. Personalized QoS Prediction forWeb Services via Collaborative Filtering. In Proceedings of the IEEE International Conference on Web Services, Salt Lake City, UT, USA, 9–13 July 2007; pp. 439–446. [Google Scholar] [CrossRef]
- Lo, W.; Yin, J.; Deng, S.; Li, Y.; Wu, Z. An Extended Matrix Factorization Approach for QoS Prediction in Service Selection. In Proceedings of the 2012 IEEE Ninth International Conference on Services Computing, Honolulu, HI, USA, 24–29 June 2012; pp. 162–169. [Google Scholar] [CrossRef]
- Zheng, Z.; Li, X.; Tang, M.; Xie, F.; Lyu, M.R. Web service QoS prediction via collaborative filtering: A survey. IEEE Trans. Serv. Comput. 2022, 15, 2455–2472. [Google Scholar] [CrossRef]
- Cao, B.; Xiao, Q.; Zhang, X.; Liu, J. An API service recommendation method incorporating SOM functional clustering and DeepFM quality prediction. J. Comput. Sci. 2019, 6, 1367–1383. [Google Scholar] [CrossRef]
- Zhou, Z.H.; Feng, J. Deep forest. Natl. Sci. Rev. 2019, 6, 74–86. [Google Scholar] [CrossRef] [PubMed]
- Zheng, Z.; Ma, H.; Lyu, M.R.; King, I. QoS-Aware Web Service Recommendation by Collaborative Filtering. IEEE Trans. Serv. Comput. 2011, 4, 140–152. [Google Scholar] [CrossRef]
- Zheng, Z.; Wu, X.; Zhang, Y.; Lyu, M.R.; Wang, J. QoS Ranking Prediction for Cloud Services. IEEE Trans. Parallel Distrib. Syst. 2013, 24, 1213–1222. [Google Scholar] [CrossRef]
- Wu, J.; Chen, L.; Feng, Y.; Zheng, Z.; Zhou, M.C.; Wu, Z. Predicting Quality of Service for Selection by Neighborhood-Based Collaborative Filtering. IEEE Trans. Syst. Man Cybern. Syst. 2013, 43, 428–439. [Google Scholar] [CrossRef]
- Jiang, Y.; Liu, J.; Tang, M.; Liu, X. An Effective Web Service Recommendation Method Based on Personalized Collaborative Filtering. In Proceedings of the 2011 IEEE International Conference on Web Services, Washington, DC, USA, 4–9 July 2011; pp. 211–218. [Google Scholar] [CrossRef]
- Koren, Y.; Bell, R.; Volinsky, C. Matrix Factorization Techniques for Recommender Systems. Computer 2009, 42, 30–37. [Google Scholar] [CrossRef]
- Rendle, S. Factorization Machines. In Proceedings of the 2010 IEEE International Conference on Data Mining, Sydney, NSW, Australia, 13–17 December 2010; pp. 995–1000. [Google Scholar] [CrossRef]
- Zheng, Z.; Ma, H.; Lyu, M.R.; King, I. Collaborative Web Service QoS Prediction via Neighborhood Integrated Matrix Factorization. IEEE Trans. Serv. Comput. 2013, 6, 289–299. [Google Scholar] [CrossRef]
- Tang, M.; Zheng, Z.; Kang, G.; Liu, J.; Yang, Y.; Zhang, T. Collaborative Web Service Quality Prediction via Exploiting Matrix Factorization and Network Map. IEEE Trans. Netw. Serv. Manag. 2016, 13, 126–137. [Google Scholar] [CrossRef]
- Ngaffo, A.N.; El Ayeb, W.; Choukair, Z. Service recommendation driven by a matrix factorization model and time series forecasting. Appl. Intell. 2022, 52, 1110–1125. [Google Scholar] [CrossRef] [PubMed]
- Chang, Z.; Ding, D.; Xia, Y. A graph-based QoS prediction approach for web service recommendation. Appl. Intell. 2021, 51, 6728–6742. [Google Scholar] [CrossRef]
- Tang, M.; Zhang, T.; Yang, Y.; Zheng, Z.; Cao, B. Quality-aware Web Service Recommendation Method Based on Factor Decomposer. J. Comput. Sci. 2018, 41, 14. [Google Scholar]
- Yang, Y.; Zheng, Z.; Niu, X.; Tang, M.; Lu, Y.; Liao, X. A Location-Based Factorization Machine Model for Web Service QoS Prediction. IEEE Trans. Serv. Comput. 2021, 14, 1264–1277. [Google Scholar] [CrossRef]
- Wu, D.; Luo, X.; Shang, M.; He, Y.; Wang, G.; Wu, X. A data-characteristic-aware latent factor model for web services QoS prediction. IEEE Trans. Knowl. Data Eng. 2022, 34, 2525–2538. [Google Scholar] [CrossRef]
- Cheng, H.T.; Koc, L.; Harmsen, J.; Shaked, T.; Chandra, T.; Aradhye, H.; Anderson, G.; Corrado, G.; Chai, W.; Ispir, M.; et al. Wide & Deep Learning for Recommender Systems. In Proceedings of the 1st Workshop on Deep Learning for Recommender Systems, Boston, MA, USA, 15 September 2016; pp. 7–10. [Google Scholar] [CrossRef]
- Wang, R.; Fu, B.; Fu, G.; Wang, M. Deep & Cross Network for Ad Click Predictions. In Proceedings of the ADKDD’17, Halifax, NS, Canada, 13–17 August 2017; pp. 1–7. [Google Scholar] [CrossRef]
- Lian, J.; Zhou, X.; Zhang, F.; Chen, Z.; Xie, X.; Sun, G. XDeepFM: Combining Explicit and Implicit Feature Interactions for Recommender Systems. In Proceedings of the 24th ACM SIGKDD International Conference on Knowledge Discovery & Data Mining, London, UK, 19–23 August 2018; pp. 1754–1763. [Google Scholar] [CrossRef]
- Zhang, Y.; Yin, C.; Wu, Q.; He, Q.; Zhu, H. Location-Aware Deep Collaborative Filtering for Service Recommendation. IEEE Trans. Syst. Man Cybern. Syst. 2021, 51, 3796–3807. [Google Scholar] [CrossRef]
- Li, J.; Wu, H.; Chen, J.; He, Q.; Hsu, C.H. Topology-Aware Neural Model for Highly Accurate QoS Prediction. IEEE Trans. Parallel Distrib. Syst. 2022, 33, 1538–1552. [Google Scholar] [CrossRef]
- Zhang, W.; Xu, L.; Yan, M.; Wang, Z.; Fu, C. A Probability Distribution and Location-aware ResNet Approach for QoS Prediction. J. Web Eng. 2021, 20, 1189–1227. [Google Scholar] [CrossRef]
- Wang, Z.; Zhang, X.; Yan, M.; Xu, L.; Yang, D. HSA-Net: Hidden-State-Aware Networks for High-Precision QoS Prediction. IEEE Trans. Parallel Distrib. Syst. 2022, 33, 1421–1435. [Google Scholar] [CrossRef]
- Wang, Q.; Zhang, M.; Zhang, Y.; Zhong, J.; Sheng, V.S. Location-based deep factorization machine model for service recommendation. Appl. Intell. 2022, 52, 9899–9918. [Google Scholar] [CrossRef]
- Zhang, P.; Huang, W.; Chen, Y.; Zhou, M.; Al-Turki, Y. A Novel Deep-Learning-Based QoS Prediction Model for Service Recommendation Utilizing Multi-Stage Multi-Scale Feature Fusion with Individual Evaluations. IEEE Trans. Autom. Sci. Eng. 2023, 1–14. [Google Scholar] [CrossRef]
- Zhu, J.; Li, B.; Wang, J.; Li, D.; Liu, Y.; Zhang, Z. BGCL: Bi-subgraph network based on graph contrastive learning for cold-start QoS prediction. Knowl.-Based Syst. 2023, 263, 110296. [Google Scholar] [CrossRef]
- Zhang, P.; Ren, J.; Huang, W.; Chen, Y.; Zhao, Q.; Zhu, H. A Deep-Learning Model for Service QoS Prediction Based on Feature Mapping and Inference. IEEE Trans. Serv. Comput. 2023, 1–14. [Google Scholar] [CrossRef]
- Lu, T.; Zhang, X.; Wang, Z.; Yan, M. A feature distribution smoothing network based on gaussian distribution for qos prediction. In Proceedings of the 2023 IEEE International Conference on Web Services (ICWS), IEEE Computer Society, Chicago, IL, USA, 2–8 July 2023; pp. 687–694. [Google Scholar] [CrossRef]
- Mikolov, T.; Chen, K.; Corrado, G.; Dean, J. Efficient Estimation of Word Representations in Vector Space. arXiv 2013, arXiv:1301.3781. [Google Scholar] [CrossRef]
- Pennington, J.; Socher, R.; Manning, C. GloVe: Global Vectors for Word Representation. In Proceedings of the 2014 Conference on Empirical Methods in Natural Language Processing, Doha, Qatar, 25–29 October 2014; pp. 1532–1543. [Google Scholar] [CrossRef]
- Herlocker, J.L.; Konstan, J.A.; Borchers, A.; Riedl, J. An Algorithmic Framework for Performing Collaborative Filtering. In Proceedings of the 22nd Annual International ACM SIGIR Conference on Research and Development in Information Retrieval, Berkeley, CA, USA, 15–19 August 1999; pp. 230–237. [Google Scholar] [CrossRef]
- Sarwar, B.; Karypis, G.; Konstan, J.; Riedl, J. Item-Based Collaborative Filtering Recommendation Algorithms. In Proceedings of the 10th International Conference on World Wide Web, Hong Kong, China, 1–5 May 2001; pp. 285–295. [Google Scholar] [CrossRef]
- Mnih, A.; Salakhutdinov, R.R. Probabilistic matrix factorization. Adv. Neural Inf. Process. Syst. 2007, 20, 1257–1264. [Google Scholar]
- Guo, H.; Tang, R.; Ye, Y.; Li, Z.; He, X. DeepFM: A Factorization-Machine based Neural Network for CTR Prediction. arXiv 2017, arXiv:1703.04247. [Google Scholar] [CrossRef]
- Wang, R.; Shivanna, R.; Cheng, D.; Jain, S.; Lin, D.; Hong, L.; Chi, E. DCN V2: Improved Deep & Cross Network and Practical Lessons for Web-scale Learning to Rank Systems. In Proceedings of the Web Conference 2021, Ljubljana, Slovenia, 19–23 April 2021; pp. 1785–1797. [Google Scholar] [CrossRef]










| Notation | Descriptions |
|---|---|
| U | the set of all web service users |
| the k-th feature of the i-th user | |
| the feature of user i (, ) | |
| S | the set of all web services |
| the k-th feature of the j-th web service | |
| the feature of service j (, ) | |
| Q | the QoS set |
| the QoS value between user i and service j | |
| X | the form of data (, , , , ) |
| D | the maximum depth of layer |
| A | the Matrix A |
| l | the highest order of feature interaction representation in single-dimensional SIS layer |
| Approach | Density = 0.05 | Density = 0.10 | Density = 0.15 | Density = 0.20 | Density = 0.25 | Density = 0.30 | ||||||
|---|---|---|---|---|---|---|---|---|---|---|---|---|
| MAE | RMSE | MAE | RMSE | MAE | RMSE | MAE | RMSE | MAE | RMSE | MAE | RMSE | |
| UPCC | 27.26 | 63.80 | 24.87 | 59.87 | 23.97 | 58.59 | 23.63 | 58.01 | 23.44 | 57.71 | 22.97 | 57.30 |
| IPCC | 48.41 | 123.27 | 27.92 | 84.63 | 25.90 | 74.24 | 26.49 | 75.92 | 25.72 | 75.05 | 25.13 | 74.62 |
| UIPCC | 37.82 | 93.53 | 26.40 | 72.25 | 24.93 | 66.42 | 25.06 | 66.96 | 24.58 | 66.37 | 24.05 | 65.96 |
| PMF | 49.77 | 123.81 | 49.77 | 123.82 | 49.78 | 123.80 | 49.85 | 123.98 | 49.79 | 123.87 | 49.83 | 123.94 |
| DeepFM | 25.37 | 57.85 | 21.83 | 55.16 | 18.16 | 48.17 | 18.85 | 50.66 | 18.39 | 47.82 | 18.04 | 48.64 |
| DCN | 24.64 | 55.44 | 22.37 | 51.82 | 20.57 | 51.03 | 19.41 | 50.72 | 19.09 | 48.96 | 18.94 | 49.21 |
| WDL | 23.82 | 57.19 | 22.43 | 56.67 | 22.72 | 52.13 | 19.10 | 48.11 | 18.51 | 48.42 | 18.71 | 48.97 |
| DCN-V2 | 22.53 | 49.02 | 20.91 | 46.47 | 17.64 | 41.78 | 17.23 | 41.94 | 15.95 | 41.50 | 16.28 | 41.31 |
| LDIF | 17.20 | 48.14 | 15.81 | 45.50 | 15.40 | 40.84 | 15.10 | 39.65 | 14.91 | 40.71 | 14.71 | 39.70 |
| Gains | 23.7% | 1.8% | 24.4% | 2.1% | 12.7% | 2.2% | 12.4% | 5.5% | 6.5% | 1.9% | 9.6% | 3.9% |
| Approach | Density = 0.05 | Density = 0.10 | Density = 0.15 | Density = 0.20 | Density = 0.25 | Density = 0.30 | ||||||
|---|---|---|---|---|---|---|---|---|---|---|---|---|
| MAE | RMSE | MAE | RMSE | MAE | RMSE | MAE | RMSE | MAE | RMSE | MAE | RMSE | |
| UPCC | 2.221 | 3.337 | 1.959 | 3.058 | 1.581 | 2.599 | 1.691 | 2.558 | 1.709 | 1.846 | 1.633 | 2.019 |
| IPCC | 3.539 | 4.971 | 2.846 | 4.216 | 2.083 | 3.372 | 1.618 | 2.806 | 1.438 | 2.588 | 1.352 | 2.473 |
| UIPCC | 2.879 | 4.153 | 2.402 | 3.637 | 1.831 | 2.985 | 1.654 | 2.682 | 1.573 | 2.216 | 1.492 | 2.246 |
| PMF | 3.557 | 4.990 | 3.555 | 4.989 | 3.555 | 4.99 | 3.555 | 4.991 | 3.558 | 4.994 | 3.558 | 4.990 |
| DeepFM | 1.385 | 2.066 | 1.428 | 1.948 | 0.894 | 1.590 | 1.058 | 1.664 | 0.874 | 1.499 | 0.710 | 1.396 |
| DCN | 2.639 | 4.004 | 1.816 | 2.719 | 1.565 | 2.323 | 1.462 | 2.108 | 1.092 | 1.709 | 1.012 | 1.626 |
| WDL | 1.382 | 2.128 | 1.013 | 1.724 | 1.362 | 1.944 | 0.818 | 1.513 | 0.907 | 1.607 | 0.939 | 1.536 |
| DCN-V2 | 0.980 | 1.660 | 0.490 | 1.381 | 0.433 | 1.362 | 0.381 | 1.390 | 0.421 | 1.382 | 0.410 | 1.373 |
| LDIF | 0.403 | 1.305 | 0.402 | 1.303 | 0.303 | 1.301 | 0.301 | 1.300 | 0.300 | 1.300 | 0.300 | 1.300 |
| Gains | 58.8% | 21.4% | 18.0% | 5.6% | 30.0% | 4.8% | 21.0% | 6.5% | 28.7% | 6.0% | 26.8% | 5.3% |
| Approach | Density = 0.05 | Density = 0.10 | Density = 0.15 | Density = 0.20 | Density = 0.25 | Density = 0.30 | ||||||
|---|---|---|---|---|---|---|---|---|---|---|---|---|
| MAE | RMSE | MAE | RMSE | MAE | RMSE | MAE | RMSE | MAE | RMSE | MAE | RMSE | |
| DCN | 24.64 | 55.44 | 22.37 | 51.82 | 20.57 | 51.03 | 19.41 | 50.72 | 19.09 | 48.96 | 18.94 | 49.21 |
| SIS + DCN | 17.63 | 51.01 | 17.41 | 49.27 | 15.75 | 48.70 | 15.39 | 48.29 | 15.64 | 49.67 | 15.31 | 49.55 |
| Approach | Density = 0.05 | Density = 0.10 | Density = 0.15 | Density = 0.20 | Density = 0.25 | Density = 0.30 | ||||||
|---|---|---|---|---|---|---|---|---|---|---|---|---|
| MAE | RMSE | MAE | RMSE | MAE | RMSE | MAE | RMSE | MAE | RMSE | MAE | RMSE | |
| DCN | 2.639 | 4.004 | 1.816 | 2.719 | 1.565 | 2.323 | 1.462 | 2.108 | 1.092 | 1.709 | 1.012 | 1.626 |
| SIS + DCN | 0.498 | 1.375 | 0.438 | 1.376 | 0.405 | 1.379 | 0.385 | 1.451 | 0.356 | 1.470 | 0.335 | 1.479 |
| Approach | Density = 0.05 | Density = 0.10 | Density = 0.15 | Density = 0.20 | Density = 0.25 | Density = 0.30 | Average |
|---|---|---|---|---|---|---|---|
| MAE | MAE | MAE | MAE | MAE | MAE | MAE | |
| LDIF-50 | 17.29 | 15.82 | 15.42 | 15.15 | 14.98 | 14.71 | 15.56 |
| LDIF-200 | 17.23 | 15.80 | 15.58 | 15.18 | 14.98 | 14.78 | 15.59 |
| LDIF-300 | 17.21 | 15.85 | 15.54 | 15.19 | 14.97 | 14.71 | 15.58 |
| Approach | Density = 0.05 | Density = 0.10 | Density = 0.15 | Density = 0.20 | Density = 0.25 | Density = 0.30 | Average |
|---|---|---|---|---|---|---|---|
| RMSE | RMSE | RMSE | RMSE | RMSE | RMSE | RMSE | |
| LDIF-50 | 51.14 | 48.53 | 48.84 | 49.65 | 48.71 | 48.70 | 49.26 |
| LDIF-200 | 50.89 | 48.52 | 48.71 | 48.53 | 48.75 | 48.77 | 49.03 |
| LDIF-300 | 50.64 | 48.33 | 48.81 | 48.50 | 48.59 | 48.74 | 48.93 |
| Approach | Density = 0.05 | Density = 0.10 | Density = 0.15 | Density = 0.20 | Density = 0.25 | Density = 0.30 | Average |
|---|---|---|---|---|---|---|---|
| MAE | MAE | MAE | MAE | MAE | MAE | MAE | |
| LDIF-2 | 17.04 | 15.67 | 15.37 | 15.13 | 15.03 | 14.73 | 15.49 |
| LDIF-3 | 17.29 | 15.82 | 15.42 | 15.15 | 14.98 | 14.71 | 15.56 |
| LDIF-4 | 17.33 | 15.92 | 15.48 | 15.12 | 15.07 | 14.77 | 15.62 |
| LDIF-5 | 17.63 | 15.99 | 15.51 | 15.15 | 14.98 | 14.78 | 15.67 |
| Approach | Density = 0.05 | Density = 0.10 | Density = 0.15 | Density = 0.20 | Density = 0.25 | Density = 0.30 | Average |
|---|---|---|---|---|---|---|---|
| RMSE | RMSE | RMSE | RMSE | RMSE | RMSE | RMSE | |
| LDIF-2 | 50.65 | 48.81 | 49.58 | 49.58 | 49.76 | 49.92 | 49.72 |
| LDIF-3 | 51.14 | 48.53 | 48.84 | 49.70 | 48.71 | 48.70 | 49.26 |
| LDIF-4 | 51.36 | 48.57 | 48.49 | 48.34 | 48.78 | 48.72 | 49.04 |
| LDIF-5 | 51.29 | 48.62 | 48.91 | 48.50 | 48.47 | 48.80 | 49.10 |
Disclaimer/Publisher’s Note: The statements, opinions and data contained in all publications are solely those of the individual author(s) and contributor(s) and not of MDPI and/or the editor(s). MDPI and/or the editor(s) disclaim responsibility for any injury to people or property resulting from any ideas, methods, instructions or products referred to in the content. |
© 2024 by the authors. Licensee MDPI, Basel, Switzerland. This article is an open access article distributed under the terms and conditions of the Creative Commons Attribution (CC BY) license (https://creativecommons.org/licenses/by/4.0/).
Share and Cite
Zhu, S.; Ding, J.; Yang, J. Location-Aware Deep Interaction Forest for Web Service QoS Prediction. Appl. Sci. 2024, 14, 1450. https://doi.org/10.3390/app14041450
Zhu S, Ding J, Yang J. Location-Aware Deep Interaction Forest for Web Service QoS Prediction. Applied Sciences. 2024; 14(4):1450. https://doi.org/10.3390/app14041450
Chicago/Turabian StyleZhu, Shaoyu, Jiaman Ding, and Jingyou Yang. 2024. "Location-Aware Deep Interaction Forest for Web Service QoS Prediction" Applied Sciences 14, no. 4: 1450. https://doi.org/10.3390/app14041450
APA StyleZhu, S., Ding, J., & Yang, J. (2024). Location-Aware Deep Interaction Forest for Web Service QoS Prediction. Applied Sciences, 14(4), 1450. https://doi.org/10.3390/app14041450

